Sign in to use this feature.

Years

Between: -

Subjects

remove_circle_outline
remove_circle_outline
remove_circle_outline
remove_circle_outline
remove_circle_outline
remove_circle_outline
remove_circle_outline
remove_circle_outline

Journals

Article Types

Countries / Regions

Search Results (25)

Search Parameters:
Keywords = organo-mineral association

Order results
Result details
Results per page
Select all
Export citation of selected articles as:
15 pages, 1594 KB  
Article
Effects of Organic, Organomineral, and Mineral Fertilization on Soil Macronutrients in Chrysanthemum Cultivar Singelo Cultivation
by Luana Aparecida Menegaz Meneghetti, Edna Maria Bonfim-Silva, Tonny José Araújo da Silva, Niclene Ponce Rodrigues de Oliveira, Alisson Silva Costa Custódio, Ivis Andrei Campos e Silva, Tallys Henrique Bonfim-Silva, Rosana Andreia da Silva Rocha, Alessana Franciele Schlichting, Salomão Lima Guimarães, Marcio Koetz, Deborah de Amorim Teixeira Santos, Paulo Otávio Aldaves dos Santos Guedes and Patrícia Ferreira da Silva
Horticulturae 2025, 11(6), 567; https://doi.org/10.3390/horticulturae11060567 - 22 May 2025
Cited by 1 | Viewed by 1133
Abstract
The use of agro-industrial waste, such as wood ash or biomass ash, has been adopted as an alternative to synthetic fertilizers for providing nutrients to plants. This study aimed to evaluate the levels of primary and secondary macronutrients in soil cultivated with chrysanthemum [...] Read more.
The use of agro-industrial waste, such as wood ash or biomass ash, has been adopted as an alternative to synthetic fertilizers for providing nutrients to plants. This study aimed to evaluate the levels of primary and secondary macronutrients in soil cultivated with chrysanthemum under different types of fertilization management: organic, organomineral, and mineral, with and without liming. The experiment was conducted in a greenhouse for 185 days, using a randomized blocks design in a 5 × 2 factorial scheme: five fertilization types (incubated and unincubated wood ash, organomineral fertilizer, mineral fertilizer, and control) and two levels of liming (without liming and 70% base saturation) with five replicates. The soil used was Oxisol. The phosphorus, potassium, calcium, magnesium, and sulfur contents in the soil after cultivation were analyzed. There was a 77% increase in potassium in treatments with ash compared to treatments without ash. The corrected soil presented 173.2 mg dm−3 of potassium, compared to 153.6 mg dm−3 in the uncorrected soil, an increase of 11.6%. The calcium levels increased by 60% with the application of ash (incubated or not) and organomineral fertilizer, compared to soils without ash. Liming increased calcium by 1.12 cmolc dm−3. Fertilizers with ash associated with liming resulted in higher magnesium levels. The sulfur content varied according to the fertilizer, with non-incubated ash showing the highest value (69.11 mg dm−3) compared to the control (11.08 mg dm−3), a difference of 83.96%. Organomineral fertilizer is an alternative for increasing the availability of macronutrients in the soil, allowing a second cropping cycle without the need to manage soil fertility, contributing to sustainable agriculture, encouraging the reuse of waste, and reducing the use of mineral fertilizers. Full article
(This article belongs to the Special Issue Irrigation and Fertilization Management in Horticultural Production)
Show Figures

