Sign in to use this feature.

Years

Between: -

Subjects

remove_circle_outline
remove_circle_outline
remove_circle_outline
remove_circle_outline

Journals

Article Types

Countries / Regions

Search Results (25)

Search Parameters:
Keywords = myocardial ischemia/reperfusion injury (MIRI)

Order results
Result details
Results per page
Select all
Export citation of selected articles as:
33 pages, 4216 KB  
Review
Myocardial Ischemia/Reperfusion Injury: Molecular Insights, Forensic Perspectives, and Therapeutic Horizons
by Maria Sofia Fede, Gloria Daziani, Francesco Tavoletta, Angelo Montana, Paolo Compagnucci, Gaia Goteri, Margherita Neri and Francesco Paolo Busardò
Cells 2025, 14(19), 1509; https://doi.org/10.3390/cells14191509 - 27 Sep 2025
Viewed by 593
Abstract
Acute myocardial infarction (AMI) remains the leading cause of death worldwide, with myocardial ischemia/reperfusion injury (MIRI) emerging as a significant factor influencing patient outcomes despite timely reperfusion therapy. MIRI refers to paradoxical myocardial damage that occurs upon restoration of coronary blood flow and [...] Read more.
Acute myocardial infarction (AMI) remains the leading cause of death worldwide, with myocardial ischemia/reperfusion injury (MIRI) emerging as a significant factor influencing patient outcomes despite timely reperfusion therapy. MIRI refers to paradoxical myocardial damage that occurs upon restoration of coronary blood flow and is driven by complex inflammatory, oxidative, and metabolic mechanisms, which can exacerbate infarct size (IS), contributing to adverse outcomes. This review explores the molecular and cellular pathophysiology of MIRI, emphasizing both its clinical and forensic relevance. The principal mechanisms discussed include oxidative stress and mitochondrial dysfunction, calcium overload and ion homeostasis imbalance, inflammatory responses, with particular focus on the NLRP3 inflammasome and cytokine pathways, and multiple forms of cell death (apoptosis, necroptosis, pyroptosis, and autophagy). Additionally, the authors present original immunohistochemical findings from autopsy cases of patients who suffered ST-segment elevation myocardial infarction (STEMI) and underwent percutaneous coronary intervention (PCI), but subsequently died. These findings underscore that successful reperfusion does not completely prevent delayed complications, like arrhythmias, ventricular fibrillation (VF), and sudden cardiac death (SCD), often caused by secondary MIRI-related mechanisms. Moreover, the case series highlight the diagnostic value of inflammatory markers for pathologists in identifying MIRI as a contributing factor in such fatalities. Finally, immunotherapeutic strategies—including IL-1 and IL-6 inhibitors such as Canakinumab and Tocilizumab—are reviewed for their potential to reduce cardiovascular events and mitigate the effects of MIRI. The review advocates for continued multidisciplinary research aimed at improving our understanding of MIRI, developing effective treatments, and informing forensic investigations of reperfusion-related deaths. Full article
Show Figures

Graphical abstract

18 pages, 4971 KB  
Article
Identification of Pyroptosis-Related Genes and Immune Landscape in Myocardial Ischemia–Reperfusion Injury
by Yanfang Zhu, Haoyan Zhu, Jia Zhou, Jiahe Wu, Xiaorong Hu, Chenze Li, Huanhuan Cai and Zhibing Lu
Biomedicines 2025, 13(9), 2114; https://doi.org/10.3390/biomedicines13092114 - 29 Aug 2025
Viewed by 527
Abstract
Background: Cardiomyocyte death is a key factor in myocardial ischemia–reperfusion injury (MI/RI), and the expression patterns and molecular mechanisms of pyroptosis-related genes (PRGs) in ischemia–reperfusion injury are poorly understood. Methods: The mouse MI/RI injury-related datasets GSE61592 and GSE160516 were obtained from [...] Read more.
Background: Cardiomyocyte death is a key factor in myocardial ischemia–reperfusion injury (MI/RI), and the expression patterns and molecular mechanisms of pyroptosis-related genes (PRGs) in ischemia–reperfusion injury are poorly understood. Methods: The mouse MI/RI injury-related datasets GSE61592 and GSE160516 were obtained from the Gene Expression Omnibus database, and differential expression analysis was performed on each to identify differentially expressed genes (DEGs). The DEGs were intersected with the PRGs obtained from GeneCards to identify differentially expressed PRGs in MI/RI. Enrichment analysis identified key pathways, while PPI network analysis revealed hub genes. The expression patterns and immune cell infiltration of hub genes were also investigated. The molecular docking prediction of key genes was performed using MOE software in conjunction with the ZINC small molecular compounds database. Key gene expression was validated in an external dataset (GSE4105), a mouse MI/RI model, and an HL-1 cell hypoxia/reoxygenation model via RT-qPCR. Results: A total of 29 differentially expressed PRGs were identified, which are primarily associated with pathways such as “immune system process”, “response to stress”, “identical protein binding”, and “extracellular region”. Seven key genes (Fkbp10, Apoe, Col1a2, Ppic, Tlr2, Fstl1, Serpinh1) were screened, all strongly correlated with immune infiltration. Seven FDA-approved small molecule compounds exhibiting the highest docking potential with each key gene were selected based on a comprehensive evaluation of S-scores and hydrogen bond binding energies. Apoe, Tlr2, and Serpinh1 were successfully validated across external datasets, the mouse MI/RI model, and the cardiomyocyte H/R model. Conclusions: Apoe, Tlr2, and Serpinh1 may be key genes involved in MI/RI-related pyroptosis. Targeting these genes may provide new insights into the treatment of MI/RI. Full article
(This article belongs to the Special Issue Pathogenesis, Diagnosis, and Treatment of Cardiomyopathy)
Show Figures

