Sign in to use this feature.

Years

Between: -

Subjects

remove_circle_outline
remove_circle_outline
remove_circle_outline
remove_circle_outline
remove_circle_outline
remove_circle_outline
remove_circle_outline
remove_circle_outline
remove_circle_outline

Journals

remove_circle_outline
remove_circle_outline
remove_circle_outline
remove_circle_outline
remove_circle_outline
remove_circle_outline

Article Types

Countries / Regions

remove_circle_outline
remove_circle_outline
remove_circle_outline
remove_circle_outline
remove_circle_outline

Search Results (392)

Search Parameters:
Keywords = network-based early-warning systems

Order results
Result details
Results per page
Select all
Export citation of selected articles as:
15 pages, 854 KB  
Article
Sensor Placement for Contamination Detection in Urban Water Distribution System Based on Multidimensional Resilience
by Albira Acharya, Amrit Babu Ghimire, Binod Ale Magar and Sangmin Shin
Systems 2026, 14(4), 422; https://doi.org/10.3390/systems14040422 - 10 Apr 2026
Abstract
Urban water distribution systems (WDSs) face increasing threats from accidental or intentional contaminant intrusion events. While contamination warning systems using water quality sensors enable early detection and rapid response to contamination events, traditional sensor placement approaches often rely on a single or limited [...] Read more.
Urban water distribution systems (WDSs) face increasing threats from accidental or intentional contaminant intrusion events. While contamination warning systems using water quality sensors enable early detection and rapid response to contamination events, traditional sensor placement approaches often rely on a single or limited performance metric, overlooking the multidimensional nature of system resilience. This study presents a multidimensional resilience-based framework for the optimal placement of water quality sensors in urban WDSs, integrating hydraulic and water quality simulations using the EPANET-MATLAB toolkit with a genetic algorithm (GA) optimization process. For Anytown Water Distribution Network, four distinct functionalities were formulated to capture different aspects of system performance during contamination events, and an integrated-multidimensional resilience metric was proposed as a collective measure. Results demonstrated that the optimal sensor configurations varied significantly depending on the selected functionality. However, the integrated multidimensional resilience-based approach yielded more balanced and effective sensor placements, simultaneously enhancing resilience levels for all individual functionalities. Furthermore, the findings indicated that adding more sensors beyond a certain number offers marginal improvements in system resilience, suggesting that sensor deployment should be guided by monitoring objectives (e.g., resilience) rather than simply increasing sensor numbers. The findings and discussion suggest practical insights for utilities to enhance water supply services with safe quality and system security against contamination threats in urban WDSs. Full article
(This article belongs to the Special Issue Management of Water Supply Systems Resilience and Reliability)
Show Figures

Figure 1

21 pages, 2215 KB  
Article
Machine Learning Approaches for Probabilistic Prediction of Coastal Freak Waves
by Dong-Jiing Doong, Wei-Cheng Chen, Fan-Ju Lin, Chi Pan and Cheng-Han Tsai
J. Mar. Sci. Eng. 2026, 14(8), 689; https://doi.org/10.3390/jmse14080689 - 8 Apr 2026
Abstract
Coastal freak waves (CFWs) are sudden and hazardous wave events that occur near shorelines and can pose serious threats to coastal visitors and infrastructure. Due to the complex interactions among coastal bathymetry, wave dynamics, and environmental conditions, the mechanisms governing CFW formation remain [...] Read more.
Coastal freak waves (CFWs) are sudden and hazardous wave events that occur near shorelines and can pose serious threats to coastal visitors and infrastructure. Due to the complex interactions among coastal bathymetry, wave dynamics, and environmental conditions, the mechanisms governing CFW formation remain poorly understood, making reliable prediction difficult. This study investigates the feasibility of applying machine learning techniques to predict CFW occurrences using observational environmental data. Three machine learning algorithms, the Random Forest (RF), Support Vector Machine (SVM), and Artificial Neural Network (ANN), were developed to generate probability-based predictions of CFW events. Environmental variables derived from buoy observations, including wave characteristics, wind conditions, swell parameters, wave grouping indicators, and nonlinear wave interaction indices, were used as model inputs. Hyperparameters were optimized using grid search combined with k-fold cross-validation. The results show that all three models achieved comparable predictive performance, with AUC values close to 0.80 and overall prediction accuracy around 74%. The ANN model achieved the highest recall, indicating strong capability in detecting CFW events, while the RF and SVM models showed more balanced precision and recall. Analysis of high-probability prediction events suggests that CFW occurrences are associated with swell-dominated conditions, strong wave grouping behavior, and enhanced nonlinear wave interactions. These results demonstrate that machine learning provides a promising framework for probabilistic prediction of coastal freak waves and has potential applications in coastal hazard assessment and early warning systems. Full article
(This article belongs to the Special Issue Coastal Disaster Assessment and Response—2nd Edition)
Show Figures

