Hyperspectral Characteristics of an Individual Leaf of Wheat Grown under Nitrogen Gradient
Abstract
:1. Introduction
2. Results
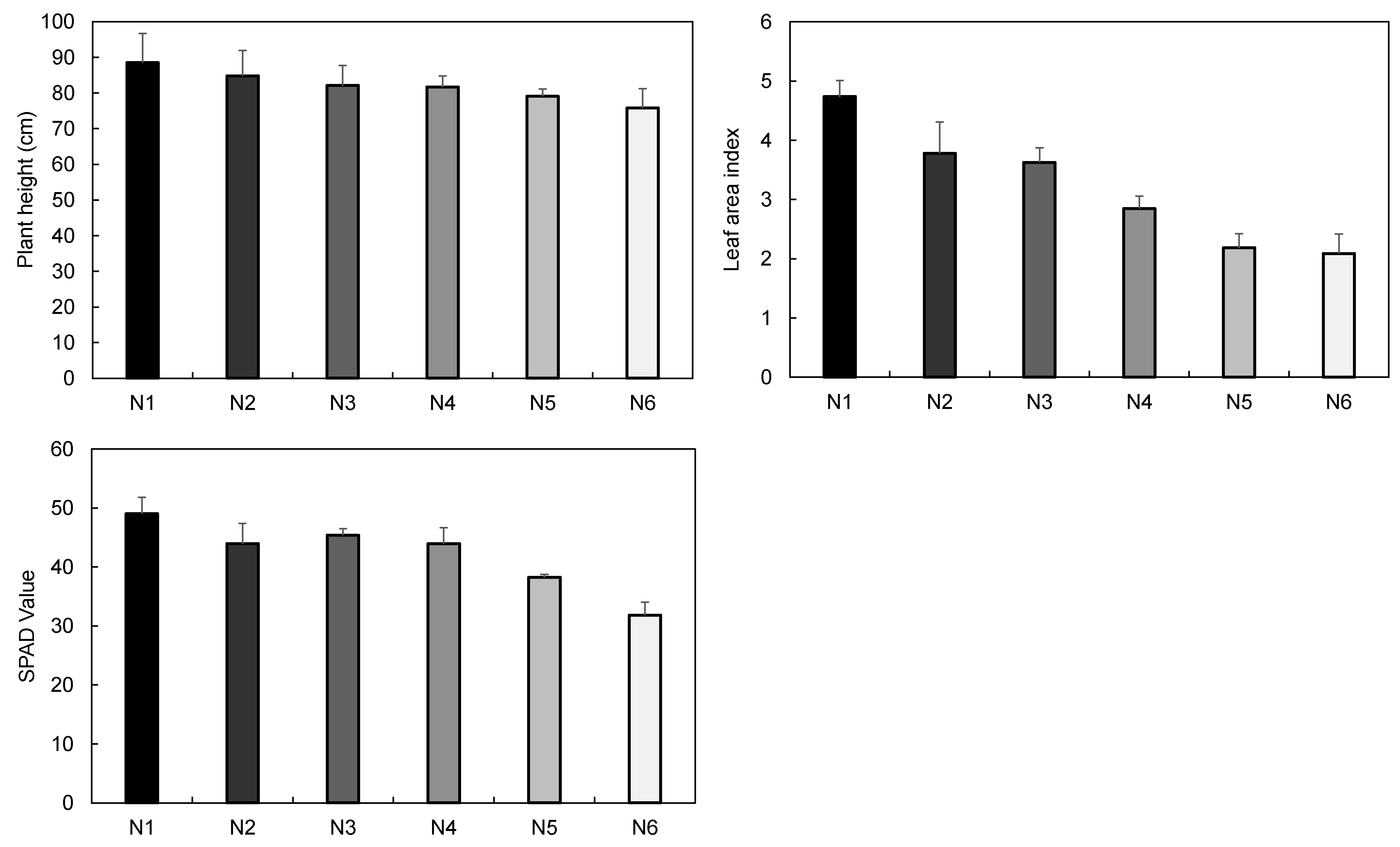
2.1. Wheat Growth under Various Nitrogen Conditions
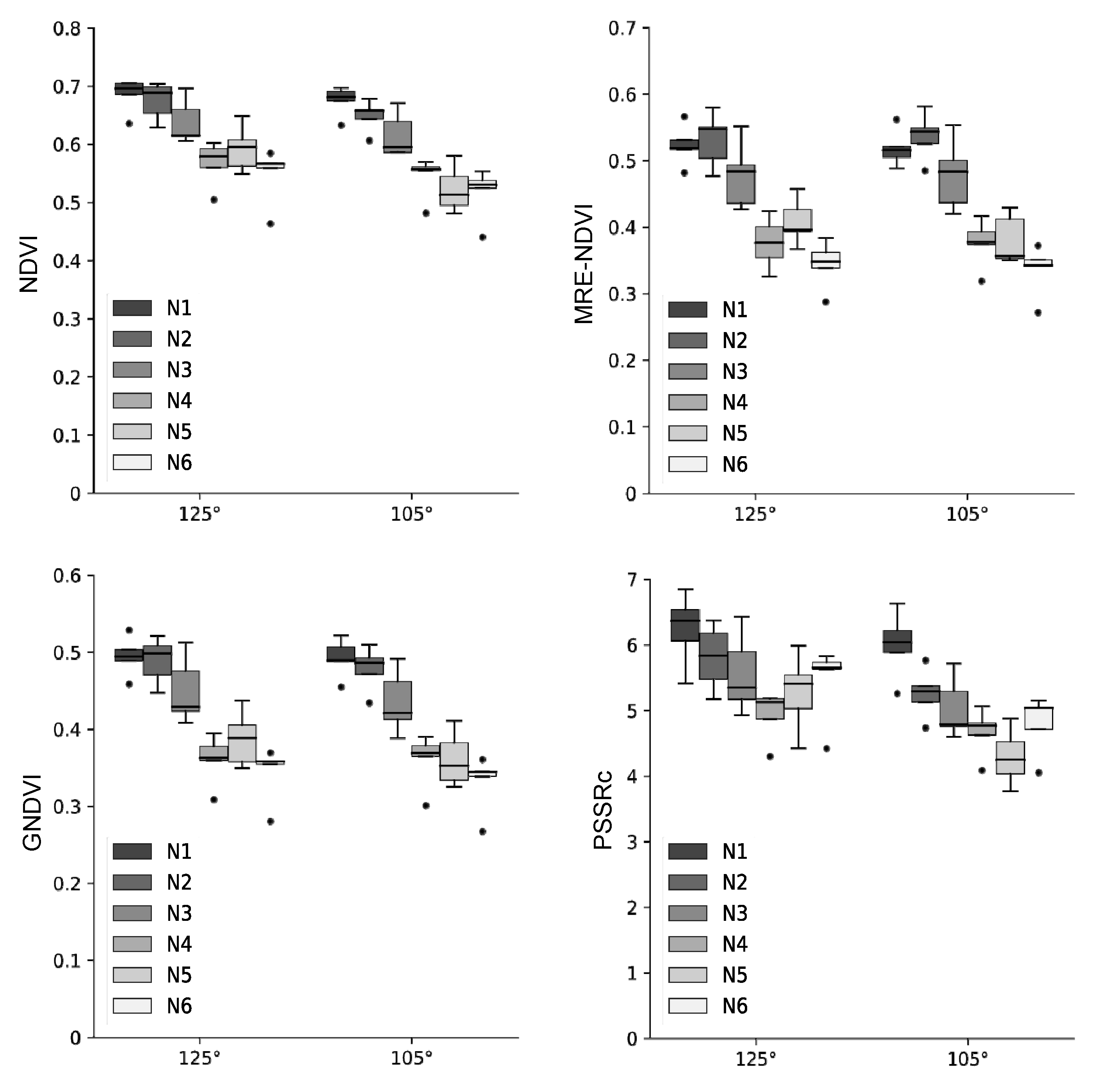
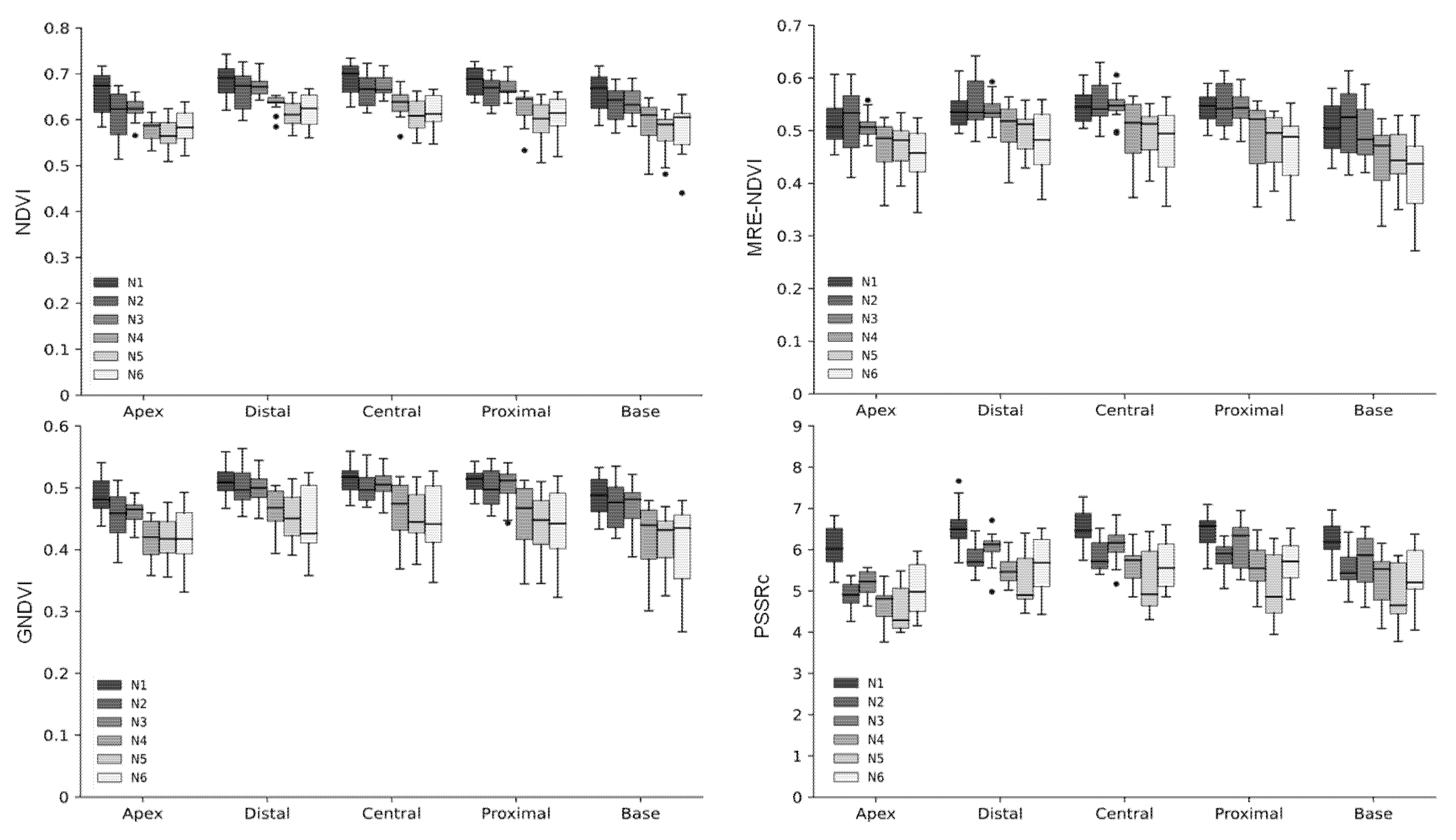
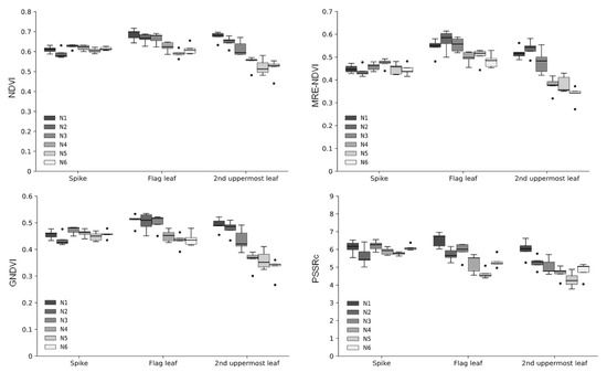
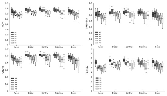
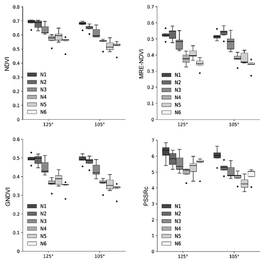
2.2. Hyperspectral Reflectances and Vegetation Indices under Various Nitrogen Conditions
3. Discussion
4. Materials and Methods
4.1. Study Site and Experimental Design
4.2. Growth Analysis
4.3. Analysis of Hyperspectral Properties of Leaves
4.4. Statistical Analysis
5. Conclusions
Author Contributions
Funding
Data Availability Statement
Acknowledgments
Conflicts of Interest
References
- Lawlor, D.W.; Lemaire, G.; Gastal, F. Nitrogen, plant growth and crop yield. In Plant Nitrogen; Lea, P.J., Morot-Gaudry, J.-F., Eds.; Springer: Berlin, Germany, 2001; pp. 343–367. [Google Scholar]
- Makino, A. Photosynthesis, grain yield, and nitrogen utilization in rice and wheat. Plant Physiol. 2010, 155, 125–129. [Google Scholar] [CrossRef] [Green Version]
- Zhang, M.; Wang, H.; Yi, Y.; Ding, J.; Zhu, M.; Li, C.; Guo, W.; Feng, C.; Zhu, X. Effect of nitrogen levels and nitrogen rations on lodging resistance and yield potential of winter wheat (Triticum aestivum L.). PLoS ONE 2017, 12, e0187543. [Google Scholar]
- Vogeler, I.; Thomsen, I.K.; Jensen, J.L.; Hansen, E.M. Marginal nitrate leaching around the recommended nitrogen fertilizer rate in winter cereals. Soil Use Manag. 2020, 151, 374–398. [Google Scholar] [CrossRef]
