Sign in to use this feature.

Years

Between: -

Subjects

remove_circle_outline
remove_circle_outline
remove_circle_outline
remove_circle_outline
remove_circle_outline
remove_circle_outline
remove_circle_outline
remove_circle_outline

Journals

Article Types

Countries / Regions

Search Results (15)

Search Parameters:
Keywords = multilevel imputation

Order results
Result details
Results per page
Select all
Export citation of selected articles as:
23 pages, 7271 KB  
Article
A Hybrid ASW-UKF-TRF Algorithm for Efficient Data Classification and Compression in Lithium-Ion Battery Management Systems
by Bowen Huang, Xueyuan Xie, Jiangteng Yi, Qian Yu, Yong Xu and Kai Liu
Electronics 2025, 14(19), 3780; https://doi.org/10.3390/electronics14193780 - 24 Sep 2025
Viewed by 48
Abstract
Electrochemical energy storage technology, primarily lithium-ion batteries, has been widely applied in large-scale energy storage systems. However, differences in assembly structures, manufacturing processes, and operating environments introduce parameter inconsistencies among cells within a pack, producing complex, high-volume datasets with redundant and fragmented charge–discharge [...] Read more.
Electrochemical energy storage technology, primarily lithium-ion batteries, has been widely applied in large-scale energy storage systems. However, differences in assembly structures, manufacturing processes, and operating environments introduce parameter inconsistencies among cells within a pack, producing complex, high-volume datasets with redundant and fragmented charge–discharge records that hinder efficient and accurate system monitoring. To address this challenge, we propose a hybrid ASW-UKF-TRF framework for the classification and compression of battery data collected from energy storage power stations. First, an adaptive sliding-window Unscented Kalman Filter (ASW-UKF) performs online data cleaning, imputation, and smoothing to ensure temporal consistency and recover missing/corrupted samples. Second, a temporally aware TRF segments the time series and applies an importance-weighted, multi-level compression that formally prioritizes diagnostically relevant features while compressing low-information segments. The novelty of this work lies in combining deployment-oriented engineering robustness with methodological innovation: the ASW-UKF provides context-aware, online consistency restoration, while the TRF compression formalizes diagnostic value in its retention objective. This hybrid design preserves transient fault signatures that are frequently removed by conventional smoothing or generic compressors, while also bounding computational overhead to enable online deployment. Experiments on real operational station data demonstrate classification accuracy above 95% and an overall data volume reduction in more than 60%, indicating that the proposed pipeline achieves substantial gains in monitoring reliability and storage efficiency compared to standard denoising-plus-generic-compression baselines. The result is a practical, scalable workflow that bridges algorithmic advances and engineering requirements for large-scale battery energy storage monitoring. Full article
Show Figures

Figure 1

17 pages, 607 KB  
Article
Investigating the Factors Influencing Traditional Male Circumcision and Its Contribution to HIV Transmission Amongst Men in Lesotho: A Multilevel Binary Logistic Regression Approach
by Sizwe Vincent Mbona, Anisha Ananth and Retius Chifurira
Int. J. Environ. Res. Public Health 2025, 22(7), 993; https://doi.org/10.3390/ijerph22070993 - 24 Jun 2025
Viewed by 670
Abstract
Background: Traditional Male Circumcision (TMC) has been practiced in many parts of the world. However, the impact thereof on reducing HIV transmission is still unclear. This study aimed to examine the prevalence and determinants of TMC and the associated risk of HIV transmission [...] Read more.
Background: Traditional Male Circumcision (TMC) has been practiced in many parts of the world. However, the impact thereof on reducing HIV transmission is still unclear. This study aimed to examine the prevalence and determinants of TMC and the associated risk of HIV transmission in Lesotho. Method: Using data from the 2023–24 Lesotho Demographic and Health Survey, the analysis included a weighted sample of 3202 men aged 15–59 years. Missing data was addressed through multiple imputations, and multilevel logistic regression was used to assess the factors associated with TMC, incorporating intra-class correlation to evaluate cluster-level variation. Results: The findings revealed that 51.0% (95% CI: 49.3–52.7) of men in Lesotho had undergone TMC. Older men, particularly those aged 35 years and above, were more likely to be circumcised compared to younger men aged 15–24 years (AOR = 1.63; 95% CI: 1.46–1.86). Other individual-level factors positively associated with TMC included smoking, being married to one partner, previous sexual experience, and rural residence. Conversely, men with formal education, unknown or undisclosed HIV status, residing in the Berea or Maseru districts, and those from middle- or high-income households were less likely to undergo TMC. Conclusion: The study highlights significant variation in TMC practices across communities and identifies both individual and contextual factors influencing its uptake. These insights underscore the need for culturally sensitive, voluntary, and medically safe circumcision programs. Public health initiatives should consider these determinants when designing interventions to ensure a safer and more effective implementation of TMC in Lesotho. Full article
Show Figures

