Sign in to use this feature.

Years

Between: -

Subjects

remove_circle_outline
remove_circle_outline
remove_circle_outline
remove_circle_outline
remove_circle_outline
remove_circle_outline
remove_circle_outline
remove_circle_outline

Journals

Article Types

Countries / Regions

Search Results (134)

Search Parameters:
Keywords = non-singular fast terminal control

Order results
Result details
Results per page
Select all
Export citation of selected articles as:
18 pages, 1683 KB  
Article
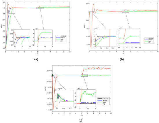
Global Fast Terminal Sliding Mode Control for Trajectory Tracking Control of Quadrotor UAVs
by Runze Gao, Shaobo Wu and Hongguang Li
Sensors 2025, 25(24), 7480; https://doi.org/10.3390/s25247480 - 9 Dec 2025
Viewed by 238
Abstract
A fast and stable flight control system is crucial for improving the efficiency of unmanned aerial vehicle (UAV) missions. Focusing on the trajectory tracking control of quadrotor UAVs, this paper proposes a trajectory tracking control method based on the global fast terminal sliding [...] Read more.
A fast and stable flight control system is crucial for improving the efficiency of unmanned aerial vehicle (UAV) missions. Focusing on the trajectory tracking control of quadrotor UAVs, this paper proposes a trajectory tracking control method based on the global fast terminal sliding mode control (GFTSMC) algorithm to address the slow response speed and insufficient anti-disturbance capability inherent in the widely used Proportional–Integral–Derivative (PID) control algorithm and conventional sliding mode control (SMC) algorithm. Firstly, considering the gyroscopic moment of a quadrotor UAV’s rotors, an accurate kinematic and dynamic model of a quadrotor UAV is established, and the trajectory tracking problem faced by such UAVs is decoupled into the command tracking problems of the position loop and the attitude loop. Secondly, GFTSMC controllers are designed for these loops, and the Lyapunov principle is adopted to prove the stability of the designed controllers. Finally, simulation verification is carried out. The simulation results show that, compared to PID control, GFTSMC-based trajectory tracking control for quadrotor UAVs exhibits the characteristics of no overshoot, higher tracking accuracy, and stronger anti-disturbance capability. Compared to nonsingular terminal sliding mode control (NTSMC) and SMC, GFTSMC-based trajectory tracking control reduces the steady-state convergence time by 33.8% and 36.5% and the steady-state disturbance error by 83.1% and 97.3%, respectively, demonstrating faster response speed and stronger anti-disturbance capability. Therefore, the application of GFTSMC significantly improves the trajectory tracking control performance of quadrotor UAVs, thereby supporting them in performing operations in scenarios requiring high real-time performance, precision, and anti-disturbance capability. Full article
Show Figures

