Sign in to use this feature.

Years

Between: -

Subjects

remove_circle_outline
remove_circle_outline
remove_circle_outline
remove_circle_outline
remove_circle_outline
remove_circle_outline
remove_circle_outline
remove_circle_outline
remove_circle_outline

Journals

Article Types

Countries / Regions

Search Results (8)

Search Parameters:
Keywords = orbital and epicyclic motions

Order results
Result details
Results per page
Select all
Export citation of selected articles as:
23 pages, 1793 KB  
Article
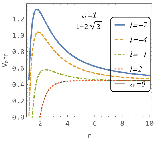
Restrictions on Regularized Fisher and Dilatonic Spacetimes Implied by High-Frequency Quasiperiodic Oscillations Observed in Microquasars and Active Galactic Nuclei
by Jaroslav Vrba and Zdeněk Stuchlík
Universe 2025, 11(3), 99; https://doi.org/10.3390/universe11030099 - 17 Mar 2025
Viewed by 433
Abstract
The Bronnikov generalization of the Fisher naked singularity and Dilatonic black hole spacetimes attracts high interest, as it combines two fundamental transitions of the solutions of Einstein equations. These are the black hole/wormhole “black bounce” transition of geometry, and the phantom/canonical transition of [...] Read more.
The Bronnikov generalization of the Fisher naked singularity and Dilatonic black hole spacetimes attracts high interest, as it combines two fundamental transitions of the solutions of Einstein equations. These are the black hole/wormhole “black bounce” transition of geometry, and the phantom/canonical transition of the scalar field, called trapped ghost scalar, combined with an electromagnetic field described by a non-linear electrodynamics. In the present paper, we put restrictions on the parameters of the Fisher (wormhole) and Dilatonic (black hole or wormhole) regularized spacetimes by using frequencies of the epicyclic orbital motion in the geodesic model for explanation of the high-frequency oscillations observed in microquasars or active galactic nuclei, where stellar mass or supermassive black holes are usually assumed. Full article
(This article belongs to the Special Issue Exotic Scenarios for Compact Astrophysical Objects)
Show Figures

Figure 1

16 pages, 1466 KB  
Article
Orbital Precession in Janis–Newman–Winicour Spacetime
by Bobur Turimov, Khurshid Karshiboev, Ahmadjon Abdujabbarov, Samik Mitra and Shavkat Karshiboev
Galaxies 2024, 12(5), 58; https://doi.org/10.3390/galaxies12050058 - 28 Sep 2024
Cited by 3 | Viewed by 1744
Abstract
We have investigated the Janis–Newman–Winicour spacetime through three fundamental tests of theories of gravity, namely, gravitational lensing, perihelion shift, and redshift due to gravitational force. Focusing initially on the circular motion of a massive particle within the equatorial plane, the analysis disregards external [...] Read more.
We have investigated the Janis–Newman–Winicour spacetime through three fundamental tests of theories of gravity, namely, gravitational lensing, perihelion shift, and redshift due to gravitational force. Focusing initially on the circular motion of a massive particle within the equatorial plane, the analysis disregards external scalar field interactions. The Janis–Newman–Winicour (JNW) spacetime’s unique parameters, mass (M) and the scalar parameter (n), are examined, revealing an intriguing relationship between the innermost stable circular orbit position of the test particle and the scalar field parameter. The study also explores photon motion around a gravitational object in JNW spacetime, revealing the expansion of the photon sphere alongside a diminishing shadow, influenced by the external scalar field. Despite these complexities, gravitational bending of light remains consistent with general relativity predictions. The investigation extends to perihelion precession, where the trajectory of a massive particle in JNW spacetime exhibits eccentricity-dependent shifts, distinguishing it from Schwarzschild spacetime. Finally, oscillatory motion of massive particles in JNW spacetime is explored, providing analytical expressions for epicyclic frequencies using perturbation methods. The study concludes with the application of MCMC analyses to constrain the JNW spacetime parameters based on observational data. Full article
Show Figures