Figure 1

16 pages, 428 KB  
Article
Impact of Mental Health Literacy on Improving Quality of Life Among Adolescents in Barcelona
by Isaac Daniel Amado-Rodríguez, Rocio Casañas, Jaume Juan-Parra, Juan Francisco Roldan-Merino, Lluís Lalucat-Jo and Mª Isabel Fernandez-San-Martín
Children 2025, 12(2), 235; https://doi.org/10.3390/children12020235 - 15 Feb 2025
Cited by 1 | Viewed by 1580
Abstract
Background/Objectives: We aim to assess the effect of the Espaijove.net mental health literacy program on adolescents’ quality of life (QOL). Additionally, we aim to describe their QOL and mental well-being. Methods: A multicenter, randomized, controlled trial was conducted, with pre- and [...] Read more.
Background/Objectives: We aim to assess the effect of the Espaijove.net mental health literacy program on adolescents’ quality of life (QOL). Additionally, we aim to describe their QOL and mental well-being. Methods: A multicenter, randomized, controlled trial was conducted, with pre- and post-intervention assessments and 6- and 12-month follow-ups. A total of 1032 students aged 13–14 from 18 schools in Barcelona participated in one of the three following mental health literacy (MHL) programs or were placed in a control group (CG): (1) a 1 h awareness session (G1h); (2) a 6 h MHL program (G6h); (3) a 7 h MHL program with stigma reduction (G7h). Measures: (1) Mental well-being: Strengths and Difficulties Questionnaire (SDQ); (2) QOL: EuroQol 5D-5L with its two parts: the EuroQol 5D-5L Index (0–1) and EuroQol 5D-5L visual analog scale (EQ-VAS) (0–100). Analyses were conducted on an intention-to-treat basis, using data imputation methods for missing data. Intervention effects were assessed using multilevel models. Results: Baseline EQ-VAS and EQ-5D-5L index scores were 77.84 (CI = 76.77–78.91) and 0.91 (CI = 0.90–0.92), respectively. Boys reported higher QOL and SDQ scores (p < 0.001), whereas participants of foreign nationality showed lower scores in QOL (EQ-VAS; p = 0.039) and mental well-being (p < 0.001). Post-intervention, all groups (intervention and control), except G6h, showed QOL improvements. However, in the 6-month follow-up, the CG outperformed the other groups. At 12 months, G7h achieved the highest EQ-VAS scores compared to the other groups. Conclusions: MHL-based interventions improved short-term QOL but failed to sustain these improvements over time. Groups with lower QOL and SDQ scores included girls and adolescents of foreign nationality. Full article
(This article belongs to the Section Pediatric Mental Health)
Show Figures