Figure 1

26 pages, 7838 KB  
Article
Ultrafast ROS Scavenging Activity of Amur Maple Tree Extracts Confers Robust Cardioprotection for Myocardial Ischemia/Reperfusion Injury
by Aoyang Pu, Woo-Sup Sim, Yuen-Kei Liem, Yimin Lai, Bong-Woo Park, Kyoung-Tae Lee, Hun-Jun Park and Kiwon Ban
Antioxidants 2025, 14(6), 671; https://doi.org/10.3390/antiox14060671 - 31 May 2025
Viewed by 827
Abstract
Ginnalin A (GA), a polyphenolic compound derived from amur maple trees, has been identified as a powerful scavenger of reactive oxygen species (ROS). Recognizing the pivotal role of ROS in exacerbating secondary damage during myocardial ischemia-reperfusion injury (MIRI), we fractionated GA-enriched extracts from [...] Read more.
Ginnalin A (GA), a polyphenolic compound derived from amur maple trees, has been identified as a powerful scavenger of reactive oxygen species (ROS). Recognizing the pivotal role of ROS in exacerbating secondary damage during myocardial ischemia-reperfusion injury (MIRI), we fractionated GA-enriched extracts from the leaves of the amur maple tree, Acer tataricum L. subsp. ginnala (Maxim.) Wesm., using common solvents of dichloromethane (DCM) and ethyl acetate (EA). When co-administered for 30 min, the DCM- and EA-fractioned extracts effectively protected cardiomyocytes from H2O2-induced damage. ROS-sensitive probes indicated that treatment with ginnala extracts significantly reduced both intracellular and mitochondrial ROS levels. Instead of enhancing the activity of antioxidative enzymes, the ginnala extracts acted as natural antioxidases, directly scavenging various ROS such as superoxide, H2O2, hydroxyl radical, and Fe2+ within just 20 min. In a MIRI rat model, the in vivo administration of ginnala extracts provided significant cardioprotection by preserving viable myocardia and enhancing cardiac functions. Additionally, treatment with ginnala extracts significantly reduced cardiac fibrosis and denatured collagen. Our study suggests that the ultrafast ROS scavenging capability of ginnala extracts offers substantial heart protection during MIRI. Incorporating ginnala extracts as a pharmacological intervention during reperfusion could effectively mitigate ROS-induced cardiac injury. Full article
(This article belongs to the Special Issue Plant Antioxidants, Inflammation, and Chronic Disease)
Show Figures

