Sign in to use this feature.

Years

Between: -

Subjects

remove_circle_outline
remove_circle_outline
remove_circle_outline
remove_circle_outline
remove_circle_outline
remove_circle_outline
remove_circle_outline

Journals

Article Types

Countries / Regions

Search Results (25)

Search Parameters:
Keywords = opposed-piston engine

Order results
Result details
Results per page
Select all
Export citation of selected articles as:
33 pages, 7822 KB  
Article
High-Performance Two-Stroke Opposed-Piston Hydrogen Engine: Numerical Study on Injection Strategies, Spark Positioning and Water Injection to Mitigate Pre-Ignition
by Alessandro Marini, Sebastiano Breda, Roberto Tonelli, Michele Di Sacco and Alessandro d’Adamo
Energies 2025, 18(19), 5181; https://doi.org/10.3390/en18195181 - 29 Sep 2025
Viewed by 1180
Abstract
In the pursuit of zero-emission mobility, hydrogen represents a promising fuel for internal combustion engines. However, its low volumetric energy density poses challenges, especially for high-performance applications where compactness and lightweight design are crucial. This study investigates the feasibility of an innovative hydrogen-fueled [...] Read more.
In the pursuit of zero-emission mobility, hydrogen represents a promising fuel for internal combustion engines. However, its low volumetric energy density poses challenges, especially for high-performance applications where compactness and lightweight design are crucial. This study investigates the feasibility of an innovative hydrogen-fueled two-stroke opposed-piston (2S-OP) engine, targeting a specific power of 130 kW/L and an indicated thermal efficiency above 40%. A detailed 3D-CFD analysis is conducted to evaluate mixture formation, combustion behavior, abnormal combustion and water injection as a mitigation strategy. Innovative ring-shaped multi-point injection systems with several designs are tested, demonstrating the impact of injector channels’ orientation on the final mixture distribution. The combustion analysis shows that a dual-spark configuration ensures faster combustion compared to a single-spark system, with a 27.5% reduction in 10% to 90% combustion duration. Pre-ignition is identified as the main limiting factor, strongly linked to mixture stratification and high temperatures. To suppress it, water injection is proposed. A 55% evaporation efficiency of the water mass injected lowers the in-cylinder temperature and delays pre-ignition onset. Overall, the study provides key design guidelines for future high-performance hydrogen-fueled 2S-OP engines. Full article
(This article belongs to the Special Issue Internal Combustion Engines: Research and Applications—3rd Edition)
Show Figures

Figure 1

28 pages, 15824 KB  
Article
Influence of Crank Angle Offset on the Mechanical Performance of Different Hydrogen-Fueled Opposed-Piston Engine Architectures
by Andrea Piergiacomi, Saverio Giulio Barbieri, Valerio Mangeruga and Matteo Giacopini
Appl. Sci. 2025, 15(5), 2537; https://doi.org/10.3390/app15052537 - 26 Feb 2025
Cited by 2 | Viewed by 1651
Abstract
Decarbonization of the automotive sector is essential to achieve global climate goals, as passenger cars contribute a substantial share of CO2 emissions. This research project focuses on the preliminary design of an innovative 2-stroke hydrogen-fueled opposed-piston engine, offering a promising solution for [...] Read more.
Decarbonization of the automotive sector is essential to achieve global climate goals, as passenger cars contribute a substantial share of CO2 emissions. This research project focuses on the preliminary design of an innovative 2-stroke hydrogen-fueled opposed-piston engine, offering a promising solution for reducing emissions from passenger cars. Hydrogen enables clean combustion due to its carbon-free nature and allows the possibility of nearly-zero NOx emissions when burned in an ultra-lean mixture. Although the ultra-lean mixture inevitably leads to a significant drop in performance, the opposed-piston engine architecture offers a potential solution for maintaining power output and overall dimensions comparable to traditional internal combustion engines. The study addressed the global balancing of the engine. Unlike conventional engines, the opposed-piston engine presents non-trivial challenges, such as the interaction between the two crankshafts. Two engine architectures are addressed: 3-cylinder and 4-cylinder. Full article
(This article belongs to the Section Mechanical Engineering)
Show Figures

