Development of a pH-Responsive Delivery System Suitable for Naringenin and Other Hydrophobic Flavonoids Using the Interactions Between Basil Seed Gum and Milk Protein Complexes
Abstract
1. Introduction
2. Material and Methods
2.1. Materials
2.2. Methods
2.2.1. Extraction of BSG
2.2.2. Composition Analysis
2.2.3. Total Uronic Acid Analysis
2.2.4. Acid Dissociation Constant (pKa) of the Polysaccharide-Rich BSG-WSE
2.2.5. Molecular Characteristics of BSG-WSE
2.2.6. Preparation of BSG and Protein Mixtures to Encapsulate Naringenin
2.2.7. Physical Stability Measurements
2.2.8. Encapsulation Efficiency (EE%) and Loading Capacity (LC%)
2.2.9. Fourier-Transform Infrared Spectroscopy
2.2.10. Structural Morphology
2.2.11. Flow Behavior
2.2.12. X-Ray Diffraction (XRD) of the Lyophilized Powder
2.2.13. Zeta Potential and Particle Size of the Particles
2.2.14. Release Behavior at Different pH Values
2.2.15. Data Analysis
3. Results and Discussion
3.1. Characterization of BSG-WSE
3.1.1. Proximate Composition of BSG-WSE


3.1.2. Molecular Characteristics of BSG-WSE
3.2. Encapsulation Efficiency and Loading Capacity
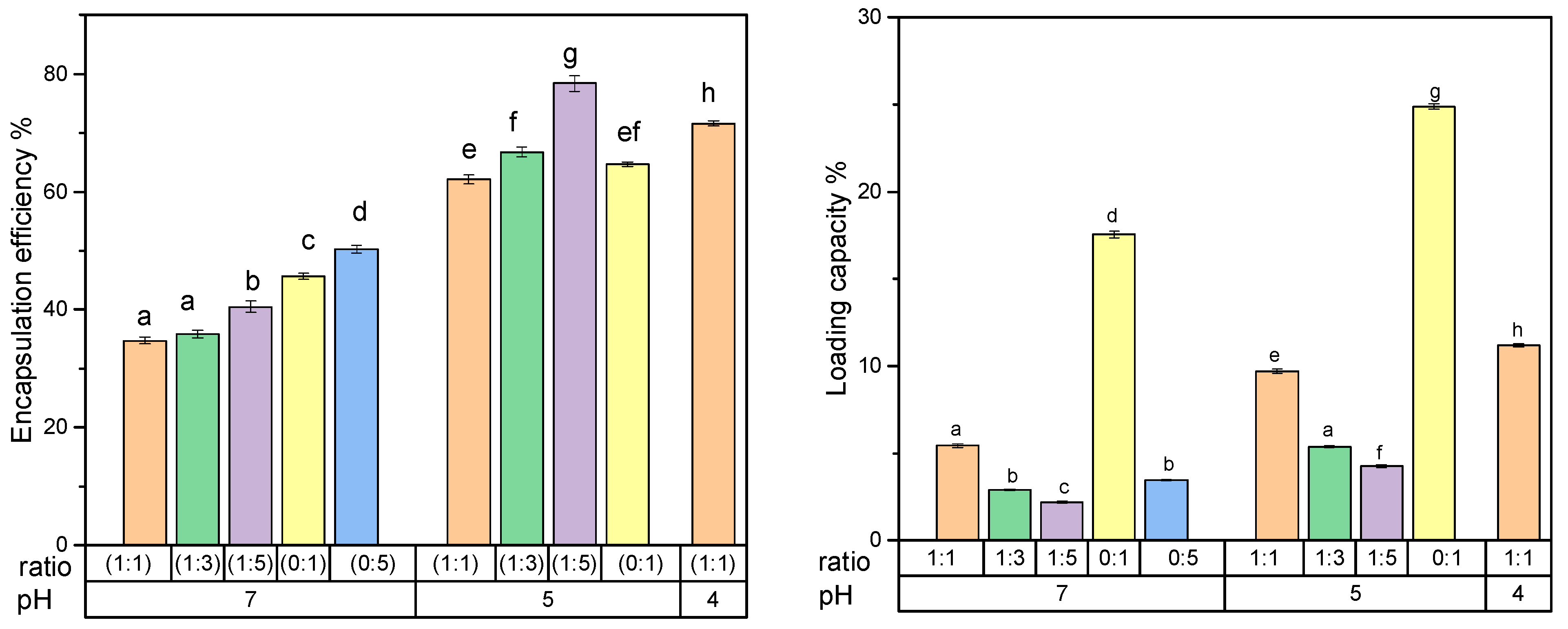
3.2.1. Effect of Mixing Ratio, pH, and Temperature
3.2.2. Effect of WPI on the Encapsulation System
3.2.3. Comparison with Other Flavonoids
3.3. Possible Interactions in Encapsulation Systems
3.4. Powder X-Ray Diffraction Patterns
3.5. Morphology of Ternary Mixtures

3.6. Flow Curves
3.7. pH Stability of the System
4. Conclusions
Author Contributions
Funding
Institutional Review Board Statement
Informed Consent Statement
Data Availability Statement
Conflicts of Interest
References
- Cai, J.; Wen, H.; Zhou, H.; Zhang, D.; Lan, D.; Liu, S.; Li, C.; Dai, X.; Song, T.; Wang, X.; et al. Naringenin: A flavanone with anti-inflammatory and anti-infective properties. Biomed. Pharmacother. 2023, 164, 114990. [Google Scholar] [CrossRef]
- Joshi, R.; Kulkarni, Y.A.; Wairkar, S. Pharmacokinetic, pharmacodynamic and formulations aspects of Naringenin: An update. Life Sci. 2018, 215, 43–56. [Google Scholar] [CrossRef]
- Zeng, W.; Jin, L.; Zhang, F.; Zhang, C.; Liang, W. Naringenin as a potential immunomodulator in therapeutics. Pharmacol. Res. 2018, 135, 122–126. [Google Scholar] [CrossRef]
- Youdim, K.A.; Qaiser, M.Z.; Begley, D.J.; Rice-Evans, C.A.; Abbott, N.J. Flavonoid permeability across an in situ model of the blood-brain barrier. Free Radic. Biol. Med. 2004, 36, 592–604. [Google Scholar] [CrossRef]
- Agrawal, P.K.; Agrawal, C.; Blunden, G. Naringenin as a Possible Candidate Against SARS-CoV-2 Infection and in the Pathogenesis of COVID-19. Nat. Prod. Commun. 2021, 16, 1934578X211066723. [Google Scholar] [CrossRef]
