Sign in to use this feature.

Years

Between: -

Subjects

remove_circle_outline
remove_circle_outline
remove_circle_outline
remove_circle_outline
remove_circle_outline
remove_circle_outline

Journals

Article Types

Countries / Regions

Search Results (39)

Search Parameters:
Keywords = optical properties of leaf surfaces

Order results
Result details
Results per page
Select all
Export citation of selected articles as:
23 pages, 5205 KB  
Article
Femtosecond Laser-Engineered β-TCP Scaffolds: A Comparative Study of Green-Synthesized AgNPs vs. Ion Doping Against S. aureus for Bone Regeneration
by Marco Oliveira, Liliya Angelova, Georgi Avdeev, Liliana Grenho, Maria Helena Fernandes and Albena Daskalova
Int. J. Mol. Sci. 2025, 26(10), 4888; https://doi.org/10.3390/ijms26104888 - 20 May 2025
Viewed by 1068
Abstract
Implant-associated infections, particularly those linked to Staphylococcus aureus (S. aureus), continue to compromise the clinical success of β-tricalcium phosphate (β-TCP) implants despite their excellent biocompatibility and osteoconductivity. This investigation aims to tackle these challenges by integrating femtosecond (fs)-laser surface processing with [...] Read more.
Implant-associated infections, particularly those linked to Staphylococcus aureus (S. aureus), continue to compromise the clinical success of β-tricalcium phosphate (β-TCP) implants despite their excellent biocompatibility and osteoconductivity. This investigation aims to tackle these challenges by integrating femtosecond (fs)-laser surface processing with two complementary strategies: ion doping and functionalization with green-synthesized silver nanoparticles (AgNPs). AgNPs were produced via fs-laser photoreduction using green tea leaf extract (GTLE), noted for its anti-inflammatory and antioxidant properties. Fs-laser processing was applied to modify β-TCP scaffolds by systematically varying scanning velocities, fluences, and patterns. Lower scanning velocities generated organized nanostructures with enhanced roughness and wettability, as confirmed by scanning electron microscopy (SEM), optical profilometry, and contact angle measurements, whereas higher laser energies induced significant phase transitions between hydroxyapatite (HA) and α-tricalcium phosphate (α-TCP), as revealed by X-ray diffraction (XRD). AgNP-functionalized scaffolds demonstrated markedly superior antibacterial activity against S. aureus compared to the ion-doped variants, attributed to the synergistic interplay of nanostructure-mediated surface disruption and AgNP-induced bactericidal mechanisms. Although ion-doped scaffolds exhibited limited direct antibacterial effects, they showed concentration-dependent activity in indirect assays, likely due to controlled ion release. Both strategies promoted osteogenic differentiation of human bone marrow mesenchymal stem cells (hBM-MSCs) under defined conditions, albeit with transient cytotoxicity at higher fluences and excessive ion doping. Overall, this approach holds promise for markedly improving antibacterial efficacy and osteogenic compatibility, potentially transforming bone regeneration therapies. Full article
(This article belongs to the Special Issue Recent Research of Nanomaterials in Molecular Science: 2nd Edition)
Show Figures

Figure 1

17 pages, 3052 KB  
Article
Estimation of Daylily Leaf Area Index by Synergy Multispectral and Radar Remote-Sensing Data Based on Machine-Learning Algorithm
by Minhuan Hu, Jingshu Wang, Peng Yang, Ping Li, Peng He and Rutian Bi
Agronomy 2025, 15(2), 456; https://doi.org/10.3390/agronomy15020456 - 13 Feb 2025
Cited by 2 | Viewed by 1346
Abstract
Rapid and accurate leaf area index (LAI) determination is important for monitoring daylily growth, yield estimation, and field management. Because of low estimation accuracy of empirical models based on single-source data, we proposed a machine-learning algorithm combining optical and microwave remote-sensing data as [...] Read more.
Rapid and accurate leaf area index (LAI) determination is important for monitoring daylily growth, yield estimation, and field management. Because of low estimation accuracy of empirical models based on single-source data, we proposed a machine-learning algorithm combining optical and microwave remote-sensing data as well as the random forest regression (RFR) importance score to select features. A high-precision LAI estimation model for daylilies was constructed by optimizing feature combinations. The RFR importance score screened the top five important features, including vegetation indices land surface water index (LSWI), generalized difference vegetation index (GDVI), normalized difference yellowness index (NDYI), and backscatter coefficients VV and VH. Vegetation index features characterized canopy moisture and the color of daylilies, and the backscatter coefficient reflected dielectric properties and geometric structure. The selected features were sensitive to daylily LAI. The RFR algorithm had good anti-noise performance and strong fitting ability; thus, its accuracy was better than the partial least squares regression and artificial neural network models. Synergistic optical and microwave data more comprehensively reflected the physical and chemical properties of daylilies, making the RFR-VI-BC05 model after feature selection better than the others ( r = 0.711, RMSE = 0.498, and NRMSE = 9.10%). This study expanded methods for estimating daylily LAI by combining optical and radar data, providing technical support for daylily management. Full article
Show Figures

