Sign in to use this feature.

Years

Between: -

Subjects

remove_circle_outline
remove_circle_outline
remove_circle_outline
remove_circle_outline
remove_circle_outline
remove_circle_outline
remove_circle_outline
remove_circle_outline
remove_circle_outline

Journals

remove_circle_outline
remove_circle_outline
remove_circle_outline
remove_circle_outline
remove_circle_outline
remove_circle_outline
remove_circle_outline
remove_circle_outline
remove_circle_outline
remove_circle_outline
remove_circle_outline
remove_circle_outline
remove_circle_outline
remove_circle_outline
remove_circle_outline

Article Types

Countries / Regions

remove_circle_outline
remove_circle_outline
remove_circle_outline
remove_circle_outline
remove_circle_outline
remove_circle_outline

Search Results (980)

Search Parameters:
Keywords = neural predictors

Order results
Result details
Results per page
Select all
Export citation of selected articles as:
15 pages, 640 KB  
Article
Training an Artificial Neural Network Based on Results of the Experiment on Machining of Aluminum Alloys 2196, 2043 and 2099 Used in the Aeronautical Industry
by Nicolae Ioan Pasca, Mihai Banica and Vasile Nasui
Coatings 2026, 16(5), 519; https://doi.org/10.3390/coatings16050519 (registering DOI) - 26 Apr 2026
Abstract
The paper presents a study regarding the tool-life of uncoated and DLC-coated cutting inserts used for machining aluminum–lithium components used in the structure of the Airbus A350 aircraft. The experiment was conducted in an industrial environment that produced aircraft parts, using industrial equipment, [...] Read more.
The paper presents a study regarding the tool-life of uncoated and DLC-coated cutting inserts used for machining aluminum–lithium components used in the structure of the Airbus A350 aircraft. The experiment was conducted in an industrial environment that produced aircraft parts, using industrial equipment, under serial processing conditions during 5874 machining hours, resulting in 1440 samples. The experimental results were used as the input data for obtaining predictive models for the estimation of the tool-life machining supervised learning from MATLAB 2025b based on four machine-learning algorithms: trainlm and trainbr (artificial neural networks), fitrtree (decision trees), and fitrensemble (ensemble methods) respectively. The models were evaluated and compared in terms of their performance, which determined the best option. Also, a sensitive analysis of the five predictors was performed. The validation of the four learning algorithms was performed based on a separate set of experimental data, which was not used in learning. The analysis between the experimental results and those predicted by the learning models confirmed their robustness. The analysis between the experimental results and those predicted concluded the best model. Full article
Show Figures

Figure 1

24 pages, 3894 KB  
Article
Turbidity Prediction in a Large, Shallow Lake Using Machine Learning
by Nicholas von Stackelberg and Michael Barber
Water 2026, 18(9), 1026; https://doi.org/10.3390/w18091026 (registering DOI) - 25 Apr 2026
Abstract
Large, shallow lakes lacking rooted aquatic vegetation are susceptible to wind-induced wave action that results in increased shear stress on the lake bottom, sediment resuspension and poor water clarity. The relationship between meteorological, hydrographical and sediment characteristics, and sediment dynamics has implications for [...] Read more.
Large, shallow lakes lacking rooted aquatic vegetation are susceptible to wind-induced wave action that results in increased shear stress on the lake bottom, sediment resuspension and poor water clarity. The relationship between meteorological, hydrographical and sediment characteristics, and sediment dynamics has implications for internal phosphorus cycling and bioavailability, the frequency and duration of harmful cyanobacterial blooms, lake level management and restoration potential. In this study, a multi-parameter water quality sonde was deployed at various sites at the bottom of Utah Lake to measure water quality variables. Sediment cores were collected at each of the deployment sites and analyzed for common physical and chemical properties. Several machine learning regression techniques, including polynomial, decision tree, artificial neural network, and support vector machine, were applied to predict turbidity, a measure of water clarity and surrogate for sediment dynamics, using the observed explanatory variables wind speed and direction, fetch, water depth, sediment properties, algae, and cyanobacteria. The decision tree estimators, random forest and histogram-based gradient boosting had the best model performance, explaining 86–89% of the variability in turbidity when including all the explanatory variables. The artificial neural network estimator multi-layer perceptron and the polynomial regression models also performed well (81%), whereas the support vector machine estimator exhibited poor performance. Chlorophyll and phycocyanin, components of turbidity, were amongst the most important variables to the decision tree and artificial neural network models. Wind speed and water depth were also of high importance, which conforms with mechanistic explanations of sediment mobility caused by wave action and shear stress. Carbonate content was consistently a good predictor due to the calcareous nature of Utah Lake, whereas the importance of the other sediment properties was dependent on the machine learning technique applied. This case study demonstrated the potential for machine learning models to predict water clarity and has promise for more general applications to other shallow lakes and serves as a useful tool for lake management and restoration. Full article
Show Figures

