Sign in to use this feature.

Years

Between: -

Subjects

remove_circle_outline
remove_circle_outline
remove_circle_outline
remove_circle_outline
remove_circle_outline
remove_circle_outline
remove_circle_outline
remove_circle_outline
remove_circle_outline

Journals

remove_circle_outline
remove_circle_outline
remove_circle_outline
remove_circle_outline
remove_circle_outline
remove_circle_outline

Article Types

Countries / Regions

remove_circle_outline
remove_circle_outline
remove_circle_outline
remove_circle_outline

Search Results (349)

Search Parameters:
Keywords = muscle architecture

Order results
Result details
Results per page
Select all
Export citation of selected articles as:
12 pages, 3284 KB  
Article
Genome-Wide Association Study of Body Mass Index in a Commercial Landrace × Yorkshire Crossbred Pig Population
by Long Jin, Chunyan Bai, Jinghan Chen, Chengyue Feng, Fengyi Dong, Xiaoran Zhang, Junwen Fei, Yu He, Wuyang Liu, Changyi Chen, Boxing Sun, Dali Wang and Hao Sun
Vet. Sci. 2026, 13(1), 84; https://doi.org/10.3390/vetsci13010084 - 14 Jan 2026
Viewed by 30
Abstract
The Body Mass Index (BMI), integrating body weight and length, is a widely used metric for obesity assessment in humans. As pigs serve as crucial biomedical models, the application of BMI in swine and its genetic basis remain poorly explored. This study aimed [...] Read more.
The Body Mass Index (BMI), integrating body weight and length, is a widely used metric for obesity assessment in humans. As pigs serve as crucial biomedical models, the application of BMI in swine and its genetic basis remain poorly explored. This study aimed to investigate the genetic architecture of pig BMI and compare two carcass-based BMI metrics (BMI-S and BMI-O) for breeding applicability. A total of 439 Landrace × Yorkshire crossbred pigs were genotyped with a 50 K SNP chip; heritability was estimated via a mixed linear model, and genome-wide association study (GWAS) was performed using the BLINK model. BMI-S and BMI-O exhibited moderate-to-high heritability of 0.55 and 0.47, respectively, with 17 genome-wide significant SNPs detected—including the top associated SNP rs81382440 on chromosome 4 and rs80898583 on chromosome 7. Key candidate genes (GPHN, ADAM33, KCNH8, PDCD4) and 5 SNP-trait associations validated in PigQTLdb were linked to lipid/energy metabolism and muscle development. Carcass-based BMI improved phenotypic accuracy, and our findings provide core genetic markers and a theoretical basis for molecular breeding of pig body conformation and lipid deposition traits. Full article
Show Figures

Figure 1

20 pages, 2249 KB  
Article
Hypoxia Increases Cardiac Proteasomal Activity and Differentially Modulates Cullin-RING E3 Ligases in the Naked Mole-Rat Heterocephalus glaber
by W. Aline Ingelson-Filpula, Karen L. Kadamani, Mohammad Ojaghi, Matthew E. Pamenter and Kenneth B. Storey
Muscles 2026, 5(1), 6; https://doi.org/10.3390/muscles5010006 - 14 Jan 2026
Viewed by 37
Abstract
(1) Background: The naked mole-rat (Heterocephalus glaber) survives hypoxia–reoxygenation stresses by utilizing metabolic rate depression, achieved in part by downregulating nonessential genes and processes to conserve endogenous cellular resources and prevent buildup of toxic waste byproducts. Tight molecular control of protein [...] Read more.
(1) Background: The naked mole-rat (Heterocephalus glaber) survives hypoxia–reoxygenation stresses by utilizing metabolic rate depression, achieved in part by downregulating nonessential genes and processes to conserve endogenous cellular resources and prevent buildup of toxic waste byproducts. Tight molecular control of protein degradation (specifically the ubiquitin–proteasome system) is a potent regulatory tool for maintaining muscle integrity during hypoxia, but how this system is regulated in the heart of hypoxia-tolerant species is poorly understood. (2) Methods: The protein expression levels of cullin-RING E3 ligases (specifically CRL4 architecture), deubiquitinating enzymes, and proteasomal activity were assayed in cardiac tissues from H. glaber exposed to 24 h of normoxia or hypoxia in vivo. (3) Results: Overall, the protein expression of E3 ligases decreased, whereas expression of deubiquitinating enzymes increased during hypoxia, all of which play roles in themes of oxidative stress, heightened DNA damage repair, and the HIF-1-VHL-NFκB axis. Proteasomal activity was elevated during hypoxia, which conceivably links to the oxidative stress theory of aging and longevity of H. glaber. (4) Conclusions: Taken together, our results expand current research into protein degradation and extreme environmental stress responses, with a specific focus on cardiac mechanisms related to oxidative stress resistance along the hypoxia-longevity axis. Full article
Show Figures