Figure 1

17 pages, 4739 KB  
Article
Antibacterial and Photocatalytic Activities of Leonotis ocymifolia (L. ocymifolia)-Mediated ZnO Nanoparticles Annealed at Different Temperatures
by Dorcas Mutukwa, Raymond Tichaona Taziwa, Shepherd Masimba Tichapondwa and Lindiwe Khotseng
Nanomaterials 2024, 14(23), 1929; https://doi.org/10.3390/nano14231929 - 29 Nov 2024
Cited by 3 | Viewed by 1065
Abstract
This research achieved the successful synthesis of zinc oxide (ZnO) NPs through an eco-friendly method, utilizing the leaf extract of Leonotis ocymifolia (L.O.). This innovative approach not only highlights the potential of green synthesis but also underscores the effectiveness of natural resources in [...] Read more.
This research achieved the successful synthesis of zinc oxide (ZnO) NPs through an eco-friendly method, utilizing the leaf extract of Leonotis ocymifolia (L.O.). This innovative approach not only highlights the potential of green synthesis but also underscores the effectiveness of natural resources in nanoparticle production. The influence of annealing temperature on the properties and performance of the synthesized ZnO NPs was evaluated by varying the annealing temperatures as follows: unannealed (000), 350 °C (350), 550 °C (550), and 750 °C (750). The XRD analysis of L.O-mediated ZnO NPs confirmed the synthesis of highly crystalline wurtzite-structured ZnO NPs, with calculated average crystallite sizes that ranged between 13.8 and 20.4 nm. The UV–Vis spectra revealed a single strong absorption peak ranging from 354 to 375 nm, and the absorption peaks red-shifted with an increase in annealing temperature. The SEM micrographs showed that annealing temperature had an effect on the morphology, particle size, and distribution, with the average particle of 53.7–66.3 nm. The BET analysis revealed that the surface area of the prepared ZnO NPs was between 31.6 and 13.2 m2/g. In addition to its significant impact on the characteristics of the L.O-mediated, annealing temperature notably boosts the L.O-mediated capacity to photodegrade Methylene blue (MB) dye. Moreover, it exhibited significant antibacterial efficacy against Escherichia coli (E. coli) and Staphylococcus aureus (S. aureus). The photodegradation studies under UV irradiation and in 180 min revealed 750 (71.1%) had the highest degradation efficiency compared to 000, 350, and 550. The antibacterial tests showed that 000 had greater antibacterial efficacy than 350, 550, and 750. The results from this work suggest that annealing temperature had a significant effect on the structural, morphological, and optical properties and performance of L.O-mediated ZnO NPs. Full article
Show Figures

Figure 1

21 pages, 9532 KB  
Article
Dual-Function Femtosecond Laser: β-TCP Structuring and AgNP Synthesis via Photoreduction with Azorean Green Tea for Enhanced Osteointegration and Antibacterial Properties
by Marco Oliveira, Liliya Angelova, Liliana Grenho, Maria Helena Fernandes and Albena Daskalova
Materials 2024, 17(20), 5057; https://doi.org/10.3390/ma17205057 - 16 Oct 2024
Cited by 1 | Viewed by 1821
Abstract
β-Tricalcium phosphate (β-TCP) is a well-established biomaterial for bone regeneration, highly regarded for its biocompatibility and osteoconductivity. However, its clinical efficacy is often compromised by susceptibility to bacterial infections. In this study, we address this limitation by integrating femtosecond (fs)-laser processing with the [...] Read more.
β-Tricalcium phosphate (β-TCP) is a well-established biomaterial for bone regeneration, highly regarded for its biocompatibility and osteoconductivity. However, its clinical efficacy is often compromised by susceptibility to bacterial infections. In this study, we address this limitation by integrating femtosecond (fs)-laser processing with the concurrent synthesis of silver nanoparticles (AgNPs) mediated by Azorean green tea leaf extract (GTLE), which is known for its rich antioxidant and anti-inflammatory properties. The fs laser was employed to modify the surface of β-TCP scaffolds by varying scanning velocities, fluences, and patterns. The resulting patterns, formed at lower scanning velocities, display organized nanostructures, along with enhanced roughness and wettability, as characterized by Scanning Electron Microscopy (SEM), optical profilometry, and contact angle measurements. Concurrently, the femtosecond laser facilitated the photoreduction of silver ions in the presence of GTLE, enabling the efficient synthesis of small, spherical AgNPs, as confirmed by UV–vis spectroscopy, Transmission Electron Microscopy (TEM), and Fourier Transform Infrared Spectroscopy (FTIR). The resulting AgNP-embedded β-TCP scaffolds exhibited a significantly improved cell viability and elongation of human bone marrow mesenchymal stem cells (hBM-MSCs), alongside significant antibacterial activity against Staphylococcus aureus (S. aureus). This study underscores the transformative potential of combining femtosecond laser surface modification with GTLE-mediated AgNP synthesis, presenting a novel and effective strategy for enhancing the performance of β-TCP scaffolds in bone-tissue engineering. Full article
Show Figures