Figure 1

18 pages, 1084 KB  
Article
From PPG to Blood Pressure at the Edge: Quantization-Aware Architecture Selection and On-MCU Validation
by Elisabetta Leogrande, Emanuele De Luca and Francesco Dell’Olio
Sensors 2026, 26(9), 2674; https://doi.org/10.3390/s26092674 (registering DOI) - 25 Apr 2026
Abstract
Blood pressure is a central marker of cardiovascular risk, but continuous monitoring remains difficult because cuff-based measurements are intermittent and uncomfortable. Photoplethysmography (PPG) is already ubiquitous in wearables and can, in principle, enable cuffless blood pressure estimation from a single optical signal. However, [...] Read more.
Blood pressure is a central marker of cardiovascular risk, but continuous monitoring remains difficult because cuff-based measurements are intermittent and uncomfortable. Photoplethysmography (PPG) is already ubiquitous in wearables and can, in principle, enable cuffless blood pressure estimation from a single optical signal. However, many deep learning approaches that perform well in floating-point are impractical for microcontroller-class devices, where memory budgets, latency, and integer-only arithmetic constrain what can be deployed. A key open question is which neural architectures retain accuracy after full-integer quantization, rather than only under desktop inference. Here, we show an end-to-end, microcontroller-oriented evaluation framework that benchmarks multiple 1D convolutional models for cuffless systolic and diastolic pressure estimation from single-channel PPG, jointly optimizing estimation error, model footprint, and quantization robustness. We find that floating-point accuracy alone is a poor predictor of deployability: some lightweight CNNs exhibit substantial performance drift after INT8 conversion, whereas a compact residual 1D CNN preserves its predictions with near-identical error statistics after integer quantization. We then deploy the selected integer-only model on an STM32N6 microcontroller using an industrial toolchain and confirm that on-device inference maintains low bias and limited error dispersion while meeting real-time constraints for continuous operation. These results highlight architecture-dependent quantization stability as a critical design dimension for sensor-edge intelligence and support the feasibility of fully on-device cuffless blood pressure monitoring without multimodal sensing or cloud processing. Full article
(This article belongs to the Section Biomedical Sensors)
19 pages, 4540 KB  
Article
The Development of a Data-Driven Surrogate Model for Enhancing Electric Vehicle Cabin Airflow Analysis
by Mirza Popovac, Thomas Bäuml, Dominik Dvorak and Dragan Šimić
Fluids 2026, 11(5), 107; https://doi.org/10.3390/fluids11050107 (registering DOI) - 25 Apr 2026
Abstract
This paper presents a data-driven surrogate model for predicting cabin airflow and its integration into system-level electric vehicle simulations for energy management analysis. The model employs a graph-based neural network with a mirror-symmetric predictor–corrector architecture and is trained on a dataset generated using [...] Read more.
This paper presents a data-driven surrogate model for predicting cabin airflow and its integration into system-level electric vehicle simulations for energy management analysis. The model employs a graph-based neural network with a mirror-symmetric predictor–corrector architecture and is trained on a dataset generated using computational fluid dynamics (CFD) covering a defined range of inlet velocities and temperatures. The surrogate appropriately reconstructs temperature fields and captures the dominant airflow structures at significantly lower computational cost than CFD. Quantitative evaluation shows high accuracy in passenger-relevant regions, while localized discrepancies remain confined mainly to shear-layer zones. The model enables near-real-time inference and is coupled with a system-level modeling framework for control-oriented simulations that are impractical with CFD. The study is tailored to a specific geometry and operating range, showing that targeted training strategies and physics-based extensions improve robustness, particularly under limited data conditions. Full article
Show Figures

