Sign in to use this feature.

Years

Between: -

Subjects

remove_circle_outline
remove_circle_outline
remove_circle_outline
remove_circle_outline
remove_circle_outline
remove_circle_outline
remove_circle_outline
remove_circle_outline
remove_circle_outline

Journals

Article Types

Countries / Regions

Search Results (75)

Search Parameters:
Keywords = olive growing systems

Order results
Result details
Results per page
Select all
Export citation of selected articles as:
19 pages, 5585 KB  
Article
Stable Isotope Monitoring in a Semi-Arid Olive Orchard Suggest Changes in Ecohydrological Dynamics from Contrasting Drip Irrigation Regimes
by Taha Attou, M. H. Kharrou, S. Kuppel, Y. Ait Brahim, L. Bouchaou, V. Demarez, M. M. Lehmann, F. Raibi, T. Elghali, A. Elazhari, N. Rhoujjati, H. Bouimouass and A. Chehbouni
Water 2025, 17(21), 3029; https://doi.org/10.3390/w17213029 - 22 Oct 2025
Viewed by 413
Abstract
In semi-arid regions of Morocco, where the majority of water withdrawals are devoted to irrigation, optimizing irrigation practices in agriculture is a national priority in the face of recurring droughts and growing pressure on groundwater resources. However, the hydrological impacts of different drip-irrigation [...] Read more.
In semi-arid regions of Morocco, where the majority of water withdrawals are devoted to irrigation, optimizing irrigation practices in agriculture is a national priority in the face of recurring droughts and growing pressure on groundwater resources. However, the hydrological impacts of different drip-irrigation systems in the soil–plant–atmosphere continuum remain insufficiently understood. We monitored the stable isotope composition (δ2H, δ18O) across the two agricultural plots in Marrakech (Morocco) with surface drip and subsurface drip irrigation treatments for a complete hydrologic year (June 2022 to June 2023). Weekly to daily samples of rainfall, irrigation water, groundwater, and soil at various depths (5–50 cm) were sampled, and water from branch xylem was extracted using the cryogenic vacuum distillation method. We found that the subsurface irrigation treatment, which delivered water directly to the root zone, maintained narrow isotopic ranges in water of soils beyond 30 cm, as well as in branch xylem and leaf water. By contrast, surface irrigation treatment plots showed pronounced evaporative isotopic enrichment: summer topsoil water δ18O peaked at −1.1‰ (vs. −8.7‰ in subsurface irrigation treatment), and leaf water reached +13‰ (vs. +8‰ in subsurface). Despite this larger isotopic heterogeneity in surface irrigation site, branch xylem water δ18O remained within −6 to 2.5‰ across all soil depth, similar to subsurface irrigation treatment, which ranged between −5 and 0‰. This suggests that olive roots accessed soil water uniformly from the upper 50 cm under both irrigation treatments. Seasonal xylem isotopic enrichment in spring and midsummer mirrored shifts towards shallow, evaporatively altered soil water under surface irrigation, but not under the subsurface. The results suggest that subsurface drip irrigation can significantly improve drought resilience and water-use efficiency in the expanding olive sector of the Maghreb, while continuous isotope monitoring serves as a practical approach to enhance sustainable and adaptive water management in water-limited regions. Full article
Show Figures