Figure 1

16 pages, 7196 KB  
Article
Notoginsenoside R1 Attenuates H/R Injury in H9c2 Cells by Maintaining Mitochondrial Homeostasis
by Yuanbo Xu, Piao Wang, Ting Hu, Ke Ning and Yimin Bao
Curr. Issues Mol. Biol. 2025, 47(1), 44; https://doi.org/10.3390/cimb47010044 - 10 Jan 2025
Cited by 4 | Viewed by 1935
Abstract
Mitochondrial homeostasis is crucial for maintaining cellular energy production and preventing oxidative stress, which is essential for overall cellular function and longevity. Mitochondrial damage and dysfunction often occur concomitantly in myocardial ischemia–reperfusion injury (MIRI). Notoginsenoside R1 (NGR1), a unique saponin from the traditional [...] Read more.
Mitochondrial homeostasis is crucial for maintaining cellular energy production and preventing oxidative stress, which is essential for overall cellular function and longevity. Mitochondrial damage and dysfunction often occur concomitantly in myocardial ischemia–reperfusion injury (MIRI). Notoginsenoside R1 (NGR1), a unique saponin from the traditional Chinese medicine Panax notoginseng, has been shown to alleviate MIRI in previous studies, though its precise mechanism remains unclear. This study aimed to elucidate the mechanisms of NGR1 in maintaining mitochondrial homeostasis in hypoxia/reoxygenation (H/R) H9c2 cells. The results showed that NGR1 pretreatment effectively increased cell survival rates post-H/R, reduced lactate dehydrogenase (LDH) leakage, and mitigated cell damage. Further investigation into mitochondria revealed that NGR1 alleviated mitochondrial structural damage, improved mitochondrial membrane permeability transition pore (mPTP) persistence, and prevented mitochondrial membrane potential (Δψm) depolarization. Additionally, NGR1 pretreatment enhanced ATP levels, increased the activity of mitochondrial respiratory chain complexes I–V after H/R, and reduced excessive mitochondrial reactive oxygen species (mitoROS) production, thereby protecting mitochondrial function. Further analysis indicated that NGR1 upregulated the expression of mitochondrial biogenesis-related proteins (PGC-1α, Nrf1, Nrf2) and mitochondrial fusion proteins (Opa1, Mfn1, Mfn2), while downregulating mitochondrial fission proteins (Fis1, Drp1) and reducing mitochondrial autophagy (mitophagy) levels, as well as the expression of mitophagy-related proteins (Pink1, Parkin, BNIP3) post-H/R. Therefore, this study showed that NGR1 can maintain mitochondrial homeostasis by regulating mitophagy, mitochondrial fission–fusion dynamics, and mitochondrial biogenesis, thereby alleviating H9c2 cell H/R injury and protecting cardiomyocytes. Full article
Show Figures

Figure 1

17 pages, 894 KB  
Review
Mechanisms and Therapeutic Potential of Multiple Forms of Cell Death in Myocardial Ischemia–Reperfusion Injury
by Shinya Tsurusaki and Eddy Kizana
Int. J. Mol. Sci. 2024, 25(24), 13492; https://doi.org/10.3390/ijms252413492 - 17 Dec 2024
Cited by 7 | Viewed by 2942
Abstract
Programmed cell death, especially programmed necrosis such as necroptosis, ferroptosis, and pyroptosis, has attracted significant attention recently. Traditionally, necrosis was thought to occur accidentally without signaling pathways, but recent discoveries have revealed that molecular pathways regulate certain forms of necrosis, similar to apoptosis. [...] Read more.
Programmed cell death, especially programmed necrosis such as necroptosis, ferroptosis, and pyroptosis, has attracted significant attention recently. Traditionally, necrosis was thought to occur accidentally without signaling pathways, but recent discoveries have revealed that molecular pathways regulate certain forms of necrosis, similar to apoptosis. Accumulating evidence indicates that programmed necrosis is involved in the development of various diseases, including myocardial ischemia–reperfusion injury (MIRI). MIRI occurs when blood flow and oxygen return to an ischemic area, causing excessive production of reactive oxygen species. While this reperfusion is critical for treating myocardial infarction, it inevitably causes cellular damage via oxidative stress. Furthermore, this cellular damage triggers multiple forms of cardiomyocyte death, which is the primary cause of inflammation, cardiac tissue remodeling, and ensuing heart failure. Therefore, understanding the molecular mechanisms of various forms of cell death in MIRI is crucial for therapeutic target discovery. Developing therapeutic strategies to inhibit multiple cell death pathways simultaneously could provide effective protection against MIRI. In this paper, we review the fundamental molecular pathways and MIRI-specific mechanisms of apoptosis, necroptosis, ferroptosis, and pyroptosis. Additionally, we suggest that the simultaneous suppression of multiple cell death pathways could be an effective therapy and identify potential therapeutic targets for implementing this strategy. Full article
(This article belongs to the Special Issue Advances in Cardiac Disease)
Show Figures