- Thomas, J.R.; Oerther, G.F. Estimating nitrogen content of sweet pepper leaves by reflectance measurements. Agronomy 1972, 64, 11–13. [Google Scholar] [CrossRef]
- Vigneau, N.; Ecarnot, M.; Rabatel, G.; Roumet, P. Potential of field hyperspectral imaging as a non-destructive method content in wheat. Field Crop. Res. 2011, 122, 25–31. [Google Scholar] [CrossRef] [Green Version]
- Shi, J.-Y.; Zou, X.-B.; Zhao, J.-W.; Wang, K.-L.; Chen, Z.-W.; Huang, X.-W.; Zhang, D.-T.; Holmes, M. Nondestructive diagnostics of nitrogen deficiency by cucumber leaf chlorophyll distribution map based on near infrared hyperspectral imaging. Sci. Hortic. 2012, 138, 190–197. [Google Scholar]
- Strachan, I.B.; Pattey, E.; Boisvert, J.B. Impact of nitrogen and environmental conditions on corn as detected by hyperspectral reflectance. Remote Sens. Environ. 2002, 80, 213–224. [Google Scholar] [CrossRef]
- Jain, N.; Ray, S.S.; Singh, J.P.; Panigrahy, S. Use of hyperspectral data to assess the effects of different nitrogen applications on a potato crop. Precis. Agric. 2007, 8, 225–239. [Google Scholar] [CrossRef]
- Yang, C.-M. Assessment of the severity of bacterial leaf blight in rice using canopy hyperspectral reflectance. Precis. Agric. 2009, 11, 61–81. [Google Scholar] [CrossRef]
- Ali, A.; Imran, M.M. Evaluating the potential of red edge position (REP) of hyperspectral remote sensing data for real time estimation of LAI & chlorophyll content of kinnow mandarin (Citrus reticulata) fruit orchards. Sci. Hortic. 2020, 267, 109326. [Google Scholar]