Figure 1

34 pages, 659 KB  
Article
Two-Stage Limited-Information Estimation for Structural Equation Models of Round-Robin Variables
by Terrence D. Jorgensen, Aditi M. Bhangale and Yves Rosseel
Stats 2024, 7(1), 235-268; https://doi.org/10.3390/stats7010015 - 28 Feb 2024
Cited by 2 | Viewed by 2854
Abstract
We propose and demonstrate a new two-stage maximum likelihood estimator for parameters of a social relations structural equation model (SR-SEM) using estimated summary statistics (Σ^) as data, as well as uncertainty about Σ^ to obtain robust inferential statistics. The [...] Read more.
We propose and demonstrate a new two-stage maximum likelihood estimator for parameters of a social relations structural equation model (SR-SEM) using estimated summary statistics (Σ^) as data, as well as uncertainty about Σ^ to obtain robust inferential statistics. The SR-SEM is a generalization of a traditional SEM for round-robin data, which have a dyadic network structure (i.e., each group member responds to or interacts with each other member). Our two-stage estimator is developed using similar logic as previous two-stage estimators for SEM, developed for application to multilevel data and multiple imputations of missing data. We demonstrate out estimator on a publicly available data set from a 2018 publication about social mimicry. We employ Markov chain Monte Carlo estimation of Σ^ in Stage 1, implemented using the R package rstan. In Stage 2, the posterior mean estimates of Σ^ are used as input data to estimate SEM parameters with the R package lavaan. The posterior covariance matrix of estimated Σ^ is also calculated so that lavaan can use it to calculate robust standard errors and test statistics. Results are compared to full-information maximum likelihood (FIML) estimation of SR-SEM parameters using the R package srm. We discuss how differences between estimators highlight the need for future research to establish best practices under realistic conditions (e.g., how to specify empirical Bayes priors in Stage 1), as well as extensions that would make 2-stage estimation particularly advantageous over single-stage FIML. Full article
(This article belongs to the Section Statistical Methods)
Show Figures

Figure 1

32 pages, 9511 KB  
Article
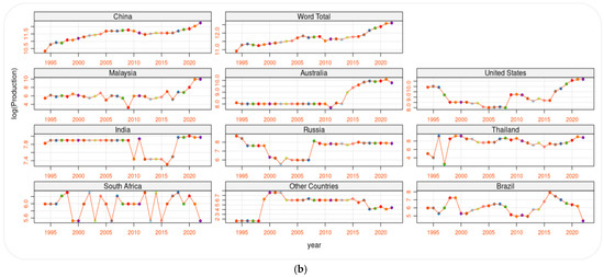
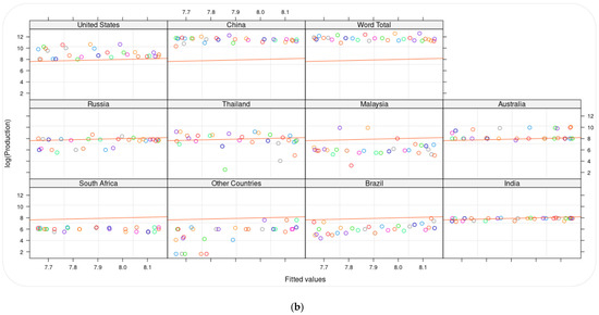
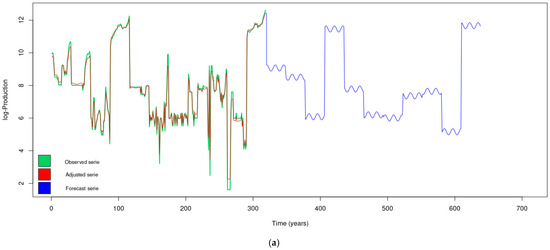
Predicting the Production and Depletion of Rare Earth Elements and Their Influence on Energy Sector Sustainability through the Utilization of Multilevel Linear Prediction Mixed-Effects Models with R Software
by Hamza El Azhari, El Khalil Cherif, Rachid El Halimi, El Mustapha Azzirgue, Yassine Ou Larbi, Franco Coren and Farida Salmoun
Sustainability 2024, 16(5), 1951; https://doi.org/10.3390/su16051951 - 27 Feb 2024
Cited by 9 | Viewed by 5280
Abstract
For many years, rare earth elements (REEs) have been part of a wide range of applications (from cell phones and batteries to electric vehicles and wind turbines) needed for daily life all over the world. Moreover, they are often declared to be part [...] Read more.
For many years, rare earth elements (REEs) have been part of a wide range of applications (from cell phones and batteries to electric vehicles and wind turbines) needed for daily life all over the world. Moreover, they are often declared to be part of “green technology”. Therefore, the data obtained from the United States Geological Survey (USGS) on the reserve and production of rare earth elements underwent treatment using the multivariate imputation by chained equations (MICE) algorithm to recover missing data. Initially, a simple linear regression model was chosen, which only considered fixed effects (β) and ignored random effects (Ui). However, recognizing the importance of accounting for random effects, the study subsequently employed the multilevel Linear Mixed-Effects (LME) model. This model allows for the simultaneous estimation of both fixed effects and random effects, followed by the estimation of variance parameters (γ, ρ, and σ2). The study demonstrated that the adjusted values closely align with the actual values, as indicated by the p-values being less than 0.05. Moreover, this model effectively captures the sample’s error, fixed, and random components. Also, in this range, the findings indicated two standard deviation measurements for fixed and random effects, along with a variance measurement, which exhibits significant predictive capabilities. Furthermore, within this timeframe, the study provided predictions for world reserves of rare earth elements in various countries until 2053, as well as world production forecasts through 2051. Notably, China is expected to maintain its dominant position in both reserve and production, with an estimated production volume of 101,985.246 tons, followed by the USA with a production volume of 15,850.642 tons. This study also highlights the periodic nature of production, with a specific scale, as well as periodicity in reserve. These insights can be utilized to define and quantify sustainability and to mitigate environmental hazards associated with the use of rare earth materials in the energy industry. Additionally, they can aid in making informed decisions regarding at-risk rare earth reserves, considering potential future trends in electric vehicle (EV) production up to the year 2050. Full article
Show Figures