Figure 1

25 pages, 8211 KB  
Article
EMG-Spectrogram-Empowered CNN Stroke-Classifier Model Development
by Katherine, Riries Rulaningtyas and Kalaivani Chellappan
Life 2026, 16(1), 114; https://doi.org/10.3390/life16010114 - 13 Jan 2026
Viewed by 84
Abstract
Stroke is a leading cause of death and long-term disability worldwide, with ischemic stroke accounting for approximately 62.4% of all cases. This condition often results in persistent motor dysfunction, significantly reducing patients’ productivity. The effectiveness of rehabilitation therapy is crucial for post-stroke motor [...] Read more.
Stroke is a leading cause of death and long-term disability worldwide, with ischemic stroke accounting for approximately 62.4% of all cases. This condition often results in persistent motor dysfunction, significantly reducing patients’ productivity. The effectiveness of rehabilitation therapy is crucial for post-stroke motor recovery. However, limited access to rehabilitation services particularly in low- and middle-income countries remains a major barrier due to a shortage of experienced professionals. This challenge also affects home-based rehabilitation, an alternative to conventional therapy, which primarily relies on standard evaluation methods that are heavily dependent on expert interpretation. Electromyography (EMG) offers an objective and alternative approach to assessing muscle activity during stroke therapy in home environments. Recent advancements in deep learning (DL) have opened new avenues for automating the classification of EMG data, enabling differentiation between post-stroke patients and healthy individuals. This study introduces a novel methodology for transforming EMG signals into time–frequency representation (TFR) spectrograms, which serve as input for a convolutional neural network (CNN) model. The proposed Tri-CCNN model achieved the highest classification accuracy of 93.33%, outperforming both the Shallow CNN and the classic LeNet-5 architecture. Furthermore, an in-depth analysis of spectrogram amplitude distributions revealed distinct patterns in stroke patients, demonstrating the method’s potential for objective stroke assessment. These findings suggest that the proposed approach could serve as an effective tool for enhancing stroke classification and rehabilitation procedures, with significant implications for automating rehabilitation monitoring in home-based rehabilitation (HBR) settings. Full article
(This article belongs to the Special Issue Etiology, Prediction and Prognosis of Ischemic Stroke)
Show Figures

Figure 1

22 pages, 9389 KB  
Article
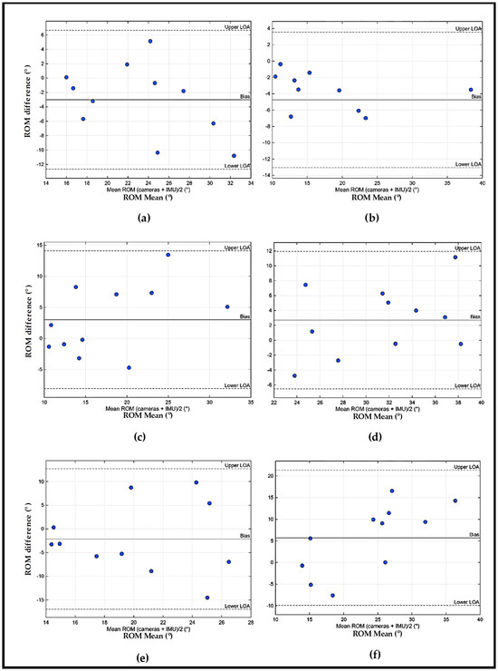
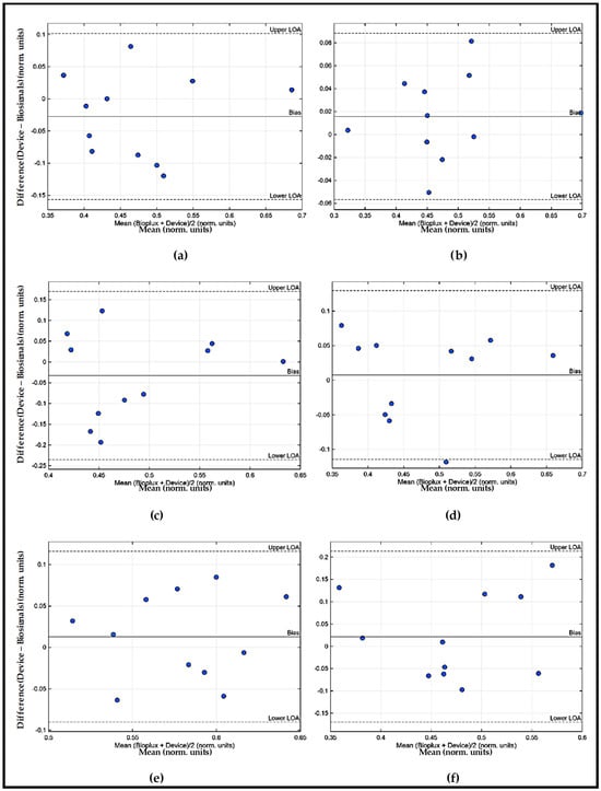
Validation of a Multimodal Wearable Device Integrating EMG and IMU Sensors for Monitoring Upper Limb Function During Tooth Brushing Activities of Daily Living
by Patrícia Santos, Filipa Marquês, Carla Quintão and Cláudia Quaresma
Sensors 2026, 26(2), 510; https://doi.org/10.3390/s26020510 - 12 Jan 2026
Viewed by 148
Abstract
Analyzing the dynamics of muscle activation patterns and joint range of motion is essential to understanding human movement during complex tasks such as tooth brushing Activities of Daily Living (ADLs). In individuals with neuromotor impairments, accurate assessment of upper limb motor patterns plays [...] Read more.
Analyzing the dynamics of muscle activation patterns and joint range of motion is essential to understanding human movement during complex tasks such as tooth brushing Activities of Daily Living (ADLs). In individuals with neuromotor impairments, accurate assessment of upper limb motor patterns plays a critical role in rehabilitation, supporting the identification of compensatory strategies and informing clinical interventions. This study presents the validation of a previously developed novel, low-cost, wearable, and portable multimodal prototype that integrates inertial measurement units (IMU) and surface electromyography (sEMG) sensors into a single device. The system enables bilateral monitoring of arm segment kinematics and muscle activation amplitudes from six major agonist muscles during ADLs. Eleven healthy participants performed a functional task, tooth brushing, while wearing the prototype. The recorded data were compared with two established gold-standard systems, Qualisys® motion capture system and Biosignalsplux®, for validation of kinematic and electrophysiological measurements, respectively. This study provides technical insights into the device’s architecture. The developed system demonstrates potential for clinical and research applications, particularly for monitoring upper limb function and evaluating rehabilitation outcomes in populations with neurological disorders. Full article
Show Figures