Figure 1

36 pages, 3550 KB  
Review
Advanced Laser Techniques for the Development of Nature-Inspired Biomimetic Surfaces Applied in the Medical Field
by Anita Ioana Visan and Gianina Florentina Popescu-Pelin
Coatings 2024, 14(10), 1290; https://doi.org/10.3390/coatings14101290 - 9 Oct 2024
Cited by 8 | Viewed by 4145
Abstract
This review focuses on the innovative use of laser techniques in developing and functionalizing biomimetic surfaces, emphasizing their potential applications in the medical and biological fields. Drawing inspiration from the remarkable properties of various natural systems, such as the water-repellent lotus leaf, the [...] Read more.
This review focuses on the innovative use of laser techniques in developing and functionalizing biomimetic surfaces, emphasizing their potential applications in the medical and biological fields. Drawing inspiration from the remarkable properties of various natural systems, such as the water-repellent lotus leaf, the adhesive gecko foot, the strong yet lightweight spider silk, and the unique optical structures of insect wings, we explore the potential for replicating these features through advanced laser surface modifications. Depending on the nature and architecture of the surface, particular techniques have been designed and developed. We present an in-depth analysis of various methodologies, including laser ablation/evaporation techniques, such as Pulsed Laser Deposition and Matrix-Assisted Pulsed Laser Evaporation, and approaches for laser surface structuring, including two-photon lithography, direct laser interference patterning, laser-induced periodic surface structures, direct laser writing, laser-induced forward transfer, and femtosecond laser ablation of metals in organic solvents. Additionally, specific applications are highlighted with the aim of synthesizing this knowledge and outlining future directions for research that further explore the intersection of laser techniques and biomimetic surfaces, paving the way for advancements in biomedical applications. Full article
(This article belongs to the Special Issue Biomimetic Approaches in Coatings Synthesis)
Show Figures

Figure 1

30 pages, 16281 KB  
Article
Hyperspectral and Chlorophyll Fluorescence Analyses of Comparative Leaf Surfaces Reveal Cellular Influences on Leaf Optical Properties in Tradescantia Plants
by Renan Falcioni, Werner Camargos Antunes, Roney Berti de Oliveira, Marcelo Luiz Chicati, José Alexandre M. Demattê and Marcos Rafael Nanni
Cells 2024, 13(11), 952; https://doi.org/10.3390/cells13110952 - 30 May 2024
Cited by 4 | Viewed by 3833
Abstract
The differential effects of cellular and ultrastructural characteristics on the optical properties of adaxial and abaxial leaf surfaces in the genus Tradescantia highlight the intricate relationships between cellular arrangement and pigment distribution in the plant cells. We examined hyperspectral and chlorophyll a fluorescence [...] Read more.
The differential effects of cellular and ultrastructural characteristics on the optical properties of adaxial and abaxial leaf surfaces in the genus Tradescantia highlight the intricate relationships between cellular arrangement and pigment distribution in the plant cells. We examined hyperspectral and chlorophyll a fluorescence (ChlF) kinetics using spectroradiometers and optical and electron microscopy techniques. The leaves were analysed for their spectral properties and cellular makeup. The biochemical compounds were measured and correlated with the biophysical and ultrastructural features. The main findings showed that the top and bottom leaf surfaces had different amounts and patterns of pigments, especially anthocyanins, flavonoids, total phenolics, chlorophyll-carotenoids, and cell and organelle structures, as revealed by the hyperspectral vegetation index (HVI). These differences were further elucidated by the correlation coefficients, which influence the optical signatures of the leaves. Additionally, ChlF kinetics varied between leaf surfaces, correlating with VIS-NIR-SWIR bands through distinct cellular structures and pigment concentrations in the hypodermis cells. We confirmed that the unique optical properties of each leaf surface arise not only from pigmentation but also from complex cellular arrangements and structural adaptations. Some of the factors that affect how leaves reflect light are the arrangement of chloroplasts, thylakoid membranes, vacuoles, and the relative size of the cells themselves. These findings improve our knowledge of the biophysical and biochemical reasons for leaf optical diversity, and indicate possible implications for photosynthetic efficiency and stress adaptation under different environmental conditions in the mesophyll cells of Tradescantia plants. Full article
Show Figures