Figure 1

21 pages, 2855 KB  
Article
Identification of New, Translatable ProtectomiRs against Myocardial Ischemia/Reperfusion Injury and Oxidative Stress: The Role of MMP/Biglycan Signaling Pathways
by Tamara Szabados, Arnold Molnár, Éva Kenyeres, Kamilla Gömöri, Judit Pipis, Bence Pósa, András Makkos, Bence Ágg, Zoltán Giricz, Péter Ferdinandy, Anikó Görbe and Péter Bencsik
Antioxidants 2024, 13(6), 674; https://doi.org/10.3390/antiox13060674 - 30 May 2024
Cited by 2 | Viewed by 1579
Abstract
Introduction: Ischemic conditionings (ICon) were intensively investigated and several protective signaling pathways were identified. Previously, we have shown the role of matrix metalloproteinases (MMP) in myocardial ischemia/reperfusion injury (MIRI) and the cardioprotective role of biglycan (BGN), a small leucine-rich proteoglycan in vitro. Here, [...] Read more.
Introduction: Ischemic conditionings (ICon) were intensively investigated and several protective signaling pathways were identified. Previously, we have shown the role of matrix metalloproteinases (MMP) in myocardial ischemia/reperfusion injury (MIRI) and the cardioprotective role of biglycan (BGN), a small leucine-rich proteoglycan in vitro. Here, we hypothesized that cardiac MMP and BGN signaling are involved in the protective effects of ICon. Methods: A reverse target-microRNA prediction was performed by using the miRNAtarget™ 2.0 software to identify human microRNAs with a possible regulatory effect on MMP and BGN, such as on related genes. To validate the identified 1289 miRNAs in the predicted network, we compared them to two cardioprotective miRNA omics datasets derived from pig and rat models of MIRI in the presence of ICons. Results: Among the experimentally measured miRNAs, we found 100% sequence identity to human predicted regulatory miRNAs in the case of 37 porcine and 24 rat miRNAs. Upon further analysis, 42 miRNAs were identified as MIRI-associated miRNAs, from which 24 miRNAs were counter-regulated due to ICons. Conclusions: Our findings highlight 24 miRNAs that potentially regulate cardioprotective therapeutic targets associated with MMPs and BGN in a highly translatable porcine model of acute myocardial infarction. Full article
Show Figures

Figure 1

16 pages, 2029 KB  
Review
Myocardial Ischemia–Reperfusion Injury: Unraveling Pathophysiology, Clinical Manifestations, and Emerging Prevention Strategies
by Marios Sagris, Anastasios Apostolos, Panagiotis Theofilis, Nikolaos Ktenopoulos, Odysseas Katsaros, Sotirios Tsalamandris, Konstantinos Tsioufis, Konstantinos Toutouzas and Dimitris Tousoulis
Biomedicines 2024, 12(4), 802; https://doi.org/10.3390/biomedicines12040802 - 4 Apr 2024
Cited by 30 | Viewed by 7506
Abstract
Myocardial ischemia–reperfusion injury (MIRI) remains a challenge in the context of reperfusion procedures for myocardial infarction (MI). While early revascularization stands as the gold standard for mitigating myocardial injury, recent insights have illuminated the paradoxical role of reperfusion, giving rise to the phenomenon [...] Read more.
Myocardial ischemia–reperfusion injury (MIRI) remains a challenge in the context of reperfusion procedures for myocardial infarction (MI). While early revascularization stands as the gold standard for mitigating myocardial injury, recent insights have illuminated the paradoxical role of reperfusion, giving rise to the phenomenon known as ischemia–reperfusion injury. This comprehensive review delves into the intricate pathophysiological pathways involved in MIRI, placing a particular focus on the pivotal role of endothelium. Beyond elucidating the molecular intricacies, we explore the diverse clinical manifestations associated with MIRI, underscoring its potential to contribute substantially to the final infarct size, up to 50%. We further navigate through current preventive approaches and highlight promising emerging strategies designed to counteract the devastating effects of the phenomenon. By synthesizing current knowledge and offering a perspective on evolving preventive interventions, this review serves as a valuable resource for clinicians and researchers engaged in the dynamic field of MIRI. Full article
(This article belongs to the Special Issue Vascular Function in Chronic Non-communicable Diseases 2.0)
Show Figures