Figure 1

18 pages, 6357 KB  
Article
Enhanced Motion Prediction of a Semi-Submersible Platform Using Bayesian Neural Network and Field Monitoring Data
by Song Li and Jia-Wang Chen
AI. Eng. 2026, 1(1), 2; https://doi.org/10.3390/aieng1010002 - 3 Apr 2026
Viewed by 120
Abstract
The motion prediction of semi-submersible platforms is of significant importance for improving operational efficiency, ensuring platform safety, and providing early warning information for potential risks. Traditional prediction methods, such as those based on hydrodynamic simulations combined with Kalman filters, often face limitations due [...] Read more.
The motion prediction of semi-submersible platforms is of significant importance for improving operational efficiency, ensuring platform safety, and providing early warning information for potential risks. Traditional prediction methods, such as those based on hydrodynamic simulations combined with Kalman filters, often face limitations due to their reliance on precise hydrodynamic parameters, which are difficult to obtain in practice. More recently, data-driven approaches, particularly deep learning models like Long Short-Term Memory (LSTM) networks, have shown promise in predicting complex motions. However, these methods often treat the prediction process as a “black box,” leading to issues such as a lack of generalization ability, overfitting, and an inability to quantify the uncertainty of prediction results. To address these challenges, this paper proposes a novel motion prediction method for semi-submersible platforms based on a Bayesian neural network (BNN). The BNN incorporates Bayesian inference to effectively integrate prior knowledge and measured data, thereby quantifying uncertainties and improving prediction accuracy. The method is validated using field-measured motion data from a semi-submersible platform in the South China Sea. Compared with LSTM and feedforward neural network, the BNN demonstrates superior anti-noise performance and prediction accuracy, achieving an accuracy rate (R2) of up to 91.5%. Moreover, over 92% of the true values are captured within the 95% confidence interval of the prediction results. This study highlights the potential of BNNs for the real-time motion prediction of offshore platforms, providing valuable support for early warning systems and operational decision-making. Full article
Show Figures