Figure 1

29 pages, 15732 KB  
Article
Exploration of the Optimal Spark Plug Position and the Effect of Ignition Timing on the Combustion and Emission Characteristics of Opposed Rotary Piston Engines
by Jilong Song, Xiaopan Li, Jianbing Gao, Jian Gao, Meng Zhao, Yufeng Wang, Xiaochen Wang, Mingxu Qi, Guohong Tian, Yunxi Shi and Zhongwei Meng
Processes 2025, 13(3), 657; https://doi.org/10.3390/pr13030657 - 26 Feb 2025
Cited by 2 | Viewed by 1878
Abstract
The opposed rotary piston (ORP) engine, distinguished by its exceptional power-to-weight ratio and uncomplicated design, serves as an optimal power system for Unmanned Aerial Vehicles (UAVs). Based on the three-dimensional simulation platform, the engine performance, combustion, and emission characteristics of the ORP engine [...] Read more.
The opposed rotary piston (ORP) engine, distinguished by its exceptional power-to-weight ratio and uncomplicated design, serves as an optimal power system for Unmanned Aerial Vehicles (UAVs). Based on the three-dimensional simulation platform, the engine performance, combustion, and emission characteristics of the ORP engine at different speeds and ignition timings are clearly clarified. A larger angle of the spark plug position corresponds to a wider ignition timing range and higher power output. However, this increases the likelihood of engine knock. The optimal position of the spark plug is 18 deg before top dead center 2 (TDC2). As the ignition timing is advanced, both the pressure and temperature within the cylinder rise, and the crank angle associated with the peak values shifts nearer to TDC2. As the ignition timing shifts from −13.4 °CA to −22.8 °CA, the maximum in-cylinder pressure rises from 35.5 bar to 59.6 bar at 3000 r/min. The delayed ignition at a given ignition timing range accelerates flame formation due to a higher in-cylinder pressure at ignition. Advanced ignition can significantly enhance engine power and lower fuel consumption, substantially improving the endurance of UAVs. At 3000 r/min, the peak power, 36.3 kW, and minimal ISFC, 231.1 g/kWh, are achieved at an ignition timing of −22.8 °CA. Advanced ignition results in a wider flame propagation region, effectively avoiding incomplete combustion in the combustion chamber corners under high-speed engine conditions. The distribution of NOx closely follows the high-temperature region, with more accumulation observed in the opposite direction of rotation. Advanced ignition contributes substantially to HC emission reduction in the combustion chamber. Full article
Show Figures

Graphical abstract

26 pages, 25428 KB  
Article
Virtual Development of a Single-Cylinder Hydrogen Opposed Piston Engine
by Enrico Mattarelli, Stefano Caprioli, Tommaso Savioli, Antonello Volza, Claudiu Marcu Di Gaetano Iftene and Carlo Alberto Rinaldini
Energies 2024, 17(21), 5262; https://doi.org/10.3390/en17215262 - 22 Oct 2024
Cited by 5 | Viewed by 2172
Abstract
A significant challenge in utilizing hydrogen in conventional internal combustion engines is achieving a balance between NOx emissions and brake power output. A lean premixed charge (Lambda ≈ 2.5) allows for efficient and stable combustion with minimal NOx emissions. However, this comes at [...] Read more.
A significant challenge in utilizing hydrogen in conventional internal combustion engines is achieving a balance between NOx emissions and brake power output. A lean premixed charge (Lambda ≈ 2.5) allows for efficient and stable combustion with minimal NOx emissions. However, this comes at the cost of reduced power density due to the higher air requirements of the thermodynamic process. While supercharging can mitigate this drawback, it introduces increased complexity, cost, and size. An intriguing alternative is the 2-stroke cycle, particularly in an opposed piston (OP) configuration. This study presents the virtual development of a single-cylinder 2-stroke OP engine with a total displacement of 0.95 L, designed to deliver 25 kW at 3000 rpm. Thanks to its compact size, high thermal efficiency, robustness, modularity, and low manufacturing cost, this engine is intended for use either as an industrial power unit or in combination with electric motors in hybrid vehicles. The overarching goal of this project is to demonstrate that internal combustion engines can offer a practical and cost-effective alternative to hydrogen fuel cells without significant penalties in terms of efficiency and pollutant emissions. The design of this novel engine started from scratch, and both 1D and 3D CFD simulations were employed, with particular focus on optimizing the cylinder’s geometry and developing an efficient low-pressure injection system. The numerical methodology was based on state-of-the-art commercial codes, in line with established engineering practices. The numerical results indicated that the optimized engine configuration slightly surpasses the target performance, achieving 29 kW at 3000 rpm, while maintaining near-zero NOx emissions (<20 ppm) and high brake thermal efficiency (~40%) over a wide power range. Additionally, the cost of this engine is projected to be lower than an equivalent 4-stroke engine, due to fewer components (e.g., no cylinder head, poppet valves, or camshafts) and a lighter construction. Full article
(This article belongs to the Special Issue Renewable Fuels for Internal Combustion Engines: 2nd Edition)
Show Figures

