Excess Mortality by Multimorbidity, Socioeconomic, and Healthcare Factors, amongst Patients Diagnosed with Diffuse Large B-Cell or Follicular Lymphoma in England
Abstract
Simple Summary
Abstract
1. Introduction
2. Methods
2.1. Study Design, Participants, and Data Sources
2.2. Outcome, Exposure, and Patients’ Sociodemographic Characteristics
2.3. Statistical Analysis
2.4. Missing Data Analysis
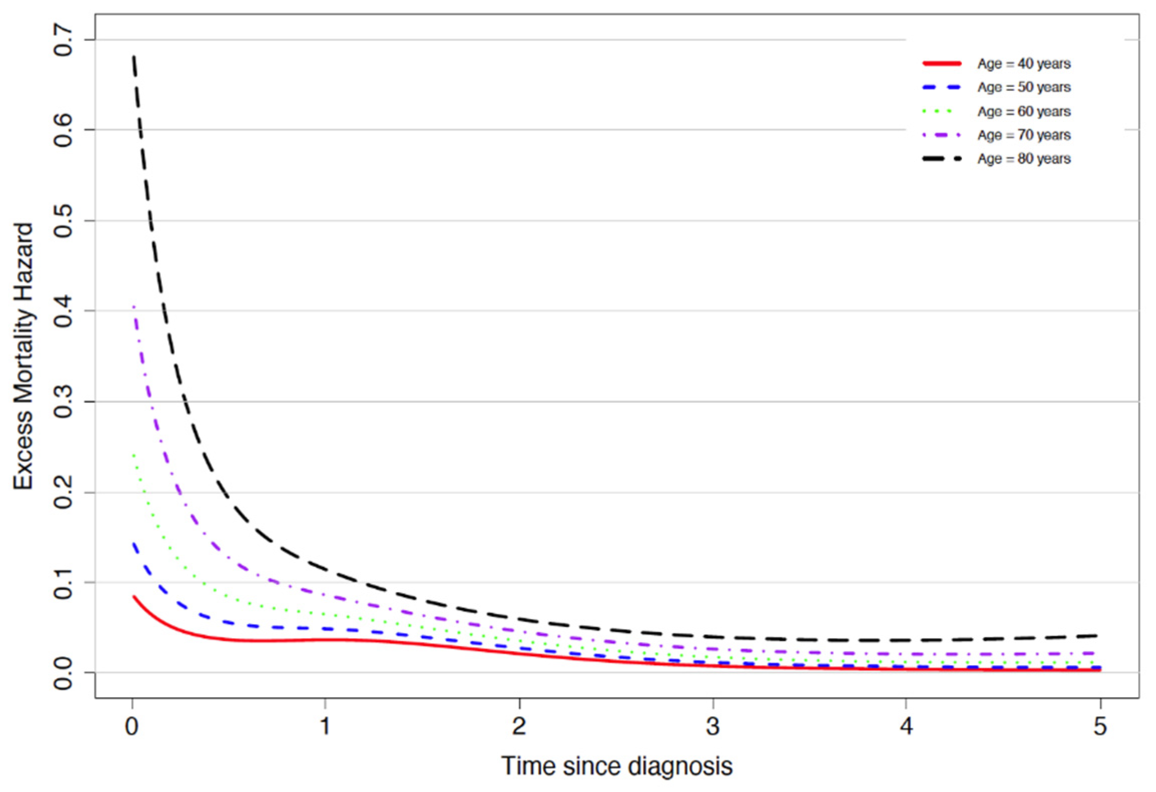
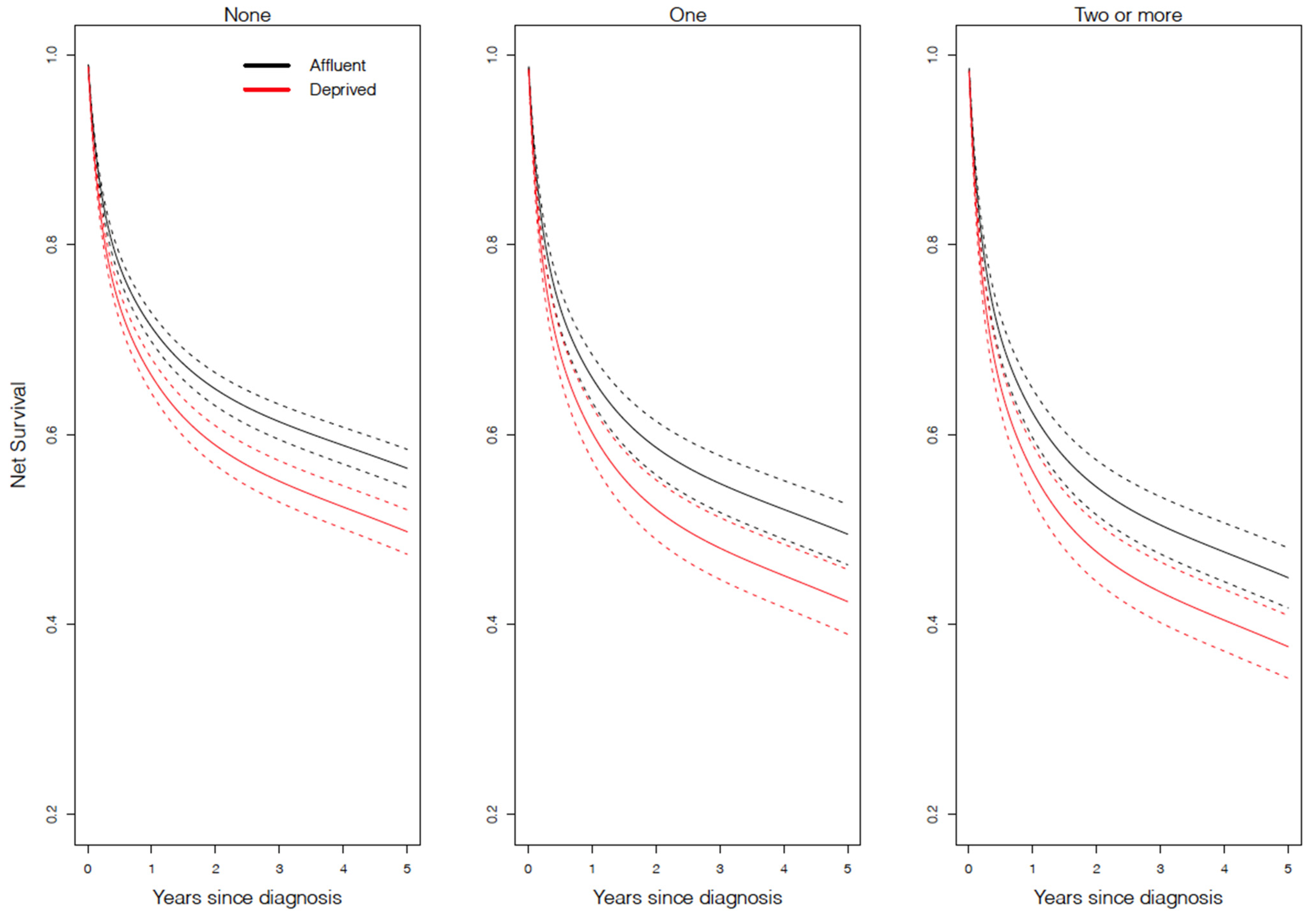
3. Results
4. Discussion
5. Conclusions
Author Contributions
Funding
Institutional Review Board Statement
Informed Consent Statement
Data Availability Statement
Acknowledgments
Conflicts of Interest
Appendix A






| Comorbidity | ICD-10 |
|---|---|
| Myocardial infarction | I21.x, I22.x, I25.2 |
| Congestive heart failure | I11.0, I13.0, I13.2, I25.5, I42.0, I42.5–I42.9, I43.x, I50.x, P29.0 |
| Peripheral vascular disease | I70.x, I71.x, I73.1, I73.8, I73.9, I77.1, I79.0, I79.2, K55.1, K55.8, K55.9, Z95.8, Z95.9 |
| Cerebrovascular disease | G45.x, G46.x, H34.0, I60.x–I69.x |
| Dementia | F00.x–F03.x, F05.1, G30.x, G31.1 |
| Chronic obstructive pulmonary disease | I27.9, J40.x–J47.x, J60.x–J67.x, J68.4, J70.1, J70.3 |
| Rheumatic disease | M05.x, M06.x, M31.5, M32.x–M34.x, M35.1, M35.3, M36.0 |
| Liver disease | B18.x, K70.0–K70.3, K70.9, K71.3–K71.5, K71.7, K73.x, K74.x, K76.0, K76.2–K76.4, K76.8, K76.9, Z94.4, K71.1, K72.1, K72.9, K76.5, K76.6, K76.7, I85.0, I85.9, I86.4, I98.2, K70.4, |
| Diabetes without chronic complication | E10.0, E10.1, E10.6, E10.8, E10.9, E11.0, E11.1, E11.6, E11.8, E11.9, E12.0, E12.1, E12.6, E12.8, E12.9, E13.0, E13.1, E13.6, E13.8, E13.9, E14.0, E14.1, E14.6, E14.8, E14.9 |
