Sign in to use this feature.

Years

Between: -

Subjects

remove_circle_outline
remove_circle_outline
remove_circle_outline
remove_circle_outline
remove_circle_outline
remove_circle_outline
remove_circle_outline
remove_circle_outline
remove_circle_outline

Journals

remove_circle_outline
remove_circle_outline
remove_circle_outline
remove_circle_outline
remove_circle_outline
remove_circle_outline
remove_circle_outline
remove_circle_outline
remove_circle_outline
remove_circle_outline

Article Types

Countries / Regions

remove_circle_outline
remove_circle_outline
remove_circle_outline
remove_circle_outline
remove_circle_outline
remove_circle_outline

Search Results (586)

Search Parameters:
Keywords = nutrient bioavailability

Order results
Result details
Results per page
Select all
Export citation of selected articles as:
14 pages, 379 KB  
Article
Development of an Analytical Procedure for the Quantification of Artemisinin in Encapsulated Formulations
by Ana Šijanec, Matjaž Grčman, Matevž Pompe and Drago Kočar
Foods 2025, 14(24), 4349; https://doi.org/10.3390/foods14244349 - 17 Dec 2025
Abstract
Encapsulated formulations have emerged as a promising tool for increasing nutrient absorption in the food supplement and cosmetic industries. Although the theoretical amplification factors for improving the bioavailability of encapsulated formulations are very high for poorly soluble active compounds, it has long been [...] Read more.
Encapsulated formulations have emerged as a promising tool for increasing nutrient absorption in the food supplement and cosmetic industries. Although the theoretical amplification factors for improving the bioavailability of encapsulated formulations are very high for poorly soluble active compounds, it has long been known that encapsulation can also enhance the absorption of water-soluble ingredients. These findings have led to the development of new technologies for encapsulating nutrients for use in the food industry. However, accurate quantification of nutrients in encapsulated formulations in the food supplement industry remains a challenge. This study presents the development and validation of novel analytical procedures for determining artemisinin in various food supplement formulations. Three formulations were prepared using different emulsifying procedures for artemisinin encapsulation. High-performance liquid chromatography with UV/Vis detection (HPLC-UV/Vis) was used for analysis. Separation was performed using a Waters ACQUITY Premier BEH C18 column. Specialized sample preparation procedures were designed to efficiently disrupt encapsulation and extract artemisinin for precise quantification. Three different sample preparation procedures were required to accurately determine the artemisinin content in the tested formulations. All methods were validated. The precision, linearity expressed as R2, LOD, and LOQ of the chromatographic method were 0.39%, 0.9995, 18 µg/mL, and 26 µg/mL, respectively. Recoveries of the sample preparation methods were above 94%. The developed procedures enable accurate determination of artemisinin in encapsulated formulations, ensuring product quality and safety. These findings suggest that, for quality control of encapsulated food products, specialized analytical procedures for individual formulations may need to be developed and validated. Full article
Show Figures

Graphical abstract

28 pages, 2127 KB  
Review
Plant Responses to Heavy Metal Stresses: Mechanisms, Defense Strategies, and Nanoparticle-Assisted Remediation
by Aysha Siddika Jarin, Md Arifur Rahman Khan, Tasfiqure Amin Apon, Md Ashraful Islam, Al Rahat, Munny Akter, Touhidur Rahman Anik, Huong Mai Nguyen, Thuong Thi Nguyen, Chien Van Ha and Lam-Son Phan Tran
Plants 2025, 14(24), 3834; https://doi.org/10.3390/plants14243834 - 16 Dec 2025
Abstract
Heavy metal (HM) contamination threatens environmental sustainability, food safety, and agricultural productivity worldwide. HM toxicity adversely affects plant growth, reducing germination rates by 20–50%, impairing seedling establishment, and inhibiting shoot and root development by 30–60% in various crops. HM disrupts key physiological processes, [...] Read more.
Heavy metal (HM) contamination threatens environmental sustainability, food safety, and agricultural productivity worldwide. HM toxicity adversely affects plant growth, reducing germination rates by 20–50%, impairing seedling establishment, and inhibiting shoot and root development by 30–60% in various crops. HM disrupts key physiological processes, including photosynthesis, stomatal regulation, membrane integrity, nutrient uptake, and enzymatic and nonenzymatic antioxidant activities. These disruptions largely result from oxidative stress, caused by the excessive accumulation of reactive oxygen species, which damage cellular components. To counteract HM toxicity, plants deploy a complex defense network involving antioxidant enzymes, metal chelation by phytochelatins and metallothioneins, vacuolar sequestration, and symbiotic interactions with arbuscular mycorrhizal fungi, which can retain 40–70% of metals in roots and reduce translocation to shoots. At the molecular level, MAPK (Mitogen-Activated Protein Kinase) signaling pathways, transcription factors (e.g., WRKY, MYB, bZIP, and NAC), and phytohormonal crosstalk regulate the expression of stress-responsive genes expression to enhance HM stress tolerance. Advances in nanotechnology offer promising strategies for the remediation of HM-contaminated soils and water sources (HM remediation); engineered and biogenic nanoparticles (e.g., ZnO, Fe3O4) improve metal immobilization, reduce bioavailability, and enhance plant growth by 15–35% under HM stresses, although excessive doses may induce phytotoxicity. Future applications of nanotechnology in HM remediation should consider nanoparticle transformation (e.g., dissolution and agglomeration) and environmentally relevant concentrations to ensure efficacy and minimize phytotoxicity. Integrating phytoremediation with nanoparticle-enabled strategies provides a sustainable approach for HM remediation. This review emphasizes the need for a multidisciplinary framework linking plant science, biotechnology, and nanoscience to advance HM remediation and safeguard agricultural productivity. Full article
Show Figures