Figure 1

17 pages, 20220 KB  
Article
Observational Technological Innovations and Future Development of the Lijiang Coronagraph
by Xuefei Zhang, Yu Liu, Tengfei Song, Mingyu Zhao, Xiaobo Li, Mingzhe Sun, Feiyang Sha and Xiande Liu
Instruments 2026, 10(2), 21; https://doi.org/10.3390/instruments10020021 - 3 Apr 2026
Viewed by 139
Abstract
As a core ground-based coronal observation facility in the low-latitude and high-altitude regions of China, the Lijiang Coronagraph takes advantage of the natural endowments of the Lijiang Astronomical Observation Station, such as an altitude of 3200 m and low atmospheric turbulence. It has [...] Read more.
As a core ground-based coronal observation facility in the low-latitude and high-altitude regions of China, the Lijiang Coronagraph takes advantage of the natural endowments of the Lijiang Astronomical Observation Station, such as an altitude of 3200 m and low atmospheric turbulence. It has gone through a complete development process from introduction through Chinese–Japanese cooperation to independent innovation and iteration. This paper systematically summarizes the core technological innovation achievements of this facility, including the upgrade of the automatic operating system, the integration of the dual-band observation system, the stray light suppression technology based on the image difference method before and after cleaning, and the high-precision image calibration and registration technology. These innovations have significantly improved observation efficiency and data quality, laying a solid foundation for high-quality observations. At the scientific research level, the observation data reveal that 1.1 R (solar radius) is a highly correlated region between coronal green line brightness and magnetic field intensity. This study also confirms a strong correlation between the coronal green line and the SDO/AIA 211 Å extreme ultraviolet band (correlation coefficient: 0.89–0.99), which can support the research on early warning of Coronal Mass Ejections (CMEs). These achievements provide key data support for the verification of coronal heating mechanisms and the exploration of the origin of the slow solar wind. The technical experience accumulated from the Lijiang Coronagraph has not only laid a solid foundation for the research and development of China’s next-generation large-aperture coronagraphs, but also facilitated and accelerated substantial progress in China’s technical capabilities for low coronal observation, enabling the country to establish internationally parallel competitive capabilities in this field. This system has also become an important part of the global coronal observation network. Full article
(This article belongs to the Special Issue Instruments for Astroparticle Physics)
Show Figures

Figure 1

23 pages, 2691 KB  
Article
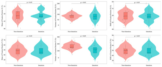
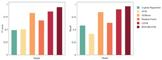
Pilot Intent State Recognition Based on Eye-Movement Behavior Characteristics
by Zhengyong Zhan, Yixuan Li, Hongming Liu, Haibo Wang, Li Li, Haiqing Si, Gen Li and Yan Zhao
Aerospace 2026, 13(4), 327; https://doi.org/10.3390/aerospace13040327 - 1 Apr 2026
Viewed by 209
Abstract
This paper aims to uncover the generation patterns of pilot intentions during complex flight missions and to identify pilot intention states, thereby enabling airborne warning systems to understand and predict pilot intentions for early warning strategies. To achieve this, we designed a simulated [...] Read more.
This paper aims to uncover the generation patterns of pilot intentions during complex flight missions and to identify pilot intention states, thereby enabling airborne warning systems to understand and predict pilot intentions for early warning strategies. To achieve this, we designed a simulated flight experiment incorporating various risk scenarios to induce pilot intentions, collected eye-tracking data reflecting pilot intention states, and proposed a method for identifying the persistence of pilot intentions based on eye-tracking data. We then constructed a pilot intention dataset and analyzed the time–frequency characteristics of eye-tracking data in the intention persistence state, revealing key behavioral features following the generation of pilot intentions. Furthermore, we examined eye-tracking features that enhance the performance of pilot intention recognition models. Finally, we developed a deep learning model integrating recurrent neural networks (RNN) and bidirectional long short-term memory (BiLSTM) networks to recognize pilot intentions. The results demonstrate that the model achieved a recognition accuracy of 97.8% on the test set, and its performance in identifying pilot intention states was validated through comparison with a baseline model. This study confirms that eye-tracking data can effectively identify pilot intention states and offers new insights into aircraft safety early warning and intelligent control systems. Full article
(This article belongs to the Section Air Traffic and Transportation)
Show Figures