Figure 1

12 pages, 811 KB  
Article
Occurrence and Abundance of Hemiptera Auchenorrhyncha Associated with Traditional and Super-High-Density Olive Groves in Tuscany (Central Italy), with a Particular Focus on Xylella fastidiosa Vectors
by Gargani Elisabetta, Francardi Valeria, Cutino Ilaria, Simoni Sauro, Nencioni Anita, Bigiotti Gaia and Landi Silvia
Crops 2025, 5(5), 73; https://doi.org/10.3390/crops5050073 - 18 Oct 2025
Viewed by 302
Abstract
In recent years, the spread of the phytopathogenic bacterium Xylella fastidiosa Wells et al., 1987 (Bacteria: Proteobacteria, Gammaproteobacteria) has posed a significant threat to olive cultivation in Italy, particularly in regions of high economic and agronomic value such as Apulia (Southern Italy). In [...] Read more.
In recent years, the spread of the phytopathogenic bacterium Xylella fastidiosa Wells et al., 1987 (Bacteria: Proteobacteria, Gammaproteobacteria) has posed a significant threat to olive cultivation in Italy, particularly in regions of high economic and agronomic value such as Apulia (Southern Italy). In this two-year study (2019–2020), we investigated the Auchenorrhyncha community in three representative olive farms in Tuscany (Central Italy), another region with highly valuable olive-growing, comparing traditional (400 trees/ha) and super-high-density (1500 trees/ha) management systems. Adult insects were collected monthly from May to November using sweep net sampling on both olive tree canopies and herbaceous ground cover. In total, 1844 individuals belonging to 25 genera and five families were identified. Philaenus spumarius L. and Neophilaenus campestris (Fallén) (Cercopoidea: Aphrophoridae) were confirmed as the most prevalent X. fastidiosa vectors in each site. However, data analysis revealed that Auchenorrhyncha community composition was significantly influenced by site and vegetation stratum, but not by olive grove management systems. These findings contribute to a deeper understanding of the composition of Auchenorrhyncha communities associated with olive groves, highlighting that new super-high-density management does not influence the presence and abundance of X. fastidiosa vectors. Full article
Show Figures

Figure 1

19 pages, 2753 KB  
Article
Exploring Molecular Responses to Aeroallergens in Respiratory Allergy Across Six Locations in Peru
by Oscar Manuel Calderón-Llosa, César Alberto Galván, María José Martínez, Ruperto González-Pérez, Eva Abel-Fernández and Fernando Pineda
Allergies 2025, 5(3), 23; https://doi.org/10.3390/allergies5030023 - 3 Jul 2025
Viewed by 937
Abstract
Allergic diseases, particularly respiratory allergies like asthma and allergic rhinitis, are a growing public health concern influenced by environmental factors such as climate change and air pollution. The exposome framework enables a comprehensive assessment of how lifelong environmental exposures shape immune responses and [...] Read more.
Allergic diseases, particularly respiratory allergies like asthma and allergic rhinitis, are a growing public health concern influenced by environmental factors such as climate change and air pollution. The exposome framework enables a comprehensive assessment of how lifelong environmental exposures shape immune responses and allergic sensitization. Peru’s diverse ecosystems and climates provide a unique setting to investigate regional variations in allergic sensitization. This study characterized these patterns in five Peruvian regions with distinct climatic, urbanization, and socioeconomic characteristics. A total of 268 individuals from Lima, Piura, Tarapoto, Arequipa, and Tacna were analysed for allergen-specific IgE responses using a multiplex IgE detection system. The results revealed significant geographical differences in sensitization frequencies and serodominance profiles, based on descriptive statistics and supported by Chi-square comparative analysis. House dust mites were predominant in humid regions, while Arequipa exhibited higher sensitization to cat allergens. In Tacna, olive pollen showed notable prevalence alongside house dust mites. Tarapoto’s high humidity correlated with increased fungal and cockroach allergen sensitization. Notably, some allergens traditionally considered minor, such as Der p 5 and Der p 21, reached sensitization prevalences close to or exceeding 50% in certain regions. These findings provide the most detailed molecular characterization of allergic sensitization in Peru to date, highlighting the importance of region-specific allergy management strategies. Understanding environmental influences on allergic diseases can support more effective diagnostic, therapeutic, and preventive approaches tailored to diverse geographical contexts. Full article
(This article belongs to the Section Allergen/Pollen)
Show Figures