Figure 1

20 pages, 8419 KB  
Article
Composite Intake Ports Interference Mechanism and Application in Dual Intake Channels of the Opposed-Piston Diesel Engine
by Yongsen Liang, Wenxiao Wang, Zhengxing Zuo, Boru Jia, Wei Wang and Yonghong Xu
Sustainability 2024, 16(19), 8489; https://doi.org/10.3390/su16198489 - 29 Sep 2024
Viewed by 1679
Abstract
With the development of control technology, the uniflow scavenging opposed-piston (USOP) diesel engine has shown unique advantages in energy savings and emission reductions. Due to the uniflow scavenging process, unstable scavenging performance has become the key problem in the development process of the [...] Read more.
With the development of control technology, the uniflow scavenging opposed-piston (USOP) diesel engine has shown unique advantages in energy savings and emission reductions. Due to the uniflow scavenging process, unstable scavenging performance has become the key problem in the development process of the USOP diesel engine, and the intake structure is an effective method for regulating scavenging performance. This study verifies the simulation model based on experimental data and then analyzes the influence of the intake port structure through simulations. On the one hand, this study explores the interference mechanism and application rules of two structures: composite intake ports and dual independent intake ports. The results show that the external alignment structure should be used under all operating conditions for composite intake ports. For dual independent intake ports, the internal alignment structure should be used at high swirl strength, and the external alignment structure should be used at low swirl strength. On the other hand, the dual independent intake ports matching the dual intake channels can improve scavenging performance while reducing supply power. The conclusion provides a reference for the design of the intake structure of the USOP diesel engine from many aspects. Full article
Show Figures