Figure 1

30 pages, 1566 KB  
Article
Modulating the Bioavailability and Bioaccessibility of Polyphenolic Compounds and Enhancing Health-Promoting Properties Through the Addition of Herbal Extracts to a Functional Beverage
by Hanna Mikołajczak and Paulina Nowicka
Molecules 2025, 30(24), 4796; https://doi.org/10.3390/molecules30244796 - 16 Dec 2025
Abstract
Shots are becoming increasingly popular due to their convenience and concentrated nutrient content. In this study, innovative shots were developed as herbal-enriched formulations designed to improve bioaccessibility, bioavailability, and health-promoting properties. To achieve this, pear–flowering quince juice was enriched with a mixture of [...] Read more.
Shots are becoming increasingly popular due to their convenience and concentrated nutrient content. In this study, innovative shots were developed as herbal-enriched formulations designed to improve bioaccessibility, bioavailability, and health-promoting properties. To achieve this, pear–flowering quince juice was enriched with a mixture of herbal infusions and evaluated for its physicochemical characteristics, including bioactive compounds, as well as its functional and sensory properties. Additionally, the products were subjected to a three-stage in vitro digestion model (oral–gastric–small intestine) to assess bioaccessibility and bioavailability. The results revealed that the shot containing mint and nettle had the highest polyphenolic content (579 mg/100 mL), while the shot enriched with white mulberry and common yarrow had the highest mineral content (28 mg/100 mL). The developed formulations also exhibited strong inhibitory effects on pancreatic lipase and lipoxygenase. It was demonstrated that the addition of selected herbs, particularly those rich in rosmarinic acid, can enhance both bioaccessibility and bioavailability, and that menthol may further potentiate these effects. In conclusion, the study showed that incorporating different types of herbs into pear–flowering quince juice enables the development of novel products with tailored health-promoting and sensory properties, primarily through the synergistic action of the individual ingredients. Full article
(This article belongs to the Special Issue Bioactive Compounds: Applications and Benefits for Human Health)
Show Figures