Figure 1

7 pages, 2432 KB  
Proceeding Paper
Spatiotemporal Patterns of Olive Fruit Fly Movements: Impact of Variety, Temperature, and Altitude in Five Olive Oil Production Areas in Greece
by Stratis Sentas, Sofia Zafeirelli, Giorgos Stavrianakis and Thanasis Kizos
Proceedings 2025, 117(1), 11; https://doi.org/10.3390/proceedings2025117011 - 21 Apr 2025
Viewed by 698
Abstract
Olive fruit fly (Bactrocera oleae) is a pest affecting olive production, causing both qualitative and quantitative damage in all regions of the Mediterranean. This study investigates the spatiotemporal dynamics of olive fruit fly populations obtained from an extensive trap network in [...] Read more.
Olive fruit fly (Bactrocera oleae) is a pest affecting olive production, causing both qualitative and quantitative damage in all regions of the Mediterranean. This study investigates the spatiotemporal dynamics of olive fruit fly populations obtained from an extensive trap network in five olive-growing regions of Greece—Chalkidiki, Samos, Lesvos, Lasithi, and Chania—over a two-year period (2022–2023). The aim was to understand if and how factors such as variety, temperature, and altitude affect the population of the olive fruit fly. Using Geographical Information System (GIS) tools and spatial analysis, we correlated olive fruit fly numbers with temperature thresholds and altitude categories to analyze different patterns of pest movement. The results show significant variation in population dynamics based on these factors: altitudes, region, and a temperature threshold (at least above 32 °C). These insights are necessary for developing effective and sustainable pest management practices while considering spatial and temporal variability of olive fruit fly movements. Full article
Show Figures

Figure 1

20 pages, 3375 KB  
Article
Planting System and Cultivar Influence Olive Key-Pests Infestation in an Olive-Growing Vocated Area
by Michele Cutrone, Francesco Maldera, Francesco Nicolì, Eustachio Tarasco, Juan F. Hermoso, Agustí Romero and Salvatore Camposeo
Horticulturae 2024, 10(12), 1251; https://doi.org/10.3390/horticulturae10121251 - 26 Nov 2024
Cited by 1 | Viewed by 1787
Abstract
Traditional and intensive planting systems have paved the way for the phenomenon of intensification, with the super high-density (SHD) system being the most prominent. This system has demonstrated high levels of profitability due to both the reduction in production costs achieved through complete [...] Read more.
Traditional and intensive planting systems have paved the way for the phenomenon of intensification, with the super high-density (SHD) system being the most prominent. This system has demonstrated high levels of profitability due to both the reduction in production costs achieved through complete mechanization and a significant increase in olive oil production per hectare, stemming from the more efficient utilization of resources such as light, water, and nutrients. The aim of this study was to evaluate, in a vocated olive-growing area, the phytosanitary status of a SHD olive orchard compared to a traditional one (TRD). The research focused on six key olive pests, considering the interaction between planting systems and eight cultivars in a semi-arid environment. The comparative analysis of pest infestations across the two planting systems revealed significant and complex patterns in pest population distribution and intensity. Overall, the planting system appeared to be the main factor influencing pest dynamics. The SHD olive orchard exhibited the highest infestation levels of Otiorhynchus cribricollis, Palpita unionalis, and Bactrocera oleae. Conversely, in the TRD system, the highest infestation levels of Saissetia oleae, Euphyllura olivina, and Prays oleae were observed. Moreover, the study highlighted a less pronounced effect of cultivars on the prevalence of all monitored key pests. These findings underscore the potential for developing more sustainable and effective pest management strategies tailored to specific planting systems. Furthermore, the results contribute to advancing eco-friendly control approaches and improving pest infestation management practices. Additional research will be necessary to deepen the understanding of these key pests and their interactions within different olive-growing systems. Full article
(This article belongs to the Section Plant Pathology and Disease Management (PPDM))
Show Figures

