Epicyclic Oscillations around Simpson–Visser Regular Black Holes and Wormholes
Abstract
:1. Introduction
2. Simpson–Visser Meta-Geometry
3. Equations of Motion
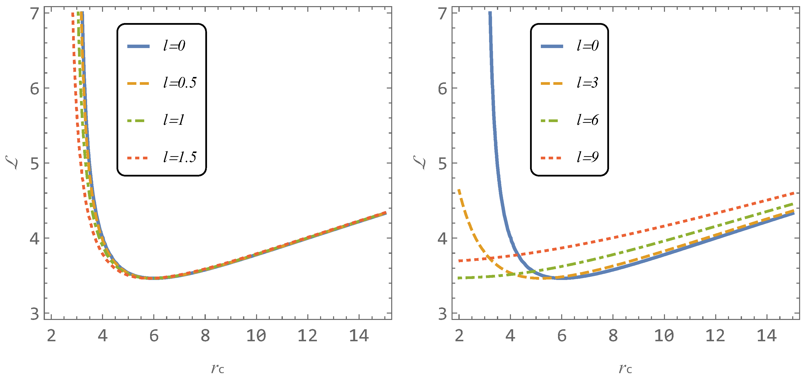
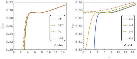
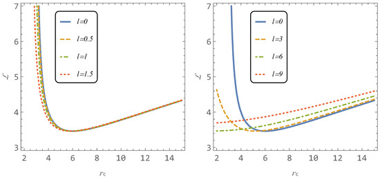
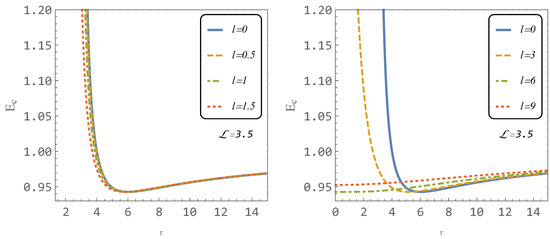
4. Circular Geodesics
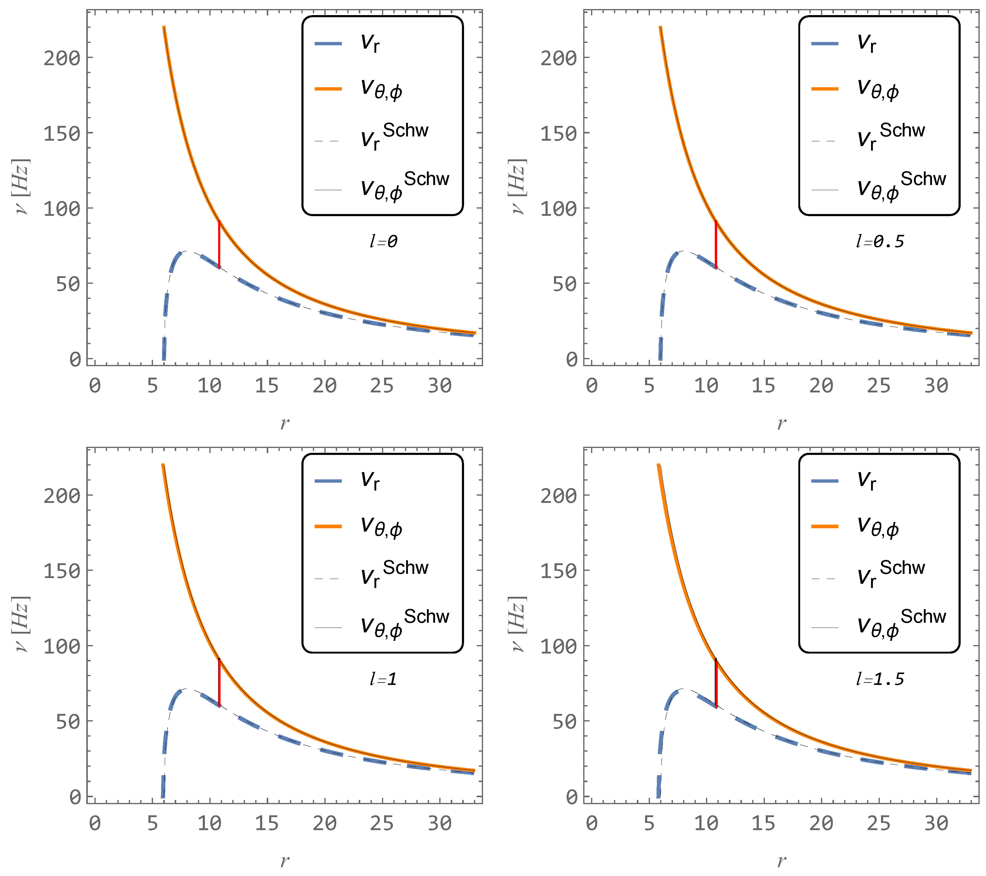
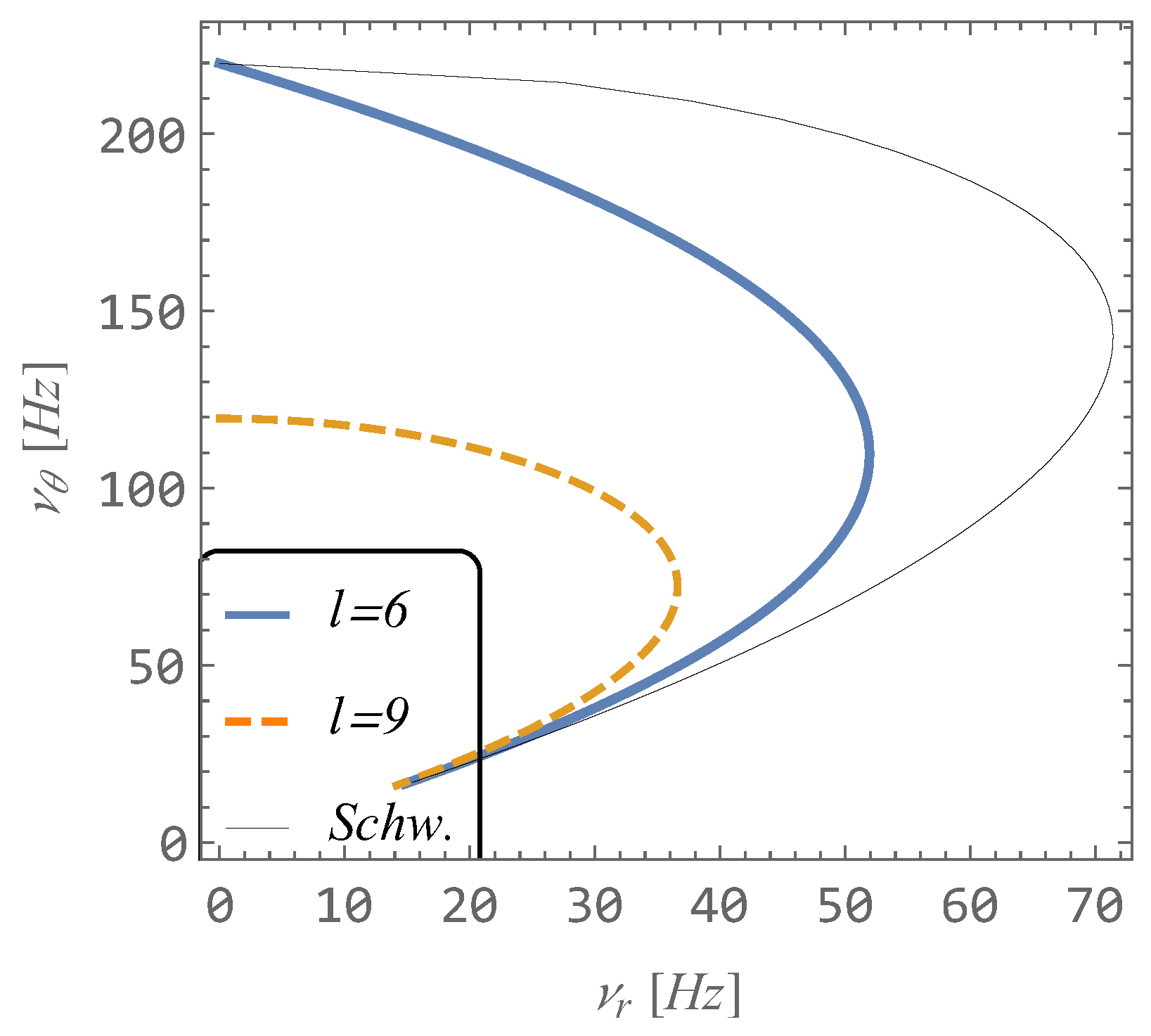
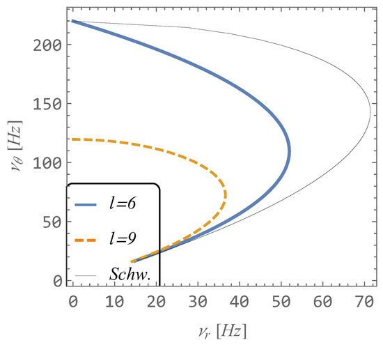
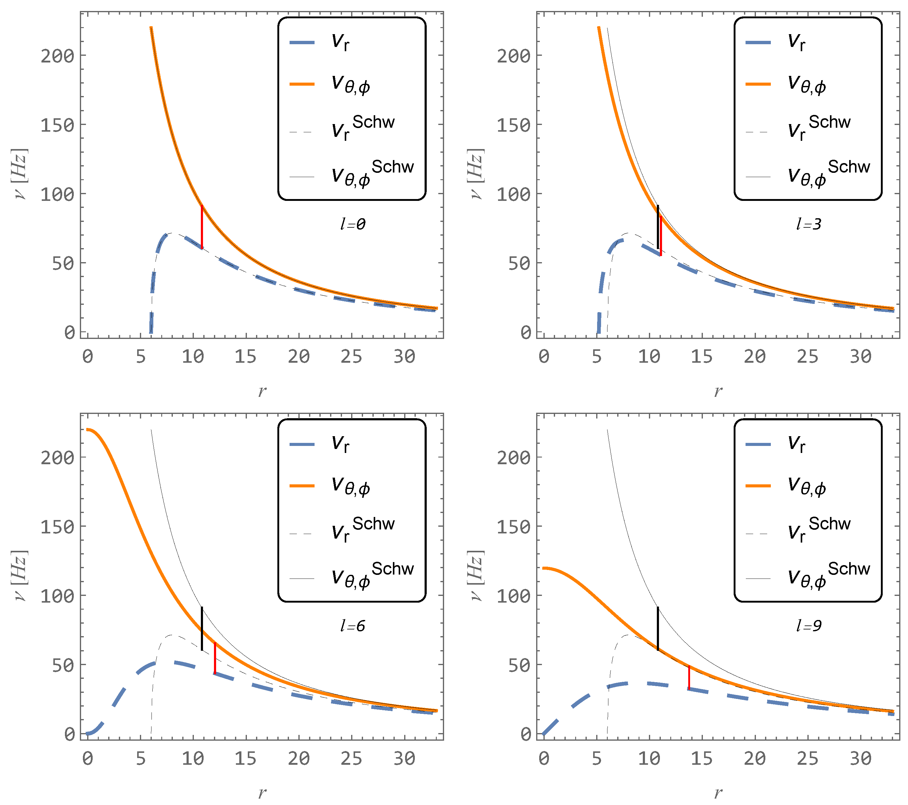
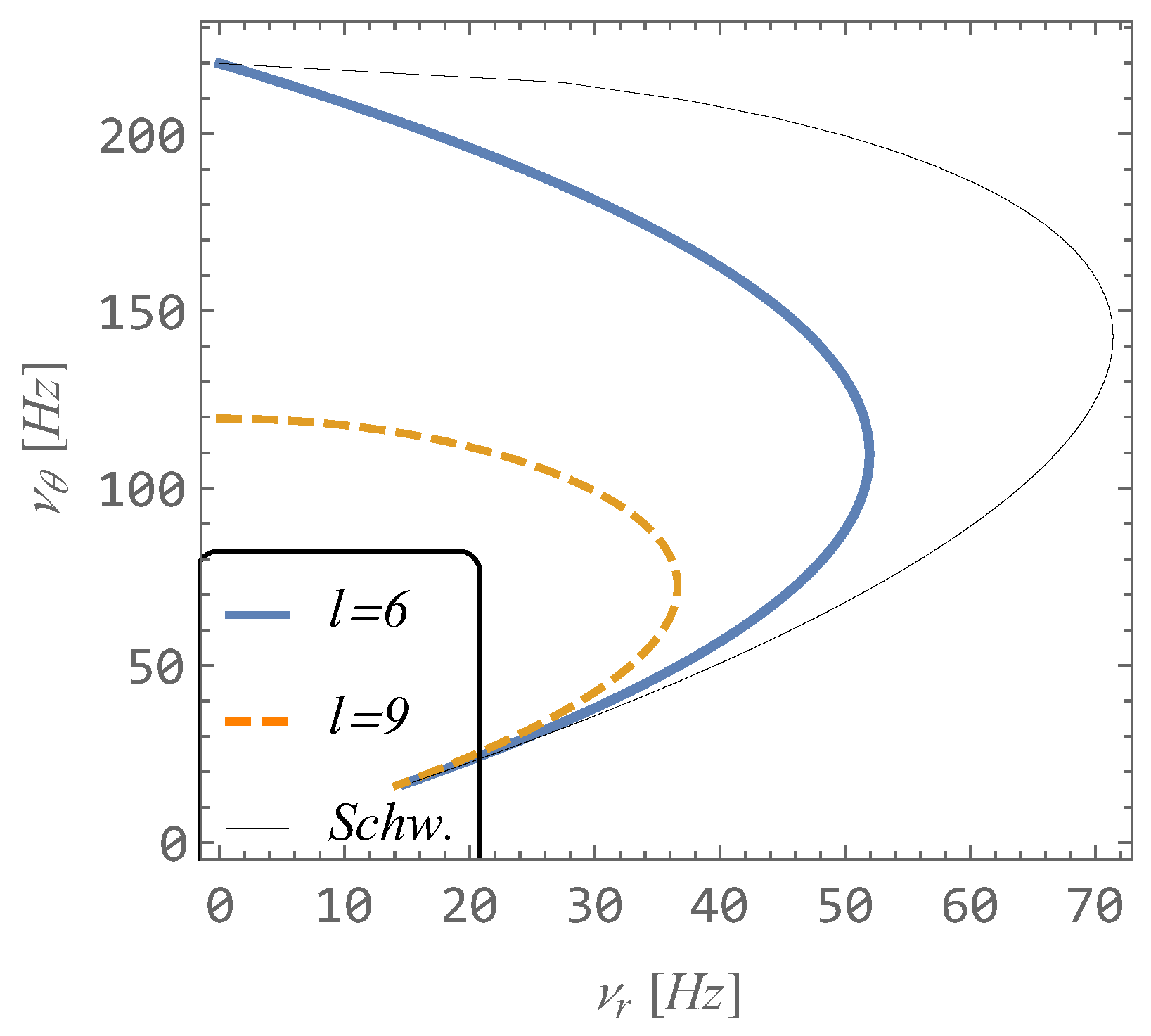
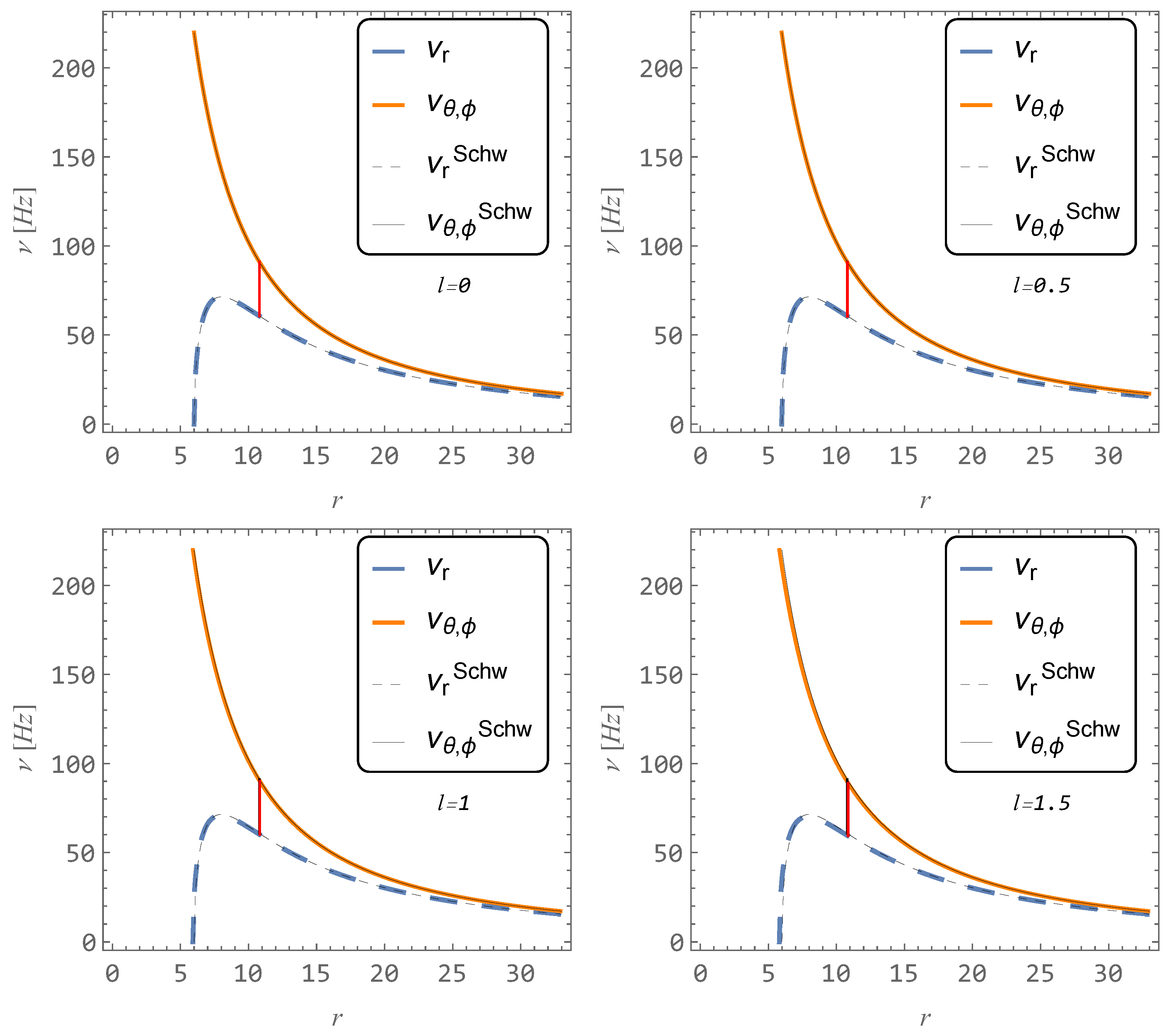
5. Epicyclic Orbital Motion and Its Frequencies
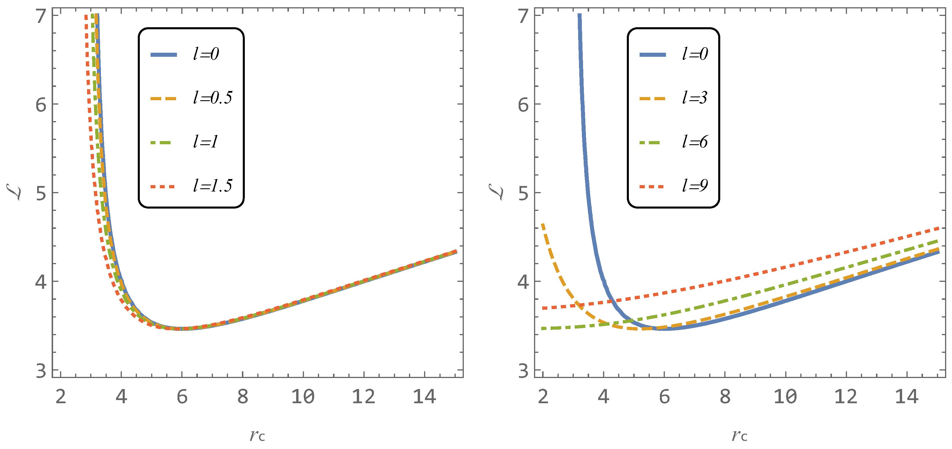
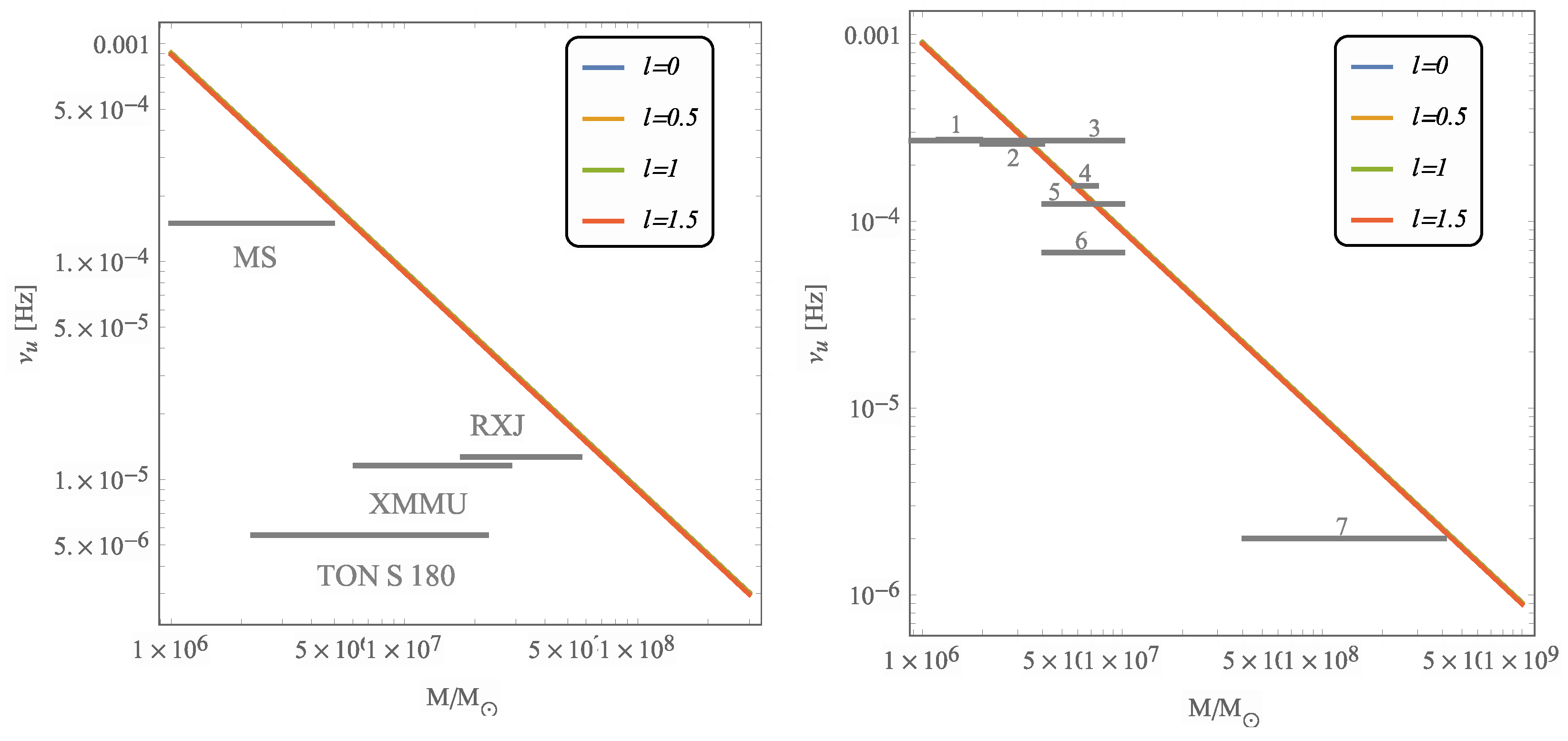
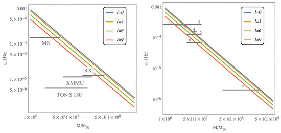
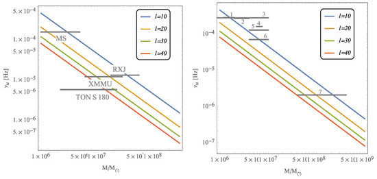
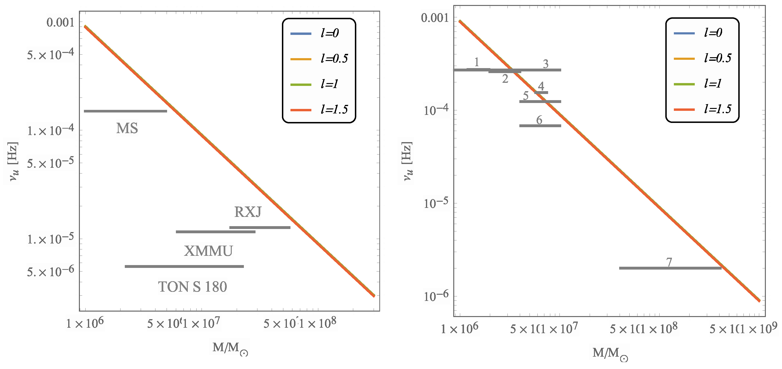
6. The Epicyclic Frequencies Applied in the Epicyclic Resonance Model to Fit the Twin HF QPOs with 3:2 Ratio Observed in Microquasars and around Supermassive Black Holes in Active Galactic Nuclei
7. Conclusions
Author Contributions
Funding
Acknowledgments
Conflicts of Interest
References
- Simpson, A.; Visser, M. Black-bounce to traversable wormhole. JCAP 2019, 2019, 42. [Google Scholar] [CrossRef] [Green Version]
- Mazza, J.; Franzin, E.; Liberati, S. A novel family of rotating black hole mimickers. JCAP 2021, 2021, 82. [Google Scholar] [CrossRef]
- Morris, M.S.; Thorne, K.S. Wormholes in spacetime and their use for interstellar travel: A tool for teaching general relativity. Am. J. Phys. 1988, 56, 395–412. [Google Scholar] [CrossRef] [Green Version]
