Global Well-Posedness and Stability of Nonlocal Damage-Structured Lineage Model with Feedback and Dedifferentiation
Abstract
1. Introduction
2. PDE Model and Well-Posedness
2.1. Notation and Standing Assumptions
- (H1)
- (H2)
- .
- (i)
- Globally Lipschitz extensions of the coefficients: The nonlinearities , , and on can be extended to globally Lipschitz functions on with the Lipschitz bounds for , respectively, where are positive constants.
- (ii)
- boundedness of : Let be the nonlocal birth operators in (8). Then for all ,so on or , the birth operators are bounded with norm controlled by .
- (iii)
- Local existence: For any and initial data with , there exists such that the transport system admits a unique local solution
- (i)
- The nonlinearities , , and on can be extended to globally Lipschitz functions on . Specifically, define the extensions:where . Since each of is and bounded on , the following definition is introducedDefine the truncation map by . Note that T is Lipschitz with constant 1. Then the extensions are globally Lipschitz on with Lipschitz constant , respectively. Finally, because on , the corresponding extension has the Lipschitz constant .
- (ii)
- This follows from applying the change of variable in each term of the integral and using the properties of the delta kernels.
- (iii)
- Local existence is used in Step 5 of Theorem 1. It establishes the local existence of solutions under a mass bound on the initial data, and is proved in Step 1 of the same theorem.
2.2. Existence, Uniqueness, Positivity, and Bounds
- (i)
- Define the Picard map on by a mild formulation along characteristics.
- (ii)
- Use Lipschitz feedback and change-of-variable formulas in the nonlocal births to show the map is a contraction for small T.
- (iii)
- Positivity is invariant by construction.
- (iv)
- Pass from mild to weak formulations and derive exact balance laws for total counts.
- (v)
- Obtain an a priori mass bound ; Grönwall ensures .
- (vi)
- Iterate the local solution using the bound to cover all .
- Step 1: Contraction. The proof begins by employing the Picard map , defined by the following formulas
- Step 2: Positivity. The solution is shown to remain nonnegative for all . The analysis is conducted in the ordered space
- Step 3: Weak formulations. Repeating the same arguments in Step 1 for the Picard map defined by the following formulas
- Step 4: Balance law. The functions and are absolutely continuous and satisfy exact balance laws.
- Step 5: Global existence. From Step 4, the local solution satisfiesso no blow-up occurs at .
3. Exact Reduction to ODE
- (i)
- (ii)
- (Compensatory feedback) self-renewal decays more slowly than differentiation:Equivalently, satisfies and .
- (i)
- (17) admits a unique global positive solution that is absolutely continuous in t.
- (ii)
- The positive quadrant is forward-invariant for the flow of the system.
- (iii)
- The system admits no nontrivial periodic orbits in (Dulac nonoscillation). Consequently, every bounded trajectory has an ω-limit set consisting only of equilibria and heteroclinic connections.
- (iv)
- If, in addition, the equilibrium is unique and all solutions are bounded, the unique equilibrium is globally asymptotically stable.
4. Local Stability and Bifurcation Threshold
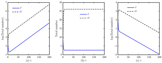
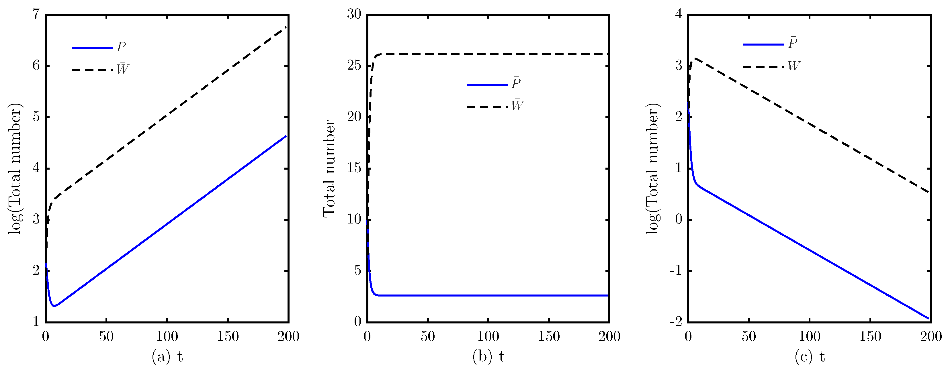
5. Global Stability Analysis
- (i)
- Convergence: If is bounded, then as , andIf, moreover, every solution of (9) is bounded, then is globally asymptotically stable.