Figure 1

16 pages, 3463 KB  
Article
Bionic Design and Optimization of the Wear-Resistant Structure of Piston Rings in Internal Combustion Engines
by Weijun Tian, Jinhua Zhang, Kuiyue Zhou, Zhu Chen, Ziteng Shen, Xiaobin Yang and Qian Cong
Lubricants 2023, 11(11), 484; https://doi.org/10.3390/lubricants11110484 - 9 Nov 2023
Cited by 4 | Viewed by 4260
Abstract
Internal combustion engines, during their operation, subject the piston to high-temperature and high-pressure conditions, requiring it to endure intense, continuous reciprocating motion. This strenuous process leads to significant wear and tear. Among the engine’s crucial components, the piston ring plays a pivotal role [...] Read more.
Internal combustion engines, during their operation, subject the piston to high-temperature and high-pressure conditions, requiring it to endure intense, continuous reciprocating motion. This strenuous process leads to significant wear and tear. Among the engine’s crucial components, the piston ring plays a pivotal role but is particularly susceptible to wear. Therefore, extensive research has been devoted to investigating the wear of piston rings, a critical sealing component within internal combustion engines. To address the high cost of existing coating methods, which hinders widespread application, we propose a bionic design approach inspired by groove structures observed on earthworm bodies, aimed at enhancing the wear resistance of piston rings. Bionic piston rings featuring optimally designed groove structures inspired by the earthworm’s anatomy were designed. These rings exhibited varying groove depths (1 mm, 2 mm, and 3 mm), groove widths (0.1 mm, 0.3 mm, and 0.5 mm), and groove spacings (0.1 mm, 0.2 mm, and 0.3 mm). We conducted thermal–structural coupling analyses on both standard piston rings and these bionic counterparts. The results revealed that the maximum stress was concentrated at the first piston ring, precisely at the opposing region of the end gap. Thus, the initial piston ring endured the primary frictional losses. Moreover, a comparison of stress levels between bionic rings and the standard ring revealed that the bionic groove structure substantially reduced stress and minimized stress concentration, thus enhancing wear resistance. Groove width had the most notable influence on wear performance, followed by groove depth and groove spacing. Optimal wear resistance was achieved when the groove depth was 3 mm, groove width was 0.1 mm, and groove spacing was 0.1 mm. Subsequently, we constructed a piston ring friction test bench to validate the wear resistance of the most effective piston ring. The results indicated that the wear resistance of the bionic piston ring exceeded that of the standard piston ring by up to 19.627%. Therefore, incorporating a bionic groove structure within the piston ring can effectively reduce surface friction and enhance wear resistance. This, in turn, can enhance the operational lifespan of internal combustion engines under favorable working conditions. Full article
Show Figures

Figure 1

25 pages, 11680 KB  
Article
Research Regarding the Development of the Combustion Chamber of Internal Combustion Engines with Opposite Pistons
by Horia Beles, Adrian Tusinean, Tudor Mitran and Florin Bogdan Scurt
Machines 2023, 11(2), 309; https://doi.org/10.3390/machines11020309 - 20 Feb 2023
Cited by 5 | Viewed by 4266
Abstract
The reduction in environment pollutant emissions is one of the main challenges regarding ground transportation. Internal combustion engines, used especially in hybrid propulsion systems, may be a solution in the transition to fully electric cars. Therefore, more efficient engines in terms of fuel [...] Read more.
The reduction in environment pollutant emissions is one of the main challenges regarding ground transportation. Internal combustion engines, used especially in hybrid propulsion systems, may be a solution in the transition to fully electric cars. Therefore, more efficient engines in terms of fuel consumption, emission generation and power density must be developed. This paper presents research regarding the architecture of the combustion chamber of an internal combustion engine with opposed pistons. The aim of this research was to find a combustion chamber architecture that would enable the engine to perform close to the program target of: NOx < 3.5 g/kWh, smoke (FSN) < 1, specific fuel consumption (bsfc) < 198 g/kWh. Three variants of the combustion chamber’s architecture have been studied. After the experimental research, the conclusion was that none of them fully reached the target; however, significant improvements have been achieved compared with the starting point. As a result, further research needs to be carried out in order to reach and even exceed the target. Full article
Show Figures