Figure 1

16 pages, 861 KB  
Article
Preventing Stress among High School Students in Denmark through the Multicomponent Healthy High School Intervention—The Effectiveness at First Follow-Up
by Camilla Thørring Bonnesen, Lau Caspar Thygesen, Naja Hulvej Rod, Mette Toftager, Katrine Rich Madsen, Marie Pil Jensen, Johanne Aviaja Rosing, Stine Kjær Wehner, Pernille Due and Rikke Fredenslund Krølner
Int. J. Environ. Res. Public Health 2023, 20(3), 1754; https://doi.org/10.3390/ijerph20031754 - 18 Jan 2023
Cited by 5 | Viewed by 3672
Abstract
Stress is a widespread phenomenon and young people especially are experiencing high levels of stress. School-related factors are the most frequently self-reported stressors among adolescents, but few interventions have targeted the school environment. This study evaluated the effectiveness of the Healthy High School [...] Read more.
Stress is a widespread phenomenon and young people especially are experiencing high levels of stress. School-related factors are the most frequently self-reported stressors among adolescents, but few interventions have targeted the school environment. This study evaluated the effectiveness of the Healthy High School (HHS) intervention on stress at a 9-month follow-up. The study included 5201 first-year high school students (~16 years) in Denmark. Participating schools were randomized into the HHS intervention (N = 15) or control group (N = 15). Baseline measurements were conducted in August 2016 and the follow-up was conducted in May 2017. The intervention was designed to promote well-being (primary outcome) by focusing on physical activity, meals, sleep, sense of security, and stress (secondary outcomes). The intervention comprised: structural initiatives at the school level; a teaching material; peer-led innovation workshops; and a smartphone app. The 10-item Perceived Stress Scale was used to measure stress. Intervention effects on perceived stress were estimated using an intention-to-treat approach with multiple imputations of missing data and multilevel general linear regression modelling. A total of 4577 students answered the baseline questionnaire. No statistically significant difference was found in stress between students at intervention and control schools at the follow-up (mean score: 16.7 versus 16.7, adjusted b = 0.42, 95% CI: −0.16;1.00). The HHS Study is one of the first large randomized controlled trials targeting school environmental stressors. Potential implementation failures and the failures of the program theory are discussed. Full article
Show Figures