Figure 1

27 pages, 4932 KB  
Article
Automated Facial Pain Assessment Using Dual-Attention CNN with Clinically Calibrated High-Reliability and Reproducibility Framework
by Albert Psatrick Sankoh, Ali Raza, Khadija Parwez, Wesam Shishah, Ayman Alharbi, Mubeen Javed and Muhammad Bilal
Biomimetics 2026, 11(1), 51; https://doi.org/10.3390/biomimetics11010051 - 8 Jan 2026
Viewed by 242
Abstract
Accurate and quantitative pain assessment remains a major challenge in clinical medicine, especially for patients unable to verbalize discomfort. Conventional methods based on self-reports or clinician observation are subjective and inconsistent. This study introduces a novel automated facial pain assessment framework built on [...] Read more.
Accurate and quantitative pain assessment remains a major challenge in clinical medicine, especially for patients unable to verbalize discomfort. Conventional methods based on self-reports or clinician observation are subjective and inconsistent. This study introduces a novel automated facial pain assessment framework built on a dual-attention convolutional neural network (CNN) that achieves clinically calibrated, high-reliability performance and interpretability. The architecture combines multi-head spatial attention to localize pain-relevant facial regions with an enhanced channel attention block employing triple-pooling (average, max, and standard deviation) to capture discriminative intensity features. Regularization through label smoothing (α = 0.1) and AdamW optimization ensures calibrated, stable convergence. Evaluated on a clinically annotated dataset using subject-wise stratified sampling, the proposed model achieved a test accuracy of 90.19% ± 0.94%, with an average 5-fold cross-validation accuracy of 83.60% ± 1.55%. The model further attained an F1-score of 0.90 and Cohen’s κ = 0.876, with macro- and micro-AUCs of 0.991 and 0.992, respectively. The evaluation covers five pain classes (No Pain, Mid Pain, Moderate Pain, Severe Pain, and Very Pain) using subject-wise splits comprising 5840 total images and 1160 test samples. Comparative benchmarking and ablation experiments confirm each module’s contribution, while Grad-CAM visualizations highlight physiologically relevant facial regions. The results demonstrate a robust, explainable, and reproducible framework suitable for integration into real-world automated pain-monitoring systems. Inspired by biological pain perception mechanisms and human facial muscle responses, the proposed framework aligns with biomimetic sensing principles by emulating how localized facial cues contribute to pain interpretation. Full article
(This article belongs to the Special Issue Artificial Intelligence (AI) in Biomedical Engineering: 2nd Edition)
Show Figures