Figure 1

17 pages, 4731 KB  
Article
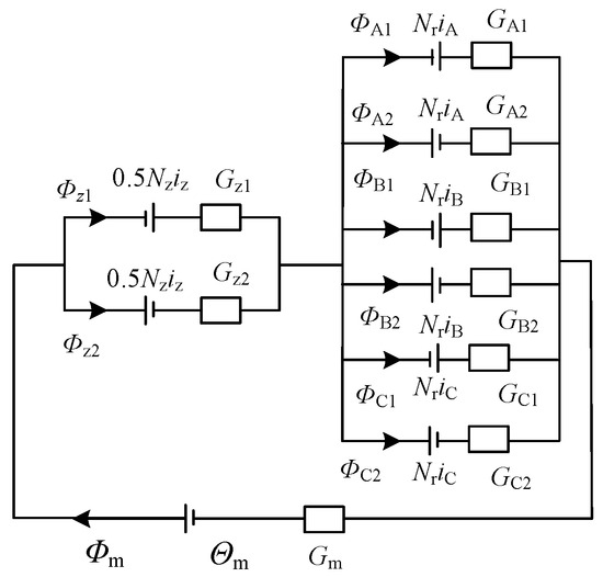
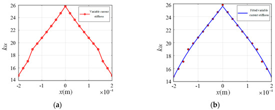
The Adaptive Nonsingular Terminal Sliding Mode Control of Six-Pole Radial–Axial Hybrid Magnetic Bearing Considering Varying Current Stiffness
by Jintao Ju, Xin Li, Jian Huang, Rui Yan and Rui Zhou
Electronics 2025, 14(24), 4807; https://doi.org/10.3390/electronics14244807 - 6 Dec 2025
Viewed by 150
Abstract
Most control strategies for magnetic bearings are typically formulated upon the linearized suspension force model, and the nonlinear characteristics are neglected or regarded as the disturbance and variation in parameters of the control system. The controllers based on linearized suspension force model struggle [...] Read more.
Most control strategies for magnetic bearings are typically formulated upon the linearized suspension force model, and the nonlinear characteristics are neglected or regarded as the disturbance and variation in parameters of the control system. The controllers based on linearized suspension force model struggle to achieve fast response under disturbance. Therefore, a nonlinear mathematic model that simultaneously represents the main nonlinearity of suspension force and facilitates the design of high-performance controller is necessary to establish. In this study, a new mathematical model of suspension force with varying current stiffness is developed, and a specific controller was designed based on this model. Firstly, the nonlinear mathematical model of six-pole radial–axial hybrid magnetic bearing (RAHMB) is established. Secondly, the characteristics of the current stiffness varying with rotor displacement are analyzed and the expression between current stiffness and rotor displacement is fitted. Then, the linearized model is built via Taylor expansion of the nonlinear model. Subsequently, the varying current stiffness model is constructed by substituting the fitted expression of varying current stiffness into linearized model. Finally, an adaptive nonsingular terminal sliding mode controller (ANTSMC) is designed based on the proposed varying current stiffness model. The simulation and experiment results have shown that the ANTSMC based on varying current stiffness model reduces chattering more than 64% and reduces convergence time more than 70% to the NTSMC based on the linearized model. Full article
Show Figures

Figure 1

15 pages, 3491 KB  
Article
Gearless Coal Mill Anti-Disturbance Sliding Mode Control Based on Improved Deadbeat Predictive Current Control
by Qiming Wang, Mingduo Zhang and Changhong Jiang
Actuators 2025, 14(11), 554; https://doi.org/10.3390/act14110554 - 11 Nov 2025
Viewed by 253
Abstract
This paper presents a composite control strategy for gearless coal mill to improve the disturbance immunity under low-speed variable operating conditions. First, the gearless coal mill encounters power supply voltage fluctuations, mechanical failures, or ambient temperature changes during operation. These situations can cause [...] Read more.
This paper presents a composite control strategy for gearless coal mill to improve the disturbance immunity under low-speed variable operating conditions. First, the gearless coal mill encounters power supply voltage fluctuations, mechanical failures, or ambient temperature changes during operation. These situations can cause the system to suffer from the problem of insufficient control accuracy of the rotational speed. Therefore, a non-singular fast terminal sliding mode control strategy is proposed to improve the speed response. Then, to address the problem of load perturbation caused by different coal quality, this paper designs the extended state observer. Feed-forward compensation of the perturbation is performed to improve the robustness. Finally, due to the parameter mismatch problem caused by heat in operations that take a long time, this paper proposes a sliding-mode-based deadbeat predictive current control. The strategy possesses the fast dynamic response of deadbeat predictive current control while retaining the strong robustness of sliding mode control. Lyapunov proved the stability of the proposed control strategy. The experimental results verified that the proposed control strategy had better control performance. Full article
Show Figures

Figure 1

21 pages, 4287 KB  
Article
Performance Enhancement and Control Strategy for Dual-Stator Bearingless Switched Reluctance Motors in Magnetically Levitated Artificial Hearts
by Chuanyu Sun, Tao Liu, Chunmei Wang, Qilong Gao, Xingling Xiao and Ning Han
Electronics 2025, 14(19), 3782; https://doi.org/10.3390/electronics14193782 - 24 Sep 2025
Viewed by 382
Abstract
Magnetically levitated artificial hearts impose stringent requirements on the blood-pump motor: zero friction, minimal heat generation and full biocompatibility. Traditional mechanical-bearing motors and permanent-magnet bearingless motors fail to satisfy all of these demands simultaneously. A bearingless switched reluctance motor (BSRM), whose rotor contains [...] Read more.
Magnetically levitated artificial hearts impose stringent requirements on the blood-pump motor: zero friction, minimal heat generation and full biocompatibility. Traditional mechanical-bearing motors and permanent-magnet bearingless motors fail to satisfy all of these demands simultaneously. A bearingless switched reluctance motor (BSRM), whose rotor contains no permanent magnets, offers a simple structure, high thermal tolerance, and inherent fault-tolerance, making it an ideal drive for implantable circulatory support. This paper proposes an 18/15/6-pole dual-stator BSRM (DSBSRM) that spatially separates the torque and levitation flux paths, enabling independent, high-precision control of both functions. To suppress torque ripple induced by pulsatile blood flow, a variable-overlap TSF-PWM-DITC strategy is developed that optimizes commutation angles online. In addition, a grey-wolf-optimized fast non-singular terminal sliding-mode controller (NRLTSMC) is introduced to shorten rotor displacement–error convergence time and to enhance suspension robustness against hydraulic disturbances. Co-simulation results under typical artificial heart operating conditions show noticeable reductions in torque ripple and speed fluctuation, as well as smaller rotor radial positioning error, validating the proposed motor and control scheme as a high-performance, biocompatible, and reliable drive solution for next-generation magnetically levitated artificial hearts. Full article
Show Figures