Figure 1

16 pages, 2873 KB  
Article
Olive Growing Farming System and Damage by Cicadas
by Ramón González-Ruiz, Valentina Cuevas-López, María Sainz-Pérez, Juan F. Cuesta Cocera and Antonio García-Fuentes
World 2024, 5(4), 832-847; https://doi.org/10.3390/world5040043 - 30 Sep 2024
Cited by 2 | Viewed by 1690
Abstract
Although cicadas have traditionally been considered pests of little or no importance, in recent decades, an increase in damages is being recorded in olive groves of southern Spain. New agricultural practices that affect soil management are behind it. During 2024, intensive sampling has [...] Read more.
Although cicadas have traditionally been considered pests of little or no importance, in recent decades, an increase in damages is being recorded in olive groves of southern Spain. New agricultural practices that affect soil management are behind it. During 2024, intensive sampling has been carried out in an organic grove with herbaceous cover (VC2), and in a second one with mixed vegetation cover (VC1, in which the crushed remains of the annual pruning are added). In both ecological groves, inventories of the vegetation have been carried out, as well as intensive sampling in the olive canopy, with the densities of oviposition injuries being recorded and compared with respect to conventional management (CONV). The objectives of this study are to compare the three managements based on the density of oviposition injuries, to determine the priority areas for cicadas’ oviposition within the trees; and to develop a sampling method to assess damage over large areas. The results show significant increases in the density of injuries in organic groves, with maximum values recorded in the olive grove with mixed cover. Oviposition injuries show an altitudinal gradient distribution, with maximum values in the lower zone of the trees. The factors involved are discussed. Full article
Show Figures

Figure 1

11 pages, 4213 KB  
Article
Evaluation of Canopy Growth in Rainfed Olive Hedgerows Using UAV-LiDAR
by Susana Cantón-Martínez, Francisco Javier Mesas-Carrascosa, Raúl de la Rosa, Francisca López-Granados, Lorenzo León, Fernando Pérez-Porras, Francisco C. Páez and Jorge Torres-Sánchez
Horticulturae 2024, 10(9), 952; https://doi.org/10.3390/horticulturae10090952 - 6 Sep 2024
Cited by 2 | Viewed by 1535
Abstract
Hedgerow cultivation systems have revolutionized olive growing in recent years because of the mechanization of harvesting. Initially applied under irrigated conditions, its use has now extended to rainfed cultivation. However, there is limited information on the behavior of olive cultivars in hedgerow growing [...] Read more.
Hedgerow cultivation systems have revolutionized olive growing in recent years because of the mechanization of harvesting. Initially applied under irrigated conditions, its use has now extended to rainfed cultivation. However, there is limited information on the behavior of olive cultivars in hedgerow growing systems under rainfed conditions, which is a crucial issue in the context of climate change. To fill this knowledge gap, a rainfed cultivar trial was planted in 2020 in Southern Spain to compare ‘Arbequina’, ‘Arbosana’, ‘Koroneiki’, and ‘Sikitita’, under such growing conditions. One of the most important traits in low-water environments is the canopy growth. Because traditional canopy measurements are costly in terms of time and effort, the use of light detection and ranging (LiDAR) sensor onboard an uncrewed aerial vehicle (UAV) was tested. Statistical analyses of data collected in November 2022 and January 2023 revealed high correlations between UAV-LiDAR metrics and field measurements for height, projected area, and crown volume, based on validation with measurements from 36 trees. These results provide a solid basis for future research and practical applications in rainfed olive growing, while highlighting the potential of UAV-LiDAR technology to characterize tree canopy structure efficiently. Full article
Show Figures