Figure 1

22 pages, 4453 KB  
Article
The Effect of Ignition Timing on the Emission and Combustion Characteristics for a Hydrogen-Fuelled ORP Engine at Lean-Burn Conditions
by Junfeng Huang, Jianbing Gao, Ce Yang, Guohong Tian and Chaochen Ma
Processes 2022, 10(8), 1534; https://doi.org/10.3390/pr10081534 - 5 Aug 2022
Cited by 6 | Viewed by 4994
Abstract
The application of hydrogen fuel in ORP engines makes the engine power density much higher than that of a reciprocating engine. This paper investigated the impacts of combustion characteristics, energy loss, and NOx emissions of a hydrogen-fuelled ORP engine by ignition timing [...] Read more.
The application of hydrogen fuel in ORP engines makes the engine power density much higher than that of a reciprocating engine. This paper investigated the impacts of combustion characteristics, energy loss, and NOx emissions of a hydrogen-fuelled ORP engine by ignition timing over various equivalence ratios using a simulation approach based on FLUENT code without considering experiments. The simulations were conducted under the equivalence ratio of 0.5~0.9 and ignition timing of −20.8~8.3° CA before top dead centre (TDC). The engine was operated under 1000 RPM and wide-open throttle condition which was around the maximum engine torque. The results indicated that significant early ignition of the ORP engine restrained the flame development in combustion chambers due to the special relative positions of ignition systems to combustion chambers. In-cylinder pressure evolutions were insensitive to early ignition. The start of combustion was the earliest over the ignition timing of −17.3° CA for individual equivalence ratios; the correlations of the combustion durations and equivalence ratios were dependent on the ignition timing. Combustion durations were less sensitive to equivalence ratios in the ignition timing range of −14.2~−11.1° CA before TDC. The minimum and maximum heat release rates were 15 J·(°CA)−1 and 22 J·(°CA)−1 over the equivalence ratios of 0.5 and 0.9, respectively. Indicated thermal efficiency was higher than 41% for early ignition scenarios, and it was significantly affected by late ignition. Energy loss by cylinder walls and exhaust was in the range of 10~16% and 42~58% of the total fuel energy, respectively. The impacts of equivalence ratios on NOx emission factors were affected by ignition timing. Full article
(This article belongs to the Special Issue Combustion Process and Emission Control of Alternative Fuels)
Show Figures

Figure 1

14 pages, 2841 KB  
Article
Simulation about the Effect of the Height-to-Stroke Ratios of Ports on Power and Emissions in an OP2S Engine Using Diesel/Methanol Blends
by Wei Yang, Lei Zhang, Fukang Ma, Dan Xu, Wenjing Ji, Yangyang Zhao and Jianing Zhang
Energies 2022, 15(8), 2942; https://doi.org/10.3390/en15082942 - 17 Apr 2022
Cited by 4 | Viewed by 2598
Abstract
Zero carbon emissions will dominate the future of internal combustion engines (ICEs). Existing technology has pushed the performance of ICEs operating on traditional working principles to almost reach their limit. The new generation of ICEs needs to explore new efficient combustion modes. For [...] Read more.
Zero carbon emissions will dominate the future of internal combustion engines (ICEs). Existing technology has pushed the performance of ICEs operating on traditional working principles to almost reach their limit. The new generation of ICEs needs to explore new efficient combustion modes. For new combustion modes to simplify the emission after treatment, the opposed-piston, two-stroke (OP2S) diesel engine is a powertrain with great potential value. Combined with dual-fuel technology, the OP2S diesel engine can effectively reduce carbon emissions to achieve clean combustion. Hence, methanol/diesel dual fuel was burnt in the OP2S engine to create a clean combustion mode for future demands. In the present work, a 1D simulation model of an OP2S diesel engine was established and verified. We investigated the influence of port height to stroke ratio (HSR) on power and emission performances of the OP2S diesel engine under different methanol ratios. The results show that the methanol ratio extremely influences the indicated power (IP) with the HSR of intake ports increasing. The IP decreases by about 1.8–2.0% for every 5% increase in methanol. Correspondingly, the methanol ratio extremely influences the indicated thermal efficiency (ITE), with the HSR of exhaust ports increasing. The ITE increases by about 2.1–3.1% for every 5% increase in methanol. The increasing methanol ratio reduces the HSR of ports for the optimal IP and ITE. To balance power performance and emission performance, the methanol ratio should be kept to 10–15%. Full article
Show Figures

