PIDNN: A Hybrid Intelligent Prediction Model for UAV Battery Degradation
Abstract
1. Introduction
- Thermodynamic-fluid dynamic coupling for UAV battery degradation modeling: Unlike conventional models mainly developed for electric vehicle batteries, the proposed framework is tailored to UAV operating conditions, such as high power density, limited thermal management, and direct exposure to airflow. By coupling heat generation and convective heat transfer, it describes temperature evolution and its effect on electrochemical degradation under extreme thermal conditions.
- Physics-informed neural network with embedded physical constraints: A PIDNN framework is developed by incorporating energy balance, heat conduction, and convective heat transfer equations into the training loss. This design improves physical consistency and generalization while preserving the ability of deep learning to capture nonlinear degradation behavior.
- Comprehensive Multi-Factor Experimental Validation and BMS Integration: Extensive simulation-based experiments are used to evaluate the model across diverse operational scenarios, including discharge C-rate variations (0.5C–2.5C), humidity levels (30–95%), wind speed dynamics (0–12 m/s), and multi-factor coupling conditions (temperature-C-rate-humidity-wind interactions). The results show that the proposed method is more robust than standalone physics-based, SVM, LSTM, and GAN-based models. The framework also shows potential for real-time degradation monitoring and thermal management support in UAV battery management systems.
2. Related Work
3. Methods
3.1. Construction of Thermodynamic and Fluid Dynamic Models for Battery Performance Degradation
3.2. Physics-Informed Deep Neural Network for Battery Performance Degradation Prediction
3.3. Framework Design of the Physics-Driven Deep Neural Network Model
| Algorithm 1: Intelligent Battery Performance Degradation Prediction Model |
| # Step 1: Initialize model parameters and constants initialize_physical_constants () initialize_DNN_structure (layers = [512, 256, 128, 64], activation = ‘ReLU’) set_optimizer (optimizer = ‘Adam’, learning_rate = 0.001) # Step 2: Define physical models (thermodynamics and fluid dynamics) function compute_internal_heat (I, R, η): # Equation (1): Electrochemical heat generation Q_gen = η I^2 R return Q_gen function compute_heat_conduction (k, ∇T): # Equation (2): Fourier heat conduction q = −k ∇T return q function compute_convection_heat (h, A, T_surface, T_env): # Equation (3): Convective heat loss Q_conv = h A (T_surface − T_env) return Q_conv function compute_temperature_distribution (ρ, Cp, k, Q_gen): # Equation (4): Heat balance in battery return solve_heat_distribution (ρ, Cp, k, Q_gen) # Step 3: Data input and preprocessing data = load_sensor_data () # voltage, capacity, internal resistance, temperature, wind speed, humidity X = normalize_features (data.input) # real-time environmental and operational features Y = data.labels # actual degradation values (capacity loss, resistance increase, etc.) # Step 4: Construct hybrid model loss function function loss_function (Y_true, Y_pred, physical_constraint): # Equation (7): Regularized loss loss_data = mean_squared_error (Y_true, Y_pred) loss_physics = constraint_violation_penalty (physical_constraint) return loss_data + λ loss_physics # Step 5: Train the hybrid prediction model for epoch in range (num_epochs): for batch_X, batch_Y in get_batches (X, Y): # Forward pass prediction = DNN.forward (batch_X) # Compute loss loss = loss_function (batch_Y, prediction, physical_model_constraints) # Backpropagation DNN.backward (loss) update_weights (optimizer) # Step 6: Make predictions new_input = get_real_time_data () processed_input = normalize (new_input) final_prediction = DNN.predict (processed_input) # Step 7: Output results output_results (final_prediction) visualize_metrics (PA, MAE, RMSE, BCR, BIRCR) |
4. Experimental Simulation
4.1. Simulation Experiment Design for Battery Degradation Prediction
- (1)
- an environmental and operating input component, which specifies ambient temperature, wind speed, humidity, discharge C-rate, and simulation duration;
- (2)
- a thermal dynamic component, which computes electrochemical heat generation, heat conduction, and convective heat transfer according to Equations (1)–(4);
- (3)
- an electrical equivalent-circuit component, which updates the terminal voltage based on the open-circuit voltage and internal resistance relationship described in Equation (5); and
- (4)
- a degradation state update component, which recursively updates battery capacity fade and internal resistance growth over time.