- (ii)
- Divergence: Conversely, if the balance relation fails asymptotically, then cannot remain bounded. More precisely, as , if
- Step 2: No homoclinic orbits. Assume is a homoclinic orbit with limit point , and E is the interior of . Green’s theorem yieldsThis contradicts .
- Step 3: Classification of -limit sets. With periodic and homoclinic orbits ruled out and only finitely many equilibria assumed, the Poincaré–Bendixson theorem implies that the -limit set of any bounded trajectory is either a single equilibrium or a finite set of equilibria connected by a countable family of heteroclinic orbits, as stated.
- Step 4: Uniqueness ⇒ convergence of bounded trajectories. If the equilibrium is unique, any bounded trajectory’s -limit set lies in . Hence, . At equilibria
- (1)
- If both p and vary with their arguments, then (28) holds for only one pair .
- (2)
- If only p is non-constant, (28) fixes a unique , and gives a unique .
- (3)
- If only is non-constant, (28) fixes a unique , and the ratio law —whose left-hand side decreases and right-hand side increases in —yields a unique .
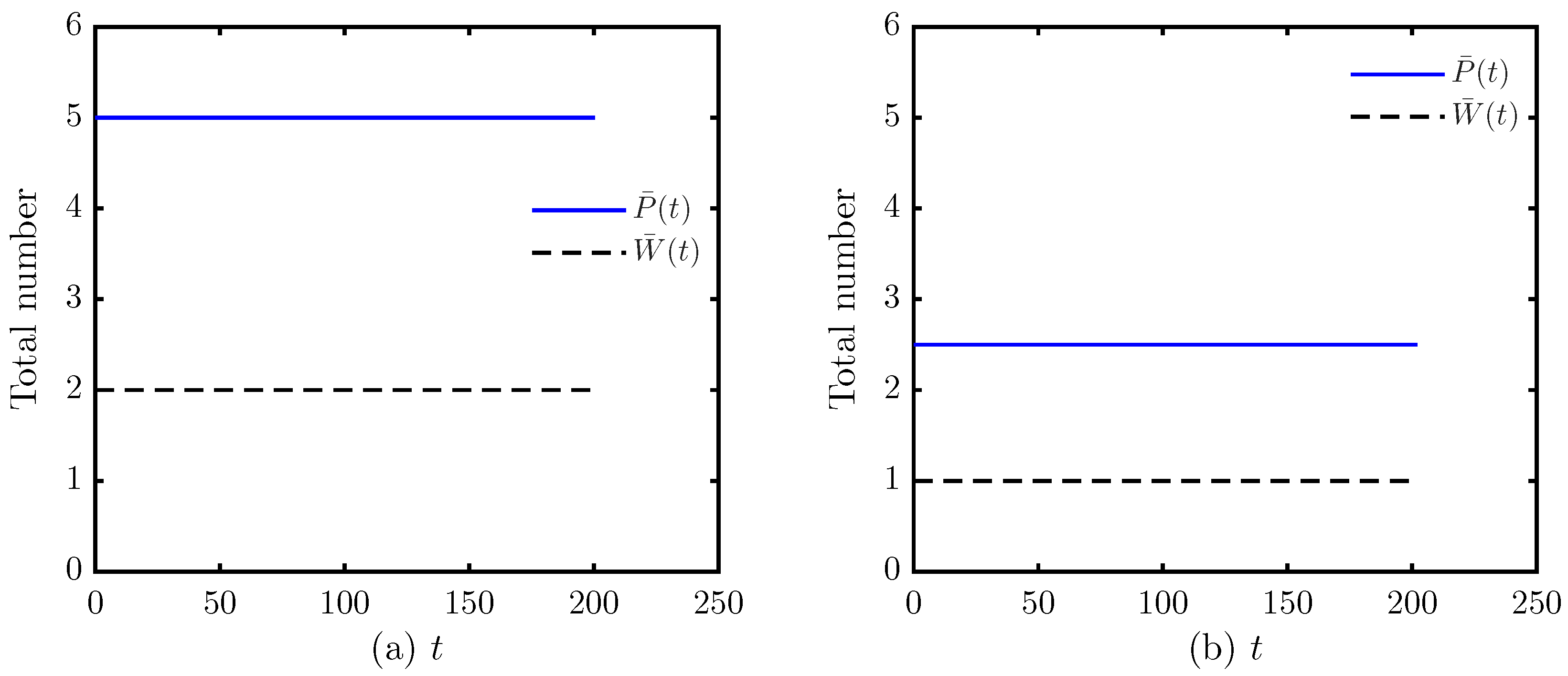
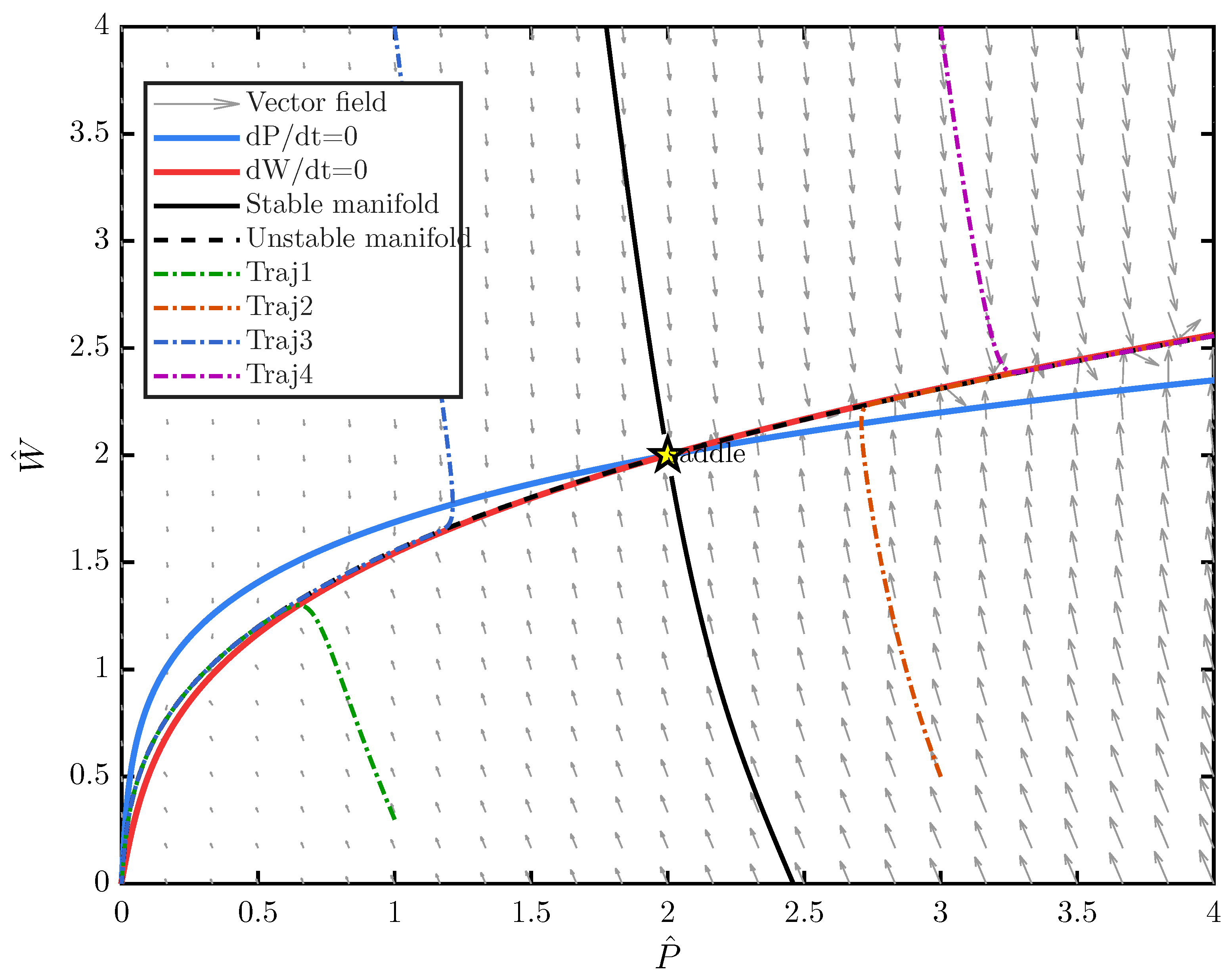
6. Numerical Results
7. Conclusions
Author Contributions
Funding
Data Availability Statement
Acknowledgments
Conflicts of Interest
Abbreviations
| CFL | Courant–Friedrichs–Lewy |
| ODE | Ordinary differential equation |
| PDE | Partial differential equation |
| TD | Terminally differentiated |
References
- Siebert, S.; Farrell, J.A.; Cazet, J.F.; Abeykoon, Y.; Primack, A.S.; Schnitzler, C.E.; Juliano, C.E. Stem cell differentiation trajectories in Hydra Resolv. Single-Cell Resolut. Science 2019, 365, eaav9314. [Google Scholar] [CrossRef]
- Bai, Y.; Boath, J.; White, G.R.; Kariyawasam, U.G.I.U.; Farah, C.S.; Darido, C. The Balance between Differentiation and Terminal Differentiation Maintains Oral Epithelial Homeostasis. Cancers 2021, 13, 5123. [Google Scholar] [CrossRef]
- Ashcroft, P.; Bonhoeffer, S. Constrained optimization of divisional load in hierarchically organized tissues during homeostasis. J. R. Soc. Interface 2022, 19, 20210784. [Google Scholar] [CrossRef] [PubMed]
- Halim, A.; Ariyanti, A.D.; Luo, Q.; Song, G. Recent Progress in Engineering Mesenchymal Stem Cell Differentiation. Stem Cell Rev. Rep. 2020, 16, 661–674. [Google Scholar] [CrossRef] [PubMed]