Figure 1

19 pages, 1543 KB  
Review
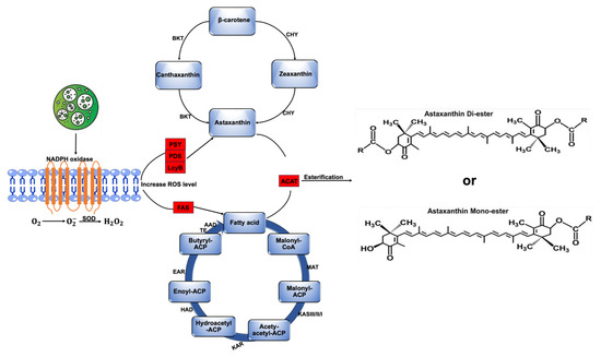
Engineering Microalgae for Enhanced Astaxanthin Production: Integrating Metabolic Pathways and Nano-Biotechnologies
by Zhongliang Sun, Shuonan Cao, Shoukai Guo, Weixian Cheng, Adamu Yunusa Ugya and Liqin Sun
Mar. Drugs 2025, 23(12), 476; https://doi.org/10.3390/md23120476 - 12 Dec 2025
Viewed by 112
Abstract
Astaxanthin is a high-value metabolite with substantial market demand, owing to its potent antioxidant activity and diverse health benefits. Microalgae are considered the primary producers of esterified astaxanthin, yet their industrial-scale cultivation is constrained by low productivity, stress-dependent induction, and challenges in metabolic [...] Read more.
Astaxanthin is a high-value metabolite with substantial market demand, owing to its potent antioxidant activity and diverse health benefits. Microalgae are considered the primary producers of esterified astaxanthin, yet their industrial-scale cultivation is constrained by low productivity, stress-dependent induction, and challenges in metabolic engineering. This review examines strategies to enhance microalgae-derived esterified astaxanthin production through nanoformulation and modulation of metabolic pathways. We highlight that precise, efficient, and multiplexed genetic modifications of the carotenoid biosynthetic pathway can significantly increase astaxanthin accumulation. Downregulation of competing metabolic routes further improves astaxanthin yields. Additionally, targeted engineering of acyltransferases and lipid metabolism regulators enhances astaxanthin esterification, thereby improving its intracellular stability against oxidative degradation. Modifying lipid metabolism also redirects metabolic fluxes toward altered fatty acid saturation in stored lipids, which increases the bioavailability of esterified astaxanthin. The integration of nanoparticles into cultivation systems represents another promising approach, facilitating improved nutrient delivery and light management, and consequently boosting astaxanthin production. However, the application of genetic engineering and nanotechnology faces challenges such as biosafety legislation, regulatory approval processes, and potential ecological impacts. A synergistic combination of both approaches may help overcome these limitations and maximize astaxanthin production from microalgae. Full article
(This article belongs to the Special Issue Applications of Marine Microalgal Biotechnology)
Show Figures