Figure 1

17 pages, 2015 KB  
Article
Efficient Battery State of Health Estimation Using Lightweight ML Models Based on Limited Voltage Measurements
by Mohammad Okour, Mohannad Alkhalil, Mutaz Al Fayad, Juhyun Bak, Kevin R. James, Sulaiman Mohaidat, Xiaoqi Liu, Fadi Alsaleem, Michael Hempel, Hamid Sharif-Kashani and Mahmoud Alahmad
J. Low Power Electron. Appl. 2026, 16(2), 16; https://doi.org/10.3390/jlpea16020016 - 21 Apr 2026
Viewed by 221
Abstract
Accurate estimation of lithium-ion battery State of Health (SoH) is critical for emerging applications such as reconfigurable battery systems. Although data-driven machine learning methods are promising, they often rely on costly, time-intensive aging experiments and extensive feature engineering. This work proposes a lightweight [...] Read more.
Accurate estimation of lithium-ion battery State of Health (SoH) is critical for emerging applications such as reconfigurable battery systems. Although data-driven machine learning methods are promising, they often rely on costly, time-intensive aging experiments and extensive feature engineering. This work proposes a lightweight SoH-prediction framework validated on both physics-informed synthetic aging data and the NASA battery aging dataset. We evaluated Random Forest (RF) and Feedforward Neural Network (FNN) models that use only a limited number of samples from an early segment of the raw discharge voltage curve as input. Results show that RF consistently outperforms FNN across input sizes in deterministic or noise-free environments, achieving an RMSE of 0.07% SoH using just 5 voltage samples. In inherently stochastic experimental data, however, FNN can achieve an RMSE 50% lower than RF (1.28 vs. 2.87), but requires 37× more mathematical operations per inference. These findings emphasize the predictive value of the early-discharge-voltage region and demonstrate that compact, low-feature-complexity models can deliver accurate SoH estimates. Overall, the approach supports a goal of combining informed synthetic data with limited real measurements to build robust, scalable SoH predictors, reducing dependence on labor-intensive degradation testing and feature-heavy pipelines. Full article
(This article belongs to the Special Issue 15th Anniversary of Journal of Low Power Electronics and Applications)
Show Figures

Figure 1

15 pages, 371 KB  
Article
Effect of Lateralization, Age, and Sex on Frequency Following Response in Children: Neural Speech Encoding to a 170 ms [da] Stimulus
by Caroline Donadon, Milaine Dominici Sanfins, Aline Buratti Sanches, Gabriele Libano de Souza Cardoso, Ayla Gabrielle Paschoalon de Mello, Piotr Henryk Skarzynski and Maria Francisca Colella-Santos
Life 2026, 16(4), 695; https://doi.org/10.3390/life16040695 - 21 Apr 2026
Viewed by 213
Abstract
Central auditory processing efficiency is considered a predictor of how well children can learn to read, with the Frequency Following Response (FFR) serving as a sensitive biomarker of neural speech encoding ability. However, data regarding the 170 ms [da] stimulus in children who [...] Read more.
Central auditory processing efficiency is considered a predictor of how well children can learn to read, with the Frequency Following Response (FFR) serving as a sensitive biomarker of neural speech encoding ability. However, data regarding the 170 ms [da] stimulus in children who are native speakers of Brazilian Portuguese (BP) remain limited. This study investigated FFR results in 37 typically developing, normal-hearing children aged 8 to 10 years. Participants underwent audiological, behavioral, and academic performance screenings, followed by monaural FFR recording (using a 170 ms [da] stimulus at 80 dBnHL). Linear mixed models (LMM) were used to examine the effects of age, sex, and ear on the latencies of waves V, A, D, E, F, and O. The analysis revealed a medium effect size for waves D, E, and F, regarding the Ear factor, though statistical significance was specifically observed for wave E. For this wave, sex was also associated with a medium effect size, characterized by longer latencies in female participants. While the results for age did not reach broad statistical significance, the presence of medium effect sizes in wave E may suggest ongoing refinement of neural synchrony and asymmetric maturation during this developmental period. This study contributes to the characterization of neural speech encoding in the Brazilian Portuguese-speaking children and may support future investigation involving auditory processing disorders and learning difficulties. Full article
(This article belongs to the Section Physiology and Pathology)
Show Figures