Figure 1

15 pages, 4189 KB  
Article
Exploring the Mechanism of Salvianolic Acid B against Myocardial Ischemia-Reperfusion Injury Based on Network Pharmacology
by Qianping Mao, Chongyu Shao, Huifen Zhou, Li Yu, Yida Bao, Yali Zhao, Jiehong Yang and Haitong Wan
Pharmaceuticals 2024, 17(3), 309; https://doi.org/10.3390/ph17030309 - 28 Feb 2024
Cited by 4 | Viewed by 2766
Abstract
This study aimed to explore the mechanisms through which salvianolic acid B (Sal-B) exerts its effects during myocardial ischemia-reperfusion injury (MI/RI), aiming to demonstrate the potential pharmacological characteristics of Sal-B in the management of coronary heart disease. First, Sal-B-related targets and MI/RI-related genes [...] Read more.
This study aimed to explore the mechanisms through which salvianolic acid B (Sal-B) exerts its effects during myocardial ischemia-reperfusion injury (MI/RI), aiming to demonstrate the potential pharmacological characteristics of Sal-B in the management of coronary heart disease. First, Sal-B-related targets and MI/RI-related genes were compiled from public databases. Subsequent functional enrichment analyses using the protein–protein interaction (PPI) network, gene ontology (GO), and the Kyoto Encyclopedia of Genes and Genomes (KEGG) predicted the core targets and approaches by which Sal-B counters MI/RI. Second, a Sal-B-treated MI/RI mouse model and oxygen–glucose deprivation/reoxygenation (OGD/R) H9C2 cell model were selected to verify the main targets of the network pharmacological prediction. An intersectional analysis between Sal-B and MI/RI targets identified 69 common targets, with a PPI network analysis highlighting caspase-3, c-Jun N-terminal kinase (JNK), and p38 mitogen-activated protein kinase (p38) as central targets. GO and KEGG enrichment analyses indicated remarkable enrichment of the apoptosis pathway among these targets, suggesting their utility in experimental studies in vivo. Experimental results demonstrated that Sal-B treatment not only mitigated myocardial infarction size following MI/RI injury in mice but also modulated the expression of key apoptotic regulators, including Bcl-2-Associated X (Bax), caspase-3, JNK, and p38, alongside enhancing the B-cell lymphoma-2 (Bcl-2) expression, thereby inhibiting myocardial tissue apoptosis. This study leveraged an integrative network pharmacology approach to predict Sal-B’s potential targets in MI/RI treatment and verified the involvement of key target proteins within the predicted signaling pathways through both in vivo and in vitro experiments, offering a comprehensive insight into Sal-B’s pharmacological mechanism in MI/RI management. Full article
(This article belongs to the Special Issue Unraveling the Multifaceted Role of Polyphenols in Health Issues)
Show Figures

Figure 1

17 pages, 20731 KB  
Article
Hydroxysafflor Yellow A Alleviates Acute Myocardial Ischemia/Reperfusion Injury in Mice by Inhibiting Ferroptosis via the Activation of the HIF-1α/SLC7A11/GPX4 Signaling Pathway
by Chaowen Ge, Yuqin Peng, Jiacheng Li, Lei Wang, Xiaoyu Zhu, Ning Wang, Dongmei Yang, Xian Zhou and Dennis Chang
Nutrients 2023, 15(15), 3411; https://doi.org/10.3390/nu15153411 - 31 Jul 2023
Cited by 45 | Viewed by 4399
Abstract
Ferroptosis is closely associated with the pathophysiology of myocardial ischemia. Hydroxysafflor yellow A (HSYA), the main active ingredient in the Chinese herbal medicine safflower, exerts significant protective effects against myocardial ischemia/reperfusion injury (MI/RI). The aim of this study was to investigate the protective [...] Read more.
Ferroptosis is closely associated with the pathophysiology of myocardial ischemia. Hydroxysafflor yellow A (HSYA), the main active ingredient in the Chinese herbal medicine safflower, exerts significant protective effects against myocardial ischemia/reperfusion injury (MI/RI). The aim of this study was to investigate the protective effects of HSYA against MI/RI and identify the putative underlying mechanisms. An in vivo model of acute MI/RI was established in C57 mice. Subsequently, the effects of HSYA on myocardial tissue injury were evaluated by histology. Lipid peroxidation and myocardial injury marker contents in myocardial tissue and serum and iron contents in myocardial tissue were determined using biochemical assays. Mitochondrial damage was assessed using transmission electron microscopy. H9C2 cardiomyocytes were induced in vitro by oxygen–glucose deprivation/reoxygenation, and ferroptosis inducer erastin was administered to detect ferroptosis-related indicators, oxidative-stress-related indicators, and expressions of ferroptosis-related proteins and HIF-1α. In MI/RI model mice, HSYA reduced myocardial histopathological damage, ameliorated mitochondrial damage in myocardial cells, and decreased total cellular iron and ferrous ion contents in myocardial tissue. HSYA increased the protein levels of SLC7A11, HIF-1α, and GPX4 and mitigated erastin- or HIF-1α siRNA-induced damage in H9C2 cells. In summary, HSYA alleviated MI/RI by activating the HIF-1α/SLC7A11/GPX4 signaling pathway, thereby inhibiting ferroptosis. Full article
Show Figures