Figure 1

15 pages, 285 KB  
Review
Nutrient Equivalence of Plant-Based and Cultured Meat: Gaps, Bioavailability, and Health Perspectives
by Jean Demarquoy
Nutrients 2025, 17(24), 3860; https://doi.org/10.3390/nu17243860 - 10 Dec 2025
Viewed by 303
Abstract
Meat provides high-quality protein and essential micronutrients such as vitamin B12, heme iron, zinc, and selenium, along with conditionally essential compounds including creatine, carnitine, and taurine. Growing concerns over environmental sustainability, animal welfare, and potential health risks associated with excessive meat consumption have [...] Read more.
Meat provides high-quality protein and essential micronutrients such as vitamin B12, heme iron, zinc, and selenium, along with conditionally essential compounds including creatine, carnitine, and taurine. Growing concerns over environmental sustainability, animal welfare, and potential health risks associated with excessive meat consumption have spurred the development of plant-based and cultured alternatives intended to replicate the nutritional and sensory attributes of meat. This review critically examines the extent to which these emerging products achieve nutrient equivalence with conventional meat, focusing on essential and conditionally essential nutrients, their bioavailability, and implications for human health. After outlining the physiological importance of nutrients characteristically supplied by meat, the review compares the composition of plant-based meat analogs (PBMAs) and cultured meat prototypes. Differences in fortification strategies, ingredient formulation, and the presence of anti-nutritional factors are discussed in relation to nutrient absorption and utilization. Current PBMAs can approximate protein content but generally provide lower levels and reduced bioavailability of vitamin B12, heme iron, creatine, taurine, and long-chain omega-3 fatty acids unless fortified. Cultured meat offers theoretical potential for compositional optimization through cellular engineering but remains limited by scarce empirical data. Achieving nutrient equivalence with conventional meat thus represents a major scientific, technological, and regulatory challenge. Future progress will depend on integrating nutritional design into product development, validating bioavailability in human studies, and implementing transparent labeling to ensure that next-generation meat alternatives meet both health and sustainability goals. Full article
(This article belongs to the Section Nutrition and Metabolism)
4 pages, 201 KB  
Proceeding Paper
Biodiverse Neltuma spp. Pod Flours from the Paraguayan Chaco as Ancestral Sources of Mineral
by Rocio Villalba, Adrian Escobar, Eva Coronel, Silvia Caballero, Patricia Piris and Laura Mereles
Biol. Life Sci. Forum 2025, 50(1), 13; https://doi.org/10.3390/blsf2025050013 - 8 Dec 2025
Viewed by 95
Abstract
One of the main uses of carob pods ‘algarroba’ (Neltuma spp.) is flour for direct human consumption in indigenous and rural populations of the Gran Chaco. The flour contains antioxidant compounds such as anthocyanins, flavonoids and alkaloids, the concentrations of which can [...] Read more.
One of the main uses of carob pods ‘algarroba’ (Neltuma spp.) is flour for direct human consumption in indigenous and rural populations of the Gran Chaco. The flour contains antioxidant compounds such as anthocyanins, flavonoids and alkaloids, the concentrations of which can vary according to environmental and genetic factors of the species. This ancestral food is an excellent nutritional alternative as a gluten-free ingredient with antioxidant potential for various culinary preparations. Minerals have essential functions in the human body, so a balanced diet is key to ensuring adequate intake. The composition of carob beans from the Paraguayan Chaco has been little explored in terms of their mineral nutrient content. The aim of this study was to determine the Fe, Cu, Zn and Mn content of carob meal from different species of Neltuma spp. From the Paraguayan Chaco. The mineral elements were determined by atomic absorption spectrometry using official AOAC (2000) methods. Of the samples analysed, N. ruscifolia carob flour had the highest content of Zn (2.2 ± 0.8 mg/100 g), Mn (1.6 ± 0.1 mg/100 g) and Cu (1.5 ± 0.4 mg/100 g). N. nigra and N. alba flour showed higher Fe contents (4 ± 2 and 3 ± 2 mg/100 g, respectively). Consumption of 100 g of P. ruscifolia and P. nigra meal would cover up to 100% of the Recommended Daily Intake (RDI) for Cu and 55–72% of the RDI for Mn. This implies that carob-based foods from Paraguayan Chaco species could have a protective role against oxidative stress if incorporated as functional foods, as well as representing a natural and bioavailable source of antioxidant minerals, which is especially valuable in diets of vulnerable populations with deficiencies or increased requirements, such as in pregnancy, ageing, or chronic diseases. Full article
34 pages, 1268 KB  
Review
Boron Bioavailability Revisited: From Plasma-Accessible Species to Microbiota-Accessible Complexes—Implications for Nutritional Essentiality
by Andrei Biţă, Ion Romulus Scorei, Marvin A. Soriano-Ursúa, Cătălina Gabriela Pisoschi, Cristina Elena Biţă, Laura Dincă, Simona Ştefănescu, Maria-Victoria Racu, Iurie Pinzaru, Cristina Florescu, Diana-Ruxandra Hădăreanu, Cristian Adrian Siloşi, Johny Neamţu, Dan Ionuţ Gheonea, George Dan Mogoşanu and Marian Valentin Zorilă
Biomolecules 2025, 15(12), 1711; https://doi.org/10.3390/biom15121711 - 8 Dec 2025
Viewed by 390
Abstract
Boron (B) remains one of the least understood trace elements in human nutrition. Traditionally regarded as non-essential, its biological role has been reevaluated in light of emerging microbiome research. We provide a narrative synthesis of mechanistic, preclinical, and clinical studies to assess whether [...] Read more.
Boron (B) remains one of the least understood trace elements in human nutrition. Traditionally regarded as non-essential, its biological role has been reevaluated in light of emerging microbiome research. We provide a narrative synthesis of mechanistic, preclinical, and clinical studies to assess whether the colonic actions of B meet accepted criteria for nutritional essentiality. This review revisits B bioavailability through a dual-pathway framework distinguishing plasma-accessible boron (PAB)—small, fully absorbable species with transient systemic effects—from microbiota-accessible boron complexes (MABCs)—indigestible conjugates that reach the colon intact. Evidence indicates that PAB exerts short-term metabolic modulation, whereas MABCs act as prebiotic cofactors that stabilize microbial quorum sensing (autoinducer-2–borate; AI-2B), reinforce the colonic mucus barrier through borate–diol crosslinking, and support host–microbiota symbiosis. Deficiency or low intake of MABCs leads to dysbiosis, barrier fragility, and low-grade inflammation along gut–organ axes—effects reversible by MABC-rich diets. Analytical and clinical tools are proposed to discriminate between PAB and MABC pathways, including fecal B/speciation, AI-2B assays, and mucus-penetration markers. Recognizing B’s essentiality as a microbiota-dependent nutrient reframes its nutritional assessment, guiding future dietary guidelines and prebiotic design toward the microbiome–mucus interface. Full article
(This article belongs to the Section Chemical Biology)
Show Figures