Figure 1

19 pages, 1337 KB  
Article
Radiomics in the Evaluation of Cystic and Neoplastic Lytic Lesions of the Jaws
by Paola Di Giacomo, Pasquale Frisina, Alberto Fratocchi, Pierluigi Barra, Cira Rosaria Tiziana Di Gioia, Flavia Adotti, Giovanni Falisi, Fabrizio Spallaccia, Iole Vozza, Antonella Polimeni, Carlo Di Paolo and Daniela Messineo
Diagnostics 2026, 16(8), 1222; https://doi.org/10.3390/diagnostics16081222 - 20 Apr 2026
Viewed by 211
Abstract
Background/Objectives. Radiomics is an emerging imaging-based tool that enhances lesion characterization beyond conventional diagnostic approaches. Its potential in evaluating osteolytic lesions of the jaws lies in improving discrimination between benign and malignant entities. This study aimed at developing a predictive model to identify [...] Read more.
Background/Objectives. Radiomics is an emerging imaging-based tool that enhances lesion characterization beyond conventional diagnostic approaches. Its potential in evaluating osteolytic lesions of the jaws lies in improving discrimination between benign and malignant entities. This study aimed at developing a predictive model to identify radiomic features capable of distinguishing benign from malignant lesions. Methods. Subjects with preoperative CT or CBCT and histopathological confirmation were included. A pilot cohort was used for feature selection via LASSO regression, which ranked features by frequency and absolute coefficient. Malignancy was coded as class 1, benign lesions as class 0. Positive coefficients indicated association with malignancy, while negative coefficients with benign characteristics. The most stable features were initially trained on the pilot cohort and then validated on an independent test set through machine learning classifiers as LASSO, support vector machine, artificial neural network, random forest e XGboost. Results. The sample comprised 69 subjects (pilot cohort = 57, test cohort = 12). The predictors selected from LASSO regression were: DifferenceEntropy_GLCM (−0.768), CenterOfMassShift_MORPHOLOGICAL (−1.390), INTENSITY-HISTOGRAM_MaximumHistogramGradientGrayLevel (1.139), GLRLM_ShortRunLowGrayLevelEmphasis (−0.742), and Maximum3DDiameter_MORPHOLOGICAL (0.932). As for model performance on test, LASSO achieved the best performance (AUC 0.83), with perfect specificity and sensitivity of 0.71. SVM showed good AUC but poor sensitivity, while random forest and XGBoost performed poorly (AUC 0.57 and 0.37, respectively). Conclusions. The LASSO model proved to be a transparent and robust classifier, suitable for both feature selection and external validation. The selected features demonstrated strong discriminative ability, supporting the potential of radiomics in improving lesion assessment and guiding clinical decision-making. Full article
Show Figures

Figure 1

18 pages, 732 KB  
Article
Longitudinal Effects of Mindfulness Combined with Gratitude Touch on Anxiety, Depression, and Stress: A 12-Month Portable EEG-Based Study
by Mădălina Sarca, Iuliana-Anamaria Trăilă, Teodora Anghel, Lavinia Bratu, Laura Nussbaum, Ion Papavă and Lavinia Hogea
Brain Sci. 2026, 16(4), 425; https://doi.org/10.3390/brainsci16040425 - 18 Apr 2026
Viewed by 155
Abstract
Background/Objectives: Mindfulness-based interventions are widely used to reduce psychological distress. Their long-term neurophysiological correlates remain insufficiently characterized. Using a portable Muse InteraXon® EEG device, this study aimed to evaluate (i) the extent to which a 12-month combined mindfulness and gratitude-based intervention [...] Read more.
Background/Objectives: Mindfulness-based interventions are widely used to reduce psychological distress. Their long-term neurophysiological correlates remain insufficiently characterized. Using a portable Muse InteraXon® EEG device, this study aimed to evaluate (i) the extent to which a 12-month combined mindfulness and gratitude-based intervention reduces anxiety, depression, and perceived stress, and (ii) whether these changes are accompanied by corresponding EEG-derived neurophysiological alterations, exploring longitudinal brain–behavior associations. Methods: Fifty participants completed psychological assessments at baseline, 6 months, and 12 months using validated scales (BDI-II, DASS-21, EMAS). A subcohort of 25 participants also underwent EEG recordings with a portable Muse device at the same time points. Longitudinal changes were analyzed using linear mixed-effect models, and exploratory brain–behavior associations were assessed with change-score analyses and Spearman’s correlations with false discovery rate correction. Results: Across the full cohort (n = 50), psychological outcomes showed longitudinal improvements over 12 months, with reductions in BDI-21, DASS-21 depression, anxiety, and stress subscales, and EMAS-State scores (all p < 0.001; linear mixed-effect models). In the EEG subcohort (n = 25), longitudinal analyses showed increased alpha power and reduced beta and gamma power in frontal and temporoparietal regions (pFDR < 0.05), along with a modest decrease in delta power at 12 months, while theta power remained stable. Exploratory analyses showed non-significant trends in the hypothesized directions that did not remain statistically significant after correction for multiple comparisons (e.g., Δalpha vs. Δstate anxiety: ρ ≈ −0.44; Δbeta vs. Δdepression: ρ ≈ 0.43) or after FDR correction. Conclusions: The mindfulness- and gratitude-based intervention was associated with sustained improvements in psychological outcomes and suggests accompanying dynamic modulation of neurophysiology. EEG appears to reflect time-dependent neural adaptation rather than a static predictor of treatment response. Full article
(This article belongs to the Special Issue Mindfulness and Emotion Regulation)
Show Figures