Figure 1

21 pages, 587 KB  
Review
Pharmaceutical Therapies for Necroptosis in Myocardial Ischemia–Reperfusion Injury
by Yinchang Zhang, Yantao Zhang, Jinlong Zang, Yongnan Li and Xiangyang Wu
J. Cardiovasc. Dev. Dis. 2023, 10(7), 303; https://doi.org/10.3390/jcdd10070303 - 17 Jul 2023
Cited by 12 | Viewed by 4348
Abstract
Cardiovascular disease morbidity/mortality are increasing due to an aging population and the rising prevalence of diabetes and obesity. Therefore, innovative cardioprotective measures are required to reduce cardiovascular disease morbidity/mortality. The role of necroptosis in myocardial ischemia–reperfusion injury (MI–RI) is beyond doubt, but the [...] Read more.
Cardiovascular disease morbidity/mortality are increasing due to an aging population and the rising prevalence of diabetes and obesity. Therefore, innovative cardioprotective measures are required to reduce cardiovascular disease morbidity/mortality. The role of necroptosis in myocardial ischemia–reperfusion injury (MI–RI) is beyond doubt, but the molecular mechanisms of necroptosis remain incompletely elucidated. Growing evidence suggests that MI–RI frequently results from the superposition of multiple pathways, with autophagy, ferroptosis, and CypD-mediated mitochondrial damage, and necroptosis all contributing to MI–RI. Receptor-interacting protein kinases (RIPK1 and RIPK3) as well as mixed lineage kinase domain-like pseudokinase (MLKL) activation is accompanied by the activation of other signaling pathways, such as Ca2+/calmodulin-dependent protein kinase II (CaMKII), NF-κB, and JNK-Bnip3. These pathways participate in the pathological process of MI–RI. Recent studies have shown that inhibitors of necroptosis can reduce myocardial inflammation, infarct size, and restore cardiac function. In this review, we will summarize the molecular mechanisms of necroptosis, the links between necroptosis and other pathways, and current breakthroughs in pharmaceutical therapies for necroptosis. Full article
(This article belongs to the Special Issue Current Strategies for Cell-Based Cardiac Therapies)
Show Figures

Figure 1

14 pages, 924 KB  
Review
Inhibitors of NLRP3 Inflammasome in Ischemic Heart Disease: Focus on Functional and Redox Aspects
by Pasquale Pagliaro and Claudia Penna
Antioxidants 2023, 12(7), 1396; https://doi.org/10.3390/antiox12071396 - 7 Jul 2023
Cited by 34 | Viewed by 3816
Abstract
Myocardial ischemia-reperfusion injury (MIRI) is caused by several mechanisms, including the production of reactive oxygen species (ROS), altered cellular osmolarity, and inflammatory response. Calcium overload, altered oxygen levels, and mitochondrial ROS are also involved in these MIRI processes, resulting in the irreversible opening [...] Read more.
Myocardial ischemia-reperfusion injury (MIRI) is caused by several mechanisms, including the production of reactive oxygen species (ROS), altered cellular osmolarity, and inflammatory response. Calcium overload, altered oxygen levels, and mitochondrial ROS are also involved in these MIRI processes, resulting in the irreversible opening of the mitochondrial permeability transition pore (mPTP). These mechanisms and processes are associated with NLRP3 inflammasome priming and activation, which can also induce cell death by pyroptosis through the up-regulation of the caspase-1 pathway and IL-18 release. In addition, endothelial dysfunction, both in the presence and absence of MIRI, is also accompanied by altered oxygen levels, decreased nitric oxide production, and ROS overproduction, resulting in the expression of adhesion molecules and leukocyte infiltration in which the NLRP3 inflammasome plays a central role, thus contributing, through endothelial dysfunction, to the alteration of coronary flow, typical of ischemic heart disease. Given the intricate interrelationship between ROS and NLRP3, ROS inhibitors can reduce NLRP3 inflammasome activation, while NLRP3 inhibitors can reduce oxidative stress and inflammation. NLRP3 inhibitors have been intensively studied as anti-inflammatory agents in basic cardiovascular sciences. In this review, we analyze the interrelation between ROS and NLRP3 in ischemic heart disease and the effects of some NLRP3 inhibitors as possible therapeutic agents in this disease condition. All compounds considered in this review need larger studies to confirm their appropriate use in clinical scenarios as anti-ischemic drugs. Full article
(This article belongs to the Section Health Outcomes of Antioxidants and Oxidative Stress)
Show Figures