Figure 1

30 pages, 4858 KB  
Article
A Hierarchical Slip-Compensated Control Strategy for Trajectory Tracking of Wheeled ROVs on Complex Deep-Sea Terrains
by Dewei Li, Zizhong Zheng, Yuqi Wang, Zhongjun Ding, Yifan Yang and Lei Yang
J. Mar. Sci. Eng. 2025, 13(9), 1826; https://doi.org/10.3390/jmse13091826 - 20 Sep 2025
Viewed by 491
Abstract
With the rapid development of deep-sea resource exploration and marine scientific research, wheeled remotely operated vehicles (ROVs) have become crucial for seabed operations. However, under complex seabed conditions, traditional ROV control systems suffer from insufficient trajectory tracking accuracy, poor disturbance rejection capability, and [...] Read more.
With the rapid development of deep-sea resource exploration and marine scientific research, wheeled remotely operated vehicles (ROVs) have become crucial for seabed operations. However, under complex seabed conditions, traditional ROV control systems suffer from insufficient trajectory tracking accuracy, poor disturbance rejection capability, and low dynamic torque distribution efficiency. These issues lead to poor motion stability and high energy consumption on sloped terrains and soft substrates, which limits the effectiveness of deep-sea engineering. To address this, we proposed a comprehensive motion control solution for deep-sea wheeled ROVs. To improve modeling accuracy, a coupled kinematic and dynamic model was developed, together with a body-to-terrain coordinate frame transformation. Based on rigid-body kinematics, three-degree-of-freedom kinematic equations incorporating the slip ratio and sideslip angle were derived. By integrating hydrodynamic effects, seabed reaction forces, the Janosi soil model, and the impact of subsidence depth, a dynamic model that reflects nonlinear wheel–seabed interactions was established. For optimizing disturbance rejection and trajectory tracking, a hierarchical control method was designed. At the kinematic level, an improved model predictive control framework with terminal constraints and quadratic programming was adopted. At the dynamic level, non-singular fast terminal sliding mode control combined with a fixed-time nonlinear observer enabled rapid disturbance estimation. Additionally, a dynamic torque distribution algorithm enhanced traction performance and trajectory tracking accuracy. Full article
(This article belongs to the Section Ocean Engineering)
Show Figures

Figure 1

14 pages, 1603 KB  
Article
Adaptive Fault-Tolerant Sliding Mode Control Design for Robotic Manipulators with Uncertainties and Actuator Failures
by Yujuan Wang and Mingyu Wang
Symmetry 2025, 17(9), 1547; https://doi.org/10.3390/sym17091547 - 16 Sep 2025
Viewed by 620
Abstract
This research proposes a novel adaptive robust fault-tolerant controller for symmetrical robotic manipulators subject to model uncertainties and actuator failures. The key innovation lies in the design of a new sliding manifold that effectively integrates the advantages of a hyperbolic tangent function-based practical [...] Read more.
This research proposes a novel adaptive robust fault-tolerant controller for symmetrical robotic manipulators subject to model uncertainties and actuator failures. The key innovation lies in the design of a new sliding manifold that effectively integrates the advantages of a hyperbolic tangent function-based practical sliding manifold and a fast terminal sliding manifold. This structure not only eliminates the reaching phase and accelerates error convergence but also significantly enhances system robustness while mitigating chattering. Moreover, the proposed manifold ensures the global non-singularity of the equivalent control law, thereby improving overall stability. Another major contribution is an adjustable adaptive strategy that dynamically estimates the unknown bounds of fault information and external disturbances, reducing the reliance on prior knowledge. The stability and convergence of the robotic system under the proposed scheme are theoretically analyzed and guaranteed. Finally, simulation experiments demonstrate the superior performance of the proposed scheme. Full article
(This article belongs to the Section Engineering and Materials)
Show Figures