| Diabetes with chronic complication | E10.7, E11.2–E11.5, E11.7, E12.2–E12.5, E12.7, E13.2–E13.5, E13.7, E14.2–E14.5, E14.7 |
| Hemiplegia or paraplegia | G04.1, G11.4, G80.1, G80.2, G81.x, G82.x, G83.0–G83.4, G83.9 |
| Renal disease | I12.0, I13.1, N03.2–N03.7, N05.2–N05.7, N18.x, N19.x, N25.0, Z49.0–Z49.2, Z94.0, Z99.2 |
| AIDS/HIV | B20.x–B22.x, B24.x |
References
- Smittenaar, C.R.; Petersen, K.A.; Stewart, K.; Moitt, N. Cancer Incidence and Mortality Projections in the UK until 2035. Br. J. Cancer 2016, 115, 1147–1155. [Google Scholar] [CrossRef] [PubMed]
- Smith, A.; Crouch, S.; Lax, S.; Li, J.; Painter, D.; Howell, D.; Patmore, R.; Jack, A.; Roman, E. Lymphoma Incidence, Survival and Prevalence 2004–2014: Sub-Type Analyses from the UK’s Haematological Malignancy Research Network. Br. J. Cancer 2015, 112, 1575–1584. [Google Scholar] [CrossRef] [PubMed]
- Smith, A.; Crouch, S.; Howell, D.; Burton, C.; Patmore, R.; Roman, E. Impact of Age and Socioeconomic Status on Treatment and Survival from Aggressive Lymphoma: A UK Population-Based Study of Diffuse Large B-Cell Lymphoma. Cancer Epidemiol. 2015, 39, 1103–1112. [Google Scholar] [CrossRef]
- Kane, E.; Howell, D.; Smith, A.; Crouch, S.; Burton, C.; Roman, E.; Patmore, R. Emergency Admission and Survival from Aggressive Non-Hodgkin Lymphoma: A Report from the UK’s Population-Based Haematological Malignancy Research Network. Eur. J. Cancer 2017, 78, 53–60. [Google Scholar] [CrossRef] [PubMed]
- The NHS Cancer Plan: A Plan for Investment, A Plan for Reform. Available online: https://www.thh.nhs.uk/documents/_Departments/Cancer/NHSCancerPlan.pdf (accessed on 24 March 2021).