Figure 1

14 pages, 656 KB  
Article
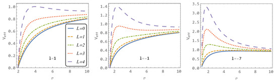
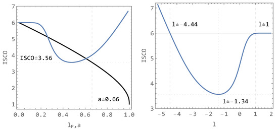
Epicyclic Oscillations and Circular Orbits in Hairy Black Holes: Testing by High-Frequency Quasi-Periodic Oscillations Observed in Microquasars
by Jaroslav Vrba
Universe 2024, 10(1), 9; https://doi.org/10.3390/universe10010009 - 25 Dec 2023
Cited by 2 | Viewed by 1703
Abstract
Recently, Ovalle and his collaborators proposed an exact solution to Einstein’s equations. In this study, we investigate the main characteristics of the spherically symmetric spacetime determined by the hair parameter l, with a specific focus on circular orbits, particularly the innermost circular [...] Read more.
Recently, Ovalle and his collaborators proposed an exact solution to Einstein’s equations. In this study, we investigate the main characteristics of the spherically symmetric spacetime determined by the hair parameter l, with a specific focus on circular orbits, particularly the innermost circular orbits (ISCOs), and the epicyclic oscillatory motion along these orbits. To assess the validity of this novel geometry, we employ the frequencies derived from the epicyclic resonance model of high-frequency quasi-periodic oscillations (HF QPOs) observed in microquasars, as well as the ISCOs. By analyzing the observed data from three selected microquasars, we establish constraints on the parameter l. Our findings suggest that this geometric framework can encompass the phenomena associated with HF QPOs and offer a partial explanation for the observed shift in the ISCOs, which is commonly attributed to the rotation of the black hole. Full article
(This article belongs to the Section Gravitation)
Show Figures

Figure 1

11 pages, 345 KB  
Article
The Orbital and Epicyclic Frequencies in Axially Symmetric and Stationary Spacetime
by Bobur Turimov and Ozodbek Rahimov
Universe 2022, 8(10), 507; https://doi.org/10.3390/universe8100507 - 26 Sep 2022
Cited by 20 | Viewed by 2126
Abstract
Motivated by observational evidence of the electromagnetic signal from the X-ray binary system known as quasi-periodic oscillations in the light curves of astrophysical black holes or neutron stars, we examined the general relativity and alternative theory of gravity in the strong gravity regime. [...] Read more.
Motivated by observational evidence of the electromagnetic signal from the X-ray binary system known as quasi-periodic oscillations in the light curves of astrophysical black holes or neutron stars, we examined the general relativity and alternative theory of gravity in the strong gravity regime. The orbital and epicyclic motion of test particles in general axially symmetric spacetime was investigated. We provide a general description to derive the exact analytical expressions for the fundamental frequencies, namely, Keplerian epicyclic (radial and vertical) frequencies of test particles in an arbitrary axisymmetric and stationary spacetime. The detailed derivation of the expressions for the orbital and epicyclic frequencies of test particles orbiting around the Kerr–Newman-NUT black hole is also shown. Full article
(This article belongs to the Special Issue Multi-Messengers of Black Hole Accretion and Emission)
Show Figures

Figure 1

23 pages, 1022 KB  
Article
Bound Orbits and Epicyclic Motions around Renormalization Group Improved Schwarzschild Black Holes
by Hou-Yu Lin and Xue-Mei Deng
Universe 2022, 8(5), 278; https://doi.org/10.3390/universe8050278 - 10 May 2022
Cited by 28 | Viewed by 3449
Abstract
We study timelike particles’ bound orbits around renormalization group improved Schwarzschild black holes (RGISBHs), which originate from renormalization group improvement of the Einstein–Hilbert action by using the running Newton constant. By considering the secular periastron precession for the timelike particles orbiting around RGISBHs, [...] Read more.
We study timelike particles’ bound orbits around renormalization group improved Schwarzschild black holes (RGISBHs), which originate from renormalization group improvement of the Einstein–Hilbert action by using the running Newton constant. By considering the secular periastron precession for the timelike particles orbiting around RGISBHs, we found that it is not feasible to distinguish such black holes from Schwarzschild ones in the weak gravitational field. However, in the strong gravitational field, periodic orbits for the particles are investigated by employing a taxonomy. This suggests that the variation of the parameters in RGISBHs can change the taxonomy. This leads to a transition from periodic motion around Schwarzschild black holes to a quasi-periodic motion around these black holes. After that, the epicyclic motions of charged particles around RGISBHs immersed in an external asymptotically uniform magnetic field are taken into account with respect to the observed twin peak quasi-periodic oscillations’ frequencies. The epicyclic motions of charged particles around such black holes in the external magnetic field can give one possible explanation for the 3:2 resonance in three low-mass X-ray binaries. Our results might provide some hints to distinguish RGISBHs from the classical black holes by using periodic orbits and epicyclic motions around the strong gravitational field. Full article
Show Figures