Figure 1

25 pages, 21548 KB  
Article
Impact of Atmospheric Correction on Classification and Quantification of Seagrass Density from WorldView-2 Imagery
by Victoria J. Hill, Richard C. Zimmerman, Paul Bissett, David Kohler, Blake Schaeffer, Megan Coffer, Jiang Li and Kazi Aminul Islam
Remote Sens. 2023, 15(19), 4715; https://doi.org/10.3390/rs15194715 - 26 Sep 2023
Cited by 6 | Viewed by 3011
Abstract
Mapping the seagrass distribution and density in the underwater landscape can improve global Blue Carbon estimates. However, atmospheric absorption and scattering introduce errors in space-based sensors’ retrieval of sea surface reflectance, affecting seagrass presence, density, and above-ground carbon (AGCseagrass) estimates. This [...] Read more.
Mapping the seagrass distribution and density in the underwater landscape can improve global Blue Carbon estimates. However, atmospheric absorption and scattering introduce errors in space-based sensors’ retrieval of sea surface reflectance, affecting seagrass presence, density, and above-ground carbon (AGCseagrass) estimates. This study assessed atmospheric correction’s impact on mapping seagrass using WorldView-2 satellite imagery from Saint Joseph Bay, Saint George Sound, and Keaton Beach in Florida, USA. Coincident in situ measurements of water-leaving radiance (Lw), optical properties, and seagrass leaf area index (LAI) were collected. Seagrass classification and the retrieval of LAI were compared after empirical line height (ELH) and dark-object subtraction (DOS) methods were used for atmospheric correction. DOS left residual brightness in the blue and green bands but had minimal impact on the seagrass classification accuracy. However, the brighter reflectance values reduced LAI retrievals by up to 50% compared to ELH-corrected images and ground-based observations. This study offers a potential correction for LAI underestimation due to incomplete atmospheric correction, enhancing the retrieval of seagrass density and above-ground Blue Carbon from WorldView-2 imagery without in situ observations for accurate atmospheric interference correction. Full article
Show Figures

Figure 1

19 pages, 4937 KB  
Article
Impact of Diverse Parameters on the Physicochemical Characteristics of Green-Synthesized Zinc Oxide–Copper Oxide Nanocomposites Derived from an Aqueous Extract of Garcinia mangostana L. Leaf
by Yu Bin Chan, Mohammod Aminuzzaman, Lai-Hock Tey, Yip Foo Win, Akira Watanabe, Sinouvassane Djearamame and Md. Akhtaruzzaman
Materials 2023, 16(15), 5421; https://doi.org/10.3390/ma16155421 - 2 Aug 2023
Cited by 38 | Viewed by 2920
Abstract
Compared to conventional metal oxide nanoparticles, metal oxide nanocomposites have demonstrated significantly enhanced efficiency in various applications. In this study, we aimed to synthesize zinc oxide–copper oxide nanocomposites (ZnO-CuO NCs) using a green synthesis approach. The synthesis involved mixing 4 g of Zn(NO [...] Read more.
Compared to conventional metal oxide nanoparticles, metal oxide nanocomposites have demonstrated significantly enhanced efficiency in various applications. In this study, we aimed to synthesize zinc oxide–copper oxide nanocomposites (ZnO-CuO NCs) using a green synthesis approach. The synthesis involved mixing 4 g of Zn(NO3)2·6H2O with different concentrations of mangosteen (G. mangostana) leaf extract (0.02, 0.03, 0.04 and 0.05 g/mL) and 2 or 4 g of Cu(NO3)2·3H2O, followed by calcination at temperatures of 300, 400 and 500 °C. The synthesized ZnO-CuO NCs were characterized using various techniques, including a UV-Visible spectrometer (UV-Vis), photoluminescence (PL) spectroscopy, Fourier Transform Infrared (FTIR) spectroscopy, X-ray powder diffraction (XRD) analysis and Field Emission Scanning Electron Microscope (FE-SEM) with an Energy Dispersive X-ray (EDX) analyzer. Based on the results of this study, the optical, structural and morphological properties of ZnO-CuO NCs were found to be influenced by the concentration of the mangosteen leaf extract, the calcination temperature and the amount of Cu(NO3)2·3H2O used. Among the tested conditions, ZnO-CuO NCs derived from 0.05 g/mL of mangosteen leaf extract, 4 g of Zn(NO3)2·6H2O and 2 g of Cu(NO3)2·3H2O, calcinated at 500 °C exhibited the following characteristics: the lowest energy bandgap (2.57 eV), well-defined Zn-O and Cu-O bands, the smallest particle size of 39.10 nm with highest surface area-to-volume ratio and crystalline size of 18.17 nm. In conclusion, we successfully synthesized ZnO-CuO NCs using a green synthesis approach with mangosteen leaf extract. The properties of the nanocomposites were significantly influenced by the concentration of the plant extract, the calcination temperature and the amount of precursor used. These findings provide valuable insights for researchers seeking innovative methods for the production and utilization of nanocomposite materials. Full article
(This article belongs to the Special Issue Green Materials and Manufacturing Processes)
Show Figures