- Alberca, R.W.; Teixeira, F.M.E.; Beserra, D.R.; de Oliveira, E.A.; Andrade, M.M.d.S.; Pietrobon, A.J.; Sato, M.N. Perspective: The Potential Effects of Naringenin in COVID-19. Front. Immunol. 2020, 11, 570919. [Google Scholar] [CrossRef]
- Liu, S.; Zhong, M.; Wu, H.; Su, W.; Wang, Y.; Li, P. Potential Beneficial Effects of Naringin and Naringenin on Long COVID-A Review of the Literature. Microorganisms 2024, 12, 332. [Google Scholar] [CrossRef] [PubMed]
- Stasiłowicz-Krzemień, A.; Gołębiewski, M.; Płazińska, A.; Płaziński, W.; Miklaszewski, A.; Żarowski, M.; Adamska-Jernaś, Z.; Cielecka-Piontek, J. The Systems of Naringenin with Solubilizers Expand Its Capability to Prevent Neurodegenerative Diseases. Int. J. Mol. Sci. 2022, 23, 755. [Google Scholar] [CrossRef] [PubMed]
- Elsori, D.; Pandey, P.; Ramniwas, S.; Kumar, R.; Lakhanpal, S.; Rab, S.O.; Siddiqui, S.; Singh, A.; Saeed, M.; Khan, F. Naringenin as potent anticancer phytocompound in breast carcinoma: From mechanistic approach to nanoformulations based therapeutics. Front. Pharmacol. 2024, 15, 1406619. [Google Scholar] [CrossRef] [PubMed]
- Chen, M.; Li, R.; Gao, Y.; Zheng, Y.; Liao, L.; Cao, Y.; Li, J.; Zhou, W. Encapsulation of Hydrophobic and Low-Soluble Polyphenols into Nanoliposomes by pH-Driven Method: Naringenin and Naringin as Model Compounds. Foods 2021, 10, 963. [Google Scholar] [CrossRef]
- Bhia, M.; Motallebi, M.; Abadi, B.; Zarepour, A.; Pereira-Silva, M.; Saremnejad, F.; Santos, A.C.; Zarrabi, A.; Melero, A.; Jafari, S.M.; et al. Naringenin Nano-Delivery Systems and Their Therapeutic Applications. Pharmaceutics 2021, 13, 291. [Google Scholar] [CrossRef] [PubMed]
- Mortazavi Moghadam, F.A.; Khoshkalampour, A.; Mortazavi Moghadam, F.A.; PourvatanDoust, S.; Naeijian, F.; Ghorbani, M. Preparation and physicochemical evaluation of casein/basil seed gum film integrated with guar gum/gelatin based nanogel containing lemon peel essential oil for active food packaging application. Int. J. Biol. Macromol. 2023, 224, 786–796. [Google Scholar] [CrossRef]
- Feng, Y.; Jin, C.; Lv, S.; Zhang, H.; Ren, F.; Wang, J. Molecular Mechanisms and Applications of Polyphenol-Protein Complexes with Antioxidant Properties: A Review. Antioxidants 2023, 12, 1577. [Google Scholar] [CrossRef]
- Islam, M.M.; Raikwar, S. Enhancement of Oral Bioavailability of Protein and Peptide by Polysaccharide-based Nanoparticles. Protein Pept. Lett. 2024, 31, 209–228. [Google Scholar] [CrossRef]
- Sarabi-Aghdam, V.; Hosseini-Parvar, S.H.; Motamedzadegan, A.; Razi, S.M. Phase behavior and rheological properties of basil seed gum/whey protein isolate mixed dispersions and gels. Food Sci. Nutr. 2021, 9, 1881–1895. [Google Scholar] [CrossRef]
- Behrouzain, F.; Razavi, S.M.A. Structure-rheology relationship of basil seed gum-whey protein isolate mixture: Effect of thermal treatment and biopolymer ratio. Food Hydrocoll. 2020, 102, 105608. [Google Scholar] [CrossRef]