Figure 1

20 pages, 2950 KB  
Review
Methodological Issues in Analyzing Real-World Longitudinal Occupational Health Data: A Useful Guide to Approaching the Topic
by Rémi Colin-Chevalier, Frédéric Dutheil, Sébastien Cambier, Samuel Dewavrin, Thomas Cornet, Julien Steven Baker and Bruno Pereira
Int. J. Environ. Res. Public Health 2022, 19(12), 7023; https://doi.org/10.3390/ijerph19127023 - 8 Jun 2022
Cited by 7 | Viewed by 3524
Abstract
Ever greater technological advances and democratization of digital tools such as computers and smartphones offer researchers new possibilities to collect large amounts of health data in order to conduct clinical research. Such data, called real-world data, appears to be a perfect complement to [...] Read more.
Ever greater technological advances and democratization of digital tools such as computers and smartphones offer researchers new possibilities to collect large amounts of health data in order to conduct clinical research. Such data, called real-world data, appears to be a perfect complement to traditional randomized clinical trials and has become more important in health decisions. Due to its longitudinal nature, real-world data is subject to specific and well-known methodological issues, namely issues with the analysis of cluster-correlated data, missing data and longitudinal data itself. These concepts have been widely discussed in the literature and many methods and solutions have been proposed to cope with these issues. As examples, mixed and trajectory models have been developed to explore longitudinal data sets, imputation methods can resolve missing data issues, and multilevel models facilitate the treatment of cluster-correlated data. Nevertheless, the analysis of real-world longitudinal occupational health data remains difficult, especially when the methodological challenges overlap. The purpose of this article is to present various solutions developed in the literature to deal with cluster-correlated data, missing data and longitudinal data, sometimes overlapped, in an occupational health context. The novelty and usefulness of our approach is supported by a step-by-step search strategy and an example from the Wittyfit database, which is an epidemiological database of occupational health data. Therefore, we hope that this article will facilitate the work of researchers in the field and improve the accuracy of future studies. Full article
(This article belongs to the Special Issue Data Science for Environment and Health Applications)
Show Figures

Figure 1

29 pages, 987 KB  
Article
Factors Influencing Teachers’ Use of ICT in Class: Evidence from a Multilevel Logistic Model
by Nerea Gómez-Fernández and Mauro Mediavilla
Mathematics 2022, 10(5), 799; https://doi.org/10.3390/math10050799 - 2 Mar 2022
Cited by 10 | Viewed by 6451
Abstract
Information and Communication Technologies (ICTs) have become a key factor in the educational context, especially in the aftermath of the COVID-19 pandemic, and, correctly implemented, can help to improve academic performance. The aim of this research was to analyse the factors that influence [...] Read more.
Information and Communication Technologies (ICTs) have become a key factor in the educational context, especially in the aftermath of the COVID-19 pandemic, and, correctly implemented, can help to improve academic performance. The aim of this research was to analyse the factors that influence teachers’ decisions to use ICT more- or less frequently to carry out tasks and exercises in their classes. To this end, we estimated a multilevel logistic model with census data from the individualized evaluation of students of the Community of Madrid (Spain) carried out at the end of the 2018–2019 academic year in primary and secondary education. Additionally, we applied multiple imputation techniques to deal with missing values. Based on our results, we found that motivated teachers who have received ICT training, teach calm and respectful classes, and work at schools where students have access to digital devices and frequently use ICT at home, have a high predisposition to use ICT in their classes. Considering our results, our recommendations are aimed at improving teacher training in ICT, encouraging a frequent but responsible use of ICT at home, and increasing the provision of technological resources in schools. Full article
(This article belongs to the Special Issue Economics of Education: Quantitative Methods for Educational Policies)
Show Figures

Figure A1

19 pages, 6113 KB  
Article
Excess Mortality by Multimorbidity, Socioeconomic, and Healthcare Factors, amongst Patients Diagnosed with Diffuse Large B-Cell or Follicular Lymphoma in England
by Matthew James Smith, Aurélien Belot, Matteo Quartagno, Miguel Angel Luque Fernandez, Audrey Bonaventure, Susan Gachau, Sara Benitez Majano, Bernard Rachet and Edmund Njeru Njagi
Cancers 2021, 13(22), 5805; https://doi.org/10.3390/cancers13225805 - 19 Nov 2021
Cited by 6 | Viewed by 3400
Abstract
(1) Background: Socioeconomic inequalities of survival in patients with lymphoma persist, which may be explained by patients’ comorbidities. We aimed to assess the association between comorbidities and the survival of patients diagnosed with diffuse large B-cell (DLBCL) or follicular lymphoma (FL) in England [...] Read more.
(1) Background: Socioeconomic inequalities of survival in patients with lymphoma persist, which may be explained by patients’ comorbidities. We aimed to assess the association between comorbidities and the survival of patients diagnosed with diffuse large B-cell (DLBCL) or follicular lymphoma (FL) in England accounting for other socio-demographic characteristics. (2) Methods: Population-based cancer registry data were linked to Hospital Episode Statistics. We used a flexible multilevel excess hazard model to estimate excess mortality and net survival by patient’s comorbidity status, adjusted for sociodemographic, economic, and healthcare factors, and accounting for the patient’s area of residence. We used the latent normal joint modelling multiple imputation approach for missing data. (3) Results: Overall, 15,516 and 29,898 patients were diagnosed with FL and DLBCL in England between 2005 and 2013, respectively. Amongst DLBCL and FL patients, respectively, those in the most deprived areas showed 1.22 (95% confidence interval (CI): 1.18–1.27) and 1.45 (95% CI: 1.30–1.62) times higher excess mortality hazard compared to those in the least deprived areas, adjusted for comorbidity status, age at diagnosis, sex, ethnicity, and route to diagnosis. (4) Conclusions: Deprivation is consistently associated with poorer survival among patients diagnosed with DLBCL or FL, after adjusting for co/multimorbidities. Comorbidities and multimorbidities need to be considered when planning public health interventions targeting haematological malignancies in England. Full article
Show Figures