Graphical abstract

26 pages, 7042 KB  
Article
Thermodynamic Stability of Clay Minerals in Boreal Forest Soil and Its Relationship to the Properties of Soil Organic Matter
by Igor V. Danilin, Yulia G. Izosimova, Ruslan A. Aimaletdinov and Inna I. Tolpeshta
Minerals 2025, 15(4), 430; https://doi.org/10.3390/min15040430 - 20 Apr 2025
Cited by 1 | Viewed by 854
Abstract
This paper assesses the thermodynamic stability of clay minerals in the upper organo-mineral horizon of podzolic soil, as well as in the rhizosphere of Norway spruce (Picea abies (L.) H. Karst.) and Norway maple (Acer platanoides L.). Moreover, it determines the [...] Read more.
This paper assesses the thermodynamic stability of clay minerals in the upper organo-mineral horizon of podzolic soil, as well as in the rhizosphere of Norway spruce (Picea abies (L.) H. Karst.) and Norway maple (Acer platanoides L.). Moreover, it determines the impact of soil organic matter on the thermodynamic stability of clay minerals. Calculations of ΔGf and the saturation index (SI) for clay minerals in laboratory experiments simulating soil conditions without soil moisture outflow allowed us to find out that the thermodynamic stability of clay minerals decreased in the series kaolinite > illite > vermiculite > chlorite. In the rhizosphere of spruce, kaolinite, vermiculite and illite have the lowest, and in the soil under maple-the highest thermodynamic stability, which is associated with differences in the properties of soil organic matter of rhizospheres of different tree species. Laboratory experiments on the sorption of soil humic acid (HA) on clay minerals demonstrated that sorbed HA decreased the thermodynamic stability of biotite and increased the thermodynamic stability of kaolinite and muscovite. Thermodynamic stability of clay minerals decreased with increased proportion of sorbed thermolabile organic matter. Full article
(This article belongs to the Section Environmental Mineralogy and Biogeochemistry)
Show Figures

Figure 1

21 pages, 24393 KB  
Article
Experimental vs. Natural Mineral Precipitation in Modern Microbialites: The Case Study of the Alkaline Bagno Dell’acqua Lake (Pantelleria Island, Italy)
by Michela Ingrassia, Aida Maria Conte, Cristina Perinelli, Luca Aldega, Letizia Di Bella, Cristina Mazzoni, Stefano Fazi, Francesco Giuseppe Falese, Tania Ruspandini, Agnese Piacentini, Benedetta Caraba, Andrea Bonfanti, Francesca Gori, Marino Domenico Barberio and Francesco Latino Chiocci
Minerals 2024, 14(10), 1013; https://doi.org/10.3390/min14101013 - 8 Oct 2024
Cited by 3 | Viewed by 2462
Abstract
Microbial activity has been documented in various lacustrine environments, suggesting its fundamental role in mineral precipitation and, therefore, in the formation of organo-deposits such as microbialites. Many studies are currently focused on documenting how the association of microbes and extracellular polymeric substances (EPSs) [...] Read more.
Microbial activity has been documented in various lacustrine environments, suggesting its fundamental role in mineral precipitation and, therefore, in the formation of organo-deposits such as microbialites. Many studies are currently focused on documenting how the association of microbes and extracellular polymeric substances (EPSs) may influence the authigenesis of Mg-rich clay minerals and the subsequent carbonate precipitation in growing microbialites in lacustrine environments. In this study, we investigate the present-day microbialites of the alkaline Bagno dell’Acqua lake (Pantelleria Island, Italy) using X-ray diffraction (XRD) scanning electron microscopy (SEM) and energy-dispersive X-ray spectroscopy (EDS). Our results reveal the intimate association of Mg-smectite/carbonate minerals with the EPS and microbes, and, for the first time, we selected microbes belonging to phylum Firmicutes (Bacillus sp.), from natural microbialites, to carry out laboratory experiments that testify their direct role in the precipitation of clay and carbonate minerals. Full article
Show Figures

