Sign in to use this feature.

Years

Between: -

Subjects

remove_circle_outline
remove_circle_outline
remove_circle_outline
remove_circle_outline
remove_circle_outline
remove_circle_outline
remove_circle_outline
remove_circle_outline
remove_circle_outline

Journals

Article Types

Countries / Regions

remove_circle_outline
remove_circle_outline
remove_circle_outline
remove_circle_outline
remove_circle_outline

Search Results (219)

Search Parameters:
Keywords = occupancy grids

Order results
Result details
Results per page
Select all
Export citation of selected articles as:
28 pages, 1318 KB  
Article
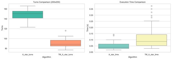
Lexicographic A*: Hierarchical Distance and Turn Optimization for Mobile Robots
by Wei-Chang Yeh, Jiun-Yu Tu, Tsung-Yan Huang, Yi-Zhen Liao and Chia-Ling Huang
Electronics 2026, 15(3), 599; https://doi.org/10.3390/electronics15030599 - 29 Jan 2026
Viewed by 98
Abstract
Autonomous mobile robots require efficient path planning algorithms for navigation in grid-based environments. While the A* algorithm guarantees optimally short paths using admissible heuristics, it exhibits path degeneracy: multiple geometrically distinct paths often share identical length. Classical A* arbitrarily selects among these equal-cost [...] Read more.
Autonomous mobile robots require efficient path planning algorithms for navigation in grid-based environments. While the A* algorithm guarantees optimally short paths using admissible heuristics, it exhibits path degeneracy: multiple geometrically distinct paths often share identical length. Classical A* arbitrarily selects among these equal-cost candidates, frequently producing trajectories with excessive directional changes. Each turn induces deceleration–acceleration cycles that degrade energy efficiency and accelerate mechanical wear. To address this, we propose Turn-Minimizing A* (TM-A*), a lexicographic optimization approach that maintains distance optimality while minimizing cumulative heading changes. Unlike weighted-cost methods that require parameter calibration, TM-A* applies a dual-objective framework: distance takes strict priority, with turn count serving as a tie-breaker among equal-length paths. A key contribution of this work is the explicit guarantee that the generated path has the minimum number of turns among all shortest paths. By formulating path planning as a lexicographic optimization problem, TM-A* strictly prioritizes path length optimality and deterministically selects, among all equal-length candidates, the one with the fewest directional changes. Unlike classical A*, which arbitrarily resolves path degeneracy, TM-A* provably eliminates this ambiguity. As a result, the method ensures globally shortest paths with minimal turning, directly improving trajectory smoothness and operational efficiency. We prove that TM-A* preserves the O(|E|log|V|) time complexity of classical A*. Validation across 30 independent Monte Carlo trials at resolutions from 200 × 200 to 1000 × 1000 demonstrates that TM-A* reduces turn count by 39–43% relative to baseline A* (p < 0.001). Although the inclusion of orientation expands the search space four-fold, the computation time increases by only a factor of approximately 3 (≈200%), indicating efficient scalability relative to problem complexity. With absolute latency remaining below 3300 ms for 1000 × 1000 grids, the approach is highly suitable for static global planning. Consequently, TM-A* provides a deterministic and scalable solution for generating smooth trajectories in industrial mobile robot applications. Full article
(This article belongs to the Special Issue Feature Papers in Networks: 2025–2026 Edition)
Show Figures