Figure 1

15 pages, 761 KB  
Article
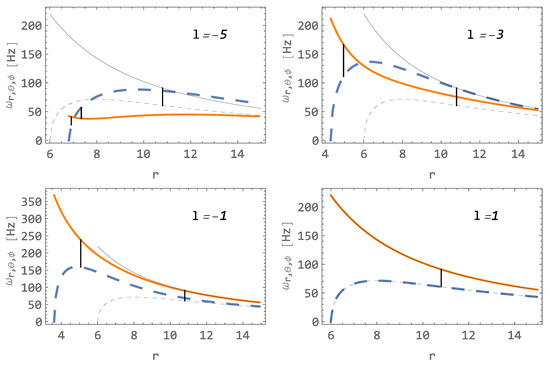
Epicyclic Oscillations around Simpson–Visser Regular Black Holes and Wormholes
by Zdeněk Stuchlík and Jaroslav Vrba
Universe 2021, 7(8), 279; https://doi.org/10.3390/universe7080279 - 1 Aug 2021
Cited by 44 | Viewed by 3168
Abstract
We study epicyclic oscillatory motion along circular geodesics of the Simpson–Visser meta-geometry describing in a unique way regular black-bounce black holes and reflection-symmetric wormholes by using a length parameter l. We give the frequencies of the orbital and epicyclic motion in a [...] Read more.
We study epicyclic oscillatory motion along circular geodesics of the Simpson–Visser meta-geometry describing in a unique way regular black-bounce black holes and reflection-symmetric wormholes by using a length parameter l. We give the frequencies of the orbital and epicyclic motion in a Keplerian disc with inner edge at the innermost circular geodesic located above the black hole outer horizon or on the our side of the wormhole. We use these frequencies in the epicyclic resonance version of the so-called geodesic models of high-frequency quasi-periodic oscillations (HF QPOs) observed in microquasars and around supermassive black holes in active galactic nuclei to test the ability of this meta-geometry to improve the fitting of HF QPOs observational data from the surrounding of supermassive black holes. We demonstrate that this is really possible for wormholes with sufficiently high length parameter l. Full article
(This article belongs to the Special Issue Recent Advances in Wormhole Physics)
Show Figures

Figure 1

11 pages, 7360 KB  
Proceeding Paper
Magnetized Black Hole as an Accelerator of Charged Particle
by Bobur Turimov
Phys. Sci. Forum 2021, 2(1), 27; https://doi.org/10.3390/ECU2021-09303 - 22 Feb 2021
Viewed by 2281
Abstract
Astrophysical accretion processes near the black hole candidates, such as active galactic nuclei (AGN), X-ray binary (XRB), and other astrophysical sources, are associated with high-energetic emission of radiation of relativistic particles and outflows (winds or jets). It is widely believed that the magnetic [...] Read more.
Astrophysical accretion processes near the black hole candidates, such as active galactic nuclei (AGN), X-ray binary (XRB), and other astrophysical sources, are associated with high-energetic emission of radiation of relativistic particles and outflows (winds or jets). It is widely believed that the magnetic field plays a very important role to explain such high energetic processes in the vicinity of those astrophysical sources. In the present research note, we propose that the black hole is embedded in an asymptotically uniform magnetic field. We investigate the dynamic motion of charged particles in the vicinity of a weakly magnetized black hole. We show that, in the presence of the magnetic field, the radius of the innermost stable circular orbits (ISCO) for a charged particle is located close to the black hole’s horizon. The fundamental frequencies, such as Keplerian and epicyclic frequencies of the charged particle are split into two parts due to the magnetic field, as an analog of the Zeeman effect. The orbital velocity of the charged particle measured by a local observer has been computed in the presence of the external magnetic field. We also present an analytical expression for the four-acceleration of the charged particle orbiting around black holes. Finally, we determine the intensity of the radiating charged accelerating relativistic particle orbiting around the magnetized black hole. Full article
(This article belongs to the Proceedings of The 1st Electronic Conference on Universe)
Show Figures

Figure 1

24 pages, 1755 KB  
Proceeding Paper
Magnetized Black Holes: Ionized Keplerian Disks and Acceleration of Ultra-High Energy Particles
by Zdeněk Stuchlík, Martin Kološ and Arman Tursunov
Proceedings 2019, 17(1), 13; https://doi.org/10.3390/proceedings2019017013 - 24 Oct 2019
Cited by 10 | Viewed by 1580
Abstract
Properties of charged particle motion in the field of magnetized black holes (BHs) imply four possible regimes of behavior of ionized Keplerian disks: survival in regular epicyclic motion, transformation into chaotic toroidal state, destruction due to fall into the BHs, destruction due to [...] Read more.
Properties of charged particle motion in the field of magnetized black holes (BHs) imply four possible regimes of behavior of ionized Keplerian disks: survival in regular epicyclic motion, transformation into chaotic toroidal state, destruction due to fall into the BHs, destruction due to escape along magnetic field lines (escape to infinity for disks orbiting Kerr BHs). The regime of the epicyclic motion influenced by very weak magnetic fields can be related to the observed high-frequency quasiperiodic oscillations. In the case of very strong magnetic fields particles escaping to infinity could form UHECR due to extremely efficient magnetic Penrose process – protons with energy E > 10 21 eV can be accelerated by supermassive black holes with M 10 10 M immersed in magnetic field with B 10 4 Gs. Full article
(This article belongs to the Proceedings of Recent Progress in Relativistic Astrophysics)
Back to TopTop