Graphical abstract

20 pages, 3714 KB  
Review
Nature’s Cardioprotective Sweetness: A Review of Dates as Functional Food in Hypertension
by Edwin Leopold Jim, Edmond Leonard Jim, Achmad Wildan, Antonello Santini and Fahrul Nurkolis
Foods 2025, 14(24), 4208; https://doi.org/10.3390/foods14244208 - 8 Dec 2025
Viewed by 461
Abstract
Dates contain numerous beneficial nutrients and bioactive compounds, including potassium, magnesium, dietary fiber, polyphenols, flavonoids, and essential fatty acids, which contribute to their antihypertensive effects. Mechanistically, these bioactives reduce oxidative stress, lower inflammation, enhance endothelial function through increased nitric oxide bioavailability, and modulate [...] Read more.
Dates contain numerous beneficial nutrients and bioactive compounds, including potassium, magnesium, dietary fiber, polyphenols, flavonoids, and essential fatty acids, which contribute to their antihypertensive effects. Mechanistically, these bioactives reduce oxidative stress, lower inflammation, enhance endothelial function through increased nitric oxide bioavailability, and modulate the renin–angiotensin system. Clinical studies demonstrate that regular, moderate consumption of dates can reduce systolic and diastolic blood pressure, improve lipid profiles, and positively regulate inflammatory and oxidative biomarkers without adverse metabolic or glycemic outcomes. Despite promising findings, variability in date cultivars, ripening stages, and limited standardized human trials necessitate further research. Larger, randomized clinical studies across diverse demographics are recommended to establish optimal dosage, confirm mechanisms of action, and assess long-term safety and effectiveness. This review investigates the potential of dates (Phoenix dactylifera) as a functional food for controlling blood pressure and protecting cardiovascular health in hypertensive individuals. Full article
(This article belongs to the Special Issue Feature Review on Nutraceuticals, Functional Foods, and Novel Foods)
Show Figures

Figure 1

20 pages, 589 KB  
Review
Molecular Mechanisms of Root Exudate-Mediated Remediation in Soils Co-Contaminated with Heavy Metals and Polycyclic Aromatic Hydrocarbons
by Lingyun Sun, Jinling Mo, Zhenjiang Wang, Sen Lin, Dan Wang, Zhiyi Li, Yuan Wang, Jianan Wu, Wuyan Guo, Jiehua Chen, Zhipeng Wu and Lian Chen
Toxics 2025, 13(12), 1044; https://doi.org/10.3390/toxics13121044 - 2 Dec 2025
Viewed by 471
Abstract
Soil co-contamination with heavy metals (HMs) and polycyclic aromatic hydrocarbons (PAHs) represents a widespread and challenging environmental issue that is difficult to address using conventional remediation methods. This review systematically examines the molecular mechanisms by which plant root exudates mediate the remediation of [...] Read more.
Soil co-contamination with heavy metals (HMs) and polycyclic aromatic hydrocarbons (PAHs) represents a widespread and challenging environmental issue that is difficult to address using conventional remediation methods. This review systematically examines the molecular mechanisms by which plant root exudates mediate the remediation of co-contaminated soils through synergistic interactions with rhizosphere microorganisms. We detail how plants dynamically adjust the composition and secretion of root exudates—such as organic acids, amino acids, sugars, and secondary metabolites—in response to combined HM-PAH stress. These exudates play multifaceted roles in remediation, including chelating HMs, enhancing PAH solubility and bioavailability, and acting as chemoattractants and metabolic substrates for rhizosphere microbes. In return, the recruited microbial communities contribute to pollutant detoxification through various mechanisms, such as biosurfactant production, enzymatic degradation, and improved plant nutrient acquisition. This reciprocal interaction forms a synergistic plant-microbe feedback loop that effectively mitigates combined contamination stress. By integrating evidence from diverse plant–soil systems, this review provides a comprehensive mechanistic framework for understanding root exudate-microbe interactions, offering critical insights for developing enhanced phytoremediation strategies to address complex environmental pollution. Full article
(This article belongs to the Special Issue Fate and Transport of Emerging Contaminants in Soil)
Show Figures