Figure 1

38 pages, 1015 KB  
Review
User Activity Detection and Identification of Energy Habits in Home Energy-Management Systems Using AI and ML: A Comprehensive Review
by Filip Durlik, Jakub Grela, Dominik Latoń, Andrzej Ożadowicz and Lukasz Wisniewski
Energies 2026, 19(3), 641; https://doi.org/10.3390/en19030641 - 26 Jan 2026
Viewed by 128
Abstract
The residential energy sector contributes substantially to global energy-related emissions. Effective energy management requires an understanding occupant behavior through activity detection and habit identification. Recent advances in artificial intelligence (AI) and machine learning (ML) enable the automatic detection of user activities and prediction [...] Read more.
The residential energy sector contributes substantially to global energy-related emissions. Effective energy management requires an understanding occupant behavior through activity detection and habit identification. Recent advances in artificial intelligence (AI) and machine learning (ML) enable the automatic detection of user activities and prediction of energy needs based on historical consumption data. Non-intrusive load monitoring (NILM) facilitates device-level disaggregation without additional sensors, supporting demand forecasting and behavior-aware control in Home Energy Management Systems (HEMSs). This review synthesizes various AI and ML approaches for detecting user activities and energy habits in HEMSs from 2020 to 2025. The analyses revealed that deep learning (DL) models, with their ability to capture complex temporal and nonlinear patterns in multisensor data, achieve superior accuracy in activity detection and load forecasting, with occupancy detection reaching 95–99% accuracy. Hybrid systems combining neural networks and optimization algorithms demonstrate enhanced robustness, but challenges remain in limited cross-building generalization, insufficient interpretability of deep models, and the absence of dataset standardized. Future work should prioritize lightweight, explainable edge-ready models, federated learning, and integration with digital twins and control systems. It should also extend energy optimization toward occupant wellbeing and grid flexibility, using standardized protocols and open datasets for ensuring trustworthy and sustainability. Full article
(This article belongs to the Collection Energy Efficiency and Environmental Issues)
18 pages, 2210 KB  
Article
SPINET-KSP: A Multi-Modal LLM-Graph Foundation Model for Contextual Prediction of Kinase-Substrate-Phosphatase Triads
by Michael Olaolu Arowolo, Marian Emmanuel Okon, Davis Austria, Muhammad Azam and Sulaiman Olaniyi Abdulsalam
Kinases Phosphatases 2026, 4(1), 3; https://doi.org/10.3390/kinasesphosphatases4010003 - 22 Jan 2026
Viewed by 110
Abstract
Reversible protein phosphorylation is an important regulatory mechanism in cellular signalling and disease, regulated by the opposing actions of kinases and phosphatases. Modern computer methods predict kinase–substrate or phosphatase–substrate interactions in isolation and lack specificity for biological conditions, neglecting triadic regulation. We present [...] Read more.
Reversible protein phosphorylation is an important regulatory mechanism in cellular signalling and disease, regulated by the opposing actions of kinases and phosphatases. Modern computer methods predict kinase–substrate or phosphatase–substrate interactions in isolation and lack specificity for biological conditions, neglecting triadic regulation. We present SPINET-KSP, a multi-modal LLM–Graph foundation model engineered for the prediction of kinase–substrate–phosphatase (KSP) triads with contextual awareness. SPINET-KSP integrates high-confidence interactomes (SIGNOR, BioGRID, STRING), structural contacts obtained from AlphaFold3, ESM-3 sequence embeddings, and a 512-dimensional cell-state manifold with 1612 quantitative phosphoproteomic conditions. A heterogeneous KSP graph is examined utilising a cross-attention Graphormer with Reversible Triad Attention to mimic kinase–phosphatase antagonism. SPINET-KSP, pre-trained on 3.41 million validated phospho-sites utilising masked phosphorylation modelling and contrastive cell-state learning, achieves an AUROC of 0.852 for kinase-family classification (sensitivity 0.821, specificity 0.834, MCC 0.655) and a Pearson correlation coefficient of 0.712 for phospho-occupancy prediction. In distinct 2025 mass spectrometry datasets, it identifies 72% of acknowledged cancer-resistance triads within the top 10 rankings and uncovers 247 supplementary triads validated using orthogonal proteomics. SPINET-KSP is the first foundational model for simulating context-dependent reversible phosphorylation, enabling the targeting of dysregulated kinase-phosphatase pathways in diseases. Full article
Show Figures