Figure 1

31 pages, 4715 KB  
Article
PIDNN: A Hybrid Intelligent Prediction Model for UAV Battery Degradation
by Mengmeng Duan, Mingyu Lu and Huiqing Jin
Batteries 2026, 12(4), 124; https://doi.org/10.3390/batteries12040124 - 1 Apr 2026
Viewed by 292
Abstract
The operational safety and endurance of unmanned aerial vehicles (UAVs) are strongly affected by lithium-ion battery degradation under extreme thermal environments. However, conventional physics-based models often rely on simplified assumptions, whereas purely data-driven methods usually lack physical interpretability and robust generalization. To address [...] Read more.
The operational safety and endurance of unmanned aerial vehicles (UAVs) are strongly affected by lithium-ion battery degradation under extreme thermal environments. However, conventional physics-based models often rely on simplified assumptions, whereas purely data-driven methods usually lack physical interpretability and robust generalization. To address these limitations, this study proposes a Physics-Informed Deep Neural Network (PIDNN) for predicting UAV battery degradation under complex environmental conditions. The proposed framework integrates thermodynamic and fluid dynamic principles with deep neural networks by incorporating physical constraints derived from heat generation, heat conduction, and convective heat transfer into the loss function. This design enables the model to capture nonlinear degradation patterns while maintaining consistency with fundamental physical laws. Comprehensive simulation-based experiments were conducted under high-temperature (45 °C), low-temperature (−20 °C), and room-temperature (25 °C) conditions, together with varying discharge rates, humidity levels, wind speeds, and multi-factor coupled scenarios. The results show that the proposed PIDNN consistently outperforms conventional physics-based models and several representative data-driven methods, including SVM, LSTM, and GAN-based approaches. It achieves lower prediction errors across all evaluated conditions, as reflected by reduced mean absolute error and root mean square error. By providing physically consistent predictions of capacity fade, internal resistance growth, and remaining useful life, the proposed framework supports degradation-aware monitoring and early warning for intelligent battery management systems. These findings provide a robust methodological basis for improving the reliability, safety, and service life of UAV power systems operating in complex climatic environments. Full article
Show Figures

Figure 1

15 pages, 2863 KB  
Article
Assessing the Potential of Total Lightning for Nowcasting Ground Rainfall in Summer Thunderstorms Using Automatic Density-Dependent Tracking
by Debrupa Mondal, Yasuhide Hobara, Hiroshi Kikuchi and Jeff Lapierre
Atmosphere 2026, 17(4), 364; https://doi.org/10.3390/atmos17040364 - 31 Mar 2026
Viewed by 257
Abstract
The accurate and timely nowcasting of severe weather events such as short-term torrential rainfall is essential for disaster preparedness and early warning systems. Our prior studies have demonstrated a high correlation (0.92) and ~10 min time lag between in-cloud (IC) lightning and ground [...] Read more.
The accurate and timely nowcasting of severe weather events such as short-term torrential rainfall is essential for disaster preparedness and early warning systems. Our prior studies have demonstrated a high correlation (0.92) and ~10 min time lag between in-cloud (IC) lightning and ground rainfall. In this study, based on the approach introduced by Shimizu and Uyeda, an automatic method for identifying and tracking convective storm cells, we integrate total lightning data and heavy precipitation data for further improving the prediction accuracy of torrential rainfall. High-resolution 2D weather radar composite precipitation data are collected from XRAIN, operated by MLIT, Japan, and total lightning data (TL, i.e., IC and CG) are collected from the Japanese Total Lightning Network (JTLN). The adapted algorithm is used to track lightning-frequent areas (≥5 and ≥2 pulses per 5 min) as well as heavy (≥50 mm/h) and torrential (≥80 mm/h) precipitation cells. To evaluate the predictive capability of TL, cross-correlation analyses are performed across multiple intensity thresholds and time lags. The results of correlation matrix analysis for identifying the movement of the storm and utilization towards spatiotemporal nowcasting of extreme rainfall is discussed. Full article
Show Figures