- Exarchakou, A.; Rachet, B.; Belot, A.; Maringe, C.; Coleman, M.P. Impact of National Cancer Policies on Cancer Survival Trends and Socioeconomic Inequalities in England, 1996–2013: Population Based Study. BMJ 2018, 360, k764. [Google Scholar] [CrossRef] [PubMed]
- Maringe, C.; Li, R.; Mangtani, P.; Coleman, M.P.; Rachet, B. Cancer Survival Differences between South Asians and Non-South Asians of England in 1986–2004, Accounting for Age at Diagnosis and Deprivation. Br. J. Cancer 2015, 113, 173. [Google Scholar] [CrossRef] [PubMed]
- Improving Outcomes: A Strategy for Cancer. Available online: https://www.gov.uk/government/publications/the-national-cancer-strategy (accessed on 24 March 2021).
- Improving Outcomes in Haematological Cancers: The Manual. Available online: https://www.nice.org.uk/guidance/NG47/documents/supporting-evidence (accessed on 29 March 2020).
- Haematological Cancers: Improving Outcomes. Available online: https://www.nice.org.uk/guidance/ng47 (accessed on 29 March 2020).
- Renzi, C.; Lyratzopoulos, G.; Hamilton, W.; Maringe, C.; Rachet, B. Contrasting Effects of Comorbidities on Emergency Colon Cancer Diagnosis: A Longitudinal Data-Linkage Study in England. BMC Health Serv. Res. 2019, 19, 311. [Google Scholar] [CrossRef] [PubMed]
- Fowler, H.; Belot, A.; Ellis, L.; Maringe, C.; Luque-Fernandez, M.A.; Njagi, E.N.; Navani, N.; Sarfati, D.; Rachet, B. Comorbidity Prevalence among Cancer Patients: A Population-Based Cohort Study of Four Cancers. BMC Cancer 2020, 20, 2. [Google Scholar] [CrossRef] [PubMed]
- Li, R.; Daniel, R.; Rachet, B. How Much Do Tumor Stage and Treatment Explain Socioeconomic Inequalities in Breast Cancer Survival? Applying Causal Mediation Analysis to Population-Based Data. Eur. J. Epidemiol. 2016, 31, 603–611. [Google Scholar] [CrossRef]
- Fowler, H.; Belot, A.; Njagi, E.N.; Luque-Fernandez, M.A.; Maringe, C.; Quaresma, M.; Kajiwara, M.; Rachet, B. Persistent Inequalities in 90-Day Colon Cancer Mortality: An English Cohort Study. Br. J. Cancer 2017, 117, 1396. [Google Scholar] [CrossRef] [PubMed]
- Belot, A.; Fowler, H.; Njagi, E.N.; Luque-Fernandez, M.-A.; Maringe, C.; Magadi, W.; Exarchakou, A.; Quaresma, M.; Turculet, A.; Peake, M.D.; et al. Association between Age, Deprivation and Specific Comorbid Conditions and the Receipt of Major Surgery in Patients with Non-Small Cell Lung Cancer in England: A Population-Based Study. Thorax 2019, 74, 51–59. [Google Scholar] [CrossRef] [PubMed]
- Rachet, B.; Ellis, L.; Maringe, C.; Chu, T.; Nur, U.; Quaresma, M.; Shah, A.; Walters, S.; Woods, L.; Forman, D.; et al. Socioeconomic Inequalities in Cancer Survival in England after the NHS Cancer Plan. Br. J. Cancer 2010, 103, 446–453. [Google Scholar] [CrossRef] [PubMed]
- Comber, H.; De Camargo Cancela, M.; Haase, T.; Johnson, H.; Sharp, L.; Pratschke, J. Affluence and Private Health Insurance Influence Treatment and Survival in Non-Hodgkin’s Lymphoma. PLoS ONE 2016, 11, e0168684. [Google Scholar] [CrossRef] [PubMed]
- Woods, L.M.; Rachet, B.; Coleman, M.P. Origins of Socio-Economic Inequalities in Cancer Survival: A Review. Ann. Oncol. 2005, 17, 5–19. [Google Scholar] [CrossRef] [PubMed]
- Quaglia, A.; Vercelli, M.; Lillini, R.; Mugno, E.; Coebergh, J.W.; Quinn, M.; Martinez-Garcia, C.; Capocaccia, R.; Micheli, A. Socio-Economic Factors and Health Care System Characteristics Related to Cancer Survival in the Elderly: A Population-Based Analysis in 16 European Countries (ELDCARE Project). Crit. Rev. Oncol. Hematol. 2005, 54, 117–128. [Google Scholar] [CrossRef] [PubMed]
- Afshar, N.; English, D.R.; Milne, R.L. Rural–Urban Residence and Cancer Survival in High-Income Countries: A Systematic Review. Cancer 2019, 125, 2172–2184. [Google Scholar] [CrossRef] [PubMed]
- Belot, A.; Pohar-Perme, M. Social Disparities in Cancer Survival: Methodological Considerations. In Social Environment and Cancer in Europe: Towards an Evidence-Based Public Health Policy; Launoy, G., Zadnik, V., Coleman, M.P., Eds.; Springer International Publishing: Cham, Switzerland, 2021; pp. 39–54. ISBN 978-3-030-69329-9. [Google Scholar]
- International Agency for Research on Cancer International Classification of Diseases for Oncology. Available online: http://codes.iarc.fr/ (accessed on 4 October 2019).