Figure 1

23 pages, 10947 KB  
Review
The Role of Organic Matter and Hydrocarbons in the Genesis of the Pb-Zn-Fe (Ba-Sr) Ore Deposits in the Diapirs Zone, Northern Tunisia
by Larbi Rddad, Nejib Jemmali and Samar Jaballah
Minerals 2024, 14(9), 932; https://doi.org/10.3390/min14090932 - 12 Sep 2024
Cited by 4 | Viewed by 2875
Abstract
Extensional tectonics along NE-trending faults, coupled with diapirism, created paleo-highs and subsiding basins, providing the structural framework for subsequent mineralization processes. The preservation of organic matter within the Fahdene and Bahloul Cretaceous formations during the Anoxic Oceanic Events (AOE-1 and AOQ-2) facilitated the [...] Read more.
Extensional tectonics along NE-trending faults, coupled with diapirism, created paleo-highs and subsiding basins, providing the structural framework for subsequent mineralization processes. The preservation of organic matter within the Fahdene and Bahloul Cretaceous formations during the Anoxic Oceanic Events (AOE-1 and AOQ-2) facilitated the extraction of metals from seawater. The association of metals with organic matter, Fe-Mg oxides, and pyrite is revealed by principal component analysis (PCA). The subsequent maturation of organic matter generated hydrocarbons, with thermal cracking leading to the incorporation of organo-metallic ligands into mobile hydrocarbons. Oilfield brines form as a byproduct of this catagenesis. The metal-rich hydrocarbons and basinal brines invaded SO4−2-rich fluids from Triassic evaporites, resulting in the precipitation of sulfates (barite and celestite) and the bacteriogenic (BSR) and/or thermal (TSR) reduction of sulfate to reduced sulfur, which combined with metals to form sulfide ores. This study examines the role of hydrocarbons in the genesis of ore deposits within the diapiric zone, drawing upon a synthesis of literature and geological data. It highlights the interplay between basinal evolution, the organic matter-rich Cretaceous formations (Fahdene and Bahloul), diapiric paleo-highs, and the Alpine orogeny, which are identified as crucial factors in ore genesis in the diapiric zone. Full article
(This article belongs to the Special Issue The Role of Hydrocarbons in the Genesis of Mineral Deposits)
Show Figures

Figure 1

13 pages, 2393 KB  
Article
Improvement and Stability of Soil Organic Carbon: The Effect of Earthworm Mucus Organo-Mineral Associations with Montmorillonite and Hematite
by Yuxuan Li, Siyue Feng, Lin Wang, Chencen Lei, Hongbo Peng, Xinhua He, Dandan Zhou and Fangfang Li
Sustainability 2024, 16(13), 5458; https://doi.org/10.3390/su16135458 - 27 Jun 2024
Cited by 4 | Viewed by 2266
Abstract
Improving soil carbon storage and stability plays an important role in the development of sustainable agricultural production and mitigating climate change. Earthworms are widely distributed in soil environments; earthworm mucus (EM) can interact with natural mineral materials to form EM–mineral association, enriching soil [...] Read more.
Improving soil carbon storage and stability plays an important role in the development of sustainable agricultural production and mitigating climate change. Earthworms are widely distributed in soil environments; earthworm mucus (EM) can interact with natural mineral materials to form EM–mineral association, enriching soil carbon storage. However, it is unclear how minerals affect the formation and oxidation degradation of EM–mineral associations. Herein, the interactions between EM and natural mineral materials (hematite ore (HO) and montmorillonite (MT)) were investigated. The carbon stability of EM–mineral associations was analyzed based on their chemical oxidative resistance. EM interacted with HO/MT through ligand exchange, hydrogen bonding interaction, and electrostatic attraction. Compared to EM that was extracted under pH 5.0 (EM5) or 9.0 (EM9), EM obtained at pH7 (EM7) contained more protein and polysaccharide components, and was greatly adsorbed by HO/MT. Moreover, EM showed a stronger sorption affinity to MT than HO. The stronger oxidation resistance of EM–MT than EM–HO was revealed by its higher carbon retention, suggesting the vital role of MT in protecting biogenically excreted organic carbon from degradation. Earthworms in neutral environments could substantially promote the establishment of organo-mineral associations. This study provides guidance for promoting soil carbon sequestration through agricultural management and is beneficial to the sustainability of the soil. Full article
(This article belongs to the Special Issue Recent Advances in Environmental Geochemistry)
Show Figures