Graphical abstract

28 pages, 1438 KB  
Review
Applications of Nanotechnology in Ruminant Animal Production: Advances, Challenges, and Future Prospects
by Ahmed E. Kholif, Anuoluwapo Anele, Mireille Chahine and Uchenna Y. Anele
Nanomaterials 2025, 15(23), 1773; https://doi.org/10.3390/nano15231773 - 26 Nov 2025
Viewed by 591
Abstract
Nanotechnology offers innovative approaches to improve ruminant nutrition by enhancing feed efficiency, nutrient utilization, animal health, and environmental sustainability. This review highlights the use of nano-minerals, nano-encapsulated bioactives, enzyme nano-particles, and nano-sensors to optimize rumen function, digestion, and immunity. Nano-minerals provide high bioavailability [...] Read more.
Nanotechnology offers innovative approaches to improve ruminant nutrition by enhancing feed efficiency, nutrient utilization, animal health, and environmental sustainability. This review highlights the use of nano-minerals, nano-encapsulated bioactives, enzyme nano-particles, and nano-sensors to optimize rumen function, digestion, and immunity. Nano-minerals provide high bioavailability at lower doses and may replace antibiotics. Encapsulated compounds like essential oils, probiotics, and vitamins improve rumen fermentation and product quality. Nanotechnology allows precise nutrient delivery through encapsulation, chelation, and nano-packaging without affecting feed sensory properties. Nano-particles are classified as inorganic, organic, or complex nano-structures and are synthesized using physical, chemical, or biological methods. While promising, nanotechnology adoption must address concerns related to safety, environmental impact, and cost. Robust risk assessments and regulatory frameworks are essential. Overall, nanotechnology represents a powerful tool for advancing sustainable and profitable ruminants, and continued multidisciplinary research is needed to fully realize its benefits and ensure its responsible application in animal agriculture. Full article
(This article belongs to the Section Biology and Medicines)
Show Figures

Figure 1

14 pages, 1029 KB  
Review
IP6: From Seeds to Science—A Natural Compound’s Path to Clinical Promise
by Alissa Saverino, AbulKalam M. Shamsuddin and Ivana Vucenik
Biomolecules 2025, 15(12), 1652; https://doi.org/10.3390/biom15121652 - 26 Nov 2025
Viewed by 969
Abstract
Inositol hexaphosphate (IP6), also known as phytic acid, has historically been classified as an antinutrient due to its mineral-chelating properties, which were believed to impair nutrient absorption. Early reports fueled concerns that high dietary phytate intake could contribute to mineral deficiencies, albeit without [...] Read more.
Inositol hexaphosphate (IP6), also known as phytic acid, has historically been classified as an antinutrient due to its mineral-chelating properties, which were believed to impair nutrient absorption. Early reports fueled concerns that high dietary phytate intake could contribute to mineral deficiencies, albeit without direct scientific evidence, particularly in populations lacking dietary diversity. However, lifetime animal experiments have demonstrated that IP6 does not have any negative effect on mineral bioavailability and if there is any in humans, it is largely context-dependent. Even more importantly, beyond nutritional implications, IP6 has emerged as a bioactive molecule with promising therapeutic potential across various cancer types and clinical conditions. Preclinical and clinical research indicate that IP6, alone or in tandem with inositol (Ins), selectively targets cancer cells and enhances chemotherapy efficacy. Growing evidence also suggests that IP6 plays a protective role in cardiovascular health, neurodegenerative disorders, and metabolic diseases. While clinical trials remain limited, extensive in vitro, in vivo, and epidemiological studies support a shift in how IP6 is perceived among the scientific community—moving from an antinutrient to a health-promoting compound. As research progresses, further clinical investigations are essential to fully elucidate IP6’s therapeutic applications and its benefit to disease prevention. Full article
(This article belongs to the Special Issue Inositol Phosphates in Health and Disease, 2nd Edition)
Show Figures