Figure 1

9 pages, 323 KB  
Article
Association between Urban Upbringing and Compulsive Internet Use in Japan: A Cross-Sectional, Multilevel Study with Retrospective Recall
by Naonori Yasuma, Daisuke Nishi, Kazuhiro Watanabe, Hanako Ishikawa, Hisateru Tachimori, Tadashi Takeshima, Maki Umeda and Norito Kawakami
Int. J. Environ. Res. Public Health 2021, 18(18), 9890; https://doi.org/10.3390/ijerph18189890 - 20 Sep 2021
Cited by 3 | Viewed by 2759
Abstract
The purpose of this study was to show the association between urban upbringing and compulsive internet use (CIU). The interview data of the sample (N = 2431) was obtained from the World Mental Health Japan Second Survey and a multilevel model was used [...] Read more.
The purpose of this study was to show the association between urban upbringing and compulsive internet use (CIU). The interview data of the sample (N = 2431) was obtained from the World Mental Health Japan Second Survey and a multilevel model was used to investigate the association. Multiple imputation was also conducted in this study. Growing up in a large city was significantly associated with higher Compulsive Internet Use Scale (CIUS) scores (γ = 1.65, Standard Error (SE) = 0.45) and Mild CIU + Severe CIU (Exp(γ) = 1.44; 95% Confidence Interval (CI) (1.04–2.00)) compared to growing up in a small municipality after adjusting for both sociodemographic characteristics and psychopathology. This study showed a possible association between urban upbringing and CIU. Future studies with longitudinal design are needed to better understand this association. Full article
(This article belongs to the Topic Internet Addiction)
15 pages, 1130 KB  
Article
Implementing Government Elementary Math Exercises Online: Positive Effects Found in RCT under Social Turmoil in Chile
by Roberto Araya and Karina Diaz
Educ. Sci. 2020, 10(9), 244; https://doi.org/10.3390/educsci10090244 - 11 Sep 2020
Cited by 16 | Viewed by 4671
Abstract
The impact of online math programs depends on its implementation, especially in vulnerable populations from developing countries. An existing online platform was adapted, at the request of the Chilean Ministry of Education, to exclusively include exercises previously designed and tested by a paper-based [...] Read more.
The impact of online math programs depends on its implementation, especially in vulnerable populations from developing countries. An existing online platform was adapted, at the request of the Chilean Ministry of Education, to exclusively include exercises previously designed and tested by a paper-based government program for elementary school. We carried out a cluster-randomized controlled trial (RCT) with 50 fourth grade classrooms. Treatment classrooms used the platform in a weekly 90-min math session. Due to a social instability outbreak in the country, a large unexpected disruption with huge absenteeism occurred in the second half of the semester, which turned this study into a unique opportunity to explore the robustness of the platform’s effects on students’ learning. Using multiple imputation and multilevel models, we found a statistically significant effect size of 0.13, which corresponds to two extra months of learning. This effect is meaningful for four reasons. First, it has double the effect of the paper-based version. Second, it was achieved during one semester only. Third, is half that obtained with the platform for a complete year with its own set of exercises and with two sessions per week instead of one. Fourth, it was attained in a semester with a lot of absenteeism. Full article
(This article belongs to the Section Technology Enhanced Education)
Show Figures