4.2. Evaluation Indicator Design
- (1)
- Prediction Accuracy (PA): The prediction accuracy reflects the degree of agreement between the model’s predicted values and actual values, usually expressed as a percentage. The calculation formula is:
- (2)
- Mean Absolute Error (MAE): MAE is used to measure the average difference between predicted and actual values, reflecting the degree of deviation in the model’s predictions. The calculation formula is:
- (3)
- Root Mean Square Error (RMSE): RMSE is a standardized way to measure prediction error, which can highlight the impact of larger errors. The calculation formula is:
- (4)
- Battery Capacity Retention (BCR): The battery capacity retention rate is used to measure the degree of capacity degradation of a battery over a certain period of time and is an important indicator of battery degradation. In the present study, BCR is also used as the capacity-based state-of-health (SOH) indicator. The calculation formula is:where denotes the initial rated capacity of the battery before degradation, and represents the remaining battery capacity after a specified period of operation or aging. A higher BCR value indicates a lower degree of capacity degradation and better capacity retention performance of the battery.
- (5)
- Battery Internal Resistance Change Rate (BIRCR): The increase in internal resistance of a battery is an important indicator of battery degradation, which is usually closely related to the charging and discharging efficiency and thermal management of the battery. The formula for calculating the internal resistance change rate is:where is the internal resistance of the battery after degradation, and is the initial internal resistance of the battery. The higher the BIRCR value, the more significant the increase in battery internal resistance and the more severe the performance degradation.
4.3. Sensitivity Analysis of the Weighting Coefficient
4.4. Experimental Simulation Results and Analysis
5. Comparison Experiments and Results Analysis
5.1. Experimental Setup
- (1)
- Physics-Based Model [36]: This method uses thermodynamic and fluid dynamic models to calculate the battery degradation under different environmental conditions, such as temperature. While this method offers a theoretical foundation, it relies on simplifying assumptions and does not account for the complex nonlinear interactions between environmental factors and battery performance.
- (2)
- Pure Data-Driven Machine Learning Model [37]: The study used Support Vector Machines (SVM), a machine learning algorithm, to predict battery degradation based on historical data. The model can handle nonlinear relationships, but it lacks an understanding of the underlying physical processes of battery degradation.