Figure 1

24 pages, 1112 KB  
Review
The Vicious Circle of Metabolic Dysfunction-Associated Steatotic Liver Disease When Micronutrient Deficiency Drives Microbial Imbalance and Liver Injury
by Iulia Cristina Marginean, Sergiu Marian Cazacu, Mihaela Popescu, George Alexandru Iacob, Larisa Daniela Sandulescu, Sevastita Iordache, Cristina Maria Marginean and Cristin Constantin Vere
Life 2025, 15(11), 1764; https://doi.org/10.3390/life15111764 - 18 Nov 2025
Viewed by 490
Abstract
Metabolic dysfunction-associated steatotic liver disease (MASLD) is an escalating global health burden and a leading cause of chronic liver disease. Without intervention, MASLD can progress to steatohepatitis, fibrosis, cirrhosis, and hepatocellular carcinoma. Although lifestyle modification is the cornerstone of management, specific dietary patterns [...] Read more.
Metabolic dysfunction-associated steatotic liver disease (MASLD) is an escalating global health burden and a leading cause of chronic liver disease. Without intervention, MASLD can progress to steatohepatitis, fibrosis, cirrhosis, and hepatocellular carcinoma. Although lifestyle modification is the cornerstone of management, specific dietary patterns are a primary driver of its development. The progression of MASLD is closely linked to micronutrient status, as these nutrients are critical for key biological functions such as antioxidant defense and immune regulation. Micronutrient deficiencies—particularly in essential vitamins and minerals—have been widely studied as independent contributors to MASLD pathogenesis. Similarly, the role of the gut microbiota in disease development has gained attention. However, the interplay between micronutrient deficiencies and gut dysbiosis is often underestimated. Emerging evidence suggests that micronutrient depletion not only directly exacerbates MASLD but also alters gut microbial composition, perpetuating a cycle of metabolic and hepatic dysfunction. This review aims to highlight the bidirectional relationship between micronutrient deficiency and gut microbiome imbalance in MASLD. It explores how dysbiosis impairs the bioavailability of micronutrients, thereby reinforcing a vicious cycle of disease progression. Therefore, effective MASLD management should address both nutritional deficiencies and microbial imbalances. Interventions such as prebiotic and probiotic supplementation may help restore microbial equilibrium and improve micronutrient absorption. Looking forward, personalized therapeutic strategies that combine targeted microbiota modulation with micronutrient repletion may offer promising approaches to curb the rising global burden of MASLD. Full article
(This article belongs to the Section Medical Research)
Show Figures

Figure 1

21 pages, 765 KB  
Review
Artificial Intelligence-Enabled Ingredient Substitution in Food Systems: A Review and Conceptual Framework for Sensory, Functional, Nutritional, and Cultural Optimization
by Emel Oz and Fatih Oz
Foods 2025, 14(22), 3919; https://doi.org/10.3390/foods14223919 - 17 Nov 2025
Viewed by 1001
Abstract
Ingredient substitution has become a multidimensional challenge in modern food systems, where sensory authenticity, functional performance, nutritional equivalence, and cultural or regulatory compliance must be satisfied simultaneously. This review examines how artificial intelligence (AI) can contribute to this problem by synthesizing current advances [...] Read more.
Ingredient substitution has become a multidimensional challenge in modern food systems, where sensory authenticity, functional performance, nutritional equivalence, and cultural or regulatory compliance must be satisfied simultaneously. This review examines how artificial intelligence (AI) can contribute to this problem by synthesizing current advances across four scientific domains relevant to substitution: flavor perception, matrix functionality, nutrient bioavailability, and socio-regulatory constraints. The review follows a narrative, domain-focused approach rather than a systematic or quantitative protocol, with literature selected from Scopus, Web of Science, and Google Scholar to capture both foundational food science studies and emerging AI applications. A modular framework for AI-enabled ingredient substitution is proposed and structured around four domains: (1) flavor and aroma modeling, (2) functional property prediction, (3) nutritional profiling, and (4) constraint-based filtering. The framework brings together a range of AI techniques—including machine learning, graph neural networks, natural language processing, and multi-objective optimization—and connects them to domain-specific datasets such as volatile compound libraries, rheological measurements, dietary reference databases, and regulatory ontologies. The review identifies three major gaps limiting real-world deployment: the lack of multimodal datasets linking composition, perception, and processing; limited explainability of current AI models; and weak integration between computational outputs and regulatory or industrial workflows. Addressing these barriers will be essential for developing transparent, scalable, and context-aware substitution systems that align with future directions in sustainable and personalized food innovation. Full article
(This article belongs to the Special Issue Sensory and Consumer Science in the Green Transition)
Show Figures