Graphical abstract

14 pages, 2790 KB  
Article
Encapsulation Properties of Mentha piperita Leaf Extracts Prepared Using an Ultrasound-Assisted Double Emulsion Method
by Bhawna Sobti, Afaf Kamal-Eldin, Sanaa Rasul, Mariam Saeed Khalfan Alnuaimi, Khulood Jaber Jasim Alnuaimi, Alia Ali Khsaif Alhassani, Mariam M. A. Almheiri and Akmal Nazir
Foods 2023, 12(9), 1838; https://doi.org/10.3390/foods12091838 - 28 Apr 2023
Cited by 10 | Viewed by 4257
Abstract
Double emulsions (W1/O/W2) have long been used in the food and pharmaceutical industries to encapsulate hydrophobic and hydrophilic drugs and bioactive compounds. This study investigated the effect of different types of emulsifiers (plant- vs. animal-based proteins) on the encapsulation [...] Read more.
Double emulsions (W1/O/W2) have long been used in the food and pharmaceutical industries to encapsulate hydrophobic and hydrophilic drugs and bioactive compounds. This study investigated the effect of different types of emulsifiers (plant- vs. animal-based proteins) on the encapsulation properties of Mentha piperita leaf extract (MLE) prepared using the double emulsion method. Using response surface methodology, the effect of ultrasound-assisted extraction conditions (amplitude 20–50%; time 10–30 min; ethanol concentration 70–90%) on the total phenolic content (TPC) and antioxidant activity (percent inhibition) of the MLE was studied. MLE under optimized conditions (ethanol concentration 76%; amplitude 39%; time 30 min) had a TPC of 62.83 mg GA equivalents/g and an antioxidant activity of 23.49%. The optimized MLE was encapsulated using soy, pea, and whey protein isolates in two emulsifying conditions: 4065× g/min and 4065× g/30 s. The droplet size, optical images, rheology, and encapsulation efficiency (EE%) of the different encapsulated MLEs were compared. The W1/O/W2 produced at 4065× g/min exhibited a smaller droplet size and higher EE% and viscosity than that prepared at 4065× g/30 s. The higher EE% of soy and pea protein isolates indicated their potential as an effective alternative for bioactive compound encapsulation. Full article
Show Figures

Graphical abstract

17 pages, 3347 KB  
Article
Green Synthesis of NiO-SnO2 Nanocomposite and Effect of Calcination Temperature on Its Physicochemical Properties: Impact on the Photocatalytic Degradation of Methyl Orange
by Sirajul Haq, Anum Sarfraz, Farid Menaa, Nadia Shahzad, Salah Ud Din, Hanadi A. Almukhlifi, Sohad A. Alshareef, Ethar M. Al Essa and Muhammad Imran Shahzad
Molecules 2022, 27(23), 8420; https://doi.org/10.3390/molecules27238420 - 1 Dec 2022
Cited by 34 | Viewed by 3325
Abstract
Background: Nickel stannate nanocomposites could be useful for removing organic and toxic water pollutants, such as methyl orange (MO). Aim: The synthesis of a nickel oxide–tin oxide nanocomposite (NiO-SnO2 NC) via a facile and economically viable approach using a leaf extract from [...] Read more.
Background: Nickel stannate nanocomposites could be useful for removing organic and toxic water pollutants, such as methyl orange (MO). Aim: The synthesis of a nickel oxide–tin oxide nanocomposite (NiO-SnO2 NC) via a facile and economically viable approach using a leaf extract from Ficus elastica for the photocatalytic degradation of MO. Methods: The phase composition, crystallinity, and purity were examined by X-ray diffraction (XRD). The particles’ morphology was studied using scanning electron microscopy (SEM). The elemental analysis and colored mapping were carried out via energy dispersive X-ray (EDX). The functional groups were identified by Fourier transform infrared spectroscopy (FTIR). UV–visible diffuse reflectance spectroscopy (UV–vis DRS) was used to study the optical properties such as the absorption edges and energy band gap, an important feature of semiconductors to determine photocatalytic applications. The photocatalytic activity of the NiO-SnO2 NC was evaluated by monitoring the degradation of MO in aqueous solution under irradiation with full light spectrum. The effects of calcination temperature, pH, initial MO concentration, and catalyst dose were all assessed to understand and optimize the physicochemical and photocatalytic properties of NiO-SnO2 NC. Results: NiO-SnO2 NC was successfully synthesized via a biological route using F. elastica leaf extract. XRD showed rhombohedral NiO and tetragonal SnO2 nanostructures and the amorphous nature of NiO-SnO2 NC. Its degree of crystallinity, crystallite size, and stability increased with increased calcination temperature. SEM depicted significant morphological changes with elevating calcination temperatures, which are attributed to the phase conversion from amorphous to crystalline. The elemental analysis and colored mapping show the formation of highly pure NiO-SnO2 NC. FTIR revealed a decrease in OH, and the ratio of oxygen vacancies at the surface of the NC can be explained by a loss of its hydrophilicity at increased temperatures. All the NC samples displayed significant absorption in the visible region, and a blue shift is seen and the energy band gap decreases when increasing the calcination temperatures due to the dehydration and formation of compacted large particles. NiO-SnO2 NC degrades MO, and the photocatalytic performance decreased with increasing calcination temperature due to an increase in the crystallite size of the NC. The optimal conditions for the efficient NC-mediated photocatalysis of MO are 100 °C, 20 mg catalyst, 50 ppm MO, and pH 6. Conclusions: The auspicious performance of the NiO-SnO2 NCs may open a new avenue for the development of semiconducting p–n heterojunction catalysts as promising structures for removing undesirable organic pollutants from the environment. Full article
(This article belongs to the Special Issue Thermal and Photocatalytic Analysis of Nanomaterials)
Show Figures