- (3)
- Proposed PIDNN: This method integrates deep neural networks with physics-based degradation models. The PIDNN captures the nonlinear relationships between environmental factors and battery performance, while the physical models provide insight into the thermodynamic and electrochemical processes of battery degradation, offering a more robust and accurate prediction.
- (4)
- LSTM-based Models [38]: LSTM networks are popular for time series prediction tasks, particularly in battery performance forecasting due to their ability to model temporal dependencies in data. The study implemented a comparative analysis using a state-of-the-art LSTM-based model, which was trained on a dataset from similar extreme environmental conditions.
- (5)
- GAN-integrated Hybrid Models: Recent research has explored hybrid approaches that combine GANs with deep learning techniques for generating more accurate battery degradation predictions by simulating new degradation paths from historical data.
5.2. Experimental Results and Analysis
5.3. Discharge C-Rate Variation Experiments
5.4. Humidity Condition Experiments
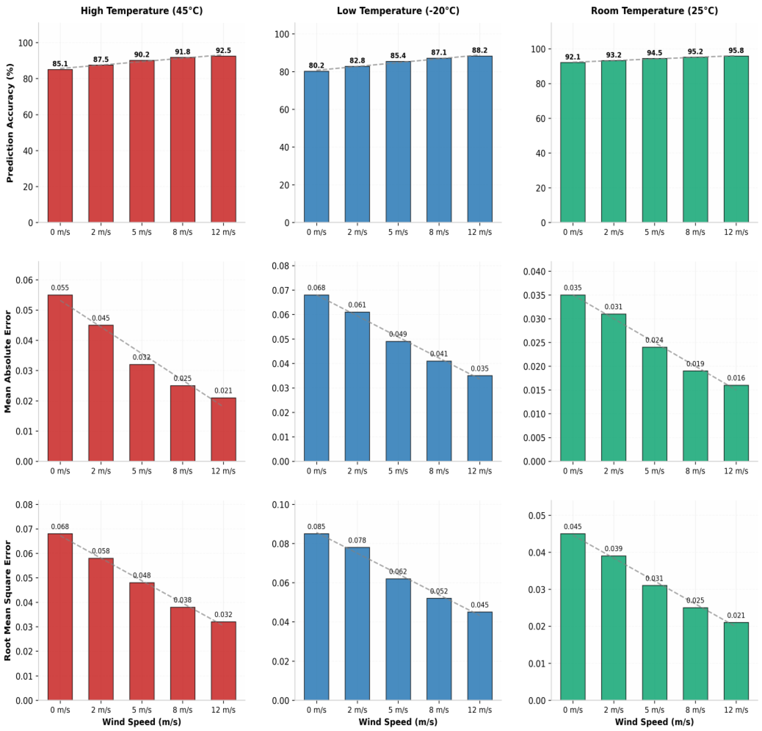
5.5. Wind Speed Variation Experiments
5.6. Multi-Factor Coupling Experiments
6. Discussion
6.1. Interpretation of Key Findings
6.2. Implications for UAV Battery Management
6.3. Limitations and Future Work
7. Conclusions
Author Contributions
Funding
Data Availability Statement
Conflicts of Interest
References
- Emimi, M.; Khaleel, M.; Alkrash, A. The current opportunities and challenges in drone technology. Int. J. Electr. Eng. Sustain. 2023, 1, 74–89. [Google Scholar] [CrossRef]
- Li, N.; Liu, X.; Yu, B.; Li, L.; Xu, J.; Tan, Q. Study on the environmental adaptability of lithium-ion battery powered UAV under extreme temperature conditions. Energy 2021, 219, 119481. [Google Scholar] [CrossRef]
- Apribowo, C.H.B.; Sarjiya, S.; Hadi, S.P.; Wijaya, F.D. Optimal planning of battery energy storage systems by considering battery degradation due to ambient temperature: A review, challenges, and new perspective. Batteries 2022, 8, 290. [Google Scholar] [CrossRef]
- Razi, M.F.I.M.; Daud, Z.H.C.; Asus, Z.; Mazali, I.I.; Ardani, M.I.; Hamid, M.K.A. A review of internal resistance and temperature relationship, state of health and thermal runaway for lithium-ion battery beyond normal operating condition. J. Adv. Res. Fluid Mech. Therm. Sci. 2021, 88, 123–132. [Google Scholar] [CrossRef]
- Wang, L.; Qiu, Y.; Yuan, W.; Tian, Y.; Zhou, Z. Next-generation battery safety management: Machine learning assisted life-time prediction and performance enhancement. J. Energy Chem. 2025, 109, 726–739. [Google Scholar] [CrossRef]