Figure 1

20 pages, 13941 KB  
Article
A Graph Learning-Driven Method for Multi-Ship Collision Risk Prediction in Complex Waterways
by Jie Wang, Shijie Liu and Yan Zhang
J. Mar. Sci. Eng. 2026, 14(7), 658; https://doi.org/10.3390/jmse14070658 - 31 Mar 2026
Viewed by 173
Abstract
The proactive identification of emerging collision risks is pivotal for maritime traffic safety, particularly in congested hub ports where multi-ship encounters exhibit complex spatiotemporal dependencies. Conventional risk assessment methods, predominantly predicated on instantaneous geometric indicators, often fall short in capturing the systemic evolution [...] Read more.
The proactive identification of emerging collision risks is pivotal for maritime traffic safety, particularly in congested hub ports where multi-ship encounters exhibit complex spatiotemporal dependencies. Conventional risk assessment methods, predominantly predicated on instantaneous geometric indicators, often fall short in capturing the systemic evolution of risk. To address these limitations, this study proposes an Improved Spatio-Temporal Graph Convolutional Network (IST-GCN) framework for the short-term forecasting of ship collision risk. The framework models maritime traffic as a rule-integrated dynamic interaction graph, where edge weights are adaptively modulated by navigational rules and the Collision Risk Index (CRI). By leveraging historical observation windows, the model forecasts the maximum collective risk level over a subsequent prediction horizon, categorizing traffic scenes into three ordinal levels: Low, Medium, and High. A comprehensive case study utilizing real-world Automatic Identification System (AIS) data from the core waters of Ningbo–Zhoushan Port demonstrates the efficacy of the proposed approach. The IST-GCN achieves a superior prediction Accuracy of 92.4% and an F1-score of 0.91, significantly outperforming representative baselines including Long Short-Term Memory (LSTM), Temporal Convolutional Network (TCN), and standard ST-GCN. Notably, by explicitly encoding COLREGs-based interaction logic, the framework reduces the False Alarm Rate (FAR) to 8.5% in complex crossing and merging scenarios. These findings indicate that the IST-GCN serves as an interpretable, reliable, and early-warning decision-support tool for intelligent maritime supervision and modern Vessel Traffic Services (VTS). Full article
(This article belongs to the Special Issue Advances in Maritime Shipping)
Show Figures

Figure 1

29 pages, 2066 KB  
Article
Intelligence Collision Detection Using a Combination of Tuning Base Methods and Convolutional Long Short Term Memory Models
by Mohammed Hilfi and Lubna Alazzawi
Smart Cities 2026, 9(4), 61; https://doi.org/10.3390/smartcities9040061 - 31 Mar 2026
Viewed by 325
Abstract
Effective traffic control using Artificial Intelligence (AI) is essential to ensure safe passage for all road users. AI-based collision detection systems offer advanced mechanisms to prevent accidents and improve highway safety. This research investigates two distinct collision scenarios: vehicle–pedestrian and vehicle–motorcyclist interactions. The [...] Read more.
Effective traffic control using Artificial Intelligence (AI) is essential to ensure safe passage for all road users. AI-based collision detection systems offer advanced mechanisms to prevent accidents and improve highway safety. This research investigates two distinct collision scenarios: vehicle–pedestrian and vehicle–motorcyclist interactions. The proposed method in this research involves the bidirectional Long Short Term Memory (LSTM), Convolutional Neural Network with LSTM (CNN–LSTM), and transformer models. The model is furthermore tuned using random or grid search. For the pedestrian–vehicle scenario, the CNN–LSTM model achieved 99.76% accuracy, 99.77% precision, and 99.76% recall, highlighting its strong classification performance. In the vehicle–motorcyclist scenario, the bidirectional LSTM reached 99.73% accuracy with precision and recall of 99.15%, demonstrating its effectiveness in detecting imminent crashes. The optimized CNN-LSTM by random search has focused on decreasing the false-positive rate and increasing the positive rate. It has achieved superior results compared to previous research. These results suggest that the system could be effectively implemented as an early collision warning solution on edge devices. Full article
Show Figures