Figure 1

27 pages, 18163 KB  
Article
Evaluation of Different Controllers for Sensing-Based Movement Intention Estimation and Safe Tracking in a Simulated LSTM Network-Based Elbow Exoskeleton Robot
by Farshad Shakeriaski and Masoud Mohammadian
Sensors 2026, 26(2), 387; https://doi.org/10.3390/s26020387 - 7 Jan 2026
Viewed by 188
Abstract
Control of elbow exoskeletons using muscular signals, although promising for the rehabilitation of millions of patients, has not yet been widely commercialized due to challenges in real-time intention estimation and management of dynamic uncertainties. From a practical perspective, millions of patients with stroke, [...] Read more.
Control of elbow exoskeletons using muscular signals, although promising for the rehabilitation of millions of patients, has not yet been widely commercialized due to challenges in real-time intention estimation and management of dynamic uncertainties. From a practical perspective, millions of patients with stroke, spinal cord injury, or neuromuscular disorders annually require active rehabilitation, and elbow exoskeletons with precise and safe motion intention tracking capabilities can restore functional independence, reduce muscle atrophy, and lower treatment costs. In this research, an intelligent control framework was developed for an elbow joint exoskeleton, designed with the aim of precise and safe real-time tracking of the user’s motion intention. The proposed framework consists of two main stages: (a) real-time estimation of desired joint angle (as a proxy for movement intention) from High-Density Surface Electromyography (HD-sEMG) signals using an LSTM network and (b) implementation and comparison of three PID, impedance, and sliding mode controllers. A public EMG dataset including signals from 12 healthy individuals in four isometric tasks (flexion, extension, pronation, supination) and three effort levels (10, 30, 50 percent MVC) is utilized. After comprehensive preprocessing (Butterworth filter, 50 Hz notch, removal of faulty channels) and extraction of 13 time-domain features with 99 percent overlapping windows, the LSTM network with optimal architecture (128 units, Dropout, batch normalization) is trained. The model attained an RMSE of 0.630 Nm, R2 of 0.965, and a Pearson correlation of 0.985 for the full dataset, indicating a 47% improvement in R2 relative to traditional statistical approaches, where EMG is converted to desired angle via joint stiffness. An assessment of 12 motion–effort combinations reveals that the sliding mode controller consistently surpassed the alternatives, achieving the minimal tracking errors (average RMSE = 0.21 Nm, R2 ≈ 0.96) and showing superior resilience across all tasks and effort levels. The impedance controller demonstrates superior performance in flexion/extension (average RMSE ≈ 0.22 Nm, R2 > 0.94) but experiences moderate deterioration in pronation/supination under increased loads, while the classical PID controller shows significant errors (RMSE reaching 17.24 Nm, negative R2 in multiple scenarios) and so it is inappropriate for direct myoelectric control. The proposed LSTM–sliding mode hybrid architecture shows exceptional accuracy, robustness, and transparency in real-time intention monitoring, demonstrating promising performance in offline simulation, with potential for real-time clinical applications pending hardware validation for advanced upper-limb exoskeletons in neurorehabilitation and assistive applications. Full article
Show Figures

Figure 1

15 pages, 1720 KB  
Article
Family-Wide Dysregulation of Phosphodiesterases Alters cAMP/cGMP Microdomains in Thoracic Aortic Aneurysm
by Dimitrios E. Magouliotis, Serge Sicouri, Vasiliki Androutsopoulou, Massimo Baudo, Francesco Cabrucci, Prokopis-Andreas Zotos, Andrew Xanthopoulos and Basel Ramlawi
J. Cardiovasc. Dev. Dis. 2026, 13(1), 23; https://doi.org/10.3390/jcdd13010023 - 1 Jan 2026
Viewed by 304
Abstract
Background: Thoracic aortic aneurysm (TAA) is driven by complex molecular mechanisms beyond size thresholds, yet the role of cyclic nucleotide metabolism remains unclear. Phosphodiesterases (PDEs), which hydrolyze cAMP and cGMP in compartmentalized microdomains, act as key regulators of vascular integrity and remodeling. Methods: [...] Read more.
Background: Thoracic aortic aneurysm (TAA) is driven by complex molecular mechanisms beyond size thresholds, yet the role of cyclic nucleotide metabolism remains unclear. Phosphodiesterases (PDEs), which hydrolyze cAMP and cGMP in compartmentalized microdomains, act as key regulators of vascular integrity and remodeling. Methods: We performed a hypothesis-driven, transcriptomic analysis of 20 PDE isoforms using the GSE26155 dataset (43 TAA vs. 43 controls). Raw microarray data underwent background correction, log2 transformation, and false-discovery adjustment. Differential expression, logistic regression, receiver-operating characteristic (ROC) curves, calibration testing, correlation analysis, and interactome/enrichment mapping were conducted. Results: Thirteen PDE isoforms were significantly dysregulated in TAA. Upregulated transcripts included PDE10A, PDE2A, PDE4B, PDE7A, and PDE8A, whereas PDE1A/B/C, PDE3B, PDE5A, PDE6C, and PDE8B were downregulated. PDE10A achieved excellent discrimination for TAA (AUC = 0.838), while other isoforms demonstrated fair discriminatory ability. Correlation architecture revealed coordinated regulation between PDE subfamilies, including inverse relationships between PDE2A and PDE8B (r = −0.68). Interactome analysis highlighted dense connections with cyclic nucleotide and purinergic signaling hubs, enriched in vascular tone, NO–cGMP–PKG, and junctional assembly pathways. Integrating these findings with epigenetic and junctional frameworks suggests that PDE dysregulation promotes endothelial barrier fragility and maladaptive smooth-muscle remodeling. Conclusions: Family-wide PDE dysregulation characterizes human TAA, with PDE10A emerging as a central transcriptomic signature. Altered cAMP/cGMP microdomain signaling aligns with junctional failure and epigenetic control, supporting the potential of PDE isoforms as biomarkers and therapeutic targets. These results provide experimental evidence that cyclic nucleotide hydrolysis is re-wired in TAA, supporting PDE10A as a novel biomarker and therapeutic target that bridges molecular dysregulation with clinical risk stratification in thoracic aortic disease. Full article
Show Figures