- Sudarshan, M.; Serov, A.; Jones, C.; Ayalasomayajula, S.M.; García, R.E.; Tomar, V. Data-driven autoencoder neural network for onboard BMS lithium-ion battery degradation prediction. J. Energy Storage 2024, 82, 110575. [Google Scholar] [CrossRef]
- Jiao, S.; Zhang, G.; Zhou, M.; Li, G. A comprehensive review of research hotspots on battery management systems for UAVs. IEEE Access 2023, 11, 84636–84650. [Google Scholar] [CrossRef]
- Xie, S.; Sun, J.; Chen, X.; He, Y. Thermal runaway behavior of lithium-ion batteries in different charging states under low pressure. Int. J. Energy Res. 2021, 45, 5795–5805. [Google Scholar] [CrossRef]
- Adenusi, H.; Chass, G.A.; Passerini, S.; Tian, K.V.; Chen, G. Lithium batteries and the solid electrolyte interphase (SEI)—Progress and outlook. Adv. Energy Mater. 2023, 13, 2203307. [Google Scholar] [CrossRef]
- Deshpande, R.D.; Bernardi, D.M. Modeling solid-electrolyte interphase (SEI) fracture: Coupled mechanical/chemical degradation of the lithium ion battery. J. Electrochem. Soc. 2017, 164, A461. [Google Scholar] [CrossRef]
- Wei, G.; Huang, R.; Zhang, G.; Jiang, B.; Zhu, J.; Guo, Y.; Dai, H. A comprehensive insight into the thermal runaway issues in the view of lithium-ion battery intrinsic safety performance and venting gas explosion hazards. Appl. Energy 2023, 349, 121651. [Google Scholar] [CrossRef]
- Xiao, Y.; Liu, M.; Lu, H.; Gao, Z.; Wang, D.; Yang, F.; Yuan, Q. The impact of thermal damage accumulation on thermal runaway behavior of lithium-ion batteries. Energy 2025, 338, 138812. [Google Scholar] [CrossRef]
- He, X.; Ling, Y.; Wu, Y.; Lei, Y.; Cao, D.; Zhang, C. Research progress of electrolytes and electrodes for lithium- and sodium-ion batteries at extreme temperatures. Small 2025, 21, 2412817. [Google Scholar] [CrossRef] [PubMed]
- Liu, C.; Sheng, L.; Jiang, L. Research on performance constraints and electrolyte optimization strategies for lithium-ion batteries at low temperatures. RSC Adv. 2025, 15, 7995–8018. [Google Scholar] [CrossRef]
- Ercan, H.; Ayaz, F.A.; Ulucan, H. Effect of temperature, pressure and humidity on battery consumption in unmanned aerial vehicles. J. Aviat. 2025, 9, 5–12. [Google Scholar] [CrossRef]
- Zhao, T.; Zhang, Y.; Wang, M.; Feng, W.; Cao, S.; Wang, G. A critical review on the battery system reliability of drone systems. Drones 2025, 9, 539. [Google Scholar] [CrossRef]
- Xiao, C.; Wang, B.; Zhao, D.; Wang, C. Comprehensive investigation on lithium batteries for electric and hybrid-electric unmanned aerial vehicle applications. Therm. Sci. Eng. Prog. 2023, 38, 101677. [Google Scholar] [CrossRef]
- Zhao, J.; Qu, X.; Wu, Y.; Fowler, M.; Burke, A.F. Artificial intelligence-driven real-world battery diagnostics. Energy AI 2024, 18, 100419. [Google Scholar] [CrossRef]