Figure 1

36 pages, 3551 KB  
Article
Early Detection of Short-Term Performance Degradation in Electric Vehicle Lithium-Ion Batteries via Physics-Guided Multi-Sensor Fusion and Deep Learning
by David Chunhu Li
Batteries 2026, 12(4), 116; https://doi.org/10.3390/batteries12040116 - 27 Mar 2026
Viewed by 282
Abstract
Early detection of battery degradation is essential for ensuring the safety and reliability of electric vehicle (EV) systems under real-world operating variability. This paper proposes a physics-guided multi-sensor learning framework, termed SensorFusion-Former (SFF), for early warning of short-term EV battery performance degradation. The [...] Read more.
Early detection of battery degradation is essential for ensuring the safety and reliability of electric vehicle (EV) systems under real-world operating variability. This paper proposes a physics-guided multi-sensor learning framework, termed SensorFusion-Former (SFF), for early warning of short-term EV battery performance degradation. The proposed approach integrates a physics-based baseline model for operational normalization, a multi-sensor fusion attention mechanism to model cross-modality interactions, and a lightweight transformer architecture for efficient temporal representation learning. Weak supervision is derived from physics-consistent residual analysis with temporal smoothing, enabling scalable training without dense manual annotations. To support reliable deployment, evidential uncertainty modeling and conformal calibration are incorporated to obtain statistically controlled decision thresholds. Experiments conducted on a real driving cycle dataset from IEEE DataPort demonstrate that SFF consistently outperforms classical machine learning methods, deep neural networks, and standard transformer models in terms of early-warning lead time, false alarm rate, and inference efficiency while maintaining competitive discriminative performance. Cross-scenario evaluations under diverse thermal conditions further confirm the robustness and generalization capability of the proposed framework. Full article
(This article belongs to the Section Energy Storage System Aging, Diagnosis and Safety)
Show Figures

Figure 1

22 pages, 5007 KB  
Article
Prediction of Forest Fire Occurrence Risk in Heilongjiang Province Under Future Climate Change
by Zechuan Wu, Houchen Li, Mingze Li, Xintai Ma, Yuan Zhou, Yuping Tian, Ying Quan and Jianyang Liu
Forests 2026, 17(4), 414; https://doi.org/10.3390/f17040414 - 26 Mar 2026
Viewed by 305
Abstract
Against the backdrop of climate change, forest fires increasingly undermine ecosystem stability and reshape species distributions in Heilongjiang Province. Therefore, quantifying the drivers of fire occurrence and conducting long-term fire risk forecasting holds critical value for regional ecological security. Centered on the forested [...] Read more.
Against the backdrop of climate change, forest fires increasingly undermine ecosystem stability and reshape species distributions in Heilongjiang Province. Therefore, quantifying the drivers of fire occurrence and conducting long-term fire risk forecasting holds critical value for regional ecological security. Centered on the forested regions of Heilongjiang Province, this study systematically assessed the relative contributions of multi-source factors—including topography, vegetation, and meteorological conditions—to fire occurrence and compared the predictive performance of three models: Deep Neural Network with Residual Connections (ResDNN), Artificial Neural Network (ANN), and Support Vector Machine (SVM). Modeling results based on historical fire records indicated that the ResDNN model achieved the highest accuracy (85.6%). Owing to its robust nonlinear mapping capability, it performed better in capturing complex feature interactions than ANN and SVM. These results demonstrate its strong applicability to forest fire prediction in Heilongjiang Province. Building on these findings, the study employed the best-performing ResDNN model in conjunction with CMIP6 multi-model climate projections to simulate and map the spatiotemporal probability of forest fire occurrence from 2030 to 2070. The results provide an intuitive representation of long-term fire-risk trajectories under future climate scenarios and offer scientific support for regional fire prevention, monitoring, early-warning systems, and forest management under climate change. Full article
(This article belongs to the Section Forest Meteorology and Climate Change)
Show Figures