Figure 1

20 pages, 6244 KB  
Article
Decentralized Compliance Control for Multi-Axle Heavy Vehicles Equipped with Electro-Hydraulic Actuator Suspension Systems
by Mengke Yang, Chunbo Xu and Min Yan
Sensors 2025, 25(17), 5456; https://doi.org/10.3390/s25175456 - 3 Sep 2025
Viewed by 650
Abstract
This article introduces a novel decentralized compliance control technique designed to manage the behavior of multi-axle heavy vehicles equipped with electro-hydraulic actuator suspension systems on uneven terrains. To address the challenges of controller design complexity and network communication burden in large-scale active suspension [...] Read more.
This article introduces a novel decentralized compliance control technique designed to manage the behavior of multi-axle heavy vehicles equipped with electro-hydraulic actuator suspension systems on uneven terrains. To address the challenges of controller design complexity and network communication burden in large-scale active suspension systems for multi-axle heavy vehicles, the decentralized scheme proposed in this paper decomposes the overall vehicle control problem into decentralized compliance control tasks for multiple electro-hydraulic actuator suspension subsystems (MEHASS), each responding to road disturbances. The position-based compliance control strategy consists of an outer-loop generalized impedance controller (GIC) and an inner-loop position controller. The GIC, which offers explicit force-tracking performance, is employed to define the dynamic interaction between each wheel and the uneven road surface, thereby generating the vertical trajectory for the MEHASS. This design effectively reduces vertical vibration transmission to the vehicle chassis, improving ride comfort. To handle external disturbances and enhance control accuracy, the position control employs a nonsingular fast integral terminal sliding mode controller. Furthermore, a three-axle heavy vehicle prototype with electro-hydraulic actuator suspension is developed for on-road driving experiments. The effectiveness of the proposed control method in enhancing ride comfort is demonstrated through comparative experiments. Full article
(This article belongs to the Topic Vehicle Dynamics and Control, 2nd Edition)
Show Figures

Figure 1

16 pages, 13697 KB  
Article
Trajectory Tracking Closed-Loop Cooperative Control of Manipulator Neural Network and Terminal Sliding Model
by Deqing Liu, Zhonggang Xiong, Zhong Liu, Mengyi Li, Shunjie Zhou, Jiabao Li, Xintao Liu and Xingyu Zhou
Symmetry 2025, 17(8), 1319; https://doi.org/10.3390/sym17081319 - 14 Aug 2025
Cited by 1 | Viewed by 623
Abstract
To address the issue of low trajectory tracking accuracy in six-degree-of-freedom robotic arms, this study proposes a trajectory tracking control strategy that integrates a Radial Basis Function Neural Network (RBFNN) with non-singular fast terminal sliding mode (NFTSM) control. (1) The Lagrangian method is [...] Read more.
To address the issue of low trajectory tracking accuracy in six-degree-of-freedom robotic arms, this study proposes a trajectory tracking control strategy that integrates a Radial Basis Function Neural Network (RBFNN) with non-singular fast terminal sliding mode (NFTSM) control. (1) The Lagrangian method is utilized to develop the dynamic model of the robotic arm. At the same time, a non-singular fast terminal sliding surface is designed to accelerate trajectory convergence and resolve the singularity problem commonly associated with traditional sliding mode control by integrating nonlinear and fast terminal terms. (2) The RBF neural network is employed to globally approximate and compensate for uncertainties in the model and variations in the parameters of the robotic arm. (3) To confirm the overall stability of the control system with the proposed NFTSM control strategy, the Lyapunov stability theory is applied to formulate a Lyapunov function. (4) The six-degree-of-freedom robotic manipulator is simulated in the MATLAB/Simulink environment to assess the effectiveness of the proposed control method. In addition, experimental validation is carried out on a real robotic manipulator to verify the effectiveness of the proposed method. The simulation and experimental results show that, compared with NFTSM and RBFNN-SMC, the proposed control strategy significantly enhances the trajectory tracking accuracy of the six-degree-of-freedom robotic manipulator, thereby offering an effective and practical solution for its trajectory tracking control. Full article
(This article belongs to the Section Computer)
Show Figures