Figure 1

16 pages, 3775 KB  
Article
Organomineral Fertilization Associated with Inoculation of Rhizobium tropici and Co-Inoculation of Azospirillum brasilense in Common Bean
by Diana Rosa Reis, Gisele Carneiro Silva Teixeira, Itamar Rosa Teixeira, Guilherme Romão Silva and Brenda Bárbara A. Ribeiro
Sustainability 2023, 15(24), 16631; https://doi.org/10.3390/su152416631 - 7 Dec 2023
Cited by 4 | Viewed by 1893
Abstract
The use of organomineral fertilizers can serve as a nutritional source for crops, ensuring sustainability in the production system. Another alternative approach is through the inoculation and co-inoculation of microorganisms. The objective of this study was to evaluate the development, nutrition, and agronomic [...] Read more.
The use of organomineral fertilizers can serve as a nutritional source for crops, ensuring sustainability in the production system. Another alternative approach is through the inoculation and co-inoculation of microorganisms. The objective of this study was to evaluate the development, nutrition, and agronomic yield of common beans through fertilization with the organomineral formula “OMF”, derived from sewage sludge biosolids, combined with Rhizobium tropici inoculation and co-inoculation with Azospirillum brasilense techniques. Three bean cultivars from different commercial groups, Pérola, BRS Esteio, and BRS Pitanga, were tested. They underwent OMF application; OMF application combined with seed inoculation with Rhizobium tropici and re-inoculation; seed co-inoculation with Rhizobium tropici + Azospirillum brasilense prior to sowing; and foliar re-inoculation with Rhizobium tropici + Azospirillum brasilense. The results indicated that seed inoculation, combined with leaf re-inoculation at the V4 stage, resulted in greater bean productivity. The combination of Rhizobium tropici with co-inoculation with Azospirillum brasilense generally led to increased productivity compared to mineral nitrogen fertilization. The exclusive use of OMF enabled development and productivity gains. The Pérola bean cultivar showed better adaptation to the applied treatments. In conclusion, this research suggests that there are benefits to using OMF with symbiotic bacteria and growth promoters. Full article
(This article belongs to the Section Sustainable Agriculture)
Show Figures

Figure 1

18 pages, 1570 KB  
Article
Effects of Fertilization Types and Base Saturation on the Growth and Water Productivity in Panicum maximum cv. BRS Zuri
by Niclene Ponce Rodrigues de Oliveira, Edna Maria Bonfim-Silva, Tonny José Araújo da Silva, Patrícia Ferreira da Silva, Rosana Andréia da Silva Rocha, Luana Aparecida Menegaz Meneghetti, Alisson Silva Costa Custódio, Salomão Lima Guimarães, Thiago Franco Duarte and Marcio Koetz
Agriculture 2023, 13(10), 1872; https://doi.org/10.3390/agriculture13101872 - 25 Sep 2023
Cited by 8 | Viewed by 2927
Abstract
Fertilization management is essential for forage production. However, excessive use of synthetic fertilizers causes environmental imbalances. An alternative to reduce these effects is to seek alternative fertilizers, such as wood ash produced from agro-industrial waste, when integrated with appropriate base saturation management. This [...] Read more.
Fertilization management is essential for forage production. However, excessive use of synthetic fertilizers causes environmental imbalances. An alternative to reduce these effects is to seek alternative fertilizers, such as wood ash produced from agro-industrial waste, when integrated with appropriate base saturation management. This study aims to compare the effects of fertilization with wood ash (WA), organomineral (OM), and mineral (M) fertilizers associated with different levels of base saturation on the growth and water productivity of Panicum maximum cv. BRS Zuri. The experiment was conducted in a greenhouse, using a randomized block design in a 3 × 3 factorial arrangement. The treatments consisted of three types of fertilization (WA, OM and M) and three levels of base saturation (0, 25%, and 50%). Leaf area, chlorophyll index, shoot dry mass and root dry mass, water consumption, and water productivity of Zuri grass were evaluated. The results showed significant increases in leaf area, with values of up to 4564.5 cm2.pot−1 and a chlorophyll index of up to 36.2 units. In addition, the dry mass of the aerial part reached up to 46.7 g.pot−1, and the dry mass of the roots reached 21.7 g.pot−1 with the use of OM fertilizers. These values represent an increase of between 43.1% and 69.6% compared to the values of conventional fertilizers. In addition, water productivity reached 4.9 g.L−1 with WA-based fertilizers, an increase of around 39% compared to the values of mineral fertilizers. Full article
Show Figures