Figure 1

12 pages, 2419 KB  
Article
Influence of the Port Height to Stroke Ratio on the Performance of an OP2S Engine Fueled with Methanol/Diesel
by Wei Yang, Feng Li, Fukang Ma, Dan Xu, Junfeng Xu and Fang Wang
Energies 2022, 15(6), 2186; https://doi.org/10.3390/en15062186 - 17 Mar 2022
Cited by 7 | Viewed by 1838
Abstract
Zero carbon emission is a mainstream trend in the development of internal combustion engines (ICEs) in the future. ICEs need to constantly surpass the existing working mechanism, especially in order to explore the possibility of new combustion methods. Dual-fuel combustion is a good [...] Read more.
Zero carbon emission is a mainstream trend in the development of internal combustion engines (ICEs) in the future. ICEs need to constantly surpass the existing working mechanism, especially in order to explore the possibility of new combustion methods. Dual-fuel combustion is a good way to reduce carbon emissions and achieve clean combustion. However, the traditional internal combustion engine is limited by its own structure, restricting its performance improvement. The opposed-piston, two-stroke (OP2S) diesel engine is a potential power system with a high degree of structural adjustability. Therefore, this work attempted to apply methanol/diesel dual-fuel to OP2S engines in order to explore efficient and clean combustion modes in the future. In this work, a one-dimensional simulation model of an OP2S diesel engine was established and verified. The effect of the port height to stroke ratio on the performance of the OP2S diesel engine was mainly studied for different methanol blending ratios. The results show that the methanol blending ratio does not affect the port height to stroke ratio where the optimal values of the MIP and scavenging efficiency appear. The optimal methanol blending ratio for the power performance of OP2S diesel engines is 5~15%. There is a trade-off relationship between the MIP/scavenging efficiency and trapping efficiency. For the optimization of an OP2S methanol–diesel engine, priority should be given to ensuring an optimal MIP and scavenging efficiency, and then to the appropriate consideration of the trapping efficiency. Full article
Show Figures

Figure 1

15 pages, 6050 KB  
Article
Research on the Intake Port of a Uniflow Scavenging GDI Opposed-Piston Two-Stroke Engine
by Tianyou Pei, Feixue Chen, Shuheng Qiu, Dawei Wu, Weiwei Gao, Zhaoping Xu and Chi Zhang
Energies 2022, 15(6), 2148; https://doi.org/10.3390/en15062148 - 15 Mar 2022
Cited by 8 | Viewed by 3764
Abstract
The intake port structure optimization is very important for the uniflow scavenging opposed-piston two-stroke engine, as the intake port structure affects the scavenging efficiency and turbulence kinetic energy and thus further impacts the engine indicated efficiency. This paper aims at improving the indicated [...] Read more.
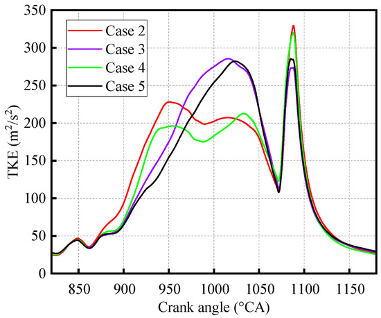
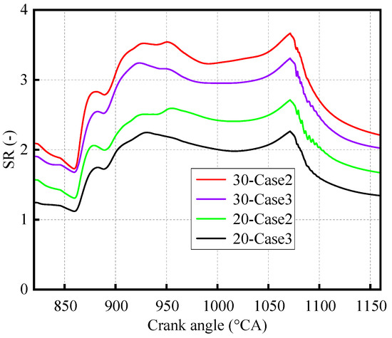
The intake port structure optimization is very important for the uniflow scavenging opposed-piston two-stroke engine, as the intake port structure affects the scavenging efficiency and turbulence kinetic energy and thus further impacts the engine indicated efficiency. This paper aims at improving the indicated efficiency, presenting a comprehensive study on the intake port optimization concerning both scavenging efficiency and turbulence kinetic energy. First, a three-dimensional model based on computational fluids dynamics is established and validated. Subsequently, different numbers of intake ports are compared and analyzed from the perspectives of the scavenging efficiency and turbulence kinetic energy. Furthermore, the double-ports intake structure is selected with the consideration of the compact structure and high scavenging efficiency. Then, the radial angle and width of the double-ports structure are optimized based on the response surface method. The results show that the optimized structure increases the turbulence kinetic energy in relative high scavenging efficiency. The indicated efficiency exhibits a significant increase within the speed range of 1000–4000 rpm and reaches the maximum value of 39.5% around 2000 rpm. Full article
Show Figures