Figure 1

16 pages, 3906 KB  
Article
S3PM: Entropy-Regularized Path Planning for Autonomous Mobile Robots in Dense 3D Point Clouds of Unstructured Environments
by Artem Sazonov, Oleksii Kuchkin, Irina Cherepanska and Arūnas Lipnickas
Sensors 2026, 26(2), 731; https://doi.org/10.3390/s26020731 - 21 Jan 2026
Viewed by 168
Abstract
Autonomous navigation in cluttered and dynamic industrial environments remains a major challenge for mobile robots. Traditional occupancy-grid and geometric planning approaches often struggle in such unstructured settings due to partial observability, sensor noise, and the frequent presence of moving agents (machinery, vehicles, humans). [...] Read more.
Autonomous navigation in cluttered and dynamic industrial environments remains a major challenge for mobile robots. Traditional occupancy-grid and geometric planning approaches often struggle in such unstructured settings due to partial observability, sensor noise, and the frequent presence of moving agents (machinery, vehicles, humans). These limitations seriously undermine long-term reliability and safety compliance—both essential for Industry 4.0 applications. This paper introduces S3PM, a lightweight entropy-regularized framework for simultaneous mapping and path planning that operates directly on dense 3D point clouds. Its key innovation is a dynamics-aware entropy field that fuses per-voxel occupancy probabilities with motion cues derived from residual optical flow. Each voxel is assigned a risk-weighted entropy score that accounts for both geometric uncertainty and predicted object dynamics. This representation enables (i) robust differentiation between reliable free space and ambiguous/hazardous regions, (ii) proactive collision avoidance, and (iii) real-time trajectory replanning. The resulting multi-objective cost function effectively balances path length, smoothness, safety margins, and expected information gain, while maintaining high computational efficiency through voxel hashing and incremental distance transforms. Extensive experiments in both real-world and simulated settings, conducted on a Raspberry Pi 5 (with and without the Hailo-8 NPU), show that S3PM achieves 18–27% higher IoU in static/dynamic segmentation, 0.94–0.97 AUC in motion detection, and 30–45% fewer collisions compared to OctoMap + RRT* and standard probabilistic baselines. The full pipeline runs at 12–15 Hz on the bare Pi 5 and 25–30 Hz with NPU acceleration, making S3PM highly suitable for deployment on resource-constrained embedded platforms. Full article
(This article belongs to the Special Issue Mobile Robots: Navigation, Control and Sensing—2nd Edition)
Show Figures

Figure 1

23 pages, 4965 KB  
Article
A Unified Environment for Testing Shortest-Path Algorithms Used in PBS Systems
by Krzysztof Paszek, Justyna Paszek, Krzysztof Witek and Damian Grzechca
Appl. Sci. 2026, 16(2), 960; https://doi.org/10.3390/app16020960 - 17 Jan 2026
Viewed by 226
Abstract
The increasing demand for efficient parking lots in urban environments has intensified research into puzzle-based storage parking systems. However, this high-density approach introduces challenges related to optimizing retrieval time and determining efficient vehicle access paths. Research shows that standardized testing platforms are needed [...] Read more.
The increasing demand for efficient parking lots in urban environments has intensified research into puzzle-based storage parking systems. However, this high-density approach introduces challenges related to optimizing retrieval time and determining efficient vehicle access paths. Research shows that standardized testing platforms are needed to enable fair comparisons of algorithmic approaches in the puzzle-based storage (PBS) field. This study introduces a comprehensive, modular, and free environment for the systematic evaluation of shortest-path algorithms within PBS problems. The paper provides a practical example of the environment’s application and outlines future development perspectives. Moreover, the article provides a comparative analysis of vehicle retrieval performance across a spectrum of scenarios, including variations in parking lot dimensions, occupancy densities, movement strategies (orthogonal versus octilinear), and input/output point configurations. Experiments reveal that grid size, storage density, and depot placement significantly influence retrieval efficiency, computational complexity, and solution optimality, which is consistent with the literature. This study demonstrates that the environment encompasses all essential elements for conducting research and allows reliable comparisons of results across various algorithm implementations. Full article
Show Figures

Figure 1

16 pages, 1596 KB  
Article
Spatial and Temporal Trends in the Invasion Dynamics of the Ring-Necked Parakeet (Psittacula krameri) in the Urban Complex of Thessaloniki, Greece
by Charalambos T. Thoma, Konstantina N. Makridou and Dimitrios E. Bakaloudis
Animals 2026, 16(2), 224; https://doi.org/10.3390/ani16020224 - 12 Jan 2026
Viewed by 558
Abstract
Invasive alien species pose a major threat to global biodiversity, especially within Europe. Understanding their spatial and temporal dynamics is essential for effective management planning and implementation. The ring-necked parakeet (Psittacula krameri, hereafter RNP) has been established in Greece for over [...] Read more.
Invasive alien species pose a major threat to global biodiversity, especially within Europe. Understanding their spatial and temporal dynamics is essential for effective management planning and implementation. The ring-necked parakeet (Psittacula krameri, hereafter RNP) has been established in Greece for over four decades, yet its invasion dynamics remain unstudied despite pilling evidence of ecological impacts. During 2024 and 2025, we conducted repeated transect surveys across 99 1 km2 grid squares within the urban complex of Thessaloniki to assess environmental factors influencing occupancy and abundance, and to estimate RNP population trends. Dynamic occupancy and N-mixture models revealed that both the presence and abundance of RNP were positively associated with the proportion of dense urban fabric and urban green areas. The proportion of occupied sites increased by more than 10% between survey years (2024–2025), while the estimated population growth rate for this interval was 1.64, signaling a substantial short-term increase. Our findings provide the first detailed evidence of an established and growing RNP population within the urban complex of Thessaloniki, Greece. Continued monitoring and research on ecological impacts are essential, while any management actions should be developed with public engagement to ensure social acceptance and long-term effectiveness. Full article
Show Figures