Graphical abstract

24 pages, 4230 KB  
Article
Cloud-Based sEMG Segmentation for Muscle Fatigue Monitoring: A Wavelet–Quantile Approach with Computational Cost Assessment
by Aura Polo, Mario Callejas Cabarcas, Lácides Antonio Ripoll Solano, Carlos Robles-Algarín and Omar Rodríguez-Álvarez
Technologies 2026, 14(1), 16; https://doi.org/10.3390/technologies14010016 - 25 Dec 2025
Viewed by 458
Abstract
This paper presents the development and cloud deployment of a system for the segmentation of electromyographic (EMG) signals oriented toward muscle fatigue monitoring in the biceps and triceps. A dataset of 30 subjects was used, resulting in 120 EMG and gyroscope files containing [...] Read more.
This paper presents the development and cloud deployment of a system for the segmentation of electromyographic (EMG) signals oriented toward muscle fatigue monitoring in the biceps and triceps. A dataset of 30 subjects was used, resulting in 120 EMG and gyroscope files containing between four and six strength exercise series each. After a quality assessment, approximately 80% of the signals (95 files) were classified as level 1 or 2 and considered suitable for segmentation and subsequent analysis. A near real-time segmentation algorithm was designed based on signal envelopes, sliding windows, and quantile thresholds, complemented with discrete wavelet transform (DWT) filtering. Using EMG alone, segmentation accuracy reached 83% for biceps and 54% for triceps; after incorporating DWT preprocessing, accuracy increased to 87.5% and 71%, respectively. By exploiting the gyroscope’s X-axis signal as a low-noise reference, the optimal configuration achieved an overall accuracy of 80%, with 83.3% for biceps and 76.2% for triceps. The prototype was deployed on Amazon Web Services (AWS) using EC2 instances and SQS queues, and its computational cost was evaluated across four server types. On a t2.micro instance, the maximum memory usage was approximately 219 MB with a dedicated CPU and a maximum processing time of 0.98 s per signal, demonstrating the feasibility of near real-time operation under conditions with limited resources. Full article
Show Figures

Figure 1

13 pages, 5293 KB  
Article
Histopathological and Molecular Characterization of Amlodipine-Induced Gingival Enlargement: Insights into Fibrotic Mechanisms
by Jana Mojsilović, Marina Kostić, Sanja Vujović Ristić, Momir Stevanović, Milovan Stević, Sanja Knežević and Nemanja Jovičić
Pharmaceuticals 2026, 19(1), 45; https://doi.org/10.3390/ph19010045 - 24 Dec 2025
Viewed by 245
Abstract
Background/Objectives: Amlodipine, a widely prescribed calcium channel blocker, has been associated with gingival enlargement, yet the mechanisms underlying this adverse effect remain unclear. The present study aimed to explore molecular and histopathological factors potentially contributing to gingival changes in patients receiving amlodipine [...] Read more.
Background/Objectives: Amlodipine, a widely prescribed calcium channel blocker, has been associated with gingival enlargement, yet the mechanisms underlying this adverse effect remain unclear. The present study aimed to explore molecular and histopathological factors potentially contributing to gingival changes in patients receiving amlodipine therapy, with a particular focus on molecules implicated in extracellular matrix turnover and tissue remodeling. Methods: The study included three groups of participants: patients with amlodipine-induced gingival enlargement, patients with gingival enlargement of inflammatory origin, and amlodipine-treated patients without gingival overgrowth. Gingival tissue samples were analyzed using hematoxylin-eosin staining to assess inflammatory changes and general tissue architecture, and Picrosirius Red staining to visualize collagen fibers. Relative gene expression of alpha-smooth muscle actin (α-SMA), IL-13, MMP-1, and procollagen was determined by real-time PCR, while collagen content was quantified using ImageJ software. Results: Histopathological evaluation revealed a less pronounced inflammatory response in amlodipine-related gingival enlargement compared to those who did not use amlodipine. The highest expression of α-SMA was detected in patients who did not receive amlodipine, whereas IL-13 and procollagen expression were markedly elevated in the amlodipine-induced group compared to others. MMP-1 expression was significantly lower in amlodipine-treated patients relative to those who did not use amlodipine, suggesting impaired collagen degradation. These findings, together with our previous results indicating enhanced expression of profibrotic mediators, suggest that altered extracellular matrix metabolism is potentially dominant in this condition. Conclusions: Amlodipine-induced gingival enlargement appears to involve a multifactorial process characterized by a prominent fibrotic component, reduced matrix degradation, and secondary inflammation. Full article
(This article belongs to the Section Medicinal Chemistry)
Show Figures