Figure 1

20 pages, 7137 KB  
Article
The Effect of Crankshaft Phasing and Port Timing Asymmetry on Opposed-Piston Engine Thermal Efficiency
by Alex G. Young, Aaron W. Costall, Daniel Coren and James W. G. Turner
Energies 2021, 14(20), 6696; https://doi.org/10.3390/en14206696 - 15 Oct 2021
Cited by 7 | Viewed by 4411
Abstract
Opposed-piston, two-stroke engines reveal degrees of freedom that make them excellent candidates for next generation, highly efficient internal combustion engines for hybrid electric vehicles and power systems. This article reports simulation results that explore the influence of key control and geometrical parameters, specifically [...] Read more.
Opposed-piston, two-stroke engines reveal degrees of freedom that make them excellent candidates for next generation, highly efficient internal combustion engines for hybrid electric vehicles and power systems. This article reports simulation results that explore the influence of key control and geometrical parameters, specifically crankshaft phasing and intake and exhaust port height-to-stroke ratios, in obtaining best thermal efficiency. A model of a 0.75 L, single-cylinder opposed-piston two-stroke engine is exercised to predict fuel consumption as engine speed, load, crankshaft phasing, intake and exhaust port height-to-stroke ratios, and stoichiometry are varied for medium-duty truck and range extender applications. Under stoichiometric operation, optimal crankshaft phasing is seen at 0–5°, lower than reported in the literature. If stoichiometric operation is not mandated, best fuel consumption is achieved at an air-to-fuel equivalence ratio λ = 1.25 and 5–10° crankshaft phase angle, enabling a ~10 g/kWh (~4%) improvement in average brake-specific fuel consumption across medium-duty truck operating points. In range extender form, the engine provides 30 kW output power in accordance with a survey of range extender engines. In this role, there is a clear distinction between low-speed, high-load operation and vice versa. The decision as to which is more appropriate would be based on minimizing total owning and operating cost, itself a trade-off between better thermal efficiency (and thus lower fuel cost) and greater durability. Full article
(This article belongs to the Special Issue Recent Advances in Internal Combustion Engines)
Show Figures

Figure 1

23 pages, 13747 KB  
Review
Research on the Operating Characteristics of Hydraulic Free-Piston Engines: A Systematic Review and Meta-Analysis
by Fukang Ma, Shuanlu Zhang, Zhenfeng Zhao and Yifang Wang
Energies 2021, 14(12), 3530; https://doi.org/10.3390/en14123530 - 14 Jun 2021
Cited by 7 | Viewed by 5731
Abstract
The hydraulic free-piston engine (HFPE) is a kind of hybrid-powered machine which combines the reciprocating piston-type internal combustion engine and the plunger pump as a whole. In recent years, the HFPE has been investigated by a number of research groups worldwide due to [...] Read more.
The hydraulic free-piston engine (HFPE) is a kind of hybrid-powered machine which combines the reciprocating piston-type internal combustion engine and the plunger pump as a whole. In recent years, the HFPE has been investigated by a number of research groups worldwide due to its potential advantages of high efficiency, energy savings, reduced emissions and multi-fuel operation. Therefore, our study aimed to assess the operating characteristics, core questions and research progress of HFPEs via a systematic review and meta-analysis. We included operational control, starting characteristics, misfire characteristics, in-cylinder working processes and operating stability. We conducted the literature search using electronic databases. The research on HFPEs has mainly concentrated on four kinds of free-piston engine, according to piston arrangement form: single piston, dual pistons, opposed pistons and four-cylinder complex configuration. HFPE research in China is mainly conducted in Zhejiang University, Tianjin University, Jilin University and the Beijing Institute of Technology. In addition, in China, research has mainly focused on the in-cylinder combustion process while a piston is free by considering in-cylinder combustion machinery and piston dynamics. Regarding future research, it is very important that we solve the instabilities brought about by chance fluctuations in the combustion process, which will involve the hydraulic system’s efficiency, the cyclical variation, the method of predicting instability and the recovery after instability. Full article
Show Figures