Figure 1

16 pages, 2888 KB  
Article
A Novel Shift in the Absorbance Maxima of Methyl Orange with Calcination Temperature of Green Tin Dioxide Nanoparticle-Induced Photocatalytic Activity
by Sirajul Haq, Rimsha Ehsan, Farid Menaa, Nadia Shahzad, Salah Ud Din, Muhammad Imran Shahzad, Wajid Rehman, Muhammad Waseem, Walaa Alrhabi, Hanadi A. Almukhlifi and Sohad Abdulkaleg Alsharef
Catalysts 2022, 12(11), 1397; https://doi.org/10.3390/catal12111397 - 9 Nov 2022
Cited by 15 | Viewed by 3864
Abstract
Background: The photocatalytic degradation of toxic organic compounds has received great attention for the past several years. Dyes, such as methyl orange (MO), are one of the major pollutants which create environmental hazards in the hydrosphere, living organisms and human beings. During photocatalytic [...] Read more.
Background: The photocatalytic degradation of toxic organic compounds has received great attention for the past several years. Dyes, such as methyl orange (MO), are one of the major pollutants which create environmental hazards in the hydrosphere, living organisms and human beings. During photocatalytic degradation, NPs are activated in the presence of UV–Vis radiation which in turn creates a redox environment in the system and behaves as a sensitizer for light-induced redox mechanisms. Tin oxide (SnO2) is one of the prominent, but less investigated, nanomaterials compared to titanium oxide (TiO2) and Zinc oxide (ZnO) nanoparticles (NPs). Methods: Herein, Buxus wallichiana (B. wallichiana) leaf extract was utilized as a reducing and capping agent for the biosynthesis of SnO2 NPs. The effects of the calcination temperature on their photocatalytic, structure and surface properties were then examined. The degree of crystallinity and the crystallite size were determined through X-ray diffraction (XRD) analysis. The pore size and surface area were calculated by Burnett–Emmitt–Teller (BET) and Barrett–Joyner–Halenda (BJH) methods based on nitrogen desorption data. Morphological changes were assessed by scanning electron microscopy (SEM). The optical behavior was analyzed through UV–Vis diffuse reflectance spectroscopy (DRS) data and the band gap subsequently calculated. The photocatalytic efficiency of SnO2 NPs was evaluated by double beam UV–Vis spectrophotometry under the influence of initial MO concentration, catalyst dose and pH of MO solution. The surface functional moieties were identified using Fourier transform infrared (FTIR) spectroscopy. All the calcined SnO2 NPs were used as photocatalysts for the mineralization of MO in aqueous media. Results: The degree of crystallinity and the crystallite size increased with the calcination temperature. The transmittance edge obtained for all the calcined SnO2 NPs shows a maximum absorbance in the visible range (λ-max = 464 nm). Moving toward higher wavelengths, a sudden intense red shift (from 464 nm to 500 nm), attributed to the incorporation of a hydroxyl radical at the ortho-position in the benzene ring associated with the dimethylamine group of MO, was observed in the absorbance of the samples calcined up to 300 °C. The percentage degradation of MO was found to decrease with increasing calcination temperatures. The optimal photocatalytic activity toward MO (15 ppm) in a solution of pH = 6 was obtained with 15 mg SnO2 NPs calcined at 100 °C. Conclusions: UV–Vis absorption spectroscopy demonstrates that the absorption spectra of MO are strongly modified by the calcination temperature. This work opens new avenues for the use of SnO2 NPs as photocatalysts against the degradation of industrial effluents enriched with different dyes. Full article
(This article belongs to the Section Photocatalysis)
Show Figures