Graphical abstract

16 pages, 1970 KB  
Article
LSON-IP: Lightweight Sparse Occupancy Network for Instance Perception
by Xinwang Zheng, Yuhang Cai, Lu Yang, Chengyu Lu and Guangsong Yang
World Electr. Veh. J. 2026, 17(1), 31; https://doi.org/10.3390/wevj17010031 - 7 Jan 2026
Viewed by 241
Abstract
The high computational demand of dense voxel representations severely limits current vision-centric 3D semantic occupancy prediction methods, despite their capacity for granular scene understanding. This challenge is particularly acute in safety-critical applications like autonomous driving, where accurately perceiving dynamic instances often takes precedence [...] Read more.
The high computational demand of dense voxel representations severely limits current vision-centric 3D semantic occupancy prediction methods, despite their capacity for granular scene understanding. This challenge is particularly acute in safety-critical applications like autonomous driving, where accurately perceiving dynamic instances often takes precedence over capturing the static background. This paper challenges the paradigm of dense prediction for such instance-focused tasks. We introduce the LSON-IP, a framework that strategically avoids the computational expense of dense 3D grids. LSON-IP operates on a sparse set of 3D instance queries, which are initialized directly from multi-view 2D images. These queries are then refined by our novel Sparse Instance Aggregator (SIA), an attention-based module. The SIA incorporates rich multi-view features while simultaneously modeling inter-query relationships to construct coherent object representations. Furthermore, to obviate the need for costly 3D annotations, we pioneer a Differentiable Sparse Rendering (DSR) technique. DSR innovatively defines a continuous field from the sparse voxel output, establishing a differentiable bridge between our sparse 3D representation and 2D supervision signals through volume rendering. Extensive experiments on major autonomous driving benchmarks, including SemanticKITTI and nuScenes, validate our approach. LSON-IP achieves strong performance on key dynamic instance categories and competitive overall semantic completion, all while reducing computational overhead by over 60% compared to dense baselines. Our work thus paves the way for efficient, high-fidelity instance-aware 3D perception. Full article
Show Figures

Figure 1

24 pages, 7327 KB  
Article
Numerical Analysis of Airflow and Temperature Distribution in Surgical Operating Rooms
by Vikas Valsala Krishnankutty, Chandrasekharan Muraleedharan and Arun Palatel
Buildings 2026, 16(1), 171; https://doi.org/10.3390/buildings16010171 - 30 Dec 2025
Viewed by 262
Abstract
This study provides a comprehensive three-dimensional Computational Fluid Dynamics analysis of airflow distribution in a surgical operating room under realistic occupancy and equipment conditions. Using integrated modelling in SolidWorks and a subsequent analysis in ANSYS Fluent, a full-scale Operating Room geometry was simulated [...] Read more.
This study provides a comprehensive three-dimensional Computational Fluid Dynamics analysis of airflow distribution in a surgical operating room under realistic occupancy and equipment conditions. Using integrated modelling in SolidWorks and a subsequent analysis in ANSYS Fluent, a full-scale Operating Room geometry was simulated to assess the effectiveness of a laminar airflow system. The model includes surgical staff mannequins, thermal loads from surgical lights, and medical equipment that commonly disrupt unidirectional flow patterns. A polyhedral mesh with over 2.8 million nodes was employed, and a grid independence study confirmed solution reliability. The realisable k–ε turbulence model with enhanced wall treatment was used to simulate steady-state airflow, thermal stratification, and pressure variation due to door opening. Results highlight significant flow disturbances and recirculation zones caused by the shear zone created by supply air, overhead lights and heat plumes, particularly outside the core laminar air flow zone. The most important area, 10 cm above the surgical site, shows a maximum velocity gradient of 0.09 s−1 while the temperature gradient shows 6.7 K.m−1 and the pressure gradient, 0.0167 Pa.m−1. Streamline analysis reveals potential re-entrainment of contaminated air into the sterile field. Full article
(This article belongs to the Section Building Energy, Physics, Environment, and Systems)
Show Figures