Figure 1

46 pages, 7683 KB  
Article
Node Symmetry Analysis as an Early Indicator of Locational Marginal Price Growth in Network-Constrained Power Systems with High Renewable Penetration
by Inga Zicmane, Sergejs Kovalenko, Aleksandrs Sahnovskis, Roman Petrichenko and Gatis Junghans
Symmetry 2026, 18(3), 547; https://doi.org/10.3390/sym18030547 - 23 Mar 2026
Viewed by 251
Abstract
The reconstruction of nodal prices and generation patterns in electricity markets with network constraints constitutes a challenging inverse analysis problem due to congestion-induced non-uniqueness and limited observability. This study introduces node symmetry analysis as a novel early indicator of locational marginal price (LMP) [...] Read more.
The reconstruction of nodal prices and generation patterns in electricity markets with network constraints constitutes a challenging inverse analysis problem due to congestion-induced non-uniqueness and limited observability. This study introduces node symmetry analysis as a novel early indicator of locational marginal price (LMP) growth in power systems with high renewable energy penetration. Symmetric nodes, defined as nodes with identical generation cost structures and comparable network topology, exhibit near-identical price signals under uncongested conditions. In this study, the term “price” refers to the LMP obtained from the DC-OPF market-clearing model under scenarios with high renewable energy penetration. Deviations from this symmetry, quantified through price differences between symmetric node pairs (ΔLMP), serve as sensitive indicators of emerging network stress and congestion, providing early warning of peak-price events. Using DC power flow sensitivities and congestion indicators, LMPs are reconstructed in a simplified five-node test system under three scenarios: baseline operation, severe transmission congestion, and high renewable generation variability. Results show strong correlations between symmetry violations and system-wide price increases. In congested scenarios, ΔLMP exceeding €2/MWh consistently precedes peak prices by 1–2 h, demonstrating the metric’s predictive capability. Integration of storage further highlights the operational value of symmetry-based analysis, showing reductions in curtailed renewable generation and peak prices. The proposed framework offers a computationally efficient and interpretable tool for congestion diagnosis, price trend forecasting, and inverse market analysis, with potential scalability to larger AC networks and stochastic scenarios. These findings provide actionable insights for system operators, market participants, and regulators seeking to enhance flexibility, reliability, and economic efficiency in high-renewable electricity markets. Full article
Show Figures

Figure 1

37 pages, 5953 KB  
Article
Fire Detection Using Sound Analysis Based on a Hybrid Artificial Intelligence Algorithm
by Robert-Nicolae Boştinaru, Sebastian-Alexandru Drǎguşin, Nicu Bizon, Dumitru Cazacu and Gabriel-Vasile Iana
Algorithms 2026, 19(3), 240; https://doi.org/10.3390/a19030240 - 23 Mar 2026
Viewed by 290
Abstract
Fire detection is a critical task for early warning systems, particularly in environments where visual sensing is unreliable. While most existing approaches rely on image-based or smoke-based detection, acoustic signals provide complementary information capable of capturing early combustion-related events. This study investigates deep [...] Read more.
Fire detection is a critical task for early warning systems, particularly in environments where visual sensing is unreliable. While most existing approaches rely on image-based or smoke-based detection, acoustic signals provide complementary information capable of capturing early combustion-related events. This study investigates deep learning models for sound-based fire detection, focusing on convolutional and Transformer-based architectures. VGG16 and VGG19 convolutional neural networks are adapted to process time-frequency audio representations for binary classification into Fire and No-Fire classes. An Audio Spectrogram Transformer (AST) is further employed to model long-range temporal dependencies in acoustic data. Finally, a hybrid VGG19-AST architecture is proposed, in which convolutional layers extract local spectral–temporal features, and Transformer-based self-attention performs global sequence modeling. The models are evaluated on a curated dataset containing fire sounds and diverse environmental background noises under multiple noise conditions. Experimental results demonstrate competitive performance across convolutional and Transformer-based models, while the proposed hybrid VGG19-AST architecture achieves the most consistent overall results. The findings suggest that integrating convolutional feature extraction with self-attention-based global modeling enhances robustness under complex acoustic variability. The proposed hybrid framework provides a scalable and cost-effective solution for sound-based fire detection, particularly in scenarios where visual monitoring may be obstructed or ineffective. Full article
Show Figures