Figure 1

18 pages, 1643 KB  
Article
Precise Tracking Control of Unmanned Surface Vehicles for Maritime Sports Course Teaching Assistance
by Wanting Tan, Lei Liu and Jiabao Zhou
J. Mar. Sci. Eng. 2025, 13(8), 1482; https://doi.org/10.3390/jmse13081482 - 31 Jul 2025
Viewed by 570
Abstract
With the rapid advancement of maritime sports, the integration of auxiliary unmanned surface vehicles (USVs) has emerged as a promising solution to enhance the efficiency and safety of maritime education, particularly in tasks such as buoy deployment and escort operations. This paper presents [...] Read more.
With the rapid advancement of maritime sports, the integration of auxiliary unmanned surface vehicles (USVs) has emerged as a promising solution to enhance the efficiency and safety of maritime education, particularly in tasks such as buoy deployment and escort operations. This paper presents a novel high-precision trajectory tracking control algorithm designed to ensure stable navigation of the USVs along predefined competition boundaries, thereby facilitating the reliable execution of buoy placement and escort missions. First, the paper proposes an improved adaptive fractional-order nonsingular fast terminal sliding mode control (AFONFTSMC) algorithm to achieve precise trajectory tracking of the reference path. To address the challenges posed by unknown environmental disturbances and unmodeled dynamics in marine environments, a nonlinear lumped disturbance observer (NLDO) with exponential convergence properties is proposed, ensuring robust and continuous navigation performance. Additionally, an artificial potential field (APF) method is integrated to dynamically mitigate collision risks from both static and dynamic obstacles during trajectory tracking. The efficacy and practical applicability of the proposed control framework are rigorously validated through comprehensive numerical simulations. Experimental results demonstrate that the developed algorithm achieves superior trajectory tracking accuracy under complex sea conditions, thereby offering a reliable and efficient solution for maritime sports education and related applications. Full article
(This article belongs to the Section Ocean Engineering)
Show Figures

Figure 1

18 pages, 9954 KB  
Article
Adaptive Continuous Non-Singular Terminal Sliding Mode Control for High-Pressure Common Rail Systems: Design and Experimental Validation
by Jie Zhang, Yinhui Yu, Sumin Wu, Wenjiang Zhu and Wenqian Liu
Processes 2025, 13(8), 2410; https://doi.org/10.3390/pr13082410 - 29 Jul 2025
Viewed by 635
Abstract
The High-Pressure Common Rail System (HPCRS) is designed based on fundamental hydrodynamic principles, after which this paper formally defines the key control challenges. The proposed continuous sliding mode control strategy is developed based on a non-singular terminal sliding mode framework, integrated with an [...] Read more.
The High-Pressure Common Rail System (HPCRS) is designed based on fundamental hydrodynamic principles, after which this paper formally defines the key control challenges. The proposed continuous sliding mode control strategy is developed based on a non-singular terminal sliding mode framework, integrated with an improved power reaching law. This design effectively eliminates chattering and achieves fast dynamic response with enhanced tracking precision. Subsequently, a bidirectional adaptive mechanism is integrated into the proposed control scheme to eliminate the necessity for a priori knowledge of unknown disturbances within the HPCRS. This mechanism enables real-time evaluation of the system’s state relative to a predefined detection region. To validate the effectiveness of the proposed strategy, experimental studies are conducted under three distinct operating conditions. The experimental results indicate that, compared with conventional rail pressure controllers, the proposed method achieves superior tracking accuracy, faster dynamic response, and improved disturbance rejection. Full article
(This article belongs to the Special Issue Design and Analysis of Adaptive Identification and Control)
Show Figures