- Morris, M.S.; Thorne, K.S.; Yurtsever, U. Wormholes, time machines, and the weak energy condition. Phys. Rev. Lett. 1988, 61, 1446–1449. [Google Scholar] [CrossRef] [PubMed] [Green Version]
- Bronnikov, K.A.; Dehnen, H.; Melnikov, V.N. Regular black holes and black universes. Gen. Relativ. Gravit. 2007, 39, 973–987. [Google Scholar] [CrossRef] [Green Version]
- Visser, M. Traversable wormholes from surgically modified Schwarzschild spacetimes. Nucl. Phys. B 1989, 328, 203–212. [Google Scholar] [CrossRef] [Green Version]
- Poisson, E.; Visser, M. Thin-shell wormholes: Linearization stability. Phys. Rev. D 1995, 52, 7318–7321. [Google Scholar] [CrossRef] [Green Version]
- Visser, M. Traversable wormholes: Some simple examples. Phys. Rev. D 1989, 39, 3182–3184. [Google Scholar] [CrossRef] [PubMed] [Green Version]
- Svítek, O.; Tahamtan, T. Nonsymmetric dynamical thin-shell wormhole in Robinson-Trautman class. Eur. Phys. J. C 2018, 78, 167. [Google Scholar] [CrossRef] [Green Version]
- Harko, T.; Lobo, F.S.N.; Mak, M.K.; Sushkov, S.V. Modified-gravity wormholes without exotic matter. Phys. Rev. D 2013, 87, 067504. [Google Scholar] [CrossRef] [Green Version]
- Maldacena, J.; Milekhin, A.; Popov, F. Traversable wormholes in four dimensions. arXiv 2018, arXiv:1807.04726. [Google Scholar]
- Blázquez-Salcedo, J.L.; Knoll, C. Constructing spherically symmetric Einstein-Dirac systems with multiple spinors: Ansatz, wormholes and other analytical solutions. Eur. Phys. J. C 2020, 80, 174. [Google Scholar] [CrossRef]