- Li, D.; Nan, J.; Burke, A.F.; Zhao, J. Battery prognostics and health management: AI and big data. World Electr. Veh. J. 2024, 16, 10. [Google Scholar] [CrossRef]
- Tao, J.; Wang, S.; Cao, W.; Fernandez, C.; Blaabjerg, F. A comprehensive review of multiple physical and data-driven model fusion methods for accurate lithium-ion battery inner state factor estimation. Batteries 2024, 10, 442. [Google Scholar] [CrossRef]
- Onda, K.; Kameyama, H.; Hanamoto, T.; Ito, K. Experimental study on heat generation behavior of small lithium-ion secondary batteries. J. Electrochem. Soc. 2003, 150, A285–A291. [Google Scholar] [CrossRef]
- Srinivasan, V.; Wang, C.Y. Analysis of electrochemical and thermal behavior of Li-ion cells. J. Electrochem. Soc. 2003, 150, A98–A106. [Google Scholar] [CrossRef]
- Fayaz, H.; Afzal, A.; Samee, A.M.; Soudagar, M.E.M.; Akram, N.; Mujtaba, M.A.; Saleel, C.A. Optimization of thermal and structural design in lithium-ion batteries to obtain energy efficient battery thermal management system: A critical review. Arch. Comput. Methods Eng. 2022, 29, 129–194. [Google Scholar] [CrossRef] [PubMed]
- Maher, K.; Boumaiza, A.; Amin, R. Understanding the heat generation mechanisms and the interplay between joule heat and entropy effects as a function of state of charge in lithium-ion batteries. J. Power Sources 2024, 623, 235504. [Google Scholar] [CrossRef]
- Tang, M.; Wu, C.; Peng, W.; Han, R.; Zhang, S.; Wang, D. Numerical simulation study on the impact of convective heat transfer on lithium battery air cooling thermal model. Appl. Therm. Eng. 2024, 257, 124220. [Google Scholar] [CrossRef]
- Argade, S.; De, A. Optimization study of a Z-type airflow cooling system of a lithium-ion battery pack. Phys. Fluids 2024, 36, 067119. [Google Scholar] [CrossRef]
- Mei, J.; Shi, G.; Chen, M.; Li, Q.; Liu, H.; Liu, S.; Zhang, L. Investigation of thermal runaway characteristics of lithium-ion battery in confined space under the influence of ventilation and humidity. Appl. Therm. Eng. 2024, 257, 124188. [Google Scholar] [CrossRef]
- Lou, Z.; Huang, J.; Su, Z.; Zhang, D.; Wei, X.; Yao, H. Effects of ventilation conditions on thermal runaway of lithium-ion batteries packs in an energy-storage cabin. Process Saf. Environ. Prot. 2025, 196, 106899. [Google Scholar] [CrossRef]
- Wang, Y.; Chen, X.; Li, C.; Yu, Y.; Zhou, G.; Wang, C.; Zhao, W. Temperature prediction of lithium-ion battery based on artificial neural network model. Appl. Therm. Eng. 2023, 228, 120482. [Google Scholar] [CrossRef]
- Wang, Y.; Xiong, C.; Wang, Y.; Xu, P.; Ju, C.; Shi, J.; Chu, J. Temperature state prediction for lithium-ion batteries based on improved physics-informed neural networks. J. Energy Storage 2023, 73, 108863. [Google Scholar] [CrossRef]