- Sonobe, R.; Hirono, Y.; Oi, A. Non-destructive detection of tea leaf chlorophyll content using hyperspectral reflectance and machine learning algorithms. Plants 2020, 9, 368. [Google Scholar] [CrossRef] [PubMed] [Green Version]
- Smith, C.; Karunaratne, S.; Badenhorst, P.; Cogan, N.; Spangenberg, G.; Smith, K. Machine learning algorithms to predict forage nutritive value of in situ perennial ryegrass plants using hyperspectal canopy reflectance data. Remote Sens. 2020, 12, 928. [Google Scholar] [CrossRef] [Green Version]
- Yang, B.; Ma, J.; Yao, X.; Cao, W.; Zhu, Y. Estimation of leaf nitrogen contents in wheat based on fusion of spectral features and deep features from near infrared hyperspectral imagery. Sensors 2021, 21, 613. [Google Scholar] [CrossRef]
- Zhang, J.; Zhang, W.; Xiong, S.; Song, Z.; Tian, W.; Shi, L.; Ma, X. Comparison of new hyperspectral indices and machine learning models for prediction of winter wheat leaf water content. Plant Methods 2021, 17, 34. [Google Scholar] [CrossRef]
- Rouse, J.W.; Haas, R.H.; Schell, J.A.; Deering, D.W. Monitoring vegetation systems in the Great Plains with ERTS. Third ERTS Symposium. NASA SP‒351 1974, 1, 301–317. [Google Scholar]
- Carter, G.A. Responses of leaf spectral reflectance to plant stress. Am. J. Bot. 1993, 80, 239–243. [Google Scholar] [CrossRef]
- Gamon, J.A.; Field, C.B.; Goulden, M.L.; Griffin, K.L.; Hartley, A.E.; Joel, G.; Peñuelas, J.; Valentini, R. Relationship between NDVI, canopy structure and photosynthesis in three Californian vegetation types. Ecol. Appl. 1995, 5, 28–41. [Google Scholar] [CrossRef] [Green Version]