- Blázquez-Salcedo, J.L.; Knoll, C.; Radu, E. Traversable Wormholes in Einstein-Dirac-Maxwell Theory. Phys. Rev. Lett. 2021, 126, 101102. [Google Scholar] [CrossRef] [PubMed]
- Tursunov, A.; Zajaček, M.; Eckart, A.; Kološ, M.; Britzen, S.; Stuchlík, Z.; Czerny, B.; Karas, V. Effect of Electromagnetic Interaction on Galactic Center Flare Components. Astrophys. J. 2020, 897, 99. [Google Scholar] [CrossRef]
- Event Horizon Telescope Collaboration. First M87 Event Horizon Telescope Results. I. The Shadow of the Supermassive Black Hole. Astrophys. J. Lett. 2019, 875, L1. [Google Scholar] [CrossRef]
- Gimon, E.G.; Hořava, P. Astrophysical violations of the Kerr bound as a possible signature of string theory. Phys. Lett. B 2009, 672, 299–302. [Google Scholar] [CrossRef] [Green Version]
- Stuchlík, Z.; Hledík, S.; Truparová, K. Evolution of Kerr superspinars due to accretion counterrotating thin discs. Class. Quantum Gravity 2011, 28, 155017. [Google Scholar] [CrossRef]
- Stuchlík, Z.; Schee, J. Observational phenomena related to primordial Kerr superspinars. Class. Quantum Gravity 2012, 29, 065002. [Google Scholar] [CrossRef]
- Stuchlík, Z.; Schee, J. Appearance of Keplerian discs orbiting Kerr superspinars. Class. Quantum Gravity 2010, 27, 215017. [Google Scholar] [CrossRef] [Green Version]
- Stuchlik, Z. Equatorial Circular Orbits and the Motion of the Shell of Dust in the Field of a Rotating Naked Singularity. Bull. Astron. Inst. Czechoslov. 1980, 31, 129. [Google Scholar]
- Stuchlík, Z.; Schee, J. Ultra-high-energy collisions in the superspinning Kerr geometry. Class. Quantum Gravity 2013, 30, 075012. [Google Scholar] [CrossRef]