Figure 1

24 pages, 6609 KB  
Article
Automated versus Manual Mapping of Gravel Pit Lakes from South-Eastern Romania for Detailed Morphometry and Vegetation
by Petre Bretcan, Daniel Dunea, Gabriel Vintescu, Danut Tanislav, Martina Zelenakova, Laurențiu Predescu, Gheorghe Șerban, Dariusz Borowiak, Ioan Rus, Daniel Andrei Sabău, Oana Mititelu-Ionuș, Maria Hueci, Alexandru Moreanu, Eduardt Samoila, Huu Duy Nguyen, Loredana Neagu Frasin, Ioana-Alexandra Mirea and Răzvan-Cristian Muntean
Water 2022, 14(12), 1858; https://doi.org/10.3390/w14121858 - 9 Jun 2022
Cited by 2 | Viewed by 4312
Abstract
In recent years, the accelerated development of the remote sensing domain and the improvement of the resolution and frequency of satellite images allowed the increase in the accuracy of the evaluation of morphometric characteristics and the spatiotemporal distribution of pit lakes, including the [...] Read more.
In recent years, the accelerated development of the remote sensing domain and the improvement of the resolution and frequency of satellite images allowed the increase in the accuracy of the evaluation of morphometric characteristics and the spatiotemporal distribution of pit lakes, including the small ones. Our study quantitatively analyzes small-scale pit lakes in the piedmont and subsidence plains from contact with the Getic and Curvature Subcarpathians from Romania using the normalized difference water index (NDWI) and data series, with different resolutions, from Landsat 8, Google Earth, and Sentinel 2A. The problems encountered in extracting the contours of the gravel pit lakes were determined by the different resolution of the images, the uneven quality of the images exported from Google Earth, and an additional challenge was given by the diversity of the analyzed land surfaces, the land use, and the optical properties of the lakes. A comparison of the obtained NDWI values using data series from Sentinel 2A and Landsat 8 highlighted the importance of resolution and also showed a larger spectral difference between the identified water bodies and the surrounding land in favor of Sentinel 2A. Regarding the vegetation-derived indices, superior leaf area index (1.8–3) was recorded in low-lying plains and mixed areas (tall shrubs, wetlands, etc.) because the river banks have increased moisture that supports taller species with denser foliage and the sparsely vegetated areas are located in agricultural crops and in/near villages. Changes in vegetation richness and abundance can be spatiotemporally monitored using indices derived from the spectral bands of satellite imagery. Full article
(This article belongs to the Section Hydrology)
Show Figures

Figure 1

13 pages, 1815 KB  
Article
Nanotechnology, Green Synthesis and Biological Activity Application of Zinc Oxide Nanoparticles Incorporated Argemone Mxicana Leaf Extract
by Maheswari Chinnapaiyan, Yashika Selvam, Fatma Bassyouni, Mathammal Ramu, Chandrasekar Sakkaraiveeranan, Aravindan Samickannian, Gobi Govindan, Matheswaran Palaniswamy, Uthrakumar Ramamurthy and Mohamed Abdel-Rehim
Molecules 2022, 27(5), 1545; https://doi.org/10.3390/molecules27051545 - 25 Feb 2022
Cited by 19 | Viewed by 4403
Abstract
Nanomaterial is a rapidly growing area that is used to create a variety of new materials and nanotechnology applications from medical, pharmaceuticals, chemical, mechanical, electronics and several environmental industries including physical, chemical and biological nanoparticles are very important in our daily life. Nanoparticles [...] Read more.
Nanomaterial is a rapidly growing area that is used to create a variety of new materials and nanotechnology applications from medical, pharmaceuticals, chemical, mechanical, electronics and several environmental industries including physical, chemical and biological nanoparticles are very important in our daily life. Nanoparticles with leaf extract from the healthy plant are important in the area of research using biosynthesis methods. Because of it’s used as an environmentally ecofriendly, other than traditional physical and chemical strategies. In particular, biologically synthesized nanoparticles have become a key branch of nanotechnology. The present work presents a synthesis of zinc oxide nanoparticles using an extract from the Argemone leaf Mexicana. Biosynthetic nanoparticles are characterized by X-ray diffraction (XRD), Ultraviolet visible (UV-vis) spectroscopy analysis, a Fourier Transform Infrared Spectroscopy analysis (FTIR) and a scanning electron microcopy (SEM), X-ray analysis with dispersive energy (EDAX). XRD is used to examine the crystalline size of zinc oxide nanoparticles. The FTIR test consists in providing evidence of the presence of targeted teams. UV is used for optical properties and calculates the energy of the bandwidth slot. The scanning microscope emission reveals the morphology of the surface and the energy dispersive X-ray analysis confirms the basic composition of zinc oxide nanoparticles. It is found that zinc nanoparticles are capable of achieving high anti-fungal efficacy and therefore have a high potential antimicrobial activity of ZnO NPs, like antibacterial and high antioxidant. Zinc Oxide nanoparticles from the Argemone Mexicana leaf extract have several antimicrobial applications, such as medical specialty, cosmetics, food, biotechnology, nano medicine and drug delivery system. ZnO nanoparticles are important because they provide many practical applications in industry. The most important use of nanoparticles of ZnO would be strong antibacterial and antioxidant activity with a simple and efficient biosynthesis method may be used for future work applications. Full article
(This article belongs to the Special Issue Microextraction Techniques in Biomedical Application)
Show Figures