Figure 1

22 pages, 7620 KB  
Review
Soil, Humipedon, Forest Life and Management
by Roberto Zampedri, Nicolas Bernier, Augusto Zanella, Raffaello Giannini, Cristina Menta, Francesca Visentin, Paola Mairota, Giacomo Mei, Gabriele Zandegiacomo, Silvio Carollo, Alessio Brandolese and Jean-François Ponge
Int. J. Plant Biol. 2023, 14(3), 571-592; https://doi.org/10.3390/ijpb14030045 - 27 Jun 2023
Cited by 6 | Viewed by 3262
Abstract
In recent years, three sections (Humipedon, Copedon and Lithopedon) were recognized in the soil profile. It was then possible to link the first and most biologically active section to the characteristics of the environment and soil genesis. In particular, it is now possible [...] Read more.
In recent years, three sections (Humipedon, Copedon and Lithopedon) were recognized in the soil profile. It was then possible to link the first and most biologically active section to the characteristics of the environment and soil genesis. In particular, it is now possible to distinguish organic horizons, mainly produced by arthropods and enchytraeids in cold and acidic or dry and arid environments, from organo-mineral horizons produced by earthworms in more temperate and mesotrophic environments. Each set of horizons can be associated with a humus system or form, with important implications for forestry. Anecic/endogeic earthworms and Mull or Amphi systems are more abundant in the early and late stages of sylvogenesis; by completely recycling litter, earthworms accelerate the availability of organic and inorganic soil nutrients to roots and pedofauna. On the other hand, arthropods and Moder or Tangel systems characterize the intermediate stages of sylvogenesis, where thickening in the organic horizons and the parallel impoverishment/reduction in the underlying organo-mineral horizons are observed. Recognizing the humus system at the right spatial and temporal scale is crucial for the biological management of a forest. This article includes a data review, new data from a doctoral thesis, and recent comparisons of Italian and French investigations. Full article
(This article belongs to the Special Issue The Role of Humus Forms in Plant–Soil Interactions)
Show Figures

Graphical abstract

14 pages, 6175 KB  
Article
Organic Matter Structural Composition of Vascular Epiphytic Suspended Soils of South Vietnam
by Evgeny Abakumov and Alen Eskov
Appl. Sci. 2023, 13(7), 4473; https://doi.org/10.3390/app13074473 - 31 Mar 2023
Cited by 4 | Viewed by 2290
Abstract
The biosphere organic matter is stored in nature in various forms. Most of it is associated with classical terrestrial organo-mineral soils. The carbon of woody plant biomass is counted separately from soil as carbon of the standing biomass. Nevertheless, humification as a universal [...] Read more.
The biosphere organic matter is stored in nature in various forms. Most of it is associated with classical terrestrial organo-mineral soils. The carbon of woody plant biomass is counted separately from soil as carbon of the standing biomass. Nevertheless, humification as a universal process already begins in plant residues before they reach the surface of the classical tropical mineral soil. Moreover, in tropical humid-forest ecosystems, most of the organic matter does not reach the soil surface at all and accumulates in the state of suspended soils. The data obtained in this study characterize, for the first time, the component and structural composition of the organic matter of plant residues of suspended soils, as well as the products of their transformation—humic substances formed in suspended soils. With the use of micro morphological methods, it was shown that humification appears in merged areas of organic remnants. There were statistically significant differences in the elemental composition of humic acids and initial organic material for all elements—C, H, O and N. It has been shown that the aliphatic part dominates (75–93%) in the initial organic materials of suspended soils, whereas the humic substances are characterized by a relatively increased fraction of aromatic fragments (31–42%) in the composition of their molecules, which confirms that humification takes place. Thus, even in the suspended soils, classical humification occurs, and this is not limited by the low content of mineral particles and cations in the suspended soils and the rather acidic reaction of the material. Therefore, the existence of tiering and the formation of the corresponding layers of suspended soils is accompanied by the stabilization and humification of organic matter, which is accompanied by a radical change in its structural and component composition. This process is the “natural biotechnology” of organic matter conservation and stabilization is discussed in article. Full article
(This article belongs to the Special Issue Tropical Biotechnology)
Show Figures