- Edalat, M.; Naderi, R.; Egan, T.P. Corn nitrogen management using NDVI and SPAD sensor-based data under conventional vs. reduced tillage systems. J. Plant Nutr. 2019, 42, 2310–2322. [Google Scholar] [CrossRef]
- Gitelson, A.A.; Merzlyak, M.N. Spectral reflectance changes associated with autumn senescence of Aesculus hippocastanum L. and Acer platanoides L. leaves. Spectral features and relation to chlorophyll estimation. J. Plant Physiol. 1994, 143, 286–292. [Google Scholar] [CrossRef]
- Datt, B. A new reflectance index for remote sensing of chlorophyll content in higher plants: Tests using eucalyptus leaves. J. Plant Physiol. 1999, 154, 30–36. [Google Scholar] [CrossRef]
- Sims, D.A.; Gamon, J.A. Relationships between leaf pigment content and spectral reflectance across a wide range of species, leaf structures and developmental stages. Remote Sens. Environ. 2002, 81, 337–354. [Google Scholar] [CrossRef]
- Gitelson, A.A.; Merzlyak, M.N. Remote sensing of chlorophyll concentration in higher plant leaves. Adv. Space Res. 1998, 22, 689–692. [Google Scholar] [CrossRef]
- Blackburn, G.A. Spectral indices for estimating photosynthetic pigment concentrations: A test using senescent tree leaves. Int. J. Remote Sens. 1998, 19, 657–675. [Google Scholar] [CrossRef]
- Zhang, L.; Maki, H.; Ma, D.; Sánchez-Gallego, J.A.; Mickelbart, M.V.; Wang, L.; Rehman, T.U.; Jin, J. Optimized angles of the swing hyperspectral imaging system for single corn plant. Comput. Electron. Agric. 2019, 156, 349–359. [Google Scholar] [CrossRef]