Figure 1

29 pages, 3429 KB  
Article
Integrating Eco-Design and a Building-Integrated Photovoltaic (BIPV) System for Achieving Net Zero Energy Building for a Hot–Dry Climate
by Mohamed Ouazzani Ibrahimi, Abdelali Mana, Samir Idrissi Kaitouni and Abdelmajid Jamil
Buildings 2025, 15(24), 4538; https://doi.org/10.3390/buildings15244538 - 16 Dec 2025
Viewed by 631
Abstract
Despite growing interest in positive-energy and net-zero-energy buildings (NZEBs), few studies have addressed the integration of biobased construction with building-integrated photovoltaics (BIPV) under hot–dry climate conditions, particularly in Morocco and North Africa. This study fills this gap by presenting a simulation-based evaluation of [...] Read more.
Despite growing interest in positive-energy and net-zero-energy buildings (NZEBs), few studies have addressed the integration of biobased construction with building-integrated photovoltaics (BIPV) under hot–dry climate conditions, particularly in Morocco and North Africa. This study fills this gap by presenting a simulation-based evaluation of energy performance and renewable energy integration strategies for a residential building in the Fes-Meknes region. Two structural configurations were compared using dynamic energy simulations in DesignBuilder/EnergyPlus, that is, a conventional concrete brick model and an eco-constructed alternative based on biobased wooden materials. Thus, the wooden construction reduced annual energy consumption by 33.3% and operational CO2 emissions by 50% due to enhanced thermal insulation and moisture-regulating properties. Then multiple configurations of the solar energy systems were analysed, and an optimal hybrid off-grid hybrid system combining rooftop photovoltaic, BIPV, and lithium-ion battery storage achieved a 100% renewable energy fraction with an annual output of 12,390 kWh. While the system incurs a higher net present cost of $45,708 USD, it ensures full grid independence, lowers the electricity cost to $0.70/kWh, and improves occupant comfort. The novelty of this work lies in its integrated approach, which combines biobased construction, lifecycle-informed energy modelling, and HOMER-optimised PV/BIPV systems tailored to a hot, dry climate. The study provides a replicable framework for designing NZEBs in Morocco and similar arid regions, supporting the low-carbon transition and informing policy, planning, and sustainable construction strategies. Full article
(This article belongs to the Section Building Energy, Physics, Environment, and Systems)
Show Figures

Figure 1

16 pages, 640 KB  
Systematic Review
A Systematic Review of Building Energy Management Systems (BEMSs): Sensors, IoT, and AI Integration
by Leyla Akbulut, Kubilay Taşdelen, Atılgan Atılgan, Mateusz Malinowski, Ahmet Coşgun, Ramazan Şenol, Adem Akbulut and Agnieszka Petryk
Energies 2025, 18(24), 6522; https://doi.org/10.3390/en18246522 - 12 Dec 2025
Viewed by 1129
Abstract
The escalating global demand for energy-efficient and sustainable built environments has catalyzed the advancement of Building Energy Management Systems (BEMSs), particularly through their integration with cutting-edge technologies. This review presents a comprehensive and critical synthesis of the convergence between BEMSs and enabling tools [...] Read more.
The escalating global demand for energy-efficient and sustainable built environments has catalyzed the advancement of Building Energy Management Systems (BEMSs), particularly through their integration with cutting-edge technologies. This review presents a comprehensive and critical synthesis of the convergence between BEMSs and enabling tools such as the Internet of Things (IoT), wireless sensor networks (WSNs), and artificial intelligence (AI)-based decision-making architectures. Drawing upon 89 peer-reviewed publications spanning from 2019 to 2025, the study systematically categorizes recent developments in HVAC optimization, occupancy-driven lighting control, predictive maintenance, and fault detection systems. It further investigates the role of communication protocols (e.g., ZigBee, LoRaWAN), machine learning-based energy forecasting, and multi-agent control mechanisms within residential, commercial, and institutional building contexts. Findings across multiple case studies indicate that hybrid AI–IoT systems have achieved energy efficiency improvements ranging from 20% to 40%, depending on building typology and control granularity. Nevertheless, the widespread adoption of such intelligent BEMSs is hindered by critical challenges, including data security vulnerabilities, lack of standardized interoperability frameworks, and the complexity of integrating heterogeneous legacy infrastructure. Additionally, there remain pronounced gaps in the literature related to real-time adaptive control strategies, trust-aware federated learning, and seamless interoperability with smart grid platforms. By offering a rigorous and forward-looking review of current technologies and implementation barriers, this paper aims to serve as a strategic roadmap for researchers, system designers, and policymakers seeking to deploy the next generation of intelligent, sustainable, and scalable building energy management solutions. Full article
Show Figures