- Blaschke, M.; Stuchlík, Z. Efficiency of the Keplerian accretion in braneworld Kerr-Newman spacetimes and mining instability of some naked singularity spacetimes. Phys. Rev. D 2016, 94, 086006. [Google Scholar] [CrossRef] [Green Version]
- Stuchlík, Z.; Blaschke, M.; Schee, J. Particle collisions and optical effects in the mining Kerr-Newman spacetimes. Phys. Rev. D 2017, 96, 104050. [Google Scholar] [CrossRef] [Green Version]
- Abdujabbarov, A.; Juraev, B.; Ahmedov, B.; Stuchlík, Z. Shadow of rotating wormhole in plasma environment. Astrophys. Space Sci. 2016, 361, 226. [Google Scholar] [CrossRef]
- Deligianni, E.; Kunz, J.; Nedkova, P.; Yazadjiev, S.; Zheleva, R. Quasi-periodic oscillations from the accretion disk around rotating traversable wormholes. arXiv 2021, arXiv:2103.13504. [Google Scholar]
- Zhou, T.-Y.; Xie, Y. Precessing and periodic motions around a black-bounce/traversable wormhole. Eur. Phys. J. C 2020, 80, 1070. [Google Scholar] [CrossRef]
- Guerrero, M.; Olmo, G.J.; Rubiera-Garcia, D.; Sáez-Chillón Gómez, D. Shadows and optical appearance of black bounces illuminated by a thin accretion disk. arXiv 2021, arXiv:2105.15073. [Google Scholar]
- Stuchlík, Z.; Schee, J. Appearance of Keplerian discs orbiting on both sides of a reflection-symmetries wormhole. Eur. Phys. J. C 2021. submitted. [Google Scholar]
- Churilova, M.S.; Stuchlík, Z. Ringing of the regular black-hole/wormhole transition. Class. Quantum Gravity 2020, 37, 075014. [Google Scholar] [CrossRef] [Green Version]
- Bronnikov, K.A.; Konoplya, R.A. Echoes in brane worlds: Ringing at a black hole-wormhole transition. Phys. Rev. D 2020, 101, 064004. [Google Scholar] [CrossRef] [Green Version]