Figure 1

18 pages, 2063 KB  
Article
Effect of Occlusal Splint Guidance on Masseter Muscle Activity During Sleep in Adults with Sleep Bruxism: A Preliminary Randomized Crossover Clinical Trial
by Megumi Matsuyama, Masayuki Takaba, Yuka Abe, Kohei Maejima, Shiori Okuhara, Toshiro Hirai and Kazuyoshi Baba
J. Clin. Med. 2025, 14(24), 8799; https://doi.org/10.3390/jcm14248799 - 12 Dec 2025
Viewed by 1061
Abstract
Background/Objectives: Occlusal splints are widely used for managing sleep bruxism (SB), providing uniform contact across the entire dentition in the centric relation. Nonetheless, different guidance schemes, such as bilateral balanced occlusion (BBO) and canine guidance (CG), are used during eccentric movements, and [...] Read more.
Background/Objectives: Occlusal splints are widely used for managing sleep bruxism (SB), providing uniform contact across the entire dentition in the centric relation. Nonetheless, different guidance schemes, such as bilateral balanced occlusion (BBO) and canine guidance (CG), are used during eccentric movements, and the optimal design remains unclear. This study compared the effects of BBO and CG on masticatory muscle activity, sleep architecture, and subjective outcomes during sleep. Methods: This non-blinded randomized crossover trial enrolled 24 healthy adults diagnosed with SB (16 men and 8 women; mean age, 26.1 years) who were randomly assigned to either a BBO-first or CG-first sequence. Individual splints of both types were milled from the polymethyl methacrylate discs. After a 5-night baseline period, each splint was worn for 33 nights in a home environment, and data from nights 29 to 33 were analyzed. Masseter muscle activity was assessed using single-channel electromyography (EMG), yielding EMG parameters, including integrated EMG per hour, number of episodes and bursts per hour, mean episode duration, and total episode duration per hour. Sleep architecture was assessed using portable polysomnography with automatic scoring, and subjective outcomes were assessed for sleep disturbance, morning symptoms, and splint comfort. Differences between splints were analyzed using Wilcoxon signed-rank tests (α = 0.05). Results: Twenty-three participants completed the study. No statistically significant differences were found between the BBO and CG splints for any EMG parameters, sleep variables, or subjective measures. Conclusions: Splint guidance design differences showed no significant effects; however, smaller, potentially clinically relevant effects cannot be excluded. Full article
(This article belongs to the Section Dentistry, Oral Surgery and Oral Medicine)
Show Figures

Figure 1

16 pages, 3394 KB  
Article
Thenar Muscle Atrophy: Clinical, Electrodiagnostic, and Ultrasound Features in 197 Patients
by Lisa B. E. Shields, Vasudeva G. Iyer, Stephen Furmanek, Yi Ping Zhang and Christopher B. Shields
Neurol. Int. 2025, 17(12), 201; https://doi.org/10.3390/neurolint17120201 - 11 Dec 2025
Viewed by 1093
Abstract
Background/Objectives: Atrophy of the thenar muscles (abductor pollicis brevis [APB], opponens pollicis [OP], and flexor pollicis brevis [FPB]) is most commonly caused by carpal tunnel syndrome (CTS). It may also occur following injury to the recurrent motor branch of the median nerve, proximal [...] Read more.
Background/Objectives: Atrophy of the thenar muscles (abductor pollicis brevis [APB], opponens pollicis [OP], and flexor pollicis brevis [FPB]) is most commonly caused by carpal tunnel syndrome (CTS). It may also occur following injury to the recurrent motor branch of the median nerve, proximal median nerve neuropathy, medial cord/lower trunk plexopathy, T1 radiculopathy, ventral horn cell disorder at C8 or T1, disuse atrophy, or congenital aplasia. Clinical observation of flattening of the thenar eminence coupled with electrodiagnostic (EDX) and ultrasound (US) studies is valuable in determining the etiology of thenar atrophy. This study describes clinical, EDX, and US findings in a large cohort of patients with thenar muscle atrophy. Methods: This is a review of 197 patients (226 hands) with thenar atrophy who underwent EDX and US studies. Patients were divided into those with total thenar atrophy (all three thenar muscles were atrophic) or partial thenar atrophy (atrophy of one or two thenar muscles) based on clinical and US findings. Results: Of the 226 hands, 174 (77.0%) had partial thenar atrophy, 217 (96.0%) had sensory loss, and all hands demonstrated weakness of the APB and OP muscles on examination. A total of 220 (97.3%) hands had EDX evidence of severe median nerve entrapment at the carpal tunnel. The compound muscle action potentials (CMAPs) of the APB muscle and sensory nerve action potentials (SNAPs) were absent in 186 (82.3%) and 212 (93.8%) hands, respectively. US study showed hyperechoic APB and OP muscles in 225 (99.6%) hands. The Heckmatt grade, determined by US, was 3 in 152 (67.3%) hands, showing increased muscle echogenicity with loss of architecture and reduced bone reflection. Conclusions: In patients with thenar muscle atrophy, EDX studies were not always conclusive for confirming CTS due to an absence of SNAP and CMAP over the APB and second lumbrical muscles. In these cases, US is important to confirm the cause of thenar atrophy. Full article
(This article belongs to the Section Movement Disorders and Neurodegenerative Diseases)
Show Figures