Figure 1

18 pages, 3052 KB  
Article
Parental Effect on Agronomic and Olive Oil Traits in Olive Progenies from Reciprocal Crosses
by Hristofor Miho, Mihad Atallah, Carlos Trapero, Georgios Koubouris and Pedro Valverde
Plants 2024, 13(17), 2467; https://doi.org/10.3390/plants13172467 - 3 Sep 2024
Cited by 2 | Viewed by 1819
Abstract
Olive growing is undergoing a transition from traditional cultivation systems to a more technological model characterized by increased mechanization and a higher density of plants per hectare. This shift implies the use of less vigorous varieties that can adapt to the new system. [...] Read more.
Olive growing is undergoing a transition from traditional cultivation systems to a more technological model characterized by increased mechanization and a higher density of plants per hectare. This shift implies the use of less vigorous varieties that can adapt to the new system. Most traditional varieties are highly vigorous, and breeding programs can provide solutions to this challenge. This study investigates the parental effect on different agronomic and olive oil characteristics and its role in breeding programs. The objectives were to evaluate and characterize different agronomic and olive oil traits in the progenies from ‘Arbosana’ × ‘Sikitita’ cross and its reciprocal cross ‘Sikitita’ × ‘Arbosana’. The results showed a high variability of the characters evaluated in the progenitors of the reciprocal crosses. The highest coefficients of variation were observed in traits related to ripening index, phenolic compounds, polyunsaturated fatty acids, and Δ5-avenasterol, with phenolic content exhibiting the greatest variability. No statistically significant maternal effect was detected for any of the evaluated traits, although a slight positive maternal effect was systematically observed in the mean values of the evaluated traits. These results suggest that the maternal effect on olive is quite subtle, although due to a slight tendency of the maternal effect in the descriptive analyses, future studies are suggested to understand in depth the possible maternal effect on olive breeding. Full article
Show Figures

Figure 1

11 pages, 2489 KB  
Article
Productivity and Vigor Dynamics in a Comparative Trial of Hedgerow Olive Cultivars
by Juan Manuel Pérez-Rodríguez, Raúl De la Rosa, Lorenzo León, Encarnación Lara and Henar Prieto
Agriculture 2024, 14(8), 1362; https://doi.org/10.3390/agriculture14081362 - 14 Aug 2024
Cited by 2 | Viewed by 2478
Abstract
The hedgerow growing system is prevalent in new olive orchards worldwide due to its fully mechanized harvesting. Several works have been published to compare cultivars planted in this system, focusing on productivity and oil composition. However, little research has been conducted on the [...] Read more.
The hedgerow growing system is prevalent in new olive orchards worldwide due to its fully mechanized harvesting. Several works have been published to compare cultivars planted in this system, focusing on productivity and oil composition. However, little research has been conducted on the long-term evaluation of cultivars’ growth habits when trained in hedgerow systems and on how it affects their interannual productivity. In this work, we report the canopy growth habit, productivity, and their correlation for the ‘Arbequina’, ‘Arbosana’, ‘Koroneiki’, ‘Lecciana’, ‘Oliana’, and ‘Sikitita’ cultivars grown in a hedgerow system in Extremadura, central-western Spain, for 9 years. ‘Koroneiki’, ‘Arbequina’, and ‘Lecciana’ were the cultivars with the highest canopy growth, both in young and adult trees, and the ones with the highest pruning needs from 5 to 10 years after planting. The yield behavior in each of the years evaluated was stable in all cultivars except ‘Lecciana’. This alternate bearing was associated with the distribution of total yearly produced biomass between fruits and vegetative growth. ‘Oliana’, ‘Arbosana’, and ‘Sikitita’ were the cultivars with the highest proportion of fruit of the total biomass, and ‘Lecciana’ showed the lowest. This study indicates that cultivars with higher fruit proportions of total biomass might have better suitability for long-term growing in hedgerow formation, fewer pruning needs, and more stable productivity across the years. In this sense, in the climatic conditions considered here, ‘Arbosana’, ‘Sikitita’, and ‘Oliana’ could be the most suitable cultivars for this growing system. Full article
(This article belongs to the Section Crop Genetics, Genomics and Breeding)
Show Figures