Figure 1

14 pages, 1428 KB  
Article
Biomechanical Phenotyping of Forced Expiration for Precision Pulmonary Rehabilitation: A Machine Learning Approach to Identify Structural and Kinetic Drivers
by Noppharath Sangkarit and Weerasak Tapanya
Adv. Respir. Med. 2026, 94(2), 26; https://doi.org/10.3390/arm94020026 - 17 Apr 2026
Viewed by 287
Abstract
Background: Standard spirometry fundamentally overlooks the mechanical dynamics of forced expiration. This study derived novel biomechanical parameters to establish functional phenotypes and predict clinical respiratory impairments. Methods: Utilizing 16,596 acceptable spirometry records from NHANES (2007 to 2012), parameters reflecting kinetic power, mass constraint, [...] Read more.
Background: Standard spirometry fundamentally overlooks the mechanical dynamics of forced expiration. This study derived novel biomechanical parameters to establish functional phenotypes and predict clinical respiratory impairments. Methods: Utilizing 16,596 acceptable spirometry records from NHANES (2007 to 2012), parameters reflecting kinetic power, mass constraint, and airway instability were mathematically derived. Principal component analysis, K-means clustering, and a Multilayer Perceptron neural network were sequentially applied. Results: Three distinct biomechanical phenotypes emerged: Load-Constrained (45.4%), Mechanically Efficient (23.5%), and Dynamic Collapse (31.0%). Aging significantly degraded kinetic power, demonstrating a steeper functional decline in males (p < 0.001). The neural network achieved 93.2% testing accuracy in classifying spirometric abnormalities. Crucially, Dynamic Airway Collapse Ratio (100% normalized importance), BMI (89.4%), and kinetic power (86.2%) fundamentally outperformed traditional demographic predictors such as chronological age (20.4%) and biological sex (7.1%). Conclusions: Structural and dynamic kinetic factors drive pulmonary dysfunction far more accurately than conventional demographics. Classifying these mechanical phenotypes facilitates highly targeted precision cardiopulmonary rehabilitation. Full article
(This article belongs to the Special Issue Pulmonary Rehabilitation: Interventions, Protocols, and Outcomes)
Show Figures

Figure 1

21 pages, 2165 KB  
Article
A Comprehensive Benchmark of Machine Learning Methods for Blood Glucose Prediction in Type 1 Diabetes: A Multi-Dataset Evaluation
by Mikhail Kolev, Irina Naskinova, Mariyan Milev, Stanislava Stoilova and Iveta Nikolova
Appl. Sci. 2026, 16(8), 3928; https://doi.org/10.3390/app16083928 - 17 Apr 2026
Viewed by 357
Abstract
Managing blood glucose in type 1 diabetes (T1D) remains a daily clinical challenge, and accurate short-term prediction of glucose levels can meaningfully improve insulin dosing decisions while reducing the risk of dangerous hypoglycaemic episodes. Although numerous machine learning approaches have been proposed for [...] Read more.
Managing blood glucose in type 1 diabetes (T1D) remains a daily clinical challenge, and accurate short-term prediction of glucose levels can meaningfully improve insulin dosing decisions while reducing the risk of dangerous hypoglycaemic episodes. Although numerous machine learning approaches have been proposed for this task, comparing their relative merits is difficult because published studies differ widely in datasets, preprocessing choices, and evaluation criteria. In this work, we address this research gap by benchmarking ten machine learning methods—from a naïve persistence baseline through classical linear regressors, gradient-boosted ensembles, and recurrent neural networks to a novel hybrid that couples LightGBM with stochastic differential equation (SDE)-based glucose–insulin simulation—on two multi-patient datasets comprising 34 T1D subjects, across prediction horizons of 15, 30, 60, and 120 min. Every method is trained and tested under identical preprocessing and temporal splitting conditions to ensure a fair comparison. The proposed Hybrid LightGBM-SDE model consistently outperforms all alternatives, recording RMSE values of 22.42 mg/dL at 15 min, 28.74 mg/dL at 30 min, 33.89 mg/dL at 60 min, and 37.22 mg/dL at 120 min—an improvement of between 13.6% and 27.0% relative to standalone LightGBM. At the clinically important 30 min horizon, 99.7% of predictions lie within the acceptable A and B zones of the Clarke Error Grid. Wilcoxon signed-rank tests confirm that performance differences are statistically significant (p < 10−10), and SHAP-based analysis shows that the SDE-derived simulation features are among the most influential predictors, especially at longer horizons. All source code and evaluation scripts are publicly released to support reproducibility. Due to temporary data access constraints, all experiments reported here use physics-based synthetic datasets generated from the Bergman minimal model, replicating the structural properties of the D1NAMO and HUPA-UCM collections; validation on the original clinical recordings is planned. Among the two synthetic datasets, the D1NAMO-equivalent cohort (nine patients) proves more challenging, with systematically higher per-patient RMSE variance. The clinically acceptable prediction accuracy at the 30 min horizon (99.7% in Clarke zones A + B) suggests potential for integration into insulin dosing decision-support systems. Full article
Show Figures