Figure 1

16 pages, 1674 KB  
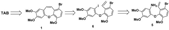
Article
Gram-Scale Total Synthesis of TAB with Cardioprotective Activity and the Structure-Activity Relationship of Its Analogs
by Zhonghao Sun, Zhaocui Sun, Daoshun Wu, Fan Yi, Haifeng Wu, Guoxu Ma and Xudong Xu
Molecules 2023, 28(13), 5197; https://doi.org/10.3390/molecules28135197 - 4 Jul 2023
Cited by 1 | Viewed by 1784
Abstract
Traditional Chinese medicine has been proven to be of great significance in cardioprotective effects. Clinopodium chinense (Lamiaceae) has unique advantages in the treatment and prevention of cardiovascular diseases. Tournefolic acid B (TAB) was proven to be a potent component against myocardial [...] Read more.
Traditional Chinese medicine has been proven to be of great significance in cardioprotective effects. Clinopodium chinense (Lamiaceae) has unique advantages in the treatment and prevention of cardiovascular diseases. Tournefolic acid B (TAB) was proven to be a potent component against myocardial ischemia reperfusion injury (MIRI) from Clinopodium chinense (Lamiaceae). This article will attempt to establish a gram-scale synthesis method of TAB and discuss the structure-activity relationship of its analogs. The total synthesis of TAB was completed in 10 steps with an overall yield of 13%. In addition, analogs were synthesized, and their cardioprotective activity was evaluated on the hypoxia/reoxygenation of H9c2 cells. Amidation of the acid position is helpful to the activity, while methylation of phenolic hydroxyl groups greatly decreased the cardioprotective activity. The easily prepared azxepin analogs also showed cardioprotective activity. Most of the clogP values calculated by Molinspiration ranged from 2.5 to 5, which is in accordance with Lipinski’s rule of 5. These findings represent a novel kind of cardioprotective agent that is worthy of further study. Full article
Show Figures

Figure 1

17 pages, 5358 KB  
Article
Salvianolic Acid B Inhibits Ferroptosis and Apoptosis during Myocardial Ischemia/Reperfusion Injury via Decreasing the Ubiquitin-Proteasome Degradation of GPX4 and the ROS-JNK/MAPK Pathways
by Xiaojin Xu, Chenhan Mao, Chengbo Zhang, Meng Zhang, Jianbin Gong and Xindong Wang
Molecules 2023, 28(10), 4117; https://doi.org/10.3390/molecules28104117 - 16 May 2023
Cited by 35 | Viewed by 3737
Abstract
Myocardial ischemia/reperfusion injury (MIRI) is related to ferroptosis and apoptosis elicited by reactive oxygen species (ROS). In this research, we investigated the protective effect of salvianolic acid B (SAB) as a natural antioxidant on ferroptosis and apoptosis in the MIRI process, and discussed [...] Read more.
Myocardial ischemia/reperfusion injury (MIRI) is related to ferroptosis and apoptosis elicited by reactive oxygen species (ROS). In this research, we investigated the protective effect of salvianolic acid B (SAB) as a natural antioxidant on ferroptosis and apoptosis in the MIRI process, and discussed the protective mechanism inhibiting ubiquitin-proteasome degradation of glutathione peroxidase 4 (GPX4) and the c-Jun N-terminal kinases (JNK) apoptosis signal pathway. We observed that ferroptosis and apoptosis occurred in the MIRI rat model in vivo and the H9c2 cardiomyocyte hypoxia/reoxygenation (H/R) damage model in vitro. SAB can alleviate tissue damage related to ROS, ferroptosis and apoptosis. Ubiquitin-proteasome degradation of GPX4 occurred in H/R models, and SAB reduced the ubiquitin-proteasome degradation of GPX4. SAB downregulates JNK phosphorylation and the expression of BCL2-Associated X (Bax)/B-cell lymphoma-2 (Bcl-2) and Caspase-3 to inhibit apoptosis. The role of GPX4 in the cardioprotection of SAB was further verified by the elimination effect of the GPX4 inhibitor RAS-selective lethal 3 (RSL3). This research shows that SAB may be used as a myocardial protective agent against oxidative stress, ferroptosis and apoptosis, and has potential clinical application prospects. Full article
(This article belongs to the Topic Antioxidant Activity of Natural Products)
Show Figures