- Cheng, H.; Zheng, Z.; Cheng, T. New paradigms on hematopoietic stem cell differentiation. Protein Cell 2020, 11, 34–44. [Google Scholar] [CrossRef] [PubMed]
- Lander, A.D.; Gokoffski, K.K.; Wan, F.Y.M.; Nie, Q.; Calof, A.L. Cell Lineages and the Logic of Proliferative Control. PLoS Biol. 2009, 7, e1000015. [Google Scholar] [CrossRef]
- Dray, N.; Mancini, L.; Binshtok, U.; Cheysson, F.; Supatto, W.; Mahou, P.; Bedu, S.; Ortica, S.; Than-Trong, E.; Krecsmarik, M.; et al. Dynamic spatiotemporal coordination of neural stem cell fate decisions occurs through local feedback in the adult vertebrate brain. Cell Stem Cell 2021, 28, 1457–1472.e12. [Google Scholar] [CrossRef]
- Navarro, T.; Iannini, A.; Neto, M.; Campoy-Lopez, A.; Muñoz-García, J.; Pereira, P.S.; Ares, S.; Casares, F. Feedback control of organ size precision is mediated by BMP2-regulated apoptosis in the Drosophila eye. PLoS Biol. 2024, 22, e3002450. [Google Scholar] [CrossRef]
- Hannezo, E.; Heisenberg, C.P. Mechanochemical Feedback Loops in Development and Disease. Cell 2019, 178, 12–25. [Google Scholar] [CrossRef]
- Jopling, C.; Boue, S.; Belmonte, J.C.I. Dedifferentiation, transdifferentiation and reprogramming: Three routes to regeneration. Nat. Rev. Mol. Cell Biol. 2011, 12, 79–89. [Google Scholar] [CrossRef]
- Murata, K.; Jadhav, U.; Madha, S.; Van Es, J.; Dean, J.; Cavazza, A.; Wucherpfennig, K.; Michor, F.; Clevers, H.; Shivdasani, R.A. Ascl2-Dependent Cell Dedifferentiation Drives Regeneration of Ablated Intestinal Stem Cells. Cell Stem Cell 2020, 26, 377–390.e6. [Google Scholar] [CrossRef] [PubMed]
- Tata, P.R.; Mou, H.; Pardo-Saganta, A.; Zhao, R.; Prabhu, M.; Law, B.M.; Vinarsky, V.; Cho, J.L.; Breton, S.; Sahay, A.; et al. Dedifferentiation of committed epithelial cells into stem cells in vivo. Nature 2013, 503, 218–223. [Google Scholar] [CrossRef] [PubMed]
- Bensellam, M.; Jonas, J.C.; Laybutt, D.R. Mechanisms of β-cell dedifferentiation in diabetes: Recent findings and future research directions. J. Endocrinol. 2018, 236, R109–R143. [Google Scholar] [CrossRef] [PubMed]
- Nordmann, T.M.; Dror, E.; Schulze, F.; Traub, S.; Berishvili, E.; Barbieux, C.; Böni-Schnetzler, M.; Donath, M.Y. The Role of Inflammation in β-cell Dedifferentiation. Sci. Rep. 2017, 7, 6285. [Google Scholar] [CrossRef]