Figure 1

13 pages, 1045 KB  
Article
Development of a Nomogram for Predicting Lymphovascular Invasion at Initial Transurethral Resection of Bladder Tumors
by Takatoshi Somoto, Takanobu Utsumi, Rino Ikeda, Naoki Ishitsuka, Takahide Noro, Yuta Suzuki, Shota Iijima, Yuka Sugizaki, Ryo Oka, Takumi Endo, Naoto Kamiya, Nobuyuki Hiruta and Hiroyoshi Suzuki
Appl. Sci. 2025, 15(24), 12979; https://doi.org/10.3390/app152412979 - 9 Dec 2025
Viewed by 255
Abstract
Lymphovascular invasion (LVI) is a potent yet underutilized prognostic marker in bladder cancer, particularly in non–muscle-invasive disease (NMIBC). We aimed to develop and internally validate a predictive nomogram to estimate the probability of LVI at initial transurethral resection of bladder tumors (TURBT), utilizing [...] Read more.
Lymphovascular invasion (LVI) is a potent yet underutilized prognostic marker in bladder cancer, particularly in non–muscle-invasive disease (NMIBC). We aimed to develop and internally validate a predictive nomogram to estimate the probability of LVI at initial transurethral resection of bladder tumors (TURBT), utilizing preoperative clinical parameters. In this retrospective cohort study, 413 patients with histologically confirmed urothelial carcinoma who underwent initial TURBT were included. LVI was identified histologically in 9.2% of cases. Univariate and multivariate logistic regression, in conjunction with the least absolute shrinkage and selection operator modeling, revealed eight significant predictors: papillary architecture, Box–Cox–transformed tumor size, urinary cytology classification, age ≥ 75 years, pedunculated morphology, gender, hydronephrosis, and tumor multiplicity. The resulting nomogram demonstrated excellent discriminative performance, with an AUC of 0.888 in the training cohort and 0.827 in the validation cohort, and exhibited good calibration based on weighted plots. This model facilitates individualized prediction of LVI using routinely available clinical data. Early detection of LVI may inform risk-adapted management strategies, including repeat resection, or intensified surveillance in patients with bladder cancer. The model complements existing predictive frameworks and can contribute to more personalized and effective bladder cancer care. Full article
Show Figures

Figure 1

22 pages, 5627 KB  
Review
Biomimetic Artificial Muscles Inspired by Nature’s Volume-Change Actuation Mechanisms
by Hyunsoo Kim, Minwoo Kim, Yonghun Noh and Yongwoo Jang
Biomimetics 2025, 10(12), 816; https://doi.org/10.3390/biomimetics10120816 - 4 Dec 2025
Viewed by 848
Abstract
Artificial muscles translate the biological principles of motion into soft, adaptive, and multifunctional actuation. This review accordingly highlights research into natural actuation strategies, such as skeletal muscles, muscular hydrostats, spider silk, and plant turgor systems, to reveal the principles underlying energy conversion and [...] Read more.
Artificial muscles translate the biological principles of motion into soft, adaptive, and multifunctional actuation. This review accordingly highlights research into natural actuation strategies, such as skeletal muscles, muscular hydrostats, spider silk, and plant turgor systems, to reveal the principles underlying energy conversion and deformation control. Building on these insights, polymer-based artificial muscles based on these principles, including pneumatic muscles, dielectric elastomers, and ionic electroactive systems, are described and their capabilities for efficient contraction, bending, and twisting with tunable stiffness and responsiveness are summarized. Furthermore, the abilities of carbon nanotube composites and twisted yarns to amplify nanoscale dimensional changes through hierarchical helical architectures and achieve power and work densities comparable to those of natural muscle are discussed. Finally, the integration of these actuators into soft robotic systems is explored through biomimetic locomotion and manipulation systems ranging from jellyfish-inspired swimmers to octopus-like grippers, gecko-adhesive manipulators, and beetle-inspired flapping wings. Despite rapid progress in the development of artificial muscles, challenges remain in achieving long-term durability, energy efficiency, integrated sensing, and closed-loop control. Therefore, future research should focus on developing intelligent muscular systems that combine actuation, perception, and self-healing to advance progress toward realizing autonomous, lifelike machines that embody the organizational principles of living systems. Full article
(This article belongs to the Special Issue Bionic Technology—Robotic Exoskeletons and Prostheses: 3rd Edition)
Show Figures