- Mao, Z.H.; Deng, L.; Duan, F.Z.; Li, X.J.; Qiao, D.Y. Angle effects of vegetation indices and the influence on prediction of SPAD values in soybean and maize. Int. J. Appl. Earth Obs. Geoinf. 2020, 93, 102198. [Google Scholar] [CrossRef]
- Yue, X.; Hu, Y.; Zhang, H.; Schmidhalter, U. Evaluation of both SPAD reading and SPAD index on estimating the plant nitrogen status of winter wheat. Int. J. Plant Prod. 2019, 14, 67–75. [Google Scholar] [CrossRef]
- Hinzman, L.D.; Bauer, M.E.; Daughtry, C.S.T. Effects of nitrogen fertilization on growth and reflectance characteristics of winter wheat. Remote Sens. Environ. 1986, 19, 47–61. [Google Scholar] [CrossRef]
- Hunt, E.R.; Daughtry, C.S.T.; Eitel, J.U.H.; Long, D.S. Remote sensing leaf chlorophyll content using a visible band index. J. Agron. 2011, 103, 1090–1099. [Google Scholar] [CrossRef] [Green Version]
- Gitelson, A.A.; Gritz, Y.; Merzlyak, M.N. Relationships between leaf chlorophyll and spectral reflectance and algorithms for non-destructive chlorophyll assessment in higher plant leaves. J. Plant Physiol. 2003, 160, 271–282. [Google Scholar] [CrossRef]
- Wei, F.; Yan, Z.; Yongchao, T.; Weixing, C.; Xia, Y.; Yingxue, L. Monitoring leaf nitrogen accumulation in wheat with hyperspectral remote sensing. Acta Ecol. Sin. 2008, 26, 23–32. [Google Scholar] [CrossRef]
- Ranjan, R.; Chopra, U.K.; Sahoo, R.N.; Singh, A.K.; Pradhan, S. Assessment of plant nitrogen stress in wheat (Triticum aestivum L.) through hyperspectral indices. Int. J. Remote Sens. 2012, 33, 6342–6360. [Google Scholar] [CrossRef]
- Slaton, M.R.; Raymond Hunt, E.; Smith, W.K. Estimating near-infrared leaf reflectance from leaf structural characteristics. Am. J. Bot. 2001, 88, 278–284. [Google Scholar] [CrossRef]