- Wang, F.; Zhai, Z.; Zhao, Z.; Di, Y.; Chen, X. Physics-informed neural network for lithium-ion battery degradation stable modeling and prognosis. Nat. Commun. 2024, 15, 4332. [Google Scholar] [CrossRef] [PubMed]
- Yi, Y.; Xia, C.; Feng, C.; Zhang, W.; Fu, C.; Qian, L.; Chen, S. Digital twin–long short-term memory neural network based real-time temperature prediction and degradation model analysis for lithium-ion battery. J. Energy Storage 2023, 64, 107203. [Google Scholar] [CrossRef]
- Du, Z.; Lu, R. Physics-informed neural networks for advanced thermal management in electronics and battery systems: A review of recent developments and future prospects. Batteries 2025, 11, 204. [Google Scholar] [CrossRef]
- Fu, J.; Song, Z.; Meng, J.; Guo, J.; Yang, K.; Liu, W.; Huan, L. AI-augmented electrochemical model for lithium-ion battery: Recent advances and perspectives. J. Energy Chem. 2026, 113, 1056–1080. [Google Scholar] [CrossRef]
- Gu, W.B.; Wang, C.Y. Thermal-electrochemical modeling of battery systems. J. Electrochem. Soc. 2000, 147, 2910–2922. [Google Scholar] [CrossRef]
- Kim, H.K.; Lee, K.J. Scale-up of physics-based models for predicting degradation of large lithium-ion batteries. Sustainability 2020, 12, 8544. [Google Scholar] [CrossRef]
- Wang, Y.; Ni, Y.; Lu, S.; Wang, J.; Zhang, X. Remaining useful life prediction of lithium-ion batteries using support vector regression optimized by artificial bee colony. IEEE Trans. Veh. Technol. 2019, 68, 9543–9553. [Google Scholar] [CrossRef]
- Hussein, H.M.; Esoofally, M.; Donekal, A.; Rafin, S.S.H.; Mohammed, O. Comparative study-based data-driven models for lithium-ion battery state-of-charge estimation. Batteries 2024, 10, 89. [Google Scholar] [CrossRef]













| Input Variable | Description | Dimension |
|---|---|---|
| Voltage | Simulated battery terminal voltage | 1 |
| Capacity | Simulated battery capacity | 1 |
| Internal resistance | Simulated battery internal resistance | 1 |
| Temperature | Simulated temperature | 1 |
| Wind speed | Simulated wind speed | 1 |
| Humidity | Simulated ambient humidity | 1 |
| Total input dimension | 6 |
| Experimental Group | Temperature (°C) | Experiment Duration (Hours) | Battery Voltage (V) | Battery Capacity (Ah) | Internal Resistance of Battery (Ω) |
|---|---|---|---|---|---|
| High Temperature | 45 | 400 | 3.7 | 2.0 | 0.02 |
| Low Temperature | −20 | 400 | 3.7 | 2.0 | 0.02 |
| Room Temperature | 25 | 400 | 3.7 | 2.0 | 0.02 |
| λ | MAE | RMSE |
|---|---|---|
| 0 | 0.084 | 0.112 |
| 0.1 | 0.071 | 0.096 |
| 0.2 | 0.068 | 0.092 |
| 0.5 | 0.064 | 0.088 |
| 1 | 0.066 | 0.09 |
| 2 | 0.07 | 0.095 |
| 5 | 0.078 | 0.104 |
| 10 | 0.091 | 0.121 |
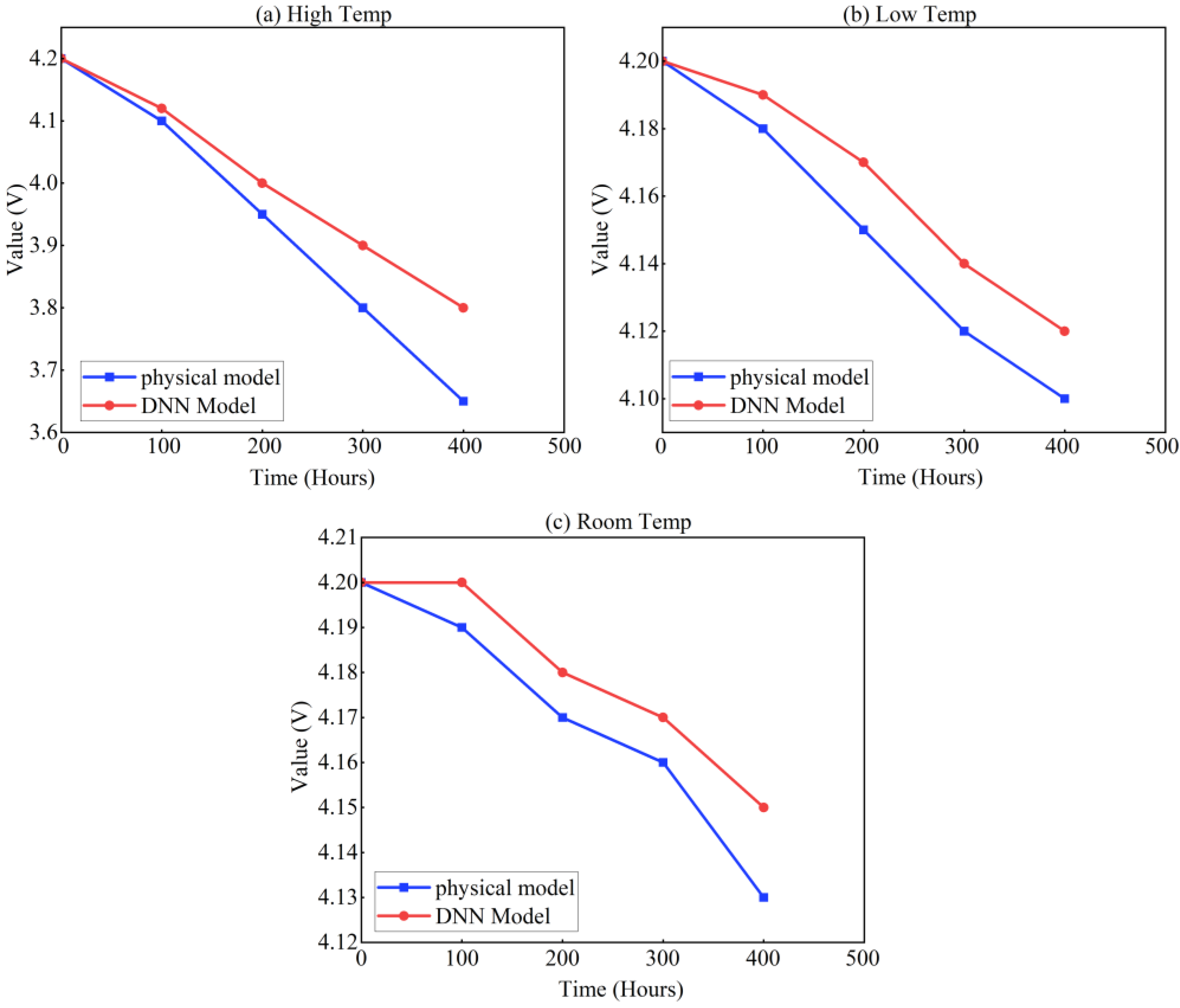