Figure 1

18 pages, 11393 KB  
Article
What Do Single-Cell Models Already Know About Perturbations?
by Andreas Bjerregaard, Iñigo Prada-Luengo, Vivek Das and Anders Krogh
Genes 2025, 16(12), 1439; https://doi.org/10.3390/genes16121439 - 2 Dec 2025
Viewed by 1452
Abstract
Background: Virtual cells are embedded in widely used single-cell generative models. Nonetheless, the models’ implicit knowledge of perturbations remains unclear. Methods: We train variational autoencoders on three gene expression datasets spanning genetic, chemical, and temporal perturbations, and infer perturbations by differentiating [...] Read more.
Background: Virtual cells are embedded in widely used single-cell generative models. Nonetheless, the models’ implicit knowledge of perturbations remains unclear. Methods: We train variational autoencoders on three gene expression datasets spanning genetic, chemical, and temporal perturbations, and infer perturbations by differentiating decoder outputs with respect to latent variables. This yields vector fields of infinitesimal change in gene expression. Furthermore, we probe a publicly released scVI decoder trained on the CELL×GENE Discover Census (5.7 M mouse cells) and score genes by the alignment between local gradients and an empirical healthy-to-disease axis, followed by a novel large language model-based evaluation of pathways. Results: Gradient flows recover known transitions in Irf8 knockout microglia, cardiotoxin-treated muscle, and worm embryogenesis. In the pretrained Census model, gradients help identify pathways with stronger statistical support and higher type 2 diabetes relevance than an average expression baseline. Conclusions: Trained single-cell decoders already contain rich perturbation-relevant information that can be accessed by automatic differentiation, enabling in-silico perturbation simulations and principled ranking of genes along observed disease or treatment axes without bespoke architectures or perturbation labels. Full article
(This article belongs to the Special Issue Machine Learning in Cancer and Disease Genomics)
Show Figures

Figure 1

39 pages, 16826 KB  
Review
Recent Developments in Pneumatic Artificial Muscle Actuators
by Aliya Zhagiparova, Vladimir Golubev and Daewon Kim
Actuators 2025, 14(12), 582; https://doi.org/10.3390/act14120582 - 1 Dec 2025
Cited by 1 | Viewed by 1755
Abstract
Pneumatic Artificial Muscles (PAMs) are soft actuators that mimic the contractile behavior of biological muscles through fluid-driven deformation. Originating from McKibben’s 1950s braided design, PAMs have evolved into a diverse class of actuators, offering high power-to-weight ratios, compliance, and safe human interaction, with [...] Read more.
Pneumatic Artificial Muscles (PAMs) are soft actuators that mimic the contractile behavior of biological muscles through fluid-driven deformation. Originating from McKibben’s 1950s braided design, PAMs have evolved into a diverse class of actuators, offering high power-to-weight ratios, compliance, and safe human interaction, with applications spanning rehabilitation, assistive robotics, aerospace, and adaptive structures. This review surveys recent developments in actuation mechanisms and applications of PAMs. Traditional designs, including braided, pleated, netted, and embedded types, remain widely used but face challenges such as hysteresis, limited contraction, and nonlinear control. To address these limitations, researchers have introduced non-traditional mechanisms such as vacuum-powered, inverse, foldable, origami-based, reconfigurable, and hybrid PAMs. These innovations improve the contraction range, efficiency, control precision, and integration into compact or untethered systems. This review also highlights applications beyond conventional biomechanics and automation, including embodied computation, deployable aerospace systems, and adaptive architecture. Collectively, these advances demonstrate PAMs’ expanding role as versatile soft actuators. Ongoing research is expected to refine material durability, control strategies, and multifunctionality, enabling the next generation of wearable devices, soft robots, and energy-efficient adaptive systems. Full article
(This article belongs to the Special Issue Advanced Technologies in Soft Actuators—2nd Edition)
Show Figures

Figure 1

Back to TopTop