- Stuchlík, Z.; Kotrlová, A.; Török, G. Multi-resonance orbital model of high-frequency quasi-periodic oscillations: Possible high-precision determination of black hole and neutron star spin. Astron. Astrophys. 2013, 552, A10. [Google Scholar] [CrossRef] [Green Version]
- Stuchlík, Z.; Kološ, M.; Kovář, J.; Slaný, P.; Tursunov, A. Influence of Cosmic Repulsion and Magnetic Fields on Accretion Disks Rotating around Kerr Black Holes. Universe 2020, 6, 26. [Google Scholar] [CrossRef] [Green Version]
- Török, G.; Kotrlová, A.; Šrámková, E.; Stuchlík, Z. Confronting the models of 3:2 quasiperiodic oscillations with the rapid spin of the microquasar GRS 1915+105. Astron. Astrophys. 2011, 531, A59. [Google Scholar] [CrossRef] [Green Version]
- Smith, K.L.; Tandon, C.R.; Wagoner, R.V. Confrontation of Observation and Theory: High-frequency QPOs in X-ray Binaries, Tidal Disruption Events, and Active Galactic Nuclei. Astrophys. J. 2021, 906, 92. [Google Scholar] [CrossRef]
- Rovelli, C.; Vidotto, F. Planck stars. Int. J. Mod. Phys. D 2014, 23, 1442026. [Google Scholar] [CrossRef]
- Haggard, H.M.; Rovelli, C. Quantum-gravity effects outside the horizon spark black to white hole tunneling. Phys. Rev. D 2015, 92, 104020. [Google Scholar] [CrossRef] [Green Version]
- Malafarina, D. Classical Collapse to Black Holes and Quantum Bounces: A Review. Universe 2017, 3, 48. [Google Scholar] [CrossRef] [Green Version]
- Carballo-Rubio, R.; Di Filippo, F.; Liberati, S.; Visser, M. Geodesically complete black holes. Phys. Rev. D 2020, 101, 084047. [Google Scholar] [CrossRef]