- Haddadin, L.; Sun, X. Stem Cells in Cancer: From Mechanisms to Therapeutic Strategies. Cells 2025, 14, 538. [Google Scholar] [CrossRef]
- Malta, T.M.; Sokolov, A.; Gentles, A.J.; Burzykowski, T.; Poisson, L.; Weinstein, J.N.; Kamińska, B.; Huelsken, J.; Omberg, L.; Gevaert, O.; et al. Machine Learning Identifies Stemness Features Associated with Oncogenic Dedifferentiation. Cell 2018, 173, 338–354.e15. [Google Scholar] [CrossRef]
- Shibue, T.; Weinberg, R.A. EMT, CSCs, and drug resistance: The mechanistic link and clinical implications. Nat. Rev. Clin. Oncol. 2017, 14, 611–629. [Google Scholar] [CrossRef]
- Masciale, V.; Banchelli, F.; Grisendi, G.; Samarelli, A.V.; Raineri, G.; Rossi, T.; Zanoni, M.; Cortesi, M.; Bandini, S.; Ulivi, P.; et al. The molecular features of lung cancer stem cells in dedifferentiation process-driven epigenetic alterations. J. Biol. Chem. 2024, 300, 107994. [Google Scholar] [CrossRef]
- Li, J.; Stanger, B.Z. How Tumor Cell Dedifferentiation Drives Immune Evasion and Resistance to Immunotherapy. Cancer Res. 2020, 80, 4037–4041. [Google Scholar] [CrossRef]
- Mi, L.; Hu, J.; Li, N.; Gao, J.; Huo, R.; Peng, X.; Zhang, N.; Liu, Y.; Zhao, H.; Liu, R.; et al. The Mechanism of Stem Cell Aging. Stem Cell Rev. Rep. 2022, 18, 1281–1293. [Google Scholar] [CrossRef]
- McNeely, T.; Leone, M.; Yanai, H.; Beerman, I. DNA damage in aging, the stem cell perspective. Hum. Genet. 2020, 139, 309–331. [Google Scholar] [CrossRef]
- Chatterjee, B.; Thakur, S.S. Aging of hematopoietic stem cells: Insight into mechanisms and consequences. In Stem Cells and Aging; Elsevier: Amsterdam, The Netherlands, 2021; pp. 103–111. [Google Scholar] [CrossRef]
- Liu, B.; Qu, J.; Zhang, W.; Izpisua Belmonte, J.C.; Liu, G.H. A stem cell aging framework, from mechanisms to interventions. Cell Rep. 2022, 41, 111451. [Google Scholar] [CrossRef]
- Oh, J.; Lee, Y.D.; Wagers, A.J. Stem cell aging: Mechanisms, regulators and therapeutic opportunities. Nat. Med. 2014, 20, 870–880. [Google Scholar] [CrossRef] [PubMed]
- Magal, P.; Ruan, S. Theory and Applications of Abstract Semilinear Cauchy Problems; Applied Mathematical Sciences; Springer International Publishing: Cham, Switzerland, 2018; Volume 201. [Google Scholar] [CrossRef]