- Nosouhian, E.; Hojjatoleslamy, M.; Goli, M.; Jafari, M.; Kiani, H. Investigating the functional properties of soy protein isolate conjugated with oxidized basil seed gum through Maillard reaction in food systems. J. Food Meas. Charact. 2023, 17, 6214–6221. [Google Scholar] [CrossRef]
- Sarabi-Aghdam, V.; Hosseini-Parvar, S.H.; Motamedzadegan, A.; Razi, S.M.; Rashidinejad, A. Characterization of Aqueous Dispersions and Gels Made of Sodium Caseinate and Basil Seed Gum: Phase Behavior, Rheology, and Microstructure. Food Biophys. 2020, 15, 495–508. [Google Scholar] [CrossRef]
- Mirarab Razi, S.; Motamedzadegan, A.; Shahidi, A.; Rashidinejad, A. The effect of basil seed gum (BSG) on the rheological and physicochemical properties of heat-induced egg albumin gels. Food Hydrocoll. 2018, 82, 268–277. [Google Scholar] [CrossRef]
- Hosseini-Parvar, S.H.; Matia-Merino, L.; Goh, K.K.T.; Razavi, S.M.A.; Mortazavi, S.A. Steady shear flow behavior of gum extracted from Ocimum basilicum L. seed: Effect of concentration and temperature. J. Food Eng. 2010, 101, 236–243. [Google Scholar] [CrossRef]
- Rayegan, A.; Allafchian, A.; Abdolhosseini Sarsari, I.; Kameli, P. Synthesis and characterization of basil seed mucilage coated Fe3O4 magnetic nanoparticles as a drug carrier for the controlled delivery of cephalexin. Int. J. Biol. Macromol. 2018, 113, 317–328. [Google Scholar] [CrossRef] [PubMed]
- AOAC International; Horwitz, W.; Latimer, G.W. Official Methods of Analysis of AOAC International; AOAC International: Rockville, MD, USA, 2012. [Google Scholar]
- Blumenkrantz, N.; Asboe-Hansen, G. New method for quantitative determination of uronic acids. Anal. Biochem. 1973, 54, 484–489. [Google Scholar] [CrossRef]
- Brodkorb, A.; Egger, L.; Alminger, M.; Alvito, P.; Assunção, R.; Ballance, S.; Bohn, T.; Bourlieu-Lacanal, C.; Boutrou, R.; Carrière, F.; et al. INFOGEST static in vitro simulation of gastrointestinal food digestion. Nat. Protoc. 2019, 14, 991–1014. [Google Scholar] [CrossRef] [PubMed]
- Naji-Tabasi, S.; Razavi, S.M.A.; Mohebbi, M.; Malaekeh-Nikouei, B. New studies on basil (Ocimum bacilicum L.) seed gum: Part I—Fractionation, physicochemical and surface activity characterization. Food Hydrocoll. 2016, 52, 350–358. [Google Scholar] [CrossRef]
- Alba, K.; Kontogiorgos, V. Chapter 2—Techniques for the chemical and physicochemical characterization of polysaccharides. In Handbook of Hydrocolloids, 3rd ed.; Phillips, G.O., Williams, P.A., Eds.; Woodhead Publishing: Cambridge, UK, 2021; pp. 27–74. [Google Scholar] [CrossRef]
- Goh, K.K.T.; Matia-Merino, L.; Chiang, J.H.; Quek, R.; Soh, S.J.B.; Lentle, R.G. The physico-chemical properties of chia seed polysaccharide and its microgel dispersion rheology. Carbohydr. Polym. 2016, 149, 297–307. [Google Scholar] [CrossRef]