Figure 1

12 pages, 3174 KB  
Article
Modeling and Control for an Aerial Work Quadrotor with a Robotic Arm
by Wenwu Zhu, Fanzeng Wu, Haibo Du, Lei Li and Yao Zhang
Actuators 2025, 14(7), 357; https://doi.org/10.3390/act14070357 - 21 Jul 2025
Viewed by 1230
Abstract
This paper focuses on the integrated modeling and disturbance rejection of the aerial work quadrotor with a robotic arm. First, to address the issues of model incompleteness and parameter uncertainty commonly encountered in traditional Newton–Euler-based modeling approaches for such a system, the Lagrangian [...] Read more.
This paper focuses on the integrated modeling and disturbance rejection of the aerial work quadrotor with a robotic arm. First, to address the issues of model incompleteness and parameter uncertainty commonly encountered in traditional Newton–Euler-based modeling approaches for such a system, the Lagrangian energy conservation principle is adopted. By treating the quadrotor and robotic arm as a unified system, an integrated dynamic model is developed, which accurately captures the coupled dynamics between the aerial platform and the manipulator. The innovative approach fills the gap in existing research where model expressions are incomplete and parameters are ambiguous. Next, to reduce the adverse effects of the robotic arm’s motion on the entire system stability, a finite-time disturbance observer and a fast non-singular terminal sliding mode controller (FNTSMC) are designed. Lyapunov theory is used to prove the finite-time stability of the closed-loop system. It breaks through the limitations of the traditional Lipschitz framework and, for the first time at both the theoretical and methodological levels, achieves finite-time convergence control for the aerial work quadrotor with a robotic arm system. Finally, comparative simulations with the integral sliding mode controller (ISMC), sliding mode controller (SMC), and PID controller demonstrate that the proposed algorithm reduces the regulation time by more than 45% compared to ISMC and SMC, and decreases the overshoot by at least 68% compared to the PID controller, which improves the convergence performance and disturbance rejection capability of the closed-loop system. Full article
(This article belongs to the Special Issue Advanced Learning and Intelligent Control Algorithms for Robots)
Show Figures

Figure 1

24 pages, 2674 KB  
Article
Gaussian Process Regression-Based Fixed-Time Trajectory Tracking Control for Uncertain Euler–Lagrange Systems
by Tong Li, Tianqi Chen and Liang Sun
Actuators 2025, 14(7), 349; https://doi.org/10.3390/act14070349 - 16 Jul 2025
Viewed by 669
Abstract
The fixed-time trajectory tracking control problem of the uncertain nonlinear Euler–Lagrange system is studied. To ensure the fast, high-precision trajectory tracking performance of this system, a non-singular terminal sliding-mode controller based on Gaussian process regression is proposed. The control algorithm proposed in this [...] Read more.
The fixed-time trajectory tracking control problem of the uncertain nonlinear Euler–Lagrange system is studied. To ensure the fast, high-precision trajectory tracking performance of this system, a non-singular terminal sliding-mode controller based on Gaussian process regression is proposed. The control algorithm proposed in this paper is applicable to periodic motion scenarios, such as spacecraft autonomous orbital rendezvous and repetitive motions of robotic manipulators. Gaussian process regression is employed to establish an offline data-driven model, which is utilized for compensating parametric uncertainties and external disturbances. The non-singular terminal sliding-mode control strategy is used to avoid singularity and ensure fast convergence of tracking errors. In addition, under the Lyapunov framework, the fixed-time convergence stability of the closed-loop system is rigorously demonstrated. The effectiveness of the proposed control scheme is verified through simulations on a spacecraft rendezvous mission and periodic joint trajectory tracking for a robotic manipulator. Full article
(This article belongs to the Section Aerospace Actuators)
Show Figures

Figure 1

18 pages, 2094 KB  
Article
Fuzzy-Adaptive Nonsingular Terminal Sliding Mode Control for the High-Speed Aircraft Actuator Trajectory Tracking
by Tieniu Chen, Xiaozhou He, Yunjiang Lou, Houde Liu, Lunfei Liang and Kunfeng Zhang
Aerospace 2025, 12(7), 578; https://doi.org/10.3390/aerospace12070578 - 26 Jun 2025
Cited by 1 | Viewed by 831
Abstract
High-speed aircraft actuators are critical for precise control of aerodynamic surfaces, demanding fast response, accuracy, and robustness against uncertainties and disturbances. However, the complex nonlinear dynamics of these systems pose significant challenges for conventional control methods. Sliding mode control (SMC) offers robust performance [...] Read more.
High-speed aircraft actuators are critical for precise control of aerodynamic surfaces, demanding fast response, accuracy, and robustness against uncertainties and disturbances. However, the complex nonlinear dynamics of these systems pose significant challenges for conventional control methods. Sliding mode control (SMC) offers robust performance and rapid transient response but is hindered by chattering, which can degrade performance. To address this, this paper proposes an innovative nonlinear control strategy that integrates global nonsingular terminal sliding mode control (NTSMC) for finite-time convergence with fuzzy logic-based adaptive gain tuning to mitigate chattering and suppress oscillations. A prototype actuator and experimental platform were developed to validate the approach. Experimental results demonstrate superior dynamic response and disturbance rejection compared to traditional methods, highlighting the effectiveness of the proposed control strategy. Full article
Show Figures