- Fritz, A.; Percy, C.; Jack, A.; Shanmugaratnam, K.; Sobin, L.H.; Parkin, D.M.; Whelan, S.L. International Classification of Diseases for Oncology, 3rd ed.; World Health Organisation: Geneva, Switzerland, 2000. [Google Scholar]
- Campo, E.; Swerdlow, S.H.; Harris, N.L.; Pileri, S.; Stein, H.; Jaffe, E.S. The 2008 WHO Classification of Lymphoid Neoplasms and beyond: Evolving Concepts and Practical Applications. Blood 2011, 117, 5019–5032. [Google Scholar] [CrossRef] [PubMed]
- gov.uk. National Cancer Registry and Analysis Service. Available online: https://www.gov.uk/guidance/national-cancer-registration-and-analysis-service-ncras (accessed on 4 October 2019).
- NHS Digital Hospital Episode Statistics. Available online: https://digital.nhs.uk/data-and-information/data-tools-and-services/data-services/hospital-episode-statistics (accessed on 4 October 2019).
- Rachet, B.; Maringe, C.; Woods, L.M.; Ellis, L.; Spika, D.; Allemani, C. Multivariable Flexible Modelling for Estimating Complete, Smoothed Life Tables for Sub-National Populations. BMC Public Health 2015, 15, 1240. [Google Scholar] [CrossRef] [PubMed]
- Porta, M. A Dictionary of Epidemiology; Oxford University Press: Oxford, UK, 2014; ISBN 9780195314496. [Google Scholar]
- Feinstein, A.R. The Pre-Therapeutic Classification of Co-Morbidity in Chronic Disease. J. Chronic. Dis. 1970, 23, 455–468. [Google Scholar] [CrossRef]
- Maringe, C.; Fowler, H.; Rachet, B.; Luque-Fernandez, M.A. Reproducibility, Reliability and Validity of Population-Based Administrative Health Data for the Assessment of Cancer Non-Related Comorbidities. PLoS ONE 2017, 12, e0172814. [Google Scholar] [CrossRef] [PubMed]
- Charlson, M.E.; Pompei, P.; Ales, K.L.; MacKenzie, C.R. A New Method of Classifying Prognostic Comorbidity in Longitudinal Studies: Development and Validation. J. Chronic. Dis. 1987, 40, 373–383. [Google Scholar] [CrossRef]
- Armitage, J.N.; van der Meulen, J.H. Identifying Co-Morbidity in Surgical Patients Using Administrative Data with the Royal College of Surgeons Charlson Score. Br. J. Surg. 2010, 97, 772–781. [Google Scholar] [CrossRef]
- gov.uk. Indices of Multiple Deprivation. Available online: https://www.gov.uk/government/statistics/english-indices-of-deprivation-2015 (accessed on 4 October 2019).
- National Health Service: Data Dictionary Lower Super Output Area. Available online: https://www.datadictionary.nhs.uk/data_dictionary (accessed on 4 October 2019).