Figure 1

23 pages, 69466 KB  
Article
Experimental Investigation of Combustion Characteristics on Opposed Piston Two-Stroke Gasoline Direct Injection Engine
by Fukang Ma, Wei Yang, Junfeng Xu, Yufeng Li, Zhenfeng Zhao, Zhenyu Zhang and Yifang Wang
Energies 2021, 14(8), 2105; https://doi.org/10.3390/en14082105 - 9 Apr 2021
Cited by 10 | Viewed by 3682
Abstract
The combustion characteristics of an opposed-piston two-stroke gasoline engine are investigated with experiment. The energy conversion and exergy destruction are analyzed and the organization method of the combustion process is summarized. The effects of phase difference, scavenging pressure, injection timing, ignition timing, and [...] Read more.
The combustion characteristics of an opposed-piston two-stroke gasoline engine are investigated with experiment. The energy conversion and exergy destruction are analyzed and the organization method of the combustion process is summarized. The effects of phase difference, scavenging pressure, injection timing, ignition timing, and dual spark plug ignition scheme on the combustion process and engine performance are discussed, respectively. The heat release rate of the opposed-piston two-stroke gasoline engine is consistent with the conventional gasoline engine. With the increase of opposed-piston motion phase difference, the scavenging efficiency decreases and overmuch residual exhaust gas is not beneficial to the combustion process. Meanwhile, the faster relative velocity of the opposed-piston near the inner dead center enhances the cylinder working volume change rate, which leads to the rapid decline of in-cylinder pressure and temperature. The 15 °CA of opposed-piston motion phase difference improves the scavenging and combustion process effectively. When scavenging pressure is 0.12 MPa, the scavenging efficiency and heat release rate are improved at medium-high speed conditions. With the delay of injection timing, the flame developing period decreases gradually, and the rapid burning period decreases and then increases. The rapid burning period may reach the minimum value when the injection advance angle is 100 °CA. With the delay of ignition timing, the flame developing period increases gradually, and the rapid combustion period decreases and then increases. The rapid combustion period may reach the minimum value when the ignition advance angle is 20 °CA. Notably, the flat-top piston structure should be matched with the dual spark plug, which the ignition advance angle is 20 °CA at medium-high load conditions. Full article
Show Figures

Figure 1

22 pages, 7655 KB  
Article
The Potential of Wobble Plate Opposed Piston Axial Engines for Increased Efficiency
by Paweł Mazuro and Barbara Makarewicz
Energies 2020, 13(21), 5598; https://doi.org/10.3390/en13215598 - 26 Oct 2020
Cited by 4 | Viewed by 8494
Abstract
Recent announcements regarding the phase out of internal combustion engines indicate the need to make major changes in the automotive industry. Bearing in mind this innovation trend, the article proposes a new approach to the engine design. The aim of this paper is [...] Read more.
Recent announcements regarding the phase out of internal combustion engines indicate the need to make major changes in the automotive industry. Bearing in mind this innovation trend, the article proposes a new approach to the engine design. The aim of this paper is to shed a new light on the forgotten concept of axial engines with wobble plate mechanism. One of their most important advantages is the ease of use of the opposed piston layout, which has recently received much attention. Based on several years of research, the features determining the increase in mechanical efficiency, lower heat losses and the best scavenging efficiency were indicated. Thanks to the applied Variable Compression Ratio (VCR), Variable Angle Shift (VAS) and Variable Port Area (VPA) systems, the engine can operate on various fuels in each of the Spark Ignition (SI), Compression Ignition (CI) and Homogeneous Charge Compression Ignition (HCCI)/Controlled Auto Ignition (CAI) modes. In order to quantify the potential of the proposed design, an initial research of the newest PAMAR 4 engine was presented to calculate the torque curve at low rotational speeds. The achieved torque of 500 Nm at 500 rpm is 65% greater than the maximum torque of the OM 651 engine of the same 1.8 L capacity. The findings lead to the conclusion that axial engines are wrongfully overlooked and can significantly improve research on new trends in pollutant elimination. Full article
(This article belongs to the Special Issue New Trends on the Combustion Processes in Spark Ignition Engines)
Show Figures

Figure 1

Back to TopTop