Figure 1

15 pages, 2020 KB  
Article
3D Human Reconstruction from Monocular Vision Based on Neural Fields and Explicit Mesh Optimization
by Kaipeng Wang, Xiaolong Xie, Wei Li, Jie Liu and Zhuo Wang
Electronics 2025, 14(22), 4512; https://doi.org/10.3390/electronics14224512 - 18 Nov 2025
Viewed by 1603
Abstract
Three-dimensional Human Reconstruction from Monocular Vision is a key technology in Virtual Reality and digital humans. It aims to recover the 3D structure and pose of the human body from 2D images or video. Current methods for dynamic 3D reconstruction of the human [...] Read more.
Three-dimensional Human Reconstruction from Monocular Vision is a key technology in Virtual Reality and digital humans. It aims to recover the 3D structure and pose of the human body from 2D images or video. Current methods for dynamic 3D reconstruction of the human body, which are based on monocular views, have low accuracy and remain a challenging problem. This paper proposes a fast reconstruction method based on Instant Human Model (IHM) generation, which achieves highly realistic 3D reconstruction of the human body in arbitrary poses. First, the efficient dynamic human body reconstruction method, InstantAvatar, is utilized to learn the shape and appearance of the human body in different poses. However, due to its direct use of low-resolution voxels as canonical spatial human representations, it is not possible to achieve satisfactory reconstruction results on a wide range of datasets. Next, a voxel occupancy grid is initialized in the A-pose, and a voxel attention mechanism module is constructed to enhance the reconstruction effect. Finally, the Instant Human Model (IHM) method is employed to define continuous fields on the surface, enabling highly realistic dynamic 3D human reconstruction. Experimental results show that, compared to the representative InstantAvatar method, IHM achieves a 0.1% improvement in SSIM and a 2% improvement in PSNR on the PeopleSnapshot benchmark dataset, demonstrating improvements in both reconstruction quality and detail. Specifically, IHM, through voxel attention mechanisms and Mesh adaptive iterative optimization, achieves highly realistic 3D mesh models of human bodies in various poses while ensuring efficiency. Full article
(This article belongs to the Special Issue 3D Computer Vision and 3D Reconstruction)
Show Figures