Figure 1

17 pages, 26065 KB  
Article
Mapping the Future of Green Gold: GIS-Based Insights into Optimal Olive-Cultivation Areas in Jordan Amidst Climate Change
by Hind Sarayrah, Wissam Hayek, Ibrahim Farhan and Mohammad Wahsha
Sustainability 2024, 16(16), 6769; https://doi.org/10.3390/su16166769 - 7 Aug 2024
Cited by 1 | Viewed by 3214
Abstract
This study harnesses Geographic Information Systems (GISs) and the Analytical Hierarchy Process (AHP) to identify optimal areas for olive cultivation in Jordan amidst the challenges of climate change. Recognizing the olive tree’s economic, environmental and cultural significance in the Mediterranean, this research focuses [...] Read more.
This study harnesses Geographic Information Systems (GISs) and the Analytical Hierarchy Process (AHP) to identify optimal areas for olive cultivation in Jordan amidst the challenges of climate change. Recognizing the olive tree’s economic, environmental and cultural significance in the Mediterranean, this research focuses on the impact of altered climatic conditions, such as rising temperatures, shifting precipitation patterns and increased weather extremes, over the period from 1994 to 2021. By integrating climatic and topographical data, including factors such as altitude, slope, aspect and temperature variations, a multi-criteria analysis pinpoints regions suitable for sustainable olive agriculture. The methodology combines GIS-based spatial analysis with AHP to assess the suitability of various regions for olive farming, taking into account the complex interplay between climate and topography. This approach allows for the evaluation of potential agricultural zones under both current and projected climate scenarios, highlighting northern and western Jordan as areas with the highest suitability due to favorable precipitation and temperature conditions. The results of this study are vital for strategic agricultural planning, offering insights that can help enhance the resilience of olive production against climate variability. By identifying regions with optimal growing conditions and suggesting adaptive strategies, this research aims to support policymakers, agricultural developers and farmers in making informed decisions that ensure the sustainable future of olive farming in Jordan. Full article
Show Figures

Figure 1

21 pages, 1773 KB  
Article
Valorization of Olive Pomace Using Ultrasound-Assisted Extraction for Application in Active Packaging Films
by Renia Fotiadou, Ioanna Fragkaki, Kyriakos Pettas and Haralambos Stamatis
Int. J. Mol. Sci. 2024, 25(12), 6541; https://doi.org/10.3390/ijms25126541 - 13 Jun 2024
Cited by 10 | Viewed by 2355
Abstract
Bioactive compounds that can be recovered by the solid wastes of the olive oil sector, such as polyphenols, are known for their significant antioxidant and antimicrobial activities with potential application in nutraceutical, cosmetic, and food industries. Given that industrial demands are growing, and [...] Read more.
Bioactive compounds that can be recovered by the solid wastes of the olive oil sector, such as polyphenols, are known for their significant antioxidant and antimicrobial activities with potential application in nutraceutical, cosmetic, and food industries. Given that industrial demands are growing, and the polyphenol market value is ever increasing, a systematic study on the recovery of natural antioxidant compounds from olive pomace using ultrasound-assisted extraction (UAE) was conducted. Single-factor parameters, i.e., the extraction solvent, time, and solid-to-liquid ratio, were investigated evaluating the total phenolic content (TPC) recovery and the antioxidant activity of the final extract. The acetone–water system (50% v/v, 20 min, 1:20 g mL−1) exhibited the highest total phenolic content recovery (168.8 ± 5.5 mg GAE per g of dry extract). The olive pomace extract (OPE) was further assessed for its antioxidant and antibacterial activities. In DPPH, ABTS, and CUPRAC, OPE exhibited an antioxidant capacity of 413.6 ± 1.9, 162.72 ± 3.36 and 384.9 ± 7.86 mg TE per g of dry extract, respectively. The antibacterial study showed that OPE attained a minimum inhibitory activity (MIC) of 2.5 mg mL−1 against E. coli and 10 mg mL−1 against B. subtilis. Hydroxytyrosol and tyrosol were identified as the major phenolic compounds of OPE. Furthermore, active chitosan–polyvinyl alcohol (CHT/PVA) films were prepared using different OPE loadings (0.01–0.1%, w/v). OPE-enriched films showed a dose-dependent antiradical scavenging activity reaching 85.7 ± 4.6% (ABTS) and inhibition growth up to 81% against B. subtilis compared to the control film. Increased UV light barrier ability was also observed for the films containing OPE. These results indicate that OPE is a valuable source of phenolic compounds with promising biological activities that can be exploited for developing multifunctional food packaging materials. Full article
(This article belongs to the Special Issue Bioactive Compounds and Their Antioxidant Role)
Show Figures