Figure 1

28 pages, 22141 KB  
Article
Detection of P-Wave Arrival as a Structural Transition in Seismic Signals: An Approach Based on SVD Entropy
by Margulan Ibraimov, Zhanseit Tuimebayev, Alua Maksutova, Alisher Skabylov, Dauren Zhexebay, Azamat Khokhlov, Lazzat Abdizhalilova, Aliya Aktymbayeva, Yuxiao Qin and Serik Khokhlov
Smart Cities 2026, 9(3), 51; https://doi.org/10.3390/smartcities9030051 - 19 Mar 2026
Viewed by 369
Abstract
Early and reliable detection of P-wave arrivals is critical for seismic monitoring and earthquake early warning, particularly under low signal-to-noise ratio (SNR) and non-stationary noise conditions. This study presents an automatic detection method based on singular value decomposition (SVD) entropy computed in sliding [...] Read more.
Early and reliable detection of P-wave arrivals is critical for seismic monitoring and earthquake early warning, particularly under low signal-to-noise ratio (SNR) and non-stationary noise conditions. This study presents an automatic detection method based on singular value decomposition (SVD) entropy computed in sliding time windows with local signal filtering. Within this framework, the P-wave onset is interpreted as a local structural change in the signal rather than a simple energy increase. SVD entropy captures the redistribution of energy among dominant signal components, providing high sensitivity to the initial P-wave arrival even at moderate and low noise levels (SNR2). The method was validated using real seismic data from four regional stations operating under different noise conditions. Analysis of detection parameters revealed strong station dependence. For stations affected by low-frequency drift, polynomial detrending was identified as a necessary preprocessing step to ensure a stable entropy response and reliable detection. The proposed approach achieves detection accuracies of up to 93–98% at SNR2, significantly outperforming the classical STA/LTA algorithm and demonstrating performance comparable to modern deep learning methods. Since the method does not require model training or labeled datasets, it provides an interpretable and computationally efficient solution for automatic seismic monitoring. These properties make the proposed approach particularly suitable for real-time seismic monitoring systems and distributed sensor networks operating under limited computational resources. All computational stages were performed at the Farabi Supercomputer Centre of Al-Farabi Kazakh National University. The method requires no model training or labeled data, making it an interpretable, robust, and computationally efficient solution for automatic seismic monitoring and early warning systems. Full article
Show Figures

Figure 1

19 pages, 1519 KB  
Article
A Study on AI-Empowered Behavior Risk Identification and Early Warning in Nuclear Power Engineering Construction
by Wenzhao Zhao, Xia Li, Kai Yu, Chunfu Xu, Jianzhan Gao, Kai Xiong and Pingping Liu
Buildings 2026, 16(6), 1178; https://doi.org/10.3390/buildings16061178 - 17 Mar 2026
Viewed by 229
Abstract
Any risks arising during the construction phase of nuclear power projects become permanently embedded in the power station’s lifecycle, evolving into inherent and difficult-to-alter potential hazards. Consequently, identifying behavioral risks in this phase is critical to the successful delivery of nuclear power engineering [...] Read more.
Any risks arising during the construction phase of nuclear power projects become permanently embedded in the power station’s lifecycle, evolving into inherent and difficult-to-alter potential hazards. Consequently, identifying behavioral risks in this phase is critical to the successful delivery of nuclear power engineering projects. This paper proposes a behavior risk identification and early warning methodology for nuclear power construction operations based on artificial intelligence algorithms. The research employs text mining techniques to construct a risk indicator system for nuclear power construction operations; based on the You Only Look Once (YOLOv8) algorithm, it incorporates modules such as Deformable Convolutional Network (DCN), Generalized Lightweight Attention Network (GELAN), Efficient Channel Attention (ECA), and Atrous Spatial Pyramid Pooling (ASPP) to develop the DCN -GELAN-ECA- ASPP-YOLO for Nuclear Power Engineering (DGEAYoLo-NPE) model, and designs and develops a supporting behavior risk identification and early warning methodology. Results show that the precision of nuclear power construction behavioral risk detection reaches 94.3%, with a 2.2% improvement in precision. This study confirms that artificial intelligence technology can effectively enhance the behavior risk prevention and control capabilities of nuclear power construction operations. Full article
(This article belongs to the Special Issue Human Factor on Construction Safety)
Show Figures

Figure 1

Back to TopTop