- Perthame, B. Transport Equations in Biology; Frontiers in Mathematics; Birkhäuser Basel: Basel, Switzerland, 2007. [Google Scholar] [CrossRef]
- Cui, M.; Lv, Y.; Pan, H.; Yang, L. Hopf-bifurcation analysis of a stage-structured population model of cell differentiation. Phys. D Nonlinear Phenom. 2024, 467, 134266. [Google Scholar] [CrossRef]
- Doumic, M. Analysis of a Population Model Structured by the Cells Molecular Content. Math. Model. Nat. Phenom. 2007, 2, 121–152. [Google Scholar] [CrossRef][Green Version]
- Zhang, X.; Liu, Z. Periodic oscillations in age-structured ratio-dependent predator–prey model with Michaelis–Menten type functional response. Phys. D Nonlinear Phenom. 2019, 389, 51–63. [Google Scholar] [CrossRef]
- Webb, G.F. Population Models Structured by Age, Size, and Spatial Position. In Structured Population Models in Biology and Epidemiology; Lecture Notes in Mathematics; Morel, J.M., Takens, F., Teissier, B., Magal, P., Ruan, S., Eds.; Springer: Berlin/Heidelberg, Germany, 2008; Volume 1936, pp. 1–49. [Google Scholar] [CrossRef]
- Jilkine, A. Mathematical Models of Stem Cell Differentiation and Dedifferentiation. Curr. Stem Cell Rep. 2019, 5, 66–72. [Google Scholar] [CrossRef]
- Fischer, M.M.; Blüthgen, N. On tumoural growth and treatment under cellular dedifferentiation. J. Theor. Biol. 2023, 557, 111327. [Google Scholar] [CrossRef]
- Wang, Y.; Zhao, J.; Park, H.J.; Zhou, D. Effect of dedifferentiation on noise propagation in cellular hierarchy. Phys. Rev. E 2022, 105, 054409. [Google Scholar] [CrossRef]
- Wodarz, D. Effect of cellular de-differentiation on the dynamics and evolution of tissue and tumor cells in mathematical models with feedback regulation. J. Theor. Biol. 2018, 448, 86–93. [Google Scholar] [CrossRef]
- Mahdipour-Shirayeh, A.; Kaveh, K.; Kohandel, M.; Sivaloganathan, S. Phenotypic heterogeneity in modeling cancer evolution. PLoS ONE 2017, 12, e0187000. [Google Scholar] [CrossRef]
- Jilkine, A.; Gutenkunst, R.N. Effect of Dedifferentiation on Time to Mutation Acquisition in Stem Cell-Driven Cancers. PLoS Comput. Biol. 2014, 10, e1003481. [Google Scholar] [CrossRef]