| Time (Hours) | Voltage (High Temp, V) | Voltage (Low Temp, V) | Voltage (Room Temp, V) | |||
|---|---|---|---|---|---|---|
| Physical Model | DNN Model | Physical Model | DNN Model | Physical Model | DNN Model | |
| 0 | 4.20 | 4.20 | 4.20 | 4.20 | 4.20 | 4.20 |
| 100 | 4.10 | 4.12 | 4.18 | 4.19 | 4.19 | 4.20 |
| 200 | 3.95 | 4.00 | 4.15 | 4.17 | 4.17 | 4.18 |
| 300 | 3.8 | 3.9 | 4.12 | 4.14 | 4.16 | 4.17 |
| 400 | 3.65 | 3.8 | 4.1 | 4.12 | 4.13 | 4.15 |
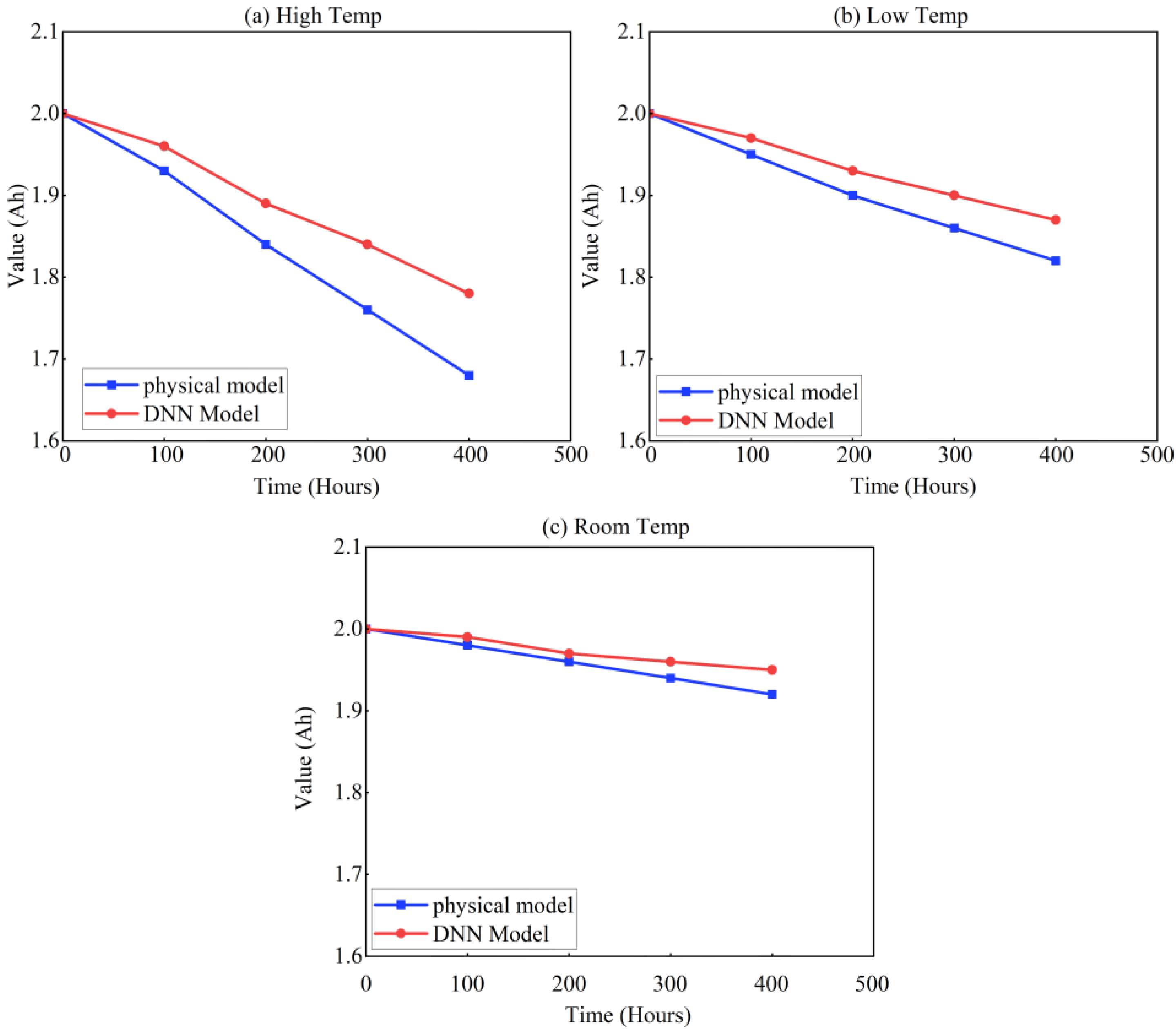
| Time (Hours) | Capacity (High Temp, Ah) | Capacity (Low Temp, Ah) | Capacity (Room Temp, Ah) | |||
|---|---|---|---|---|---|---|
| Physical Model | DNN Model | Physical Model | DNN Model | Physical Model | DNN Model | |
| 0 | 2 | 2 | 2 | 2 | 2 | 2 |
| 100 | 1.93 | 1.96 | 1.95 | 1.97 | 1.98 | 1.99 |
| 200 | 1.84 | 1.89 | 1.90 | 1.93 | 1.96 | 1.97 |
| 300 | 1.76 | 1.84 | 1.86 | 1.90 | 1.94 | 1.96 |
| 400 | 1.68 | 1.78 | 1.82 | 1.87 | 1.92 | 1.95 |
| Time (Hours) | BCR (High Temp, %) | BCR (Low Temp, %) | BCR (Room Temp, %) | |||
|---|---|---|---|---|---|---|
| Physical Model | DNN Model | Physical Model | DNN Model | Physical Model | DNN Model | |
| 0 | 100 | 100 | 100 | 100 | 100 | 100 |
| 100 | 96.5 | 98.0 | 97.5 | 98.5 | 99.0 | 99.5 |
| 200 | 92.0 | 95.0 | 95.5 | 97.0 | 98.0 | 98.5 |
| 300 | 88.0 | 92.0 | 93.0 | 95.0 | 97.0 | 97.5 |
| 400 | 84.0 | 89.0 | 91.0 | 93.5 | 96.0 | 97.0 |
| Time (Hours) | Resistance (High Temp, Ω) | Resistance (Low Temp, Ω) | Resistance (Room Temp, Ω) | |||
|---|---|---|---|---|---|---|
| Physical Model | DNN Model | Physical Model | DNN Model | Physical Model | DNN Model | |
| 0 | 0.02 | 0.02 | 0.02 | 0.02 | 0.02 | 0.02 |
| 100 | 0.05 | 0.042 | 0.06 | 0.05 | 0.022 | 0.021 |
| 200 | 0.09 | 0.07 | 0.08 | 0.065 | 0.025 | 0.023 |
| 300 | 0.14 | 0.105 | 0.1 | 0.08 | 0.027 | 0.025 |
| 400 | 0.2 | 0.15 | 0.12 | 0.095 | 0.03 | 0.027 |
| Time (Hours) | BIRCR (High Temp, %) | BIRCR (Low Temp, %) | BIRCR (Room Temp, %) | |||
|---|---|---|---|---|---|---|
| Physical Model | DNN Model | Physical Model | DNN Model | Physical Model | DNN Model | |
| 0 | 0 | 0 | 0 | 0 | 0 | 0 |
| 100 | 150 | 110 | 200 | 150 | 10 | 5 |
| 200 | 350 | 250 | 300 | 225 | 25 | 15 |
| 300 | 600 | 425 | 400 | 300 | 35 | 25 |
| 400 | 900 | 650 | 500 | 375 | 50 | 35 |
| Environmental Condition | Physics-Based Model (%) | SVM (%) | LSTM (%) | GAN (%) | Proposed Model (PIDNN) (%) |
|---|---|---|---|---|---|
| High Temperature | 85.20% | 87.50% | 88.50% | 88.00% | 90.20% |
| Low Temperature | 80.50% | 80.10% | 82.10% | 82.20% | 85.40% |
| Room Temperature | 92.30% | 93.00% | 93.70% | 94.00% | 94.50% |
| Environmental Condition | Physics-Based Model | SVM | LSTM | GAN | Proposed Model (PIDNN) |
|---|---|---|---|---|---|
| High Temperature | 0.057 | 0.045 | 0.038 | 0.039 | 0.032 |