- Burchard, W. Light Scattering Techniques. In Physical Techniques for the Study of Food Biopolymers; Ross-Murphy, S.B., Ed.; Springer: Boston, MA, USA, 1994; pp. 151–213. [Google Scholar] [CrossRef]
- Kreitschitz, A.; Gorb, S.N. The micro- and nanoscale spatial architecture of the seed mucilage—Comparative study of selected plant species. PLoS ONE 2018, 13, e0200522. [Google Scholar] [CrossRef]
- Wu, M.; Li, W.; Zhang, Y.; Shi, L.; Xu, Z.; Xia, W.; Zhang, W. Structure characteristics, hypoglycemic and immunomodulatory activities of pectic polysaccharides from Rosa setate x Rosa rugosa waste. Carbohydr. Polym. 2021, 253, 117190. [Google Scholar] [CrossRef]
- Nunes, N.M.; Coelho, Y.L.; Castro, J.S.; Vidigal, M.C.T.R.; Mendes, T.A.O.; da Silva, L.H.M.; Pires, A.C.S. Naringenin-lactoferrin binding: Impact on naringenin bitterness and thermodynamic characterization of the complex. Food Chem. 2020, 331, 127337. [Google Scholar] [CrossRef]
- Wang, A.; Jain, S.; Dia, V.; Lenaghan, S.C.; Zhong, Q. Shellac Micelles Loaded with Curcumin Using a pH Cycle to Improve Dispersibility, Bioaccessibility, and Potential for Colon Delivery. J. Agric. Food Chem. 2022, 70, 15166–15177. [Google Scholar] [CrossRef] [PubMed]
- Zhang, J.; Hassane Hamadou, A.; Chen, C.; Xu, B. Encapsulation of phenolic compounds within food-grade carriers and delivery systems by pH-driven method: A systematic review. Crit. Rev. Food Sci. Nutr. 2023, 63, 4153–4174. [Google Scholar] [CrossRef]
- Wu, C.-L.; Chen, Q.-H.; Li, X.-Y.; Su, J.-h.; He, S.; Liu, J.; Yuan, Y. Formation and characterisation of food protein–polysaccharide thermal complex particles: Effects of pH, temperature and polysaccharide type. Int. J. Food Sci. Technol. 2019, 55, 1368–1374. [Google Scholar] [CrossRef]
- Cortez-Trejo, M.C.; Figueroa-Cárdenas, J.D.; Quintanar-Guerrero, D.; Baigts-Allende, D.K.; Manríquez, J.; Mendoza, S. Effect of pH and protein-polysaccharide ratio on the intermolecular interactions between amaranth proteins and xanthan gum to produce electrostatic hydrogels. Food Hydrocoll. 2022, 129, 107648. [Google Scholar] [CrossRef]
- Igartúa, D.E.; Platania, F.A.; Balcone, A.; Palazolo, G.G.; Cabezas, D.M. Impact of heat treatment in whey proteins-soluble soybean polysaccharides electrostatic complexes in different pH and biopolymer mass ratio conditions. Appl. Food Res. 2022, 2, 100184. [Google Scholar] [CrossRef]
- Babu, A.; Shams, R.; Dash, K.K.; Shaikh, A.M.; Kovács, B. Protein-polysaccharide complexes and conjugates: Structural modifications and interactions under diverse treatments. J. Agric. Food Res. 2024, 18, 101510. [Google Scholar] [CrossRef]