- Misner, C.W.; Thorne, K.S.; Wheeler, J.A. Gravitation; W. H. Freeman Princeton University Press: Princeton, NJ, USA, 1973. [Google Scholar]
- Bicak, J.; Suchlik, Z.; Balek, V. The Motion of Charged Particles in the Field of Rotating Charged Black Holes and Naked Singularities. I. The General Features of the Radial Motion and the Motion Along the Axis of Symmetry. Bull. Astron. Inst. Czechoslov. 1989, 40, 65. [Google Scholar]
- Török, G.; Stuchlík, Z. Radial and vertical epicyclic frequencies of Keplerian motion in the field of Kerr naked singularities. Comparison with the black hole case and possible instability of naked-singularity accretion discs. Astron. Astrophys. 2005, 437, 775–788. [Google Scholar] [CrossRef]
- Kološ, M.; Stuchlík, Z.; Tursunov, A. Quasi-harmonic oscillatory motion of charged particles around a Schwarzschild black hole immersed in a uniform magnetic field. Class. Quantum Gravity 2015, 32, 165009. [Google Scholar] [CrossRef] [Green Version]
- Tursunov, A.; Stuchlík, Z.; Kološ, M. Circular orbits and related quasiharmonic oscillatory motion of charged particles around weakly magnetized rotating black holes. Phys. Rev. D 2016, 93, 084012. [Google Scholar] [CrossRef] [Green Version]
- Stuchlík, Z.; Kološ, M. Acceleration of the charged particles due to chaotic scattering in the combined black hole gravitational field and asymptotically uniform magnetic field. Eur. Phys. J. C 2016, 76, 32. [Google Scholar] [CrossRef] [Green Version]
- Kološ, M.; Tursunov, A.; Stuchlík, Z. Possible signature of the magnetic fields related to quasi-periodic oscillations observed in microquasars. Eur. Phys. J. C 2017, 77, 860. [Google Scholar] [CrossRef]