- Kong, W.; Huang, W.; Liu, J.; Chen, P.; Qin, Q.; Ye, H.; Peng, D.; Dong, Y.; Mortimer, A.H. Estimation of canopy carotenoid content of winter wheat using multi-angle hyperspectral data. Adv. Space Res. 2017, 60, 1988–2000. [Google Scholar] [CrossRef]
- Tìryakìoğlu, M.; Yildirim, M.; Karanlik, S. Macronutrient concentration and remobilization in spring wheat organs during grain filling. Turk. J. Agric. For. 2014, 38, 488–494. [Google Scholar] [CrossRef]
- Zhou, Q.; Wang, J. Comparison of upper leaf and lower leaf of rice plants in response to supplemental nitrogen levels. J. Plant Nutr. 2003, 26, 607–617. [Google Scholar] [CrossRef]
- Nehe, A.S.; Misra, S.; Murchie, E.H.; Chinnathambi, K.; Singh Tyagi, B.; Fouleks, M.J. Nitrogen partitioning and remobilization in relation to leaf senescence, grain yield protein concentration in Indian wheat cultivars. Field Crops Res. 2020, 251, 107778. [Google Scholar] [CrossRef] [PubMed]









| Wavelength (nm) | Standard Deviation (Proportion to Average) | ||
|---|---|---|---|
| Spike | Flag Leaaf | 2nd Uppermost Leaf | |
| 450 | 0.004 (4.8%) | 0.008 (10.1%) | 0.005 (5.3%) |
| 550 | 0.009 (3.7%) | 0.020 (11.4%) | 0.027 (14.0%) |
| 650 | 0.006 (7.5%) | 0.014 (16.4%) | 0.013 (13.8%) |
| 750 | 0.030 (4.9%) | 0.012 (2.4%) | 0.037 (7.4%) |
| 850 | 0.030 (4.8%) | 0.010 (1.8%) | 0.032 (6.0%) |
| 950 | 0.035 (6.3%) | 0.023 (3.7%) | 0.036 (5.9%) |
| Fertilization | Nitrogen Application Rate (kg N ha−1) | |||||
|---|---|---|---|---|---|---|
| N1 | N2 | N3 * | N4 | N5 | N6 | |