- Yin, X.; Cheng, H.; Wusigale; Dong, H.; Huang, W.; Liang, L. Resveratrol Stabilization and Loss by Sodium Caseinate, Whey and Soy Protein Isolates: Loading, Antioxidant Activity, Oxidability. Antioxidants 2022, 11, 647. [Google Scholar] [CrossRef]
- Morr, C.V.; Ha, E.Y.W. Whey protein concentrates and isolates: Processing and functional properties. Crit. Rev. Food Sci. Nutr. 1993, 33, 431–476. [Google Scholar] [CrossRef] [PubMed]
- Mao, T.; Wescombe, P.; Mohan, M.S. Predominance of non-covalent interactions of polyphenols with milk proteins and their health promoting properties. Crit. Rev. Food Sci. Nutr. 2024, 64, 11871–11893. [Google Scholar] [CrossRef] [PubMed]
- Veiko, A.G.; Lapshina, E.A.; Zavodnik, I.B. Comparative analysis of molecular properties and reactions with oxidants for quercetin, catechin, and naringenin. Mol. Cell. Biochem. 2021, 476, 4287–4299. [Google Scholar] [CrossRef]
- Tu, B.; Chen, Z.-F.; Liu, Z.-J.; Li, R.-R.; Ouyang, Y.; Hu, Y.-J. Study of the structure-activity relationship of flavonoids based on their interaction with human serum albumin. RSC Adv. 2015, 5, 73290–73300. [Google Scholar] [CrossRef]
- Wang, Y.; Zou, R.; Zhou, Y.; Zheng, Y.; Peng, C.; Liu, Y.; Tan, H.; Fu, Q.; Ding, M. Unraveling mechanisms of protein encapsulation and release in coacervates via molecular dynamics and machine learning. Chem. Sci. 2024, 15, 13442–13451. [Google Scholar] [CrossRef]
- Naji-Tabasi, S.; Razavi, S.M.A.; Mehditabar, H. Fabrication of basil seed gum nanoparticles as a novel oral delivery system of glutathione. Carbohydr. Polym. 2017, 157, 1703–1713. [Google Scholar] [CrossRef]
- Guo, Q.; Ai, L.; Cui, S.W. Fourier Transform Infrared Spectroscopy (FTIR) for Carbohydrate Analysis. In Methodology for Structural Analysis of Polysaccharides; Guo, Q., Ai, L., Cui, S., Eds.; Springer International Publishing: Cham, Switzerland, 2018; pp. 69–71. [Google Scholar] [CrossRef]
- Xu, W.; Zhou, W.; Sun, J.; Chen, W.; Wu, X.; Guan, T.; Zhao, Y.; Yang, P.; Hu, Z.; Li, G. Isolation, structural characterization, and hypoglycemic activity of polysaccharides from the stems of Panax ginseng C. A. Meyer. Front. Sustain. Food Syst. 2024, 8, 5. [Google Scholar] [CrossRef]
- Thombare, N.; Mahto, A.; Singh, D.; Chowdhury, A.R.; Ansari, M.F. Comparative FTIR Characterization of Various Natural Gums: A Criterion for Their Identification. J. Polym. Environ. 2023, 31, 3372–3380. [Google Scholar] [CrossRef]
- Naji-Tabasi, S.; Razavi, S.M.A. Functional properties and applications of basil seed gum: An overview. Food Hydrocoll. 2017, 73, 313–325. [Google Scholar] [CrossRef]
- Guo, Q.; Ma, Q.; Xue, Z.; Gao, X.; Chen, H. Studies on the binding characteristics of three polysaccharides with different molecular weight and flavonoids from corn silk (Maydis stigma). Carbohydr. Polym. 2018, 198, 581–588. [Google Scholar] [CrossRef] [PubMed]