- Kato, S.; Fukue, J.; Mineshige, S. Black-Hole Accretion Disks; Kyoto University Press: Kyoto, Japan, 1998. [Google Scholar]
- Remillard, R.A.; McClintock, J.E. X-ray Properties of Black-Hole Binaries. Annu. Rev. Astron. Astrophys. 2006, 44, 49–92. [Google Scholar] [CrossRef] [Green Version]
- McClintock, J.E.; Remillard, R.A. Black hole binaries. In Compact Stellar X-ray Sources; Cambridge University Press: Cambridge, UK, 2006; Volume 39, pp. 157–213. [Google Scholar]
- Kluzniak, W.; Abramowicz, M.A. Strong-Field Gravity and Orbital Resonance in Black Holes and Neutron Stars—kHz Quasi-Periodic Oscillations (QPO). Acta Phys. Pol. B 2001, 32, 3605. [Google Scholar]
- Rezzolla, L.; Yoshida, S.; Zanotti, O. Oscillations of vertically integrated relativistic tori - I. Axisymmetric modes in a Schwarzschild space-time. Mon. Not. RAS 2003, 344, 978–992. [Google Scholar] [CrossRef] [Green Version]
- Stella, L.; Vietri, M.; Morsink, S.M. Correlations in the Quasi-periodic Oscillation Frequencies of Low-Mass X-ray Binaries and the Relativistic Precession Model. Astrophys. J. Lett. 1999, 524, L63–L66. [Google Scholar] [CrossRef] [Green Version]
- Török, G.; Abramowicz, M.A.; Kluźniak, W.; Stuchlík, Z. The orbital resonance model for twin peak kHz quasi periodic oscillations in microquasars. Astron. Astrophys. 2005, 436, 1–8. [Google Scholar] [CrossRef]
- Rizwan, M.; Jamil, M.; Jusufi, K. Distinguishing a Kerr-like black hole and a naked singularity in perfect fluid dark matter via precession frequencies. Phys. Rev. D 2019, 99, 024050. [Google Scholar] [CrossRef] [Green Version]