Figure 1

28 pages, 904 KB  
Article
Supervised Machine Learning-Based Multiclass Classification and Interpretable Feature Importance Analysis of Teacher Job Satisfaction
by Bouabid Qabliyane, Zakaria Khoudi, Abdelamine Elouafi, Abderrahim Salhi and Mohamed Baslam
Information 2026, 17(4), 377; https://doi.org/10.3390/info17040377 - 17 Apr 2026
Viewed by 247
Abstract
This study examines the increasing concern regarding teacher job satisfaction, which has a direct impact on retention, instructional quality, and student outcomes. Traditionally, teacher satisfaction has been evaluated through questionnaires, which present limitations in terms of data efficiency and analyses. In this study, [...] Read more.
This study examines the increasing concern regarding teacher job satisfaction, which has a direct impact on retention, instructional quality, and student outcomes. Traditionally, teacher satisfaction has been evaluated through questionnaires, which present limitations in terms of data efficiency and analyses. In this study, machine learning techniques were applied to data from the PISA 2022 teacher questionnaire in Morocco (N = 2998 lower-secondary teachers). Two multiclass classification targets were defined: overall job satisfaction (SATJOB_class) and satisfaction with the teaching profession (SATTEACH_class), each categorised into three balanced classes: low (<−0.5), medium (−0.5 to 0.5), and high (>0.5) classes. The methodology comprised four key stages. Initially, comprehensive pre-processing was conducted to address missing values, retaining features with fewer than 300 missing entries and applying mode imputation. Subsequently, nine classifiers, including logistic regression, K-nearest neighbours, multinomial naïve Bayes, support vector machine, decision tree, random forest, XGBoost, AdaBoost, and a feed-forward Artificial Neural Network, were evaluated using identical train/test splits and hyperparameter tuning. Third, the model performance was assessed using accuracy, precision, recall, and F1-score. Finally, the feature importance was derived from tree-based and permutation methods. The results indicated that XGBoost outperformed the other models for SATJOB_class with an accuracy (0.61), precision (0.62), recall (0.61), and F1-score (0.61), followed by Random Forest (accuracy = 0.59), Logistic Regression (accuracy = 0.59), and AdaBoost (accuracy = 0.59). For SATTEACH_class, Random Forest led with accuracy (0.59), followed closely by XGBoost (0.58), ANN (0.57), and AdaBoost (0.56). Key predictors of teacher job satisfaction included workload-related variables and school-environment factors, which consistently emerged as the most important features across the best-performing models. The methodology and open-source pipeline provide a reproducible framework for evidence-based interventions to improve teacher retention and instructional quality, offering valuable insights for policymakers and educational administrators. Full article
(This article belongs to the Special Issue AI Technology-Enhanced Learning and Teaching)
Show Figures

Figure 1

19 pages, 19416 KB  
Article
Identification of Prognostic Factors in Esophageal Cancer Using Machine Learning: A Retrospective Study Based on the SEER Database
by Piman Pocasap, Sarinya Kongpetch, Auemduan Prawan, Karnchanok Kaimuangpak and Laddawan Senggunprai
J. Clin. Med. 2026, 15(8), 3049; https://doi.org/10.3390/jcm15083049 - 16 Apr 2026
Viewed by 230
Abstract
Background: Esophageal cancer (EC) is an aggressive malignancy with low survival rates, making accurate prognosis critical for guiding treatment decisions. Traditional prognostic methods, while essential, often lack precision and comprehensive data insights. This study aims to apply machine learning (ML) approaches to investigate [...] Read more.
Background: Esophageal cancer (EC) is an aggressive malignancy with low survival rates, making accurate prognosis critical for guiding treatment decisions. Traditional prognostic methods, while essential, often lack precision and comprehensive data insights. This study aims to apply machine learning (ML) approaches to investigate EC prognosis by identifying key factors associated with 5-year survival. Methods: Multiple ML algorithms—Random Forest (RF), Artificial Neural Networks (ANN), K-Nearest Neighbors (KNN), AdaBoost, and Naïve Bayes—were applied to a dataset from the SEER database. Model development included exploratory data analysis, internal validation, and 5-fold cross-validation. Traditional survival analysis methods, such as Cox regression and Kaplan–Meier (KM) analysis, were integrated to further explore relationships between key predictor and outcome variables. Additionally, time-series analysis was conducted to examine survival trends over time and identify influencing factors. Results: RF demonstrated the highest predictive performance among the models tested. Key prognostic factors identified included surgery, summary stage, tumor size, metastasis, AJCC M stage, and age. An exploratory analysis of temporal trends further showed changes in survival outcomes across diagnosis years. Conclusions: The findings highlight the potential of ML approaches to analyze prognostic patterns in EC. Integrating ML models with traditional statistical analyses helped identify key prognostic factors such as surgery, summary stage, and metastasis, while the exploratory temporal analysis provided additional context regarding survival trends over time. While promising, further external validation and addressing time-series challenges are necessary. Overall, this study demonstrates the potential of ML to support the identification of prognostic factors in EC and may contribute to more informed clinical decision-making. Full article
(This article belongs to the Section Gastroenterology & Hepatopancreatobiliary Medicine)
Show Figures