Figure 1

11 pages, 2116 KB  
Article
Canopy Architectural Characteristics of Ten New Olive (Olea europaea L.) Genotypes and Their Potential for Cultivation in Super-High-Density Orchards
by Marina Bufacchi, Franco Famiani, Valentina Passeri, Andrea Domesi, Adolfo Rosati and Andrea Paoletti
Plants 2024, 13(10), 1399; https://doi.org/10.3390/plants13101399 - 17 May 2024
Cited by 2 | Viewed by 1735
Abstract
In recent years, there has been growing interest in olive genotypes (Olea europaea L.) suitable for super-high-density (SHD > 1200 trees/hectare) orchards. To date, only a few cultivars are considered fitting for such cultivation system. In this study, the first results on [...] Read more.
In recent years, there has been growing interest in olive genotypes (Olea europaea L.) suitable for super-high-density (SHD > 1200 trees/hectare) orchards. To date, only a few cultivars are considered fitting for such cultivation system. In this study, the first results on the architectural characteristics of the canopy of ten new olive genotypes are presented. Their suitability for SHD orchards was evaluated and compared with the cultivar ‘Arbequina’, which is considered suitable for SHD olive orchards and, for this reason, was used as the control. Several canopy measurements were taken, and some architectural parameters, such as branching frequency, branching density, and branch diameter/stem diameter ratio were calculated. The branching frequency value was greater than 0.20 in ‘Arbequina’ and in only four of the genotypes. The branching density in five genotypes was similar to ‘Arbequina’. ‘Arbequina’ had the lowest value for the branch diameter/stem diameter ratio, and only three genotypes had similar values. These initial results showed that only one genotype has all canopy architectural characteristics comparable to those of the cv. ‘Arbequina’. Further studies are needed to evaluate the production traits of these new genotypes and complete their characterization. Full article
Show Figures

Figure 1

18 pages, 3931 KB  
Article
Thermophysical Properties of Compressed Earth Blocks Incorporating Natural Materials
by Chiara Turco, Mohammadmahdi Abedi, Elisabete Teixeira and Ricardo Mateus
Energies 2024, 17(9), 2070; https://doi.org/10.3390/en17092070 - 26 Apr 2024
Cited by 6 | Viewed by 3729
Abstract
Building materials are responsible for significant CO2 emissions and energy consumption, both during production and operational phases. Earth as a building material offers a valuable alternative to conventional materials, as it naturally provides high hygrothermal comfort and air quality even with passive [...] Read more.
Building materials are responsible for significant CO2 emissions and energy consumption, both during production and operational phases. Earth as a building material offers a valuable alternative to conventional materials, as it naturally provides high hygrothermal comfort and air quality even with passive conditioning systems. However, disadvantages related to high density, conductivity, and wall thickness prevent its effective inclusion in the mainstream. This research explores enhancing the thermophysical properties of compressed earth blocks (CEBs) by using locally sourced natural materials. The study is framed in the Portuguese context and the natural materials involved are wheat straw (WS) as a by-product of wheat harvesting, cork granules (CGs) from bottle caps, and ground olive stone (GOSs) residues from olive oil production. Blocks were produced with different mixtures of these materials and the thermal response was examined in a hot box apparatus. Best results include a 20 and 26% reduction in thermal conductivity for mixtures with 5v.% CG and 10v.% GOS, respectively, and an associated reduction in bulk density of 3.8 and 5.4%. The proposed approach therefore proves to be effective in improving the key thermophysical characteristics of CEBs. The article includes a comparative analysis of the experimental data from this study with those from the literature. The study contributes to the growing knowledge of sustainable materials, providing insights for researchers and practitioners looking for innovative solutions for low-carbon and energy-efficient materials. Full article
Show Figures