- Bambi, C. Can the supermassive objects at the centers of galaxies be traversable wormholes? The first test of strong gravity for mm/sub-mm very long baseline interferometry facilities. Phys. Rev. D 2013, 87, 107501. [Google Scholar] [CrossRef] [Green Version]
- Nedkova, P.G.; Tinchev, V.K.; Yazadjiev, S.S. Shadow of a rotating traversable wormhole. Phys. Rev. D 2013, 88, 124019. [Google Scholar] [CrossRef] [Green Version]











Publisher’s Note: MDPI stays neutral with regard to jurisdictional claims in published maps and institutional affiliations. |
© 2021 by the authors. Licensee MDPI, Basel, Switzerland. This article is an open access article distributed under the terms and conditions of the Creative Commons Attribution (CC BY) license (https://creativecommons.org/licenses/by/4.0/).
Share and Cite
Stuchlík, Z.; Vrba, J. Epicyclic Oscillations around Simpson–Visser Regular Black Holes and Wormholes. Universe 2021, 7, 279. https://doi.org/10.3390/universe7080279
Stuchlík Z, Vrba J. Epicyclic Oscillations around Simpson–Visser Regular Black Holes and Wormholes. Universe. 2021; 7(8):279. https://doi.org/10.3390/universe7080279
Chicago/Turabian StyleStuchlík, Zdeněk, and Jaroslav Vrba. 2021. "Epicyclic Oscillations around Simpson–Visser Regular Black Holes and Wormholes" Universe 7, no. 8: 279. https://doi.org/10.3390/universe7080279
APA StyleStuchlík, Z., & Vrba, J. (2021). Epicyclic Oscillations around Simpson–Visser Regular Black Holes and Wormholes. Universe, 7(8), 279. https://doi.org/10.3390/universe7080279