| Basal dressing | 36.4 (40%) | 36.4 (40%) | 36.4 (40%) | 36.4 (40%) | 36.4 (40%) | 36.4 (40%) |
| 1st top–dressing | 54.6 (60%) | 36.4 (40%) | 27.3 (30%) | 18.2 (20%) | 9.1 (10%) | 0 (0%) |
| 2nd top–dressing | 54.6 (60%) | 36.4 (40%) | 27.3 (30%) | 18.2 (20%) | 9.1 (10%) | 0 (0%) |
| Total | 145.6 (160%) | 109.2 (120%) | 91 (100%) | 72.8 (80%) | 54.6 (60%) | 36.4 (40%) |
Publisher’s Note: MDPI stays neutral with regard to jurisdictional claims in published maps and institutional affiliations. |
© 2021 by the authors. Licensee MDPI, Basel, Switzerland. This article is an open access article distributed under the terms and conditions of the Creative Commons Attribution (CC BY) license (https://creativecommons.org/licenses/by/4.0/).
Share and Cite
Jung, J.G.; Song, K.E.; Hong, S.H.; Shim, S.I. Hyperspectral Characteristics of an Individual Leaf of Wheat Grown under Nitrogen Gradient. Plants 2021, 10, 2291. https://doi.org/10.3390/plants10112291
Jung JG, Song KE, Hong SH, Shim SI. Hyperspectral Characteristics of an Individual Leaf of Wheat Grown under Nitrogen Gradient. Plants. 2021; 10(11):2291. https://doi.org/10.3390/plants10112291
Chicago/Turabian StyleJung, Jae Gyeong, Ki Eun Song, Sun Hee Hong, and Sang In Shim. 2021. "Hyperspectral Characteristics of an Individual Leaf of Wheat Grown under Nitrogen Gradient" Plants 10, no. 11: 2291. https://doi.org/10.3390/plants10112291
APA StyleJung, J. G., Song, K. E., Hong, S. H., & Shim, S. I. (2021). Hyperspectral Characteristics of an Individual Leaf of Wheat Grown under Nitrogen Gradient. Plants, 10(11), 2291. https://doi.org/10.3390/plants10112291