Figure 1

15 pages, 1859 KB  
Review
Biotechnology Advances in Bioremediation of Arsenic: A Review
by Jaganathan Sakthi Yazhini Preetha, Muthukrishnan Arun, Nandakumar Vidya, Kumaresan Kowsalya, Jayachandran Halka and Gabrijel Ondrasek
Molecules 2023, 28(3), 1474; https://doi.org/10.3390/molecules28031474 - 3 Feb 2023
Cited by 38 | Viewed by 7641
Abstract
Arsenic is a highly toxic metalloid widespread in the Earth's crust, and its contamination due to different anthropogenic activities (application of agrochemicals, mining, waste management) represents an emerging environmental issue. Therefore, different sustainable and effective remediation methods and approaches are needed to prevent [...] Read more.
Arsenic is a highly toxic metalloid widespread in the Earth's crust, and its contamination due to different anthropogenic activities (application of agrochemicals, mining, waste management) represents an emerging environmental issue. Therefore, different sustainable and effective remediation methods and approaches are needed to prevent and protect humans and other organisms from detrimental arsenic exposure. Among numerous arsenic remediation methods, those supported by using microbes as sorbents (microbial remediation), and/or plants as green factories (phytoremediation) are considered as cost-effective and environmentally-friendly bioremediation. In addition, recent advances in genetic modifications and biotechnology have been used to develop (i) more efficient transgenic microbes and plants that can (hyper)accumulate or detoxify arsenic, and (ii) novel organo-mineral materials for more efficient arsenic remediation. In this review, the most recent insights from arsenic bio-/phytoremediation are presented, and the most relevant physiological and molecular mechanisms involved in arsenic biological routes, which can be useful starting points in the creation of more arsenic-tolerant microbes and plants, as well as their symbiotic associations are discussed. Full article
Show Figures

Figure 1

14 pages, 3477 KB  
Article
The Fate of Phosphorus in Experimental Burials: Chemical and Ultramicroscopic Characterization and Environmental Control of Its Persistency
by Giulia Tagliabue, Anna Masseroli, Stephania Irmgard Elena Ern, Roberto Comolli, Fulvia Tambone, Cristina Cattaneo and Luca Trombino
Geosciences 2023, 13(2), 24; https://doi.org/10.3390/geosciences13020024 - 20 Jan 2023
Cited by 9 | Viewed by 4019
Abstract
The permanence of a buried body in soil always induces the formation of a decomposition island that can serve as a significant recording location to understand how the persistence of a clandestine grave affects soil. This study aims to analyze the elemental exchange [...] Read more.
The permanence of a buried body in soil always induces the formation of a decomposition island that can serve as a significant recording location to understand how the persistence of a clandestine grave affects soil. This study aims to analyze the elemental exchange from buried bodies to soil, with a focus on phosphorus content, and to determine the effects of environmental factors on its persistency. The experiment was carried out using eleven swine carcasses buried in an open site (northern Italy). The analyses were performed using the Olsen P method, which allowed for a recognition of the trend of the amount of phosphorus over time, due to the decomposition of phospholipids, followed by the transfer of the element from bone to soil. Additionally, microanalyses performed using a scanning electron microscope (SEM-EDS) on two different soil sample specimens (i.e., “dust” and “plug”) allowed for the identification of numerous phosphatic features (i.e., coatings, infillings, impregnations, and organo-mineral associations), which are the result of the interaction between soil and body fluids and can thus be used as indicators of the former presence of decomposing body (even in its absence). The ultramicroscopic analysis also shows increasing and decreasing amounts of P2O5 over time in the soil, which could be related to environmental conditions (i.e., soil moisture), due to the leaching of phosphorus induced by the percolation of natural rainwater. The study underlines the potential use of these methods to evaluate the possibility of a cadaver–soil linkage and of assessing the burial in the soil for a variable period. Moreover, the study may aid in analyzing the dynamics of phosphorus migration from buried bodies to soil during and after the decomposition process. Full article
(This article belongs to the Special Issue The State-of-Art Methods and Case Studies in Geoforensics)
Show Figures