- Zhou, D.; Luo, Y.; Dingli, D.; Traulsen, A. The invasion of de-differentiating cancer cells into hierarchical tissues. PLoS Comput. Biol. 2019, 15, e1007167. [Google Scholar] [CrossRef]
- Chen, X.; Wang, Y.; Feng, T.; Yi, M.; Zhang, X.; Zhou, D. The overshoot and phenotypic equilibrium in characterizing cancer dynamics of reversible phenotypic plasticity. J. Theor. Biol. 2016, 390, 40–49. [Google Scholar] [CrossRef]
- Zhou, D.; Wang, Y.; Wu, B. A multi-phenotypic cancer model with cell plasticity. J. Theor. Biol. 2014, 357, 35–45. [Google Scholar] [CrossRef] [PubMed]
- Zhou, D.; Wu, D.; Li, Z.; Qian, M.; Zhang, M.Q. Population dynamics of cancer cells with cell state conversions. Quant. Biol. 2013, 1, 201–208. [Google Scholar] [CrossRef] [PubMed]
- Rhodes, A.; Hillen, T. Mathematical Modeling of the Role of Survivin on Dedifferentiation and Radioresistance in Cancer. Bull. Math. Biol. 2016, 78, 1162–1188. [Google Scholar] [CrossRef] [PubMed]
- Wang, Y.; Lo, W.C.; Chou, C.S. Modelling stem cell ageing: A multi-compartment continuum approach. R. Soc. Open Sci. 2020, 7, 191848. [Google Scholar] [CrossRef]
- Xia, M.; Li, X.; Chou, T. Overcompensation of transient and permanent death rate increases in age-structured models with cannibalistic interactions. Phys. D Nonlinear Phenom. 2024, 470, 134339. [Google Scholar] [CrossRef]
- Perko, L. Differential Equations and Dynamical Systems; Texts in Applied Mathematics; Springer New York: New York, NY, USA, 2001; Volume 7. [Google Scholar] [CrossRef]
- Hirsch, M.W.; Smith, H.L. Chapter 4 Monotone Dynamical Systems. In Handbook of Differential Equations: Ordinary Differential Equations; Elsevier: Amsterdam, The Netherlands, 2006; Volume 2, pp. 239–357. [Google Scholar] [CrossRef]
- Ladyzhets, S.; Antel, M.; Simao, T.; Gasek, N.; Cowan, A.E.; Inaba, M. Self-limiting stem-cell niche signaling through degradation of a stem-cell receptor. PLoS Biol. 2020, 18, e3001003. [Google Scholar] [CrossRef]
- Wang, L.S.; Yu, J. Analysis Framework for Stochastic Predator–Prey Model with Demographic Noise. Results Appl. Math. 2025, 27, 100621. [Google Scholar] [CrossRef]
- Liu, Z.; Wang, L.S.; Yu, J.; Zhang, J.; Martel, E.; Li, S. Bidirectional Endothelial Feedback Drives Turing–Vascular Patterning and Drug-Resistance Niches: A Hybrid PDE–Agent-Based Study. Bioengineering 2025, 12, 1097. [Google Scholar] [CrossRef] [PubMed]