Figure 1

23 pages, 9638 KB  
Article
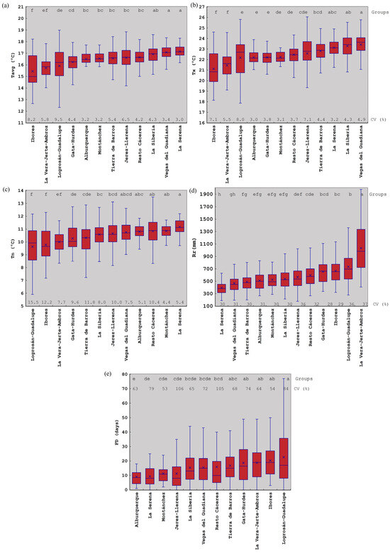
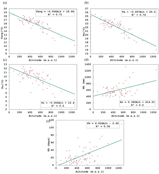
Exploring the Climate and Topography of Olive Orchards in Extremadura, Southwestern Spain
by Fulgencio Honorio, Cristina Aguirado, Luis L. Paniagua, Abelardo García-Martín, Lourdes Rebollo and Francisco J. Rebollo
Land 2024, 13(4), 495; https://doi.org/10.3390/land13040495 - 11 Apr 2024
Cited by 8 | Viewed by 5956
Abstract
The olive tree is a significant woody crop in the Mediterranean basin, with the primary olive-growing areas located in the south and southwest of the Iberian Peninsula. Climate plays a crucial role in crop distribution, viability, production, and yield. The climatic and topographical [...] Read more.
The olive tree is a significant woody crop in the Mediterranean basin, with the primary olive-growing areas located in the south and southwest of the Iberian Peninsula. Climate plays a crucial role in crop distribution, viability, production, and yield. The climatic and topographical conditions of Extremadura in southwestern Spain, were analysed to characterise and group the olive-growing areas. To achieve this, a Geographic Information System (GIS) was developed to locate all registered olive tree plots. The orientations and elevations of these were analysed, along with the average, minimum, and maximum temperatures, precipitation, and frost for the period of 1990–2021. The study reveals that olive groves in Extremadura are primarily situated at elevations ranging from 200 to 600 m above sea level. Additionally, it was found that the least common orientation is towards the north. Temperatures are not a constraint for olive growing, except in the mountainous areas in the north of the region; however, rainfall can be a limiting factor. In fact, 50% of the olive-growing area receives less rainfall than is considered adequate for optimal production. Frost days and the low probability of severe frosts are not a problem for olive growing in this region, except in the highest parts of the region. The scale of this study, at plantation level, will enable the implementation of measures aimed at climate change adaptation and mitigation. Full article
Show Figures

Figure 1

18 pages, 558 KB  
Review
Adaptation Mechanisms of Olive Tree under Drought Stress: The Potential of Modern Omics Approaches
by Georgia-Maria Nteve, Stefanos Kostas, Alexios N. Polidoros, Panagiotis Madesis and Irini Nianiou-Obeidat
Agriculture 2024, 14(4), 579; https://doi.org/10.3390/agriculture14040579 - 5 Apr 2024
Cited by 14 | Viewed by 7194
Abstract
Olive (Olea europaea L.) is a crop of enormous economic and cultural importance. Over the years, the worldwide production of olive oil has been decreasing due to various biotic and abiotic factors. The current drop in olive oil production resulting from climate [...] Read more.
Olive (Olea europaea L.) is a crop of enormous economic and cultural importance. Over the years, the worldwide production of olive oil has been decreasing due to various biotic and abiotic factors. The current drop in olive oil production resulting from climate change raises concerns regarding the fulfillment of our daily demand for olive oil and has led to a significant increase in market prices. In the future, there will be a higher chance that we will face a severe shortage of olive oil, which could harm both the economic sector and the food supply. As olive groves cover more than 5 million hectares in the European Union alone, the need to preserve the crop in the context of extreme climatic events is imperative. As drought is considered one of the most limiting factors in agriculture, drought-resistant varieties and sustainable irrigation strategies are being developed to mitigate the impact of drought on crop productivity and secure the future supply of olive oil. This review focuses on recently gained insights into drought stress in olive trees through omics and phenomics approaches to unravelling mechanisms that may lead to developing new varieties that are tolerant against drought elicited by changes in growing systems. Full article
Show Figures

Figure 1

Back to TopTop