Figure 1

20 pages, 3595 KB  
Article
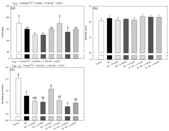
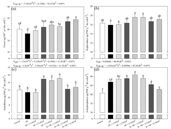
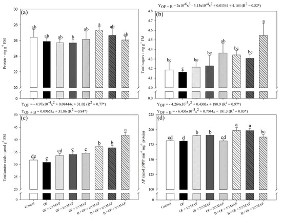
Bacillus velezensis Associated with Organomineral Fertilizer and Reduced Phosphate Doses Improves Soil Microbial—Chemical Properties and Biomass of Sugarcane
by Hariane Luiz Santos, Gustavo Ferreira da Silva, Melina Rodrigues Alves Carnietto, Laura Costa Oliveira, Carlos Henrique de Castro Nogueira and Marcelo de Almeida Silva
Agronomy 2022, 12(11), 2701; https://doi.org/10.3390/agronomy12112701 - 31 Oct 2022
Cited by 8 | Viewed by 3883
Abstract
Appropriately using phosphorus (P) for the fertilization of sugarcane is critical to achieving high productivity because it is one of the most limiting nutrients in agricultural cropping systems. Thus, the objective of this research was to evaluate the morphological, biochemical, and yield responses [...] Read more.
Appropriately using phosphorus (P) for the fertilization of sugarcane is critical to achieving high productivity because it is one of the most limiting nutrients in agricultural cropping systems. Thus, the objective of this research was to evaluate the morphological, biochemical, and yield responses of sugarcane, and the soil microbial–chemical properties, under the use of organomineral fertilizer (OF) associated or not with Bacillus velezensis strain UFV 3918 (B) combined with mono ammonium phosphate (MAP) doses. The experimental design used was completely randomized, consisting of eight treatments [Control (3/3 MAP); OF (without MAP); OF + 1/3 MAP; OF + 2/3 MAP; OF + 3/3 MAP; B + OF + 1/3 MAP; B + OF + 2/3 MAP; B + OF + 3/3 MAP] and four replicates. B + OF + 1/3 MAP provided increases in accumulated soil basal respiration (11.9%), carbon of microbial biomass (35.9%), fluorescein diacetate (12.7%), arylsulfatase (25.5%), and acid phosphatase (10.1%) activity compared to the control, which implied in higher shoot and total biomass. These results present a potential strategy for sugarcane fertilization, using bacteria in combination with OF to improve P nutrition and growth in sugarcane with reduced economic and environmental impact. Full article
(This article belongs to the Section Soil and Plant Nutrition)
Show Figures

Figure 1

17 pages, 3015 KB  
Article
Integrated Application of Inorganic and Organic Fertilizer Enhances Soil Organo-Mineral Associations and Nutrients in Tea Garden Soil
by Huan Li, Zhenmin Hu, Qing Wan, Bing Mu, Guifei Li and Yiyang Yang
Agronomy 2022, 12(6), 1330; https://doi.org/10.3390/agronomy12061330 - 30 May 2022
Cited by 20 | Viewed by 6031
Abstract
Soil quality is one of the main factors that affect the growth and quality of tea (Camellia sinensis L.) plantations. The formation of the organo-mineral complex is one of the critical factors that influence the evolution of soil fertility. This study used [...] Read more.
Soil quality is one of the main factors that affect the growth and quality of tea (Camellia sinensis L.) plantations. The formation of the organo-mineral complex is one of the critical factors that influence the evolution of soil fertility. This study used chemical analyses and spectroscopy to study the effects of inorganic and organic fertilizer on the soil nutrients and organo-mineral complex in tea garden soil. SR-FTIR analysis revealed that clay minerals were connected as nuclei with the capacity to bind carbon, and that this interaction was aided by organic fertilization. Specifically, the O-H has the quickest reaction to aliphatic-C, next by Si-O, Fe-O, and Al-O in OM70. The soil pH of organic and inorganic fertilization treatments are obviously lower than the no fertilization (CK) treatment. Furthermore, OM70 and OM100 had notably higher pH values in fertilized soil. Organic fertilization (OM70) treatment significantly increased Soil organic matter (SOM), total nitrogen (TN), available phosphorous, potassium (AP, AK), as well as the concentration of total and exchangeable Ca2+ and Mg2+ in soils when compared to no fertilization (CK) and inorganic fertilization (NPK). Together, these results can provide the scientific theoretical basis for the study on the understanding of the sequestration of SOM and confirmed the feasibility of organic fertilization in improving soil fertility and supporting organo-mineral interactions, thereby making a contribution to carbon storage in tea plantation ecosystems. Full article
(This article belongs to the Special Issue Advances in Tea Agronomy: From Yield to Quality)
Show Figures