Figure 1

27 pages, 14723 KB  
Article
Predicting Flexural Strength of FRP-Strengthened Waste Aggregate Concrete Beams with Machine Learning: A Step Towards Sustainability
by Arissaman Sangthongtong, Burachat Chatveera, Gritsada Sua-iam, Adnan Nawaz, Tahir Mehmood, Suniti Suparp, Muhammad Salman, Muhammad Noman, Qudeer Hussain and Panumas Saingam
Buildings 2026, 16(8), 1512; https://doi.org/10.3390/buildings16081512 - 12 Apr 2026
Viewed by 353
Abstract
Using waste materials in the manufacture of concrete has many environmental advantages. However, it can be difficult to estimate structural performance, especially when beams are reinforced with fiber-reinforced polymers (FRP). In order to provide a data-driven approach to sustainable structural design, this work [...] Read more.
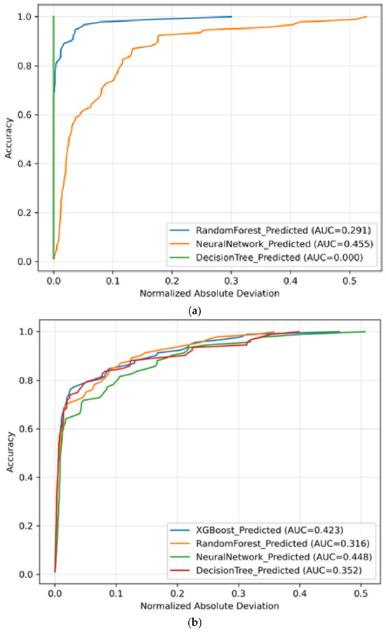
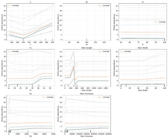
Using waste materials in the manufacture of concrete has many environmental advantages. However, it can be difficult to estimate structural performance, especially when beams are reinforced with fiber-reinforced polymers (FRP). In order to provide a data-driven approach to sustainable structural design, this work explores the use of machine learning (ML) approaches to forecast the flexural strength of FRP-strengthened waste aggregate concrete beams. A total number of 92 experimental datasets were used to develop and assess four ML algorithms: Random Forest (RF), Decision Tree (DT), Neural Network (NN), and Extreme Gradient Boosting (XGBoost). Regression plots, Taylor diagrams, statistical measures (R2R^2R2, RMSE, MAE, MSE), and explainable AI (XAI) tools, including SHAP, LIME, and partial dependence plots (PDPs), were used to evaluate the model’s performance. RF outperformed NN in terms of predictive accuracy, while XGBoost exhibited similar performance to RF. The most significant predictors, according to a SHAP analysis, were beam length and fiber length, with the lower followed by steel tensile strength, fiber width, and concrete compressive strength. LIME offered local interpretability for individual predictions, but PDPs demonstrated optimal parameter ranges and a nonlinear feature strength relationship. The findings provide engineers with a strong decision-support tool for designing green infrastructure, since they show that ensemble-based models can accurately represent the intricate, nonlinear dynamics controlling flexural behavior in sustainable FRP-strengthened waste aggregate concrete beams. Full article
(This article belongs to the Collection Advanced Concrete Materials in Construction)
Show Figures