| Symbol | Meaning |
|---|---|
| Total stem-cell population at time t | |
| Total TD cell population at time t | |
| Total cell mass | |
| Damage accumulation velocities in P and W compartments | |
| Nonlocal birth operators (damage partitioning at division) | |
| Effective replication rate of P | |
| Dedifferentiation rate from W to P (possibly state dependent) | |
| Partition fractions in stem cell divisions | |
| Death rate of W (damage dependent, or constant ) | |
| Baseline (unregulated) probabilities and rates | |
| Feedback strength parameters in Hill-type regulation | |
| Hill exponents governing feedback steepness | |
| Equilibrium/steady state of the reduced ODE system |
Disclaimer/Publisher’s Note: The statements, opinions and data contained in all publications are solely those of the individual author(s) and contributor(s) and not of MDPI and/or the editor(s). MDPI and/or the editor(s) disclaim responsibility for any injury to people or property resulting from any ideas, methods, instructions or products referred to in the content. |
© 2025 by the authors. Licensee MDPI, Basel, Switzerland. This article is an open access article distributed under the terms and conditions of the Creative Commons Attribution (CC BY) license (https://creativecommons.org/licenses/by/4.0/).
Share and Cite
Liang, Y.; Wang, L.S.; Yu, J.; Liu, Z. Global Well-Posedness and Stability of Nonlocal Damage-Structured Lineage Model with Feedback and Dedifferentiation. Mathematics 2025, 13, 3583. https://doi.org/10.3390/math13223583
Liang Y, Wang LS, Yu J, Liu Z. Global Well-Posedness and Stability of Nonlocal Damage-Structured Lineage Model with Feedback and Dedifferentiation. Mathematics. 2025; 13(22):3583. https://doi.org/10.3390/math13223583
Chicago/Turabian StyleLiang, Ye, Louis Shuo Wang, Jiguang Yu, and Zonghao Liu. 2025. "Global Well-Posedness and Stability of Nonlocal Damage-Structured Lineage Model with Feedback and Dedifferentiation" Mathematics 13, no. 22: 3583. https://doi.org/10.3390/math13223583
APA StyleLiang, Y., Wang, L. S., Yu, J., & Liu, Z. (2025). Global Well-Posedness and Stability of Nonlocal Damage-Structured Lineage Model with Feedback and Dedifferentiation. Mathematics, 13(22), 3583. https://doi.org/10.3390/math13223583