Figure 1

15 pages, 1443 KB  
Article
Influence of Organomineral Fertiliser from Sewage Sludge on Soil Microbiome and Physiological Parameters of Maize (Zea mays L.)
by Małgorzata Hawrot-Paw, Małgorzata Mikiciuk, Adam Koniuszy and Edward Meller
Agronomy 2022, 12(5), 1114; https://doi.org/10.3390/agronomy12051114 - 4 May 2022
Cited by 9 | Viewed by 3267
Abstract
The use of a soil fertiliser results in high, good quality yields. The most widely used fertilisers are mineral or organic, but there is increasing attention on organomineral fertilisers produced from sewage sludge. These contain beneficial components which may improve soil fertility and [...] Read more.
The use of a soil fertiliser results in high, good quality yields. The most widely used fertilisers are mineral or organic, but there is increasing attention on organomineral fertilisers produced from sewage sludge. These contain beneficial components which may improve soil fertility and thus plant productivity, but there are some concerns associated with their application due to their composition. Using a short-term pot experiment the effect of such a soil conditioner called FS, produced from sewage sludge after stabilisation with lime, on the qualitative−quantitative composition and activity of soil microorganisms and selected physiological parameters of the maize was analysed. The study was carried out in a completely randomised design, including a control (soil + lime + NPK). The application of the FS had a positive effect on the soil pH, equivalent to the application of lime. Organomineral fertiliser, as a source of organic carbon and macroelements, had a positive effect on the number of soil microorganisms and their activity, and this influence was stable during maize vegetation. FS did not influence the gas exchange activity of maize, the content of assimilation pigments in leaves or and the efficiency of the photosynthetic apparatus determined by chlorophyll “a” fluorescence analysis, but it increased the light absorption efficiency of the PSII photosystem. Differences in biomass yield from organomineral and mineral fertilisation were statistically insignificant. Full article
Show Figures

Figure 1

13 pages, 1835 KB  
Article
Soil Aggregate Stability in Salt-Affected Vineyards: Depth-Wise Variability Analysis
by Aplena E. S. Bless, François Colin, Armand Crabit and Stéphane Follain
Land 2022, 11(4), 541; https://doi.org/10.3390/land11040541 - 7 Apr 2022
Cited by 5 | Viewed by 3457
Abstract
Soil aggregate stability is an ideal integrative soil quality indicator, but little is known about the relevance of such an indicator with soil depth for salt-affected soils. The objective of this study was to determine soil aggregate stability and identify preponderant aggregation factors, [...] Read more.
Soil aggregate stability is an ideal integrative soil quality indicator, but little is known about the relevance of such an indicator with soil depth for salt-affected soils. The objective of this study was to determine soil aggregate stability and identify preponderant aggregation factors, both in topsoil and subsoil horizons in salt-affected conditions. We conducted field investigations by describing soil profiles in pedological pits and by collecting soil samples from different field units. Soils were sampled within different soil horizon types, from superficial tilled organo-mineral horizons to mineral horizons. For all soil samples, we determined the mean weight diameter (MWD) as an indicator of soil aggregate stability and also determined associated physical and chemical properties in some samples. The measured MWD value from 0.28 mm to 1.10 mm could be categorised as unstable, with MWD values and variability decreasing drastically from the topsoil to the deepest mineral horizons. Analysis of MWD in relation to physical and chemical properties suggested that the variability in the MWD value of A-horizons was influenced by both clay fraction abundance and soil organic carbon (SOC) content and the nature of the agricultural practices, while at deeper B-horizons, the decrease in SOC content and the variability in other soil properties with soil depth could be used to explain the overall low aggregate stability. In this study, investigations of soil pits coupled with measurements of soil aggregate stability indicated that it could be possible to restore soil structure quality by limiting deep soil profile compaction in order to improve salt leaching and exportation. Full article
Show Figures

Figure 1

Back to TopTop