| Low Temperature | 0.072 | 0.065 | 0.055 | 0.056 | 0.049 |
| Room Temperature | 0.041 | 0.034 | 0.029 | 0.028 | 0.024 |
| Environmental Condition | Physics-Based Model | SVM | LSTM | GAN | Proposed Model (PIDNN) |
|---|---|---|---|---|---|
| High Temperature | 0.070 | 0.058 | 0.050 | 0.052 | 0.048 |
| Low Temperature | 0.089 | 0.081 | 0.069 | 0.071 | 0.062 |
| Room Temperature | 0.051 | 0.043 | 0.036 | 0.035 | 0.031 |
| C-Rate | High Temp PA (%) | Low Temp PA (%) | Room Temp PA (%) |
|---|---|---|---|
| 0.5C | 88.5 | 82.1 | 93.2 |
| 1.0C | 90.2 | 85.4 | 94.5 |
| 1.5C | 87.3 | 83.2 | 93.8 |
| 2.0C | 84.1 | 79.8 | 92.1 |
| 2.5C | 80.5 | 75.3 | 90.5 |
| Humidity | High Temp PA (%) | Low Temp PA (%) | Room Temp PA (%) |
|---|---|---|---|
| 30% | 89.2 | 84.5 | 94.2 |
| 50% | 90.2 | 85.4 | 94.5 |
| 70% | 88.5 | 84.1 | 94.0 |
| 85% | 86.1 | 81.2 | 93.1 |
| 95% | 82.3 | 77.5 | 91.8 |
| Wind Speed | High Temp PA (%) | Low Temp PA (%) | Room Temp PA (%) |
|---|---|---|---|
| 0 m/s | 85.1 | 80.2 | 92.1 |
| 2 m/s | 87.5 | 82.8 | 93.2 |
| 5 m/s | 90.2 | 85.4 | 94.5 |
| 8 m/s | 91.8 | 87.1 | 95.2 |
| 12 m/s | 92.5 | 88.2 | 95.8 |
| Scenario | High Temp PA (%) | Low Temp PA (%) | Room Temp PA (%) |
|---|---|---|---|
| Temp Only | 90.2 | 85.4 | 94.5 |
| Temp + C-rate | 88.5 | 83.2 | 93.8 |
| Temp + Humidity | 89.1 | 84.5 | 94.2 |
| Temp + Wind | 91.5 | 86.8 | 95.1 |
| All Factors | 90.8 | 86.2 | 94.8 |
Disclaimer/Publisher’s Note: The statements, opinions and data contained in all publications are solely those of the individual author(s) and contributor(s) and not of MDPI and/or the editor(s). MDPI and/or the editor(s) disclaim responsibility for any injury to people or property resulting from any ideas, methods, instructions or products referred to in the content. |
© 2026 by the authors. Licensee MDPI, Basel, Switzerland. This article is an open access article distributed under the terms and conditions of the Creative Commons Attribution (CC BY) license.
Share and Cite
Duan, M.; Lu, M.; Jin, H. PIDNN: A Hybrid Intelligent Prediction Model for UAV Battery Degradation. Batteries 2026, 12, 124. https://doi.org/10.3390/batteries12040124
Duan M, Lu M, Jin H. PIDNN: A Hybrid Intelligent Prediction Model for UAV Battery Degradation. Batteries. 2026; 12(4):124. https://doi.org/10.3390/batteries12040124
Chicago/Turabian StyleDuan, Mengmeng, Mingyu Lu, and Huiqing Jin. 2026. "PIDNN: A Hybrid Intelligent Prediction Model for UAV Battery Degradation" Batteries 12, no. 4: 124. https://doi.org/10.3390/batteries12040124
APA StyleDuan, M., Lu, M., & Jin, H. (2026). PIDNN: A Hybrid Intelligent Prediction Model for UAV Battery Degradation. Batteries, 12(4), 124. https://doi.org/10.3390/batteries12040124