Figure 1

18 pages, 1451 KB  
Article
Sustainable Trajectory Tracking Control for Underactuated Ships Using Non-Singular Fast Terminal Sliding Mode Control
by Minjie Zheng, Qianqiang Chen, Yulai Su and Guoquan Chen
Sustainability 2025, 17(13), 5866; https://doi.org/10.3390/su17135866 - 26 Jun 2025
Viewed by 555
Abstract
Accurate and robust trajectory tracking is essential for ensuring the safety and efficiency of underactuated ships operating in complex marine environments. However, conventional sliding mode control (SMC) methods often suffer from issues such as chattering and slow convergence, limiting their practical application. To [...] Read more.
Accurate and robust trajectory tracking is essential for ensuring the safety and efficiency of underactuated ships operating in complex marine environments. However, conventional sliding mode control (SMC) methods often suffer from issues such as chattering and slow convergence, limiting their practical application. To address these challenges, this paper proposes a novel non-singular fast terminal sliding mode control (NFTSMC) strategy for sustainable trajectory tracking of underactuated ships. The proposed approach first designs a virtual control law based on surge and sway position errors, and then develops a non-singular fast terminal sliding mode control law using an exponential reaching strategy, guaranteeing finite-time convergence and eliminating singularities. The Lyapunov-based stability analysis proves the boundedness and convergence of tracking errors under external disturbances. The simulation results demonstrate that the proposed non-singular fast terminal sliding mode control outperforms traditional sliding mode control in terms of convergence speed, tracking accuracy, and control smoothness, especially under wind, wave, and current disturbances. Full article
Show Figures

Figure 1

27 pages, 5300 KB  
Article
Motion Control of a Flexible-Towed Underwater Vehicle Based on Dual-Winch Differential Tension Coordination Control
by Hongming Wu, Xiong Li, Kan Xu, Dong Song, Yingkai Xia and Guohua Xu
J. Mar. Sci. Eng. 2025, 13(6), 1120; https://doi.org/10.3390/jmse13061120 - 3 Jun 2025
Cited by 1 | Viewed by 889
Abstract
This paper focused on the motion control of an underwater vehicle installed on a linear guide system, which is driven by two electric winches with wire ropes. The vehicle is subject to complex nonlinear time-varying disturbances and actuator input saturation effects during motion. [...] Read more.
This paper focused on the motion control of an underwater vehicle installed on a linear guide system, which is driven by two electric winches with wire ropes. The vehicle is subject to complex nonlinear time-varying disturbances and actuator input saturation effects during motion. A coupled dynamic model, incorporating an underwater vehicle, winches, and wire ropes, was established. Particular attention was paid to the nonlinear time-varying hydrodynamic disturbances acting on the underwater vehicle. The Kelvin–Voigt model was introduced to characterize the nonlinear dynamic behavior of the wire ropes, enabling the model to capture the dynamic response characteristics of traction forces. To tackle cross-coupling within the towing system, a differential tension coordination control method was proposed that simultaneously regulates system tension during motion control. For the vehicle dynamics model, a nonsingular fast-terminal sliding-mode (NFTSM) controller was designed to achieve high-precision position tracking control. An auxiliary dynamic compensator was incorporated to mitigate the impact of actuator input saturation. To handle time-varying disturbances, a fuzzy adaptive nonlinear disturbance observer (FANDO) is developed to perform feedforward compensation. Stability proof of the proposed algorithms was provided. Extensive numerical simulations demonstrate the effectiveness of the control strategies. Compared to the NFTSM without the disturbance observer the absolute mean value of the tracking error decreased by 76%, the absolute maximum value of the tracking error decreased by 67%, and the mean square error decreased by 93.5%. Full article
(This article belongs to the Section Ocean Engineering)
Show Figures

Figure 1

Back to TopTop