- Liu, J.; Ma, Y.; Ukwatta, R.H.; Xue, F.; Xiong, X.; Li, C. Protein-polyphenol conjugation through alkali treatment improves the structure and functionality of gluten. J. Food Meas. Charact. 2024, 18, 8638–8650. [Google Scholar] [CrossRef]
- Czubinski, J.; Dwiecki, K. A review of methods used for investigation of protein–phenolic compound interactions. Int. J. Food Sci. Technol. 2016, 52, 573–585. [Google Scholar] [CrossRef]
- Xue, H.; Feng, J.; Tang, Y.; Wang, X.; Tang, J.; Cai, X.; Zhong, H. Research progress on the interaction of the polyphenol–protein–polysaccharide ternary systems. Chem. Biol. Technol. Agric. 2024, 11, 95. [Google Scholar] [CrossRef]
- Orrego-Lagarón, N.; Martínez-Huélamo, M.; Vallverdú-Queralt, A.; Lamuela-Raventos, R.M.; Escribano-Ferrer, E. High gastrointestinal permeability and local metabolism of naringenin: Influence of antibiotic treatment on absorption and metabolism. Br. J. Nutr. 2015, 114, 169–180. [Google Scholar] [CrossRef] [PubMed]
- Alam, M.A.; Subhan, N.; Rahman, M.M.; Uddin, S.J.; Reza, H.M.; Sarker, S.D. Effect of citrus flavonoids, naringin and naringenin, on metabolic syndrome and their mechanisms of action. Adv. Nutr. 2014, 5, 404–417. [Google Scholar] [CrossRef] [PubMed]
- Ahmad, A.; Prakash, R.; Khan, M.S.; Altwaijry, N.; Asghar, M.N.; Raza, S.S.; Khan, R. Enhanced Antioxidant Effects of Naringenin Nanoparticles Synthesized using the High-Energy Ball Milling Method. ACS Omega 2022, 7, 34476–34484. [Google Scholar] [CrossRef]
- Rashidinejad, A.; Loveday, S.M.; Jameson, G.B.; Hindmarsh, J.P.; Singh, H. Rutin-casein co-precipitates as potential delivery vehicles for flavonoid rutin. Food Hydrocoll. 2019, 96, 451–462. [Google Scholar] [CrossRef]
- Kamigaki, T. Microstructural Observation of Dairy Products Using High-pressure Freezing in Combination with Cryo-scanning Electron Microscopy. Food Sci. Technol. Res. 2020, 26, 743–747. [Google Scholar] [CrossRef]
- Zhao, S.; Wang, R.; Xu, Y.; Wang, C.; Xu, J.; Wang, P.; Fu, Y.; Su, J.; Chai, H.; He, J.; et al. The Effect of Polysaccharide Colloids on the Thermal Stability of Water-in-Oil Emulsions. Polymers 2025, 17, 809. [Google Scholar] [CrossRef]












| Component | Amount Present |
|---|---|
| Ash | 19.1% ± 0.3 |
| Crude protein | 11.45% ± 1.62 |
| Fat | 1.55% ± 0.21 |
| Calcium | 2.5 mg/g |
| Glucuronic acid | 41.17% ± 14.28 |
| pH | Ratio | Size (nm) | PDI | Zeta Potential (mV) | Encapsulation Efficiency (%) |
|---|---|---|---|---|---|
| 7 | 1-1 | 3410 ± 6.42 a | NA | −32.98 ± 0.28 a | 34.76 ± 1.00 a |
| 1-3 | 1150 ± 0.01 b | NA | −19.44 ± 0.94 b | 35.88 ± 1.09 a | |
| 1-5 | 886.67 ± 5.77 b | NA | −17.95 ± 0.93 b | 40.48 ± 1.64 b | |