Figure 1

27 pages, 4791 KB  
Article
Combining Fast Orthogonal Search with Deep Learning to Improve Low-Cost IMU Signal Accuracy
by Jialin Guan, Eslam Mounier, Umar Iqbal and Michael J. Korenberg
Sensors 2026, 26(8), 2300; https://doi.org/10.3390/s26082300 - 8 Apr 2026
Viewed by 346
Abstract
Inertial measurement units (IMUs) in low-cost navigation systems suffer from significant drift and noise errors due to sensor biases, scale factor instability, and nonlinear stochastic noise. This paper proposes a hybrid error compensation approach that combines Fast Orthogonal Search (FOS), a nonlinear system [...] Read more.
Inertial measurement units (IMUs) in low-cost navigation systems suffer from significant drift and noise errors due to sensor biases, scale factor instability, and nonlinear stochastic noise. This paper proposes a hybrid error compensation approach that combines Fast Orthogonal Search (FOS), a nonlinear system identification technique, with deep Long Short-Term Memory (LSTM) neural networks to improve IMU signal accuracy in GNSS-denied navigation. The FOS algorithm efficiently models deterministic error patterns (such as bias drift and scale factor errors) using a small training dataset, while the LSTM learns the IMU’s complex time-dependent error dynamics from much longer training data. In the proposed method, FOS is first used to predict the output of a high-end IMU based on that of a low-end IMU, and the trained FOS model is then used to extend the training data for an LSTM-based predictor. We demonstrate the efficacy of this FOS–LSTM hybrid on real vehicular IMU data by training with a limited segment of high-precision reference measurements and testing on extended operation periods. The hybrid model achieves high predictive accuracy for predicting the high-end signal based on the low-end signal, with a mean squared error below 0.1% and yields more stable velocity estimates than models using FOS or LSTM alone. Although long-term position drift is not fully eliminated, the proposed method significantly reduces short-term uncertainty in the inertial solution. These results highlight a promising synergy between model-based system identification and data-driven learning for sensor error calibration in navigation systems. Key contributions include FOS-based pseudo-label bootstrapping for data-efficient LSTM training and a navigation-level evaluation illustrating how signal correction impacts dead reckoning drift. Full article
Show Figures

Figure 1

29 pages, 4375 KB  
Article
Application of AI in Tablet Development: An Integrated Machine Learning Framework for Pre-Formulation Property Prediction
by Masugu Hamaguchi, Tomoki Adachi and Noriyoshi Arai
Pharmaceutics 2026, 18(4), 452; https://doi.org/10.3390/pharmaceutics18040452 - 8 Apr 2026
Viewed by 387
Abstract
Background/Objectives: Tablet development requires simultaneous optimization of multiple quality attributes under limited experimental budgets, yet formulation–property relationships are highly nonlinear in mixture systems. To support pre-formulation decision-making prior to extensive tablet prototyping, this study proposes an AI framework that organizes formulation and process [...] Read more.
Background/Objectives: Tablet development requires simultaneous optimization of multiple quality attributes under limited experimental budgets, yet formulation–property relationships are highly nonlinear in mixture systems. To support pre-formulation decision-making prior to extensive tablet prototyping, this study proposes an AI framework that organizes formulation and process data together with raw-material property records into a reusable database, and enriches conventional composition/process features with physically motivated mixture descriptors derived from raw-material properties and formulation/process settings. Methods: Mixture-level scalar descriptors are constructed by composition-weighted aggregation of material properties, and particle size distribution (PSD) is incorporated via a compact set of summary statistics computed from composition-weighted mixture PSDs. Three feature sets are compared: (i) Materials + Processes (MP), (ii) MP with scalar Descriptors (MPD), and (iii) MPD with PSD summaries (MPDD). Five target properties are modeled: hardness, disintegration time, flow function, cohesion, and thickness. We train and evaluate Random Forest, Extra Trees Regressor, Lasso, Partial Least Squares, Support Vector Regression, and a multi-branch neural network that processes the three feature blocks separately and concatenates them for prediction. For interpolation assessment, repeated Train/Dev/Test splitting (5:3:2) across multiple random seeds is used, and the effect of feature augmentation is quantified by paired RMSE improvements with bootstrap confidence intervals and paired Wilcoxon signed-rank tests. To assess robustness under practical formulation updates, rolling-origin time-series splits are employed and Applicability Domain indicators are computed to characterize out-of-distribution coverage. Results: Across interpolation evaluations, mixture-descriptor augmentation (MPD/MPDD) improves hardness and disintegration time in most settings, whereas gains for flow function are smaller and cohesion/thickness show mixed effects under limited sample sizes. Conclusions: Under extrapolation-oriented evaluation, the descriptors can improve hardness but may degrade disintegration-time prediction under covariate shift, emphasizing the need for careful descriptor selection and dimensionality control when deploying pre-formulation predictors. Full article
Show Figures

Figure 1

Back to TopTop