Graphical abstract

16 pages, 3174 KB  
Article
Online Mapping from Weight Matching Odometry and Highly Dynamic Point Cloud Filtering via Pseudo-Occupancy Grid
by Xin Zhao, Xingyu Cao, Meng Ding, Da Jiang and Chao Wei
Sensors 2025, 25(22), 6872; https://doi.org/10.3390/s25226872 - 10 Nov 2025
Viewed by 2432
Abstract
Efficient locomotion in autonomous driving and robotics requires clearer visualization and more precise map. This paper presents a high accuracy online mapping including weight matching LiDAR-IMU-GNSS odometry and an object-level highly dynamic point cloud filtering method based on a pseudo-occupancy grid. The odometry [...] Read more.
Efficient locomotion in autonomous driving and robotics requires clearer visualization and more precise map. This paper presents a high accuracy online mapping including weight matching LiDAR-IMU-GNSS odometry and an object-level highly dynamic point cloud filtering method based on a pseudo-occupancy grid. The odometry integrates IMU pre-integration, ground point segmentation through progressive morphological filtering (PMF), motion compensation, and weight feature point matching. Weight feature point matching enhances alignment accuracy by combining geometric and reflectance intensity similarities. By computing the pseudo-occupancy ratio between the current frame and prior local submaps, the grid probability values are updated to identify the distribution of dynamic grids. Object-level point cloud cluster segmentation is obtained using the curved voxel clustering method, eventually leading to filtering out the object-level highly dynamic point clouds during the online mapping process. Compared to the LIO-SAM and FAST-LIO2 frameworks, the proposed odometry demonstrates superior accuracy in the KITTI, UrbanLoco, and Newer College (NCD) datasets. Meantime, the proposed highly dynamic point cloud filtering algorithm exhibits better detection precision than the performance of Removert and ERASOR. Furthermore, the high-accuracy online mapping is built from a real-time dataset with the comprehensive filtering of driving vehicles, cyclists, and pedestrians. This research contributes to the field of high-accuracy online mapping, especially in filtering highly dynamic objects in an advanced way. Full article
(This article belongs to the Special Issue Application of LiDAR Remote Sensing and Mapping)
Show Figures

Figure 1

25 pages, 1185 KB  
Review
The Critical Role of IoT for Enabling the UK’s Built Environment Transition to Net Zero
by Ioannis Paraskevas, Diyar Alan, Anestis Sitmalidis, Grant Henshaw, David Farmer, Richard Fitton, William Swan and Maria Barbarosou
Energies 2025, 18(21), 5779; https://doi.org/10.3390/en18215779 - 2 Nov 2025
Viewed by 750
Abstract
The built environment contributes approximately 25% of the UK’s total greenhouse gas emissions, positioning it as a critical sector in the national net-zero strategy. This review investigates the enabling role of the domestic smart metering infrastructure combined with other IoT systems in accelerating [...] Read more.
The built environment contributes approximately 25% of the UK’s total greenhouse gas emissions, positioning it as a critical sector in the national net-zero strategy. This review investigates the enabling role of the domestic smart metering infrastructure combined with other IoT systems in accelerating the decarbonisation of residential buildings. Drawing from experience gained from governmental and commercially funded R&D projects, the article demonstrates how smart metering data can be leveraged to assess building energy performance, underpin cost-effective carbon reduction solutions, and enable energy flexibility services for maintaining grid stability. Unlike controlled laboratory studies, this review article focuses on real-world applications where data from publicly available infrastructure is accessed and utilised, enhancing scalability and policy relevance. The integration of smart meter data with complementary IoT data—such as indoor temperature, weather conditions, and occupancy—substantially improves built environment digital energy analytics. This capability was previously unattainable due to the absence of a nationwide digital energy infrastructure. The insights presented in this work highlight the untapped potential of the UK’s multibillion-pound investment in smart metering, offering a scalable pathway for low-carbon innovation for the built environment, thus supporting the broader transition to a net-zero future. Full article
(This article belongs to the Section B: Energy and Environment)
Show Figures