| 5 | 1-1 | 172.40 ± 2.15 c | 0.26 ± 0.21 | −24.75 ± 1.88 c | 62.11 ± 1.41 e |
| 1-3 | 196.47 ± 2.31 d | 0.29 ± 0.00 | −28.46 ± 0.69 d | 66.75 ± 1.39 f | |
| 1-5 | 168.3 ± 1.38 e | 0.29 ± 0.02 | −25.58 ± 0.32 c | 78.38 ± 2.25 g | |
| 4 | 1-1 | 386.16 ± 3.38 f | 0.53 ± 0.00 | −29.82 ± 0.80 d | 71.55 ± 0.77 h |
| 1-1 (GDL) | 195.52 ± 1.26 d | 0.25 ± 0.01 | −31.49 ± 0.89 d | 72.50 ± 0.85 h | |
| Wall material | 318.16 ± 1.25 g | 0.49 ± 0.01 | −36.6 ± 5.39 f | - |
| Peaks | Possible Interpretation |
|---|---|
| Broad peak around 3370 | OH-stretching |
| 2800–3000 | CH-stretching of methyl or methylene groups (intermolecular H bond), acetylated or methyl-esterified CH3 groups |
| 1600–1650 | Free Carboxylic groups or water bending |
| ~1410 | CH2 crossover or symmetric stretching of esterified CH3 |
| ~1250 | The stretch vibration of carbonyl CO |
| ~1150 | Ether bond (C-O-C) in the polysaccharide chain or CO stretching of primary alcohols |
| ~890 | β-glycosidic linkages |
Disclaimer/Publisher’s Note: The statements, opinions and data contained in all publications are solely those of the individual author(s) and contributor(s) and not of MDPI and/or the editor(s). MDPI and/or the editor(s) disclaim responsibility for any injury to people or property resulting from any ideas, methods, instructions or products referred to in the content. |
© 2026 by the authors. Licensee MDPI, Basel, Switzerland. This article is an open access article distributed under the terms and conditions of the Creative Commons Attribution (CC BY) license.
Share and Cite
Premathilaka, R.; Golding, M.; Singh, J.; Rashidinejad, A. Development of a pH-Responsive Delivery System Suitable for Naringenin and Other Hydrophobic Flavonoids Using the Interactions Between Basil Seed Gum and Milk Protein Complexes. Foods 2026, 15, 201. https://doi.org/10.3390/foods15020201
Premathilaka R, Golding M, Singh J, Rashidinejad A. Development of a pH-Responsive Delivery System Suitable for Naringenin and Other Hydrophobic Flavonoids Using the Interactions Between Basil Seed Gum and Milk Protein Complexes. Foods. 2026; 15(2):201. https://doi.org/10.3390/foods15020201
Chicago/Turabian StylePremathilaka, Ruwanthi, Matt Golding, Jaspreet Singh, and Ali Rashidinejad. 2026. "Development of a pH-Responsive Delivery System Suitable for Naringenin and Other Hydrophobic Flavonoids Using the Interactions Between Basil Seed Gum and Milk Protein Complexes" Foods 15, no. 2: 201. https://doi.org/10.3390/foods15020201
APA StylePremathilaka, R., Golding, M., Singh, J., & Rashidinejad, A. (2026). Development of a pH-Responsive Delivery System Suitable for Naringenin and Other Hydrophobic Flavonoids Using the Interactions Between Basil Seed Gum and Milk Protein Complexes. Foods, 15(2), 201. https://doi.org/10.3390/foods15020201