Figure 1

19 pages, 2105 KB  
Article
A Multilevel Bayesian Approach to Improve Effect Size Estimation in Regression Modeling of Metabolomics Data Utilizing Imputation with Uncertainty
by Christopher E. Gillies, Theodore S. Jennaro, Michael A. Puskarich, Ruchi Sharma, Kevin R. Ward, Xudong Fan, Alan E. Jones and Kathleen A. Stringer
Metabolites 2020, 10(8), 319; https://doi.org/10.3390/metabo10080319 - 6 Aug 2020
Cited by 11 | Viewed by 3665
Abstract
To ensure scientific reproducibility of metabolomics data, alternative statistical methods are needed. A paradigm shift away from the p-value toward an embracement of uncertainty and interval estimation of a metabolite’s true effect size may lead to improved study design and greater reproducibility. [...] Read more.
To ensure scientific reproducibility of metabolomics data, alternative statistical methods are needed. A paradigm shift away from the p-value toward an embracement of uncertainty and interval estimation of a metabolite’s true effect size may lead to improved study design and greater reproducibility. Multilevel Bayesian models are one approach that offer the added opportunity of incorporating imputed value uncertainty when missing data are present. We designed simulations of metabolomics data to compare multilevel Bayesian models to standard logistic regression with corrections for multiple hypothesis testing. Our simulations altered the sample size and the fraction of significant metabolites truly different between two outcome groups. We then introduced missingness to further assess model performance. Across simulations, the multilevel Bayesian approach more accurately estimated the effect size of metabolites that were significantly different between groups. Bayesian models also had greater power and mitigated the false discovery rate. In the presence of increased missing data, Bayesian models were able to accurately impute the true concentration and incorporating the uncertainty of these estimates improved overall prediction. In summary, our simulations demonstrate that a multilevel Bayesian approach accurately quantifies the estimated effect size of metabolite predictors in regression modeling, particularly in the presence of missing data. Full article
Show Figures

Figure 1

10 pages, 811 KB  
Article
The Effect of The Daily Mile on Primary School Children’s Aerobic Fitness Levels After 12 Weeks: A Controlled Trial
by Maxine de Jonge, Jorien J. Slot-Heijs, Richard G. Prins and Amika S. Singh
Int. J. Environ. Res. Public Health 2020, 17(7), 2198; https://doi.org/10.3390/ijerph17072198 - 25 Mar 2020
Cited by 15 | Viewed by 6780
Abstract
The Daily Mile (TDM) is a school-based physical activity intervention encompassing a 15-minute run at least three times per week. This study aimed to determine (1) the effects of performing TDM for 12 weeks on Dutch primary school children’s aerobic fitness levels and [...] Read more.
The Daily Mile (TDM) is a school-based physical activity intervention encompassing a 15-minute run at least three times per week. This study aimed to determine (1) the effects of performing TDM for 12 weeks on Dutch primary school children’s aerobic fitness levels and (2) if additional personal support for teachers impacted the effectiveness of TDM. Nine Dutch primary schools (n = 659 children, grades 5–8) were allocated to a control (no TDM), intervention (12 weeks TDM) or intervention-plus (12 weeks TDM, additional personal support) group. The Shuttle Run Test (SRT) was used to assess aerobic fitness at baseline and follow-up. Data were analyzed using a multiple-imputed dataset and multilevel linear regression models to account for the clustering of students within classes and classes within schools. The regression analyses were adjusted for sex and age. Compared with the control group, significant intervention effects of TDM on SRT score were observed for the intervention group (β = 1.1; 95% CI: 0.8; 1.5) and the intervention-plus group (β = 0.6; 95% CI 0.3; 0.9). Additional personal support had no impact on the effectiveness of TDM. These results suggest that performing TDM at least three times per week for approximately 12 weeks increases primary school children’s aerobic fitness. Additional personal support did not improve the effectiveness of TDM on aerobic fitness within this period. These results contribute to the body of evidence surrounding TDM, but further research is needed regarding long-term implementation of TDM. Full article
(This article belongs to the Special Issue School Health and Wellbeing)
Show Figures