- Elliss-Brookes, L.; McPhail, S.; Ives, A.; Greenslade, M.; Shelton, J.; Hiom, S.; Richards, M. Routes to Diagnosis for Cancer—Determining the Patient Journey Using Multiple Routine Data Sets. Br. J. Cancer 2012, 107, 1220–1226. [Google Scholar] [CrossRef] [PubMed]
- Charvat, H.; Remontet, L.; Bossard, N.; Roche, L.; Dejardin, O.; Rachet, B.; Launoy, G.; Belot, A. A Multilevel Excess Hazard Model to Estimate Net Survival on Hierarchical Data Allowing for Non-Linear and Non-Proportional Effects of Covariates. Stat. Med. 2016, 35, 3066–3084. [Google Scholar] [CrossRef]
- Verbeke, G.; Molenberghs, G. Linear Mixed Models for Longitudinal Data, 1st ed.; Springer: New York, NY, USA, 2000. [Google Scholar]
- Belot, A.; Ndiaye, A.; Luque-Fernandez, M.-A.; Kipourou, D.-K.; Maringe, C.; Rubio, F.J.; Rachet, B. Summarizing and Communicating on Survival Data According to the Audience: A Tutorial on Different Measures Illustrated with Population-Based Cancer Registry Data. Clin. Epidemiol. 2019, 11, 53–65. [Google Scholar] [CrossRef] [PubMed]
- Molenberghs, G.; Verbeke, G. Models for Discrete Longitudinal Data, 1st ed.; Springer: New York, NY, USA, 2005. [Google Scholar]
- Agresti, A. Categorical Data Analysis, 2nd ed.; John Wiley & Sons, Inc.: Hoboken, NJ, USA, 2002. [Google Scholar]
- Carpenter, J.R.; Kenward, M.G. Multiple Imputation and Its Application, 1st ed.; John Wiley & Sons, Ltd.: Hoboken, NJ, USA, 2013. [Google Scholar]
- Little, R.J.; Rubin, D.B. Statistical Analysis with Missing Data; John Wiley & Sons, Inc.: New York, NY, USA, 1987. [Google Scholar]
- Rubin, D.B. Multiple Imputation for Nonresponse in Surveys; Wiley: New York, NY, USA, 1987; ISBN 978-0-471-65574-9. [Google Scholar]
- Quartagno, M.; Carpenter, J.R. Jomo: A Package for Multilevel Joint Modeling Multiple Imputation. Stat. Med. 2016. [Google Scholar] [CrossRef]
- Coiffier, B.; Lepage, E.; Brière, J.; Herbrecht, R.; Tilly, H.; Bouabdallah, R.; Morel, P.; Van Den Neste, E.; Salles, G.; Gaulard, P.; et al. CHOP Chemotherapy plus Rituximab Compared with CHOP Alone in Elderly Patients with Diffuse Large-B-Cell Lymphoma. N. Engl. J. Med. 2002, 346, 235–242. [Google Scholar] [CrossRef] [PubMed]
- Coiffier, B. Rituximab in Combination with CHOP Improves Survival in Elderly Patients with Aggressive Non-Hodgkin’s Lymphoma. Semin. Oncol. 2002, 29, 18–22. [Google Scholar] [CrossRef] [PubMed]
- Delarue, R.; Tilly, H.; Mounier, N.; Petrella, T.; Salles, G.; Thieblemont, C.; Bologna, S.; Ghesquieres, H.; Hacini, M.; Fruchart, C.; et al. Dose-Dense Rituximab-CHOP Compared with Standard Rituximab-CHOP in Elderly Patients with Diffuse Large B-Cell Lymphoma (the LNH03-6B Study): A Randomised Phase 3 Trial. Lancet Oncol. 2013, 14, 525–533. [Google Scholar] [CrossRef]
- McGowan, J.V.; Chung, R.; Maulik, A.; Piotrowska, I.; Walker, J.M.; Yellon, D.M. Anthracycline Chemotherapy and Cardiotoxicity. Cardiovasc. Drugs Ther. 2017, 31, 63–75. [Google Scholar] [CrossRef] [PubMed]
- National Institute for Health and Care Excellence. Non-Hodgkin’s Lymphoma: Diagnosis and Management; National Institute for Health and Care Excellence: London, UK, 2016. [Google Scholar]
- Tilly, H.; Gomes da Silva, M.; Vitolo, U.; Jack, A.; Meignan, M.; Lopez-Guillermo, A.; Walewski, J.; André, M.; Johnson, P.W.; Pfreundschuh, M.; et al. Diffuse Large B-Cell Lymphoma (DLBCL): ESMO Clinical Practice Guidelines for Diagnosis, Treatment and Follow-Up. Ann. Oncol. 2015, 26, v116–v125. [Google Scholar] [CrossRef] [PubMed]
- Bröckelmann, P.J.; McMullen, S.; Wilson, J.B.; Mueller, K.; Goring, S.; Stamatoullas, A.; Zagadailov, E.; Gautam, A.; Huebner, D.; Dalal, M.; et al. Patient and Physician Preferences for First-Line Treatment of Classical Hodgkin Lymphoma in Germany, France and the United Kingdom. Br. J. Haematol. 2019, 184, 202–214. [Google Scholar] [CrossRef]
- Solimando, A.G.; Ribatti, D.; Vacca, A.; Einsele, H. Targeting B-Cell Non Hodgkin Lymphoma: New and Old Tricks. Leuk. Res. 2016, 42, 93–104. [Google Scholar] [CrossRef] [PubMed]
- Merali, Z.; Wilson, J.R. Explanatory Versus Pragmatic Trials: An Essential Concept in Study Design and Interpretation. Clin. Spine Surg. 2017, 30, 404–406. [Google Scholar] [CrossRef]
- Ghesquières, H.; Rossi, C.; Cherblanc, F.; Le Guyader-Peyrou, S.; Bijou, F.; Sujobert, P.; Fabbro-Peray, P.; Bernier, A.; Belot, A.; Chartier, L.; et al. A French Multicentric Prospective Prognostic Cohort with Epidemiological, Clinical, Biological and Treatment Information to Improve Knowledge on Lymphoma Patients: Study Protocol of the “REal World DAta in LYmphoma and Survival in Adults” (REALYSA) Cohort. BMC Public Health 2021, 21, 432. [Google Scholar] [CrossRef]