Figure 1

18 pages, 1616 KB  
Review
Natural Products Targeting PI3K/AKT in Myocardial Ischemic Reperfusion Injury: A Scoping Review
by Syarifah Aisyah Syed Abd Halim, Norhashima Abd Rashid, Choy Ker Woon and Nahdia Afiifah Abdul Jalil
Pharmaceuticals 2023, 16(5), 739; https://doi.org/10.3390/ph16050739 - 12 May 2023
Cited by 14 | Viewed by 3471
Abstract
This scoping review aimed to summarize the effects of natural products targeting phosphoinositide-3-kinases/serine/threonine kinase (PI3K/AKT) in myocardial ischemia-reperfusion injury (MIRI). The review details various types of natural compounds such as gypenoside (GP), gypenoside XVII (GP-17), geniposide, berberine, dihydroquercetin (DHQ), and tilianin which identified [...] Read more.
This scoping review aimed to summarize the effects of natural products targeting phosphoinositide-3-kinases/serine/threonine kinase (PI3K/AKT) in myocardial ischemia-reperfusion injury (MIRI). The review details various types of natural compounds such as gypenoside (GP), gypenoside XVII (GP-17), geniposide, berberine, dihydroquercetin (DHQ), and tilianin which identified to reduce MIRI in vitro and in vivo by regulating the PI3K/AKT signaling pathway. In this study, 14 research publications that met the inclusion criteria and exclusion criteria were shortlisted. Following the intervention, we discovered that natural products effectively improved cardiac functions through regulation of antioxidant status, down-regulation of Bax, and up-regulation of Bcl-2 and caspases cleavage. Furthermore, although comparing outcomes can be challenging due to the heterogeneity in the study model, the results we assembled here were consistent, giving us confidence in the intervention’s efficacy. We also discussed if MIRI is associated with multiple pathological condition such as oxidative stress, ERS, mitochondrial injury, inflammation, and apoptosis. This brief review provides evidence to support the huge potential of natural products used in the treatment of MIRI due to their various biological activities and drug-like properties. Full article
Show Figures

Graphical abstract

16 pages, 3746 KB  
Article
Expression Pattern and Molecular Mechanism of Oxidative Stress-Related Genes in Myocardial Ischemia–Reperfusion Injury
by Jiahe Wu, Jingyi Luo, Huanhuan Cai, Chenze Li, Zhe Lei, Yi Lu, Lihua Ni, Jianlei Cao, Bo Cheng and Xiaorong Hu
J. Cardiovasc. Dev. Dis. 2023, 10(2), 79; https://doi.org/10.3390/jcdd10020079 - 13 Feb 2023
Cited by 7 | Viewed by 3364
Abstract
(1) Background: The molecular mechanism of oxidative stress-related genes (OSRGs) in myocardial ischemia–reperfusion injury (MIRI) has not been fully elucidated. (2) Methods: Differential expression analysis, enrichment analysis, and PPI analysis were performed on the MIRI-related datasets GSE160516 and GSE61592 to find key pathways [...] Read more.
(1) Background: The molecular mechanism of oxidative stress-related genes (OSRGs) in myocardial ischemia–reperfusion injury (MIRI) has not been fully elucidated. (2) Methods: Differential expression analysis, enrichment analysis, and PPI analysis were performed on the MIRI-related datasets GSE160516 and GSE61592 to find key pathways and hub genes. OSRGs were obtained from the Molecular Signatures Database (MSigDB). The expression pattern and time changes of them were studied on the basis of their raw expression data. Corresponding online databases were used to predict miRNAs, transcription factors (TFs), and therapeutic drugs targeting common differentially expressed OSRGs. These identified OSRGs were further verified in the external dataset GSE4105 and H9C2 cell hypoxia–reoxygenation (HR) model. (3) Results: A total of 134 DEGs of MIRI were identified which were enriched in the pathways of “immune response”, “inflammatory response”, “neutrophil chemotaxis”, “phagosome”, and “platelet activation”. Six hub genes and 12 common differentially expressed OSRGs were identified. A total of 168 miRNAs, 41 TFs, and 21 therapeutic drugs were predicted targeting these OSRGs. Lastly, the expression trends of Aif1, Apoe, Arg1, Col1a1, Gpx7, and Hmox1 were confirmed in the external dataset and HR model. (4) Conclusions: Aif1, Apoe, Arg1, Col1a1, Gpx7, and Hmox1 may be involved in the oxidative stress mechanism of MIRI, and the intervention of these genes may be a potential therapeutic strategy. Full article
Show Figures

Figure 1

Back to TopTop