Figure 1

8 pages, 292 KB  
Article
Developing and Applying Geographical Synthetic Estimates of Health Literacy in GP Clinical Systems
by Gill Rowlands, David Whitney and Graham Moon
Int. J. Environ. Res. Public Health 2018, 15(8), 1709; https://doi.org/10.3390/ijerph15081709 - 10 Aug 2018
Cited by 3 | Viewed by 3552
Abstract
Background: Low health literacy is associated with poorer health. Research has shown that predictive models of health literacy can be developed; however, key variables may be missing from systems where predictive models might be applied, such as health service data. This paper [...] Read more.
Background: Low health literacy is associated with poorer health. Research has shown that predictive models of health literacy can be developed; however, key variables may be missing from systems where predictive models might be applied, such as health service data. This paper describes an approach to developing predictive health literacy models using variables common to both “source” health literacy data and “target” systems such as health services. Methods: A multilevel synthetic estimation was undertaken on a national (England) dataset containing health literacy, socio-demographic data and geographical (Lower Super Output Area: LSOA) indicators. Predictive models, using variables commonly present in health service data, were produced. An algorithm was written to pilot the calculations in a Family Physician Clinical System in one inner-city area. The minimum data required were age, sex and ethnicity; other missing data were imputed using model values. Results: There are 32,845 LSOAs in England, with a population aged 16 to 65 years of 34,329,091. The mean proportion of the national population below the health literacy threshold in LSOAs was 61.87% (SD 12.26). The algorithm was run on the 275,706 adult working-age people in Lambeth, South London. The algorithm could be calculated for 228,610 people (82.92%). When compared with people for whom there were sufficient data to calculate the risk score, people with insufficient data were more likely to be older, male, and living in a deprived area, although the strength of these associations was weak. Conclusions: Logistic regression using key socio-demographic data and area of residence can produce predictive models to calculate individual- and area-level risk of low health literacy, but requires high levels of ethnicity recording. While the models produced will be specific to the settings in which they are developed, it is likely that the method can be applied wherever relevant health literacy data are available. Further work is required to assess the feasibility, accuracy and acceptability of the method. If feasible, accurate and acceptable, this method could identify people requiring additional resources and support in areas such as medical practice. Full article
(This article belongs to the Special Issue Health Literacy in Context—Settings, Media, and Populations)
12 pages, 331 KB  
Article
Individual and School Correlates of Adolescent Leisure Time Physical Activity in Quebec, Canada
by José Massougbodji, Alexandre Lebel and Philippe De Wals
Int. J. Environ. Res. Public Health 2018, 15(3), 412; https://doi.org/10.3390/ijerph15030412 - 27 Feb 2018
Cited by 6 | Viewed by 3876
Abstract
Background: Leisure time physical activity (LTPA) correlates have been mostly studied in relation to adolescents’ home neighbourhoods, but not so much in relation to the environment of their schools’ neighbourhoods. We sought to investigate how objective environmental measures of the schools’ vicinity [...] Read more.
Background: Leisure time physical activity (LTPA) correlates have been mostly studied in relation to adolescents’ home neighbourhoods, but not so much in relation to the environment of their schools’ neighbourhoods. We sought to investigate how objective environmental measures of the schools’ vicinity are related to adolescents’ self-reported LTPA. Methods: Individual data from the Quebec High School Students Health Survey (QHSSHS) were matched with schools’ socioeconomic indicators, as well as geographic information system-based indicators of their built environments. Self-reported levels of LTPA during the school year were assessed according to intensity, frequency and index of energy expenditure. Associations per gender between covariates and LTPA were estimated using ordinal multilevel regression with multiple imputations. Results: Boys (21% of which were highly active) were more active than girls (16% of which were highly active) (p ≤ 0.01). The incremental variance between schools explained by the contextual variables in the final models was higher among girls (7.8%) than boys (2.8%). The number of parks or green spaces within 750 m around their schools was positively associated with student LTPA in both genders. Conclusions: The promotion of parks around schools seems to be an avenue to be strengthened. Full article
(This article belongs to the Section Health Behavior, Chronic Disease and Health Promotion)
Back to TopTop