Figure 1

31 pages, 4560 KB  
Article
Cost-Optimized Energy Management for Urban Multi-Story Residential Buildings with Community Energy Sharing and Flexible EV Charging
by Nishadi Weerasinghe Mudiyanselage, Asma Aziz, Bassam Al-Hanahi and Iftekhar Ahmad
Sustainability 2025, 17(21), 9717; https://doi.org/10.3390/su17219717 - 31 Oct 2025
Viewed by 513
Abstract
Multi-story residential buildings present distinct challenges for demand-side management due to shared infrastructure, diverse occupant behaviors, and complex load profiles. Although demand-side management strategies are well established in industrial sectors, their application in high-density residential communities remains limited. This study proposes a cost-optimized [...] Read more.
Multi-story residential buildings present distinct challenges for demand-side management due to shared infrastructure, diverse occupant behaviors, and complex load profiles. Although demand-side management strategies are well established in industrial sectors, their application in high-density residential communities remains limited. This study proposes a cost-optimized energy management framework for urban multi-story apartment buildings, integrating rooftop solar photovoltaic (PV) generation, shared battery energy storage, and flexible electric vehicle (EV) charging. A Mixed-Integer Linear Programming (MILP) model is developed to simulate 24 h energy operations across nine architecturally identical apartments equipped with the same set of smart appliances but exhibiting varied usage patterns to reflect occupant diversity. A Mixed-Integer Linear Programming (MILP) model is developed to simulate 24 h energy operations across nine architecturally identical apartments equipped with the same set of smart appliances but exhibiting varied usage patterns to reflect occupant diversity. EVs are modeled as flexible common loads under strata ownership, alongside shared facilities such as hot water systems and pool pumps. The optimization framework ensures equitable access to battery storage and prioritizes energy allocation from the most cost-effective source solar, battery, or grid on an hourly basis. Two seasonal scenarios, representing summer (February) and spring (September), are evaluated using location-specific irradiance data from Joondalup, Western Australia. The results demonstrate that flexible EV charging enhances solar utilization, mitigates peak grid demand, and supports fairness in shared energy usage. In the high-solar summer scenario, the total building energy cost was reduced to AUD 29.95/day, while in the spring scenario with lower solar availability, the cost remained moderate at AUD 31.92/day. At the apartment level, energy bills were reduced by approximately 34–38% compared to a grid-only baseline. Additionally, the system achieved solar export revenues of up to AUD 4.19/day. These findings underscore the techno-economic effectiveness of the proposed optimization framework in enabling cost-efficient, low-carbon, and grid-friendly energy management in multi-residential urban settings. Full article
(This article belongs to the Section Green Building)
Show Figures

Figure 1

35 pages, 4288 KB  
Article
Validating Express Rail Optimization with AFC and Backcasting: A Bi-Level Operations–Assignment Model to Improve Speed and Accessibility Along the Gyeongin Corridor
by Cheng-Xi Li and Cheol-Jae Yoon
Appl. Sci. 2025, 15(21), 11652; https://doi.org/10.3390/app152111652 - 31 Oct 2025
Viewed by 813
Abstract
This study develops an integrated bi-level operations–assignment model to optimise express service on the Gyeongin Line, a core corridor connecting Seoul and Incheon. The upper level jointly selects express stops and time-of-day headways under coverage constraints—a minimum share of key stations and a [...] Read more.
This study develops an integrated bi-level operations–assignment model to optimise express service on the Gyeongin Line, a core corridor connecting Seoul and Incheon. The upper level jointly selects express stops and time-of-day headways under coverage constraints—a minimum share of key stations and a maximum inter-stop spacing—while the lower level assigns passengers under user equilibrium using a generalised time function that incorporates in-vehicle time, 0.5× headway wait, walking and transfers, and crowding-sensitive dwell times. Undergrounding and alignment straightening are incorporated into segment run-time functions, enabling the co-design of infrastructure and operations. Using automatic-fare-collection-calibrated origin–destination matrices, seat-occupancy records, and station-area population grids, we evaluate five rail scenarios and one intermodal extension. The results indicate substantial system-wide gains: peak average door-to-door times fall by approximately 44–46% in the AM (07:00–09:00) and 30–38% in the PM (17:30–19:30) for rail-only options, and by up to 55% with the intermodal extension. Kernel density estimation (KDE) and cumulative distribution function (CDF) analyses show a leftward shift and tail compression (median −8.7 min; 90th percentile (P90) −11.2 min; ≤45 min share: 0.0% → 47.2%; ≤60 min: 59.7% → 87.9%). The 45-min isochrone expands by ≈12% (an additional 0.21 million residents), while the 60-min reach newly covers Incheon Jung-gu and Songdo. Backcasting against observed express/local ratios yields deviations near the ±10% band (PM one comparator within and one slightly above), and the Kolmogorov–Smirnov (KS) statistic and Mann–Whitney (MW) test results confirm significant post-implementation shifts. The most cost-effective near-term package combines mixed stopping with modest alignment and capacity upgrades and time-differentiated headways; the intermodal express–transfer scheme offers a feasible long-term upper bound. The methodology is fully transparent through provision of pseudocode, explicit convergence criteria, and all hyperparameter settings. We also report SDG-aligned indicators—traction energy and CO2-equivalent (CO2-eq) per passenger-kilometre, and jobs reachable within 45- and 60-min isochrones—providing indicative yet robust evidence consistent with SDG 9, 11, and 13. Full article
(This article belongs to the Section Transportation and Future Mobility)
Show Figures

Figure 1

Back to TopTop