- El-Galaly, T.C.; Cheah, C.Y.; Villa, D. Real World Data as a Key Element in Precision Medicine for Lymphoid Malignancies: Potentials and Pitfalls. Br. J. Haematol. 2019, 186, 409–419. [Google Scholar] [CrossRef] [PubMed]
- Lossos, I.S.; Gascoyne, R.D. Transformation of Follicular Lymphoma. Best Pract. Res. Clin. Haematol. 2011, 24, 147–163. [Google Scholar] [CrossRef] [PubMed]
- Putter, H.; van Houwelingen, H.C. Understanding Landmarking and Its Relation with Time-Dependent Cox Regression. Stat. Biosci. 2017, 9, 489–503. [Google Scholar] [CrossRef]
- Sogaard, M.; Thomsen, R.W.; Bossen, K.S.; Sorensen, H.T.; Norgaard, M. The Impact of Comorbidity on Cancer Survival: A Review. Clin. Epidemiol. 2013, 5, 3–29. [Google Scholar] [CrossRef]
- Frederiksen, B.L.; Dalton, S.O.; Osler, M.; Steding-Jessen, M.; de Nully Brown, P. Socioeconomic Position, Treatment, and Survival of Non-Hodgkin Lymphoma in Denmark--a Nationwide Study. Br. J. Cancer 2012, 106, 988–995. [Google Scholar] [CrossRef]
- Rachet, B.; Mitry, E.; Shah, A.; Cooper, N.; Coleman, M.P. Survival from Non-Hodgkin Lymphoma in England and Wales up to 2001. Br. J. Cancer 2008, 99, S104–S106. [Google Scholar] [CrossRef] [PubMed][Green Version]
- Bray, C.; Morrison, D.S.; McKay, P. Socio-Economic Deprivation and Survival of Non-Hodgkin Lymphoma in Scotland. Leuk. Lymphoma 2008, 49, 917–923. [Google Scholar] [CrossRef] [PubMed]
- Pohar Perme, M.; Estève, J.; Rachet, B. Analysing Population-Based Cancer Survival—Settling the Controversies. BMC Cancer 2016, 16, 933. [Google Scholar] [CrossRef]
- Kobayashi, Y.; Miura, K.; Hojo, A.; Hatta, Y.; Tanaka, T.; Kurita, D.; Iriyama, N.; Kobayashi, S.; Takeuchi, J. Charlson Comorbidity Index Is an Independent Prognostic Factor among Elderly Patients with Diffuse Large B-Cell Lymphoma. J. Cancer Res. Clin. Oncol. 2011, 137, 1079–1084. [Google Scholar] [CrossRef]
- Saygin, C.; Jia, X.; Hill, B.; Dean, R.; Pohlman, B.; Smith, M.R.; Jagadeesh, D. Impact of Comorbidities on Outcomes of Elderly Patients with Diffuse Large B-cell Lymphoma. Am. J. Hematol. 2017, 92, 989–996. [Google Scholar] [CrossRef] [PubMed]
- Chihara, D.; Westin, J.R.; Oki, Y.; Ahmed, M.A.; Do, B.; Fayad, L.E.; Hagemeister, F.B.; Romaguera, J.E.; Fanale, M.A.; Lee, H.J.; et al. Management Strategies and Outcomes for Very Elderly Patients with Diffuse Large B-Cell Lymphoma. Cancer 2016, 122, 3145–3151. [Google Scholar] [CrossRef]
- Janssen-Heijnen, M.L.; van Spronsen, D.J.; Lemmens, V.E.; Houterman, S.; Verheij, K.D.; Coebergh, J.W. A Population-Based Study of Severity of Comorbidity among Patients with Non-Hodgkin’s Lymphoma: Prognostic Impact Independent of International Prognostic Index. Br. J. Haematol. 2005, 129, 597–606. [Google Scholar] [CrossRef] [PubMed]
- Crooks, C.J.; West, J.; Card, T.R. A Comparison of the Recording of Comorbidity in Primary and Secondary Care by Using the Charlson Index to Predict Short-Term and Long-Term Survival in a Routine Linked Data Cohort. BMJ Open 2015, 5, e007974. [Google Scholar] [CrossRef] [PubMed]
- Carpenter, J.; Goldstein, H.; Kenward, M. REALCOM-IMPUTE Software for Multilevel Multiple Imputation with Mixed Response Types. J. Stat. Softw. 2011, 45, 1–20. [Google Scholar] [CrossRef]
- Quartagno, M.; Carpenter, J.R. Multiple Imputation for Discrete Data: Evaluation of the Joint Latent Normal Model. Biom. J. Biom. Z. 2019, 61, 1003–1019. [Google Scholar] [CrossRef] [PubMed]
- Ingleby, F.C.; Belot, A.; Atherton, I.; Baker, M.; Elliss-Brookes, L.; Woods, L.M. Assessment of the Concordance between Individual-Level and Area-Level Measures of Socio-Economic Deprivation in a Cancer Patient Cohort in England and Wales. BMJ Open 2020, 10, e041714. [Google Scholar] [CrossRef]
- Belot, A.; Remontet, L.; Rachet, B.; Dejardin, O.; Charvat, H.; Bara, S.; Guizard, A.-V.; Roche, L.; Launoy, G.; Bossard, N. Describing the Association between Socioeconomic Inequalities and Cancer Survival: Methodological Guidelines and Illustration with Population-Based Data. Clin. Epidemiol. 2018, 10, 561–573. [Google Scholar] [CrossRef] [PubMed]
- Madley-Dowd, P.; Hughes, R.; Tilling, K.; Heron, J. The Proportion of Missing Data Should Not Be Used to Guide Decisions on Multiple Imputation. J. Clin. Epidemiol. 2019, 110, 63–73. [Google Scholar] [CrossRef] [PubMed]
- Carnerio, I.; Fry, A.; Ironmonger, L.; Connor, K.; Ormiston-Smith, N.; Henson, K.; Johnson, S.; McPhail, S.; Elliss-Brookes, L. Variation in the Routes to Cancer Diagnosis and Stage for Ten Cancer Sites. Available online: https://www.researchgate.net/publication/311602679_Variation_in_the_Routes_to_Cancer_Diagnosis_and_Stage_for_Ten_Cancer_Sites (accessed on 15 August 2021).