Figure 1

12 pages, 2360 KB  
Article
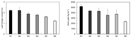
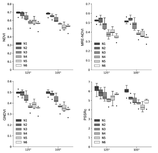
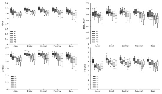
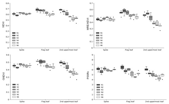
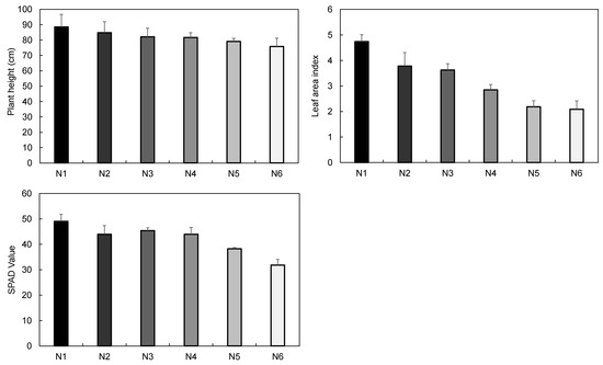
Hyperspectral Characteristics of an Individual Leaf of Wheat Grown under Nitrogen Gradient
by Jae Gyeong Jung, Ki Eun Song, Sun Hee Hong and Sang In Shim
Plants 2021, 10(11), 2291; https://doi.org/10.3390/plants10112291 - 25 Oct 2021
Cited by 4 | Viewed by 2338
Abstract
Since the application of hyperspectral technology to agriculture, many scientists have been conducting studies to apply the technology in crop diagnosis. However, due to the properties of optical devices, the reflectances obtained according to the image acquisition conditions are different. Nevertheless, there is [...] Read more.
Since the application of hyperspectral technology to agriculture, many scientists have been conducting studies to apply the technology in crop diagnosis. However, due to the properties of optical devices, the reflectances obtained according to the image acquisition conditions are different. Nevertheless, there is no optimized method for minimizing such technical errors in applying hyperspectral imaging. Therefore, this study was conducted to find the appropriate image acquisition conditions that reflect the growth status of wheat grown under different nitrogen fertilization regimes. The experiment plots were comprised of six plots with various N application levels of 145.6 kg N ha−1 (N1), 109.2 kg N ha−1 (N2), 91.0 kg N ha−1 (N3), 72.8 kg N ha−1 (N4), 54.6 kg N ha−1 (N5), and 36.4 kg N ha−1 (N6). Hyperspectral image acquisitions were performed at different shooting angles of 105° and 125° from the surface, and spike, flag leaf, and the second uppermost leaf were divided into five parts from apex to base when analyzing the images. The growth analysis conducted at heading showed that the N6 was 85.6% in the plant height, 44.1% in LAI, and 64.9% in SPAD as compared to N1. The nitrogen content in the leaf decreased by 55.2% compared to N1 and the quantity was 44.9% in N6 compared to N1. Based on the vegetation indices obtained from hyperspectral reflectances at the heading stage, the spike was not suitable for analysis. In the case of the flag leaf and the 2nd uppermost leaf, the vegetation indices from spectral data taken at 105 degrees were more appropriate for acquiring imaging data by clearly dividing the effects of fertilization level. The results of the regional variation in a leaf showed that the region of interest (ROI), which is close to the apex of the flag leaf and the base of the second uppermost leaf, has a high coefficient of determination between the fertilization levels and the vegetation indices, which effectively reflected the status of wheat. Full article
(This article belongs to the Section Crop Physiology and Crop Production)
Show Figures

Figure 1

21 pages, 5273 KB  
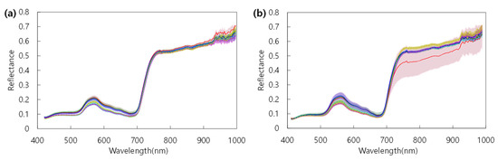
Article
Leaf Surface Reflectance Does Not Affect Biophysical Traits Modelling from VIS-NIR Spectra in Plants with Sparsely Distributed Trichomes
by Eva Neuwirthová, Zuzana Lhotáková, Petr Lukeš and Jana Albrechtová
Remote Sens. 2021, 13(20), 4144; https://doi.org/10.3390/rs13204144 - 16 Oct 2021
Cited by 4 | Viewed by 4324
Abstract
In this study, we examine leaf reflectance as the main optical property used in remote sensing of vegetation. The total leaf reflectance consists of two main components: a diffuse component, originating from the leaf interior, and a component reflected directly from the leaf [...] Read more.
In this study, we examine leaf reflectance as the main optical property used in remote sensing of vegetation. The total leaf reflectance consists of two main components: a diffuse component, originating from the leaf interior, and a component reflected directly from the leaf surface. The latter contains specular (mirror-like) reflectance (SR) and surface particle scattering, driven by the surface roughness. Our study aimed to (1) reveal the effects of key leaf structural traits on SR in 400–2500 nm, and (2) compare the performance of PLSR models of leaf biophysical properties based on the total reflectance and SR removal reflectance. Four Arabidopsis thaliana structural surface mutants and six Hieracium species differing in trichome properties were studied. PCA did not reveal any systematic effect of trichome density, length, and morphology on SR. Therefore, the results do not support the hypothesis that leaves with denser and longer trichomes have lower SR and higher total reflectance than the smooth leaves. SR removal did not remarkably improve PLSR models of biophysical traits (up to 2% of RMSE). Thus, in herbaceous dorsiventral leaves with relatively sparse trichomes of various morphology and without apparent waxy surface, we cannot confirm that SR removal significantly improves biophysical trait prediction. Full article
Show Figures

Figure 1

Back to TopTop