Figure 1

29 pages, 4532 KB  
Review
Advances in pH-Responsive Release Technologies in Food System: Mechanisms, Strategies, Application Forms and Future Directions
by Lidan Zhang, Junjun Zhang, Jianing Zhang, Xiaowei Huang and Jiyong Shi
Foods 2025, 14(22), 3896; https://doi.org/10.3390/foods14223896 - 14 Nov 2025
Viewed by 1183
Abstract
pH-responsive technology enables precise control over the release of functional molecules, thereby maximizing their bioavailability. As the first comprehensive assessment of pH-responsive systems within food science, this review systematically examines the mechanism of pH-triggered release, which covers the protonation and deprotonation of functional [...] Read more.
pH-responsive technology enables precise control over the release of functional molecules, thereby maximizing their bioavailability. As the first comprehensive assessment of pH-responsive systems within food science, this review systematically examines the mechanism of pH-triggered release, which covers the protonation and deprotonation of functional groups and the breaking of dynamic covalent bonds (such as imines, disulfides, and metal coordination bonds). The design strategies, responsiveness, and application potential of key carrier materials are evaluated. In addition, the applications of pH-responsive release technologies in nutrient delivery, flavor encapsulation, and food preservation are highlighted, demonstrating enhanced bioavailability, extended shelf life, and improved sensory quality. Despite promising advancements achieved so far, significant challenges remain in ensuring material stability, and meeting safety and regulatory requirements. Future research directions are proposed, including the development of food-grade, eco-friendly, and stable carrier materials, the leveraging of AI-driven optimization for integrated systems, integrating multi-stimuli responsiveness, and establishing robust safety profiles to facilitate regulatory approval, collectively establishing a solid foundation for next-generation sustainable and intelligent food packaging and delivery systems. Full article
(This article belongs to the Section Food Packaging and Preservation)
Show Figures

Graphical abstract

32 pages, 622 KB  
Review
The Role of Diet in Women of Childbearing Age: Current Evidence Supporting Nutritional Recommendations
by Andrea Maugeri, Martina Barchitta, Giuliana Favara, Roberta Magnano San Lio, Claudia Ojeda-Granados, Elena Alonzo, Daniele Bellavia, Marialaura Bonaccio, Annalisa Di Nucci, Chiara Donfrancesco, Simona Esposito, Paolo Gandullia, Gianluca Giavaresi, Monica Giroli, Brunella Grigolo, Francesco Grassi, Francesco Leonardi, Elisa Proietti, Laura Sciacca, Licia Iacoviello and Antonella Agodiadd Show full author list remove Hide full author list
Nutrients 2025, 17(22), 3505; https://doi.org/10.3390/nu17223505 - 9 Nov 2025
Viewed by 1566
Abstract
Background/Objectives: Nutrition during the reproductive years shapes women’s immediate health, fertility, pregnancy outcomes, and long-term offspring well-being. This position paper narratively synthesizes and critically appraises evidence on how dietary patterns, macro-/micronutrients, and supplementation influence women’s health, female fertility, and reproductive outcomes, to inform [...] Read more.
Background/Objectives: Nutrition during the reproductive years shapes women’s immediate health, fertility, pregnancy outcomes, and long-term offspring well-being. This position paper narratively synthesizes and critically appraises evidence on how dietary patterns, macro-/micronutrients, and supplementation influence women’s health, female fertility, and reproductive outcomes, to inform practical recommendations. Methods: We narratively reviewed recent reviews, cohort studies, clinical trials, and public-health guidance on macronutrients, key micronutrients, dietary patterns (with emphasis on the Mediterranean diet), ultra-processed food (UPF) intake, and targeted supplementation relevant to menstrual, metabolic, cardiovascular, skeletal, and reproductive outcomes. Results: Balanced, diverse diets rich in whole and minimally processed foods support hormonal regulation, ovulatory function, healthy gestation, and chronic-disease risk reduction. Priority nutrients include iron, folate, calcium, vitamin D, zinc, vitamin B12, and long-chain omega-3s (DHA), with supplementation considered when dietary intake or bioavailability is inadequate. Evidence consistently links Mediterranean-style eating to improved metabolic health, insulin sensitivity, IVF success, lower gestational diabetes risk, and favorable neonatal outcomes. High UPF consumption is associated with poorer diet quality, inflammation, adverse pregnancy outcomes, and potential reproductive impairment, warranting a reduction in favor of nutrient-dense foods. Diet also influences cardiovascular and bone health through effects on lipids, glycemia, blood pressure, and mineral/vitamin status, with fiber-rich carbohydrates, unsaturated fats (notably olive oil), and adequate calcium–vitamin D emerging as central levers. Conclusions: For women of childbearing age, a Mediterranean-aligned, minimally processed dietary pattern—tailored to individual needs and complemented by prudent use of folate, iron, vitamin D, calcium, B12, and DHA when indicated—offers robust benefits across reproductive, metabolic, cardiovascular, and skeletal domains. Public-health actions should improve access to healthy foods, curb UPF marketing, and embed personalized nutrition counseling in routine care; further longitudinal research from preconception through postpartum is needed. Full article
(This article belongs to the Section Nutrition in Women)
Show Figures

Figure 1

Back to TopTop