- Allemani, C.; Matsuda, T.; Di Carlo, V.; Harewood, R.; Matz, M.; Nikšić, M.; Bonaventure, A.; Valkov, M.; Johnson, C.J.; Estève, J.; et al. Global Surveillance of Trends in Cancer Survival 2000–14 (CONCORD-3): Analysis of Individual Records for 37,513,025 Patients Diagnosed with One of 18 Cancers from 322 Population-Based Registries in 71 Countries. Lancet 2018, 391, 1023–1075. [Google Scholar] [CrossRef]
- Thomson, C.S.; Forman, D. Cancer Survival in England and the Influence of Early Diagnosis: What Can We Learn from Recent EUROCARE Results? Br. J. Cancer 2009, 101, S102–S109. [Google Scholar] [CrossRef] [PubMed]




| Patient Characteristics | Subtype of NHL | |||
|---|---|---|---|---|
| FL | DLBCL | |||
| N = 15,516 | N = 29,898 | |||
| Age (mean, SD) | 63.9 (13.6) | 67.4 (14.9) | ||
| Sex, n (%) | ||||
| Male | 7318 | (47.2%) | 16,215 | (54.2%) |
| Female | 8198 | (52.8%) | 13,683 | (45.8%) |
| Deprivation quintiles (Q), n (%) | ||||
| Least deprived (Q1) | 3547 | (22.9%) | 6340 | (21.2%) |
| Q2 | 3517 | (22.7%) | 6663 | (22.3%) |
| Q3 | 3294 | (21.2%) | 6246 | (20.9%) |
| Q4 | 2925 | (18.9%) | 5863 | (19.6%) |
| Most deprived (Q5) | 2233 | (14.4%) | 4786 | (16.0%) |
| Comorbidity status, n (%) | ||||
| No comorbidity | 14,343 | (92.4%) | 26,718 | (89.4%) |
| One comorbidity | 641 | (4.1%) | 1570 | (5.3%) |
| Multimorbidity | 532 | (3.4%) | 1610 | (5.4%) |
| Route of diagnosis, n (%) | ||||
| GP referral | 6297 | (44.0%) | 8157 | (28.7%) |
| A&E | 1869 | (13.1%) | 9617 | (33.8%) |
| Secondary care | 2222 | (15.5%) | 3724 | (13.1%) |
| TWW | 3912 | (27.4%) | 6918 | (24.4%) |
| Missing * | 1216 | (7.8%) | 1482 | (5.0%) |
| Ethnicity, n (%) | ||||
| White | 11,052 | (94.9%) | 21,739 | (94.1%) |
| Others | 600 | (5.2%) | 1369 | (5.9%) |
| Missing * | 3864 | (24.9%) | 6790 | (22.7%) |
| Patient Characteristics | Model (i): Complete Case | Model (ii): After Imputation | ||||
|---|---|---|---|---|---|---|
| HR | CI | p–Value | HR | CI | p–Value | |
| Sex | ||||||
| Male | Ref | Ref | Ref | Ref | ||
| Female | 0.93 | 0.89–0.98 | 0.003 | 0.93 | 0.90–0.96 | <0.001 |
| Ethnicity | ||||||
| White | Ref | Ref | Ref | Ref | ||
| Other | 0.97 | 0.87–1.08 | 0.556 | 0.99 | 0.91–1.08 | 0.809 |
| Deprivation quintiles (Q) | ||||||
| Least deprived Q1 | Ref | Ref | Ref | Ref | ||
| Q2 | 1.03 | 0.96–1.11 | 0.372 | 1.00 | 0.93–1.08 | 0.922 |
| Q3 | 1.08 | 1.00–1.16 | 0.045 | 1.07 | 1.00–1.14 | 0.045 |
| Q4 | 1.17 | 1.08–1.26 | <0.001 | 1.13 | 1.04–1.23 | 0.003 |
| Most deprived Q5 | 1.26 | 1.16–1.37 | <0.001 | 1.22 | 1.18–1.27 | <0.001 |
| Comorbidity status | ||||||
| No comorbidity | Ref | Ref | Ref | Ref | ||
| One comorbidity | 1.26 | 1.15–1.38 | <0.001 | 1.23 | 1.14–1.32 | <0.001 |
| Multimorbidity | 1.50 | 1.38–1.64 | <0.001 | 1.40 | 1.01–1.94 | 0.043 |
| Route of diagnosis | ||||||
| GP referral | Ref | Ref | Ref | Ref | ||
| A&E | 2.75 | 2.60–2.91 | <0.001 | 2.75 | 2.54–2.98 | <0.001 |
| Secondary Care | 1.43 | 1.22–1.67 | <0.001 | 1.23 | 1.11–1.36 | <0.001 |
| TWW | 1.33 | 1.23–1.45 | <0.001 | 0.83 | 0.56–1.24 | 0.362 |
| Random Effect | ||||||
| SD (SE) | 0.48 (0.08) | - | - | 0.39 (0.04) | - | - |
| Characteristics | Model (i): Complete Case | Model (ii): After Imputation | ||||
|---|---|---|---|---|---|---|
| HR | CI | p–Value | HR | CI | p–Value | |
| Sex | ||||||
| Male | Ref | Ref | Ref | Ref | ||
| Female | 0.86 | 0.76–0.96 | 0.010 | 0.89 | 0.81–0.97 | 0.009 |
| Ethnicity | ||||||
| White | Ref | Ref | Ref | Ref | ||
| Other | 0.59 | 0.41–0.83 | 0.003 | 0.76 | 0.60–0.96 | 0.019 |
| Deprivation quintiles (Q) | ||||||
| Least deprived Q1 | Ref | Ref | Ref | Ref | ||
| Q2 | 1.09 | 0.91–1.31 | 0.364 | 1.10 | 0.92–1.32 | 0.309 |
| Q3 | 1.23 | 1.02–1.48 | 0.030 | 1.11 | 0.96–1.29 | 0.166 |
| Q4 | 1.37 | 1.13–1.65 | 0.001 | 1.34 | 1.06–1.69 | 0.015 |
| Most deprived Q5 | 1.69 | 1.38–2.06 | <0.001 | 1.45 | 1.30–1.62 | <0.001 |
| Comorbidity status | ||||||
| No comorbidity | Ref | Ref | Ref | Ref | ||
| One comorbidity | 1.51 | 1.19–1.91 | <0.001 | 1.52 | 1.25–1.84 | <0.001 |
| Multimorbidity | 2.38 | 1.90–3.00 | <0.001 | 2.19 | 1.45–3.31 | <0.001 |
| Route of diagnosis | ||||||
| GP referral | Ref | Ref | Ref | Ref | ||
| A&E | 3.18 | 2.69–3.76 | <0.001 | 3.32 | 2.49–4.43 | <0.001 |
| Secondary Care | 1.27 | 0.86–1.90 | 0.233 | 1.22 | 0.96–1.55 | 0.107 |
| TWW | 1.17 | 0.98–1.40 | 0.084 | 1.06 | 0.63–1.78 | 0.830 |
| Random Effect | ||||||
| SD (SE) | 0.87 (0.14) | - | - | 0.69 (0.16) | - | - |
Publisher’s Note: MDPI stays neutral with regard to jurisdictional claims in published maps and institutional affiliations. |
© 2021 by the authors. Licensee MDPI, Basel, Switzerland. This article is an open access article distributed under the terms and conditions of the Creative Commons Attribution (CC BY) license (https://creativecommons.org/licenses/by/4.0/).
Share and Cite
Smith, M.J.; Belot, A.; Quartagno, M.; Luque Fernandez, M.A.; Bonaventure, A.; Gachau, S.; Benitez Majano, S.; Rachet, B.; Njagi, E.N. Excess Mortality by Multimorbidity, Socioeconomic, and Healthcare Factors, amongst Patients Diagnosed with Diffuse Large B-Cell or Follicular Lymphoma in England. Cancers 2021, 13, 5805. https://doi.org/10.3390/cancers13225805
Smith MJ, Belot A, Quartagno M, Luque Fernandez MA, Bonaventure A, Gachau S, Benitez Majano S, Rachet B, Njagi EN. Excess Mortality by Multimorbidity, Socioeconomic, and Healthcare Factors, amongst Patients Diagnosed with Diffuse Large B-Cell or Follicular Lymphoma in England. Cancers. 2021; 13(22):5805. https://doi.org/10.3390/cancers13225805
Chicago/Turabian StyleSmith, Matthew James, Aurélien Belot, Matteo Quartagno, Miguel Angel Luque Fernandez, Audrey Bonaventure, Susan Gachau, Sara Benitez Majano, Bernard Rachet, and Edmund Njeru Njagi. 2021. "Excess Mortality by Multimorbidity, Socioeconomic, and Healthcare Factors, amongst Patients Diagnosed with Diffuse Large B-Cell or Follicular Lymphoma in England" Cancers 13, no. 22: 5805. https://doi.org/10.3390/cancers13225805
APA StyleSmith, M. J., Belot, A., Quartagno, M., Luque Fernandez, M. A., Bonaventure, A., Gachau, S., Benitez Majano, S., Rachet, B., & Njagi, E. N. (2021). Excess Mortality by Multimorbidity, Socioeconomic, and Healthcare Factors, amongst Patients Diagnosed with Diffuse Large B-Cell or Follicular Lymphoma in England. Cancers, 13(22), 5805. https://doi.org/10.3390/cancers13225805

