Sign in to use this feature.

Years

Between: -

Subjects

remove_circle_outline
remove_circle_outline
remove_circle_outline
remove_circle_outline
remove_circle_outline
remove_circle_outline
remove_circle_outline
remove_circle_outline
remove_circle_outline

Journals

remove_circle_outline
remove_circle_outline
remove_circle_outline
remove_circle_outline
remove_circle_outline
remove_circle_outline
remove_circle_outline
remove_circle_outline
remove_circle_outline
remove_circle_outline
remove_circle_outline
remove_circle_outline
remove_circle_outline
remove_circle_outline
remove_circle_outline
remove_circle_outline
remove_circle_outline
remove_circle_outline
remove_circle_outline
remove_circle_outline
remove_circle_outline

Article Types

Countries / Regions

remove_circle_outline
remove_circle_outline
remove_circle_outline
remove_circle_outline
remove_circle_outline

Search Results (734)

Search Parameters:
Keywords = multi-target search

Order results
Result details
Results per page
Select all
Export citation of selected articles as:
28 pages, 426 KB  
Systematic Review
Narrative and Challenge in Single-Player RPGs: A 1990–2025 Player-Centered Systematic Review
by João Antunes, Vítor Carvalho and José Miguel Domingues
Digital 2026, 6(2), 33; https://doi.org/10.3390/digital6020033 - 23 Apr 2026
Abstract
Single-player role-playing games (RPGs) combine two promises that do not always align: delivering a compelling narrative experience (world, characters, choices, and consequences) while sustaining a demanding ludic trajectory in which players face obstacles, master systems, and progress over time. This Systematic Literature Review [...] Read more.
Single-player role-playing games (RPGs) combine two promises that do not always align: delivering a compelling narrative experience (world, characters, choices, and consequences) while sustaining a demanding ludic trajectory in which players face obstacles, master systems, and progress over time. This Systematic Literature Review (SLR) synthesizes existing evidence on the evolution of narrative and challenge in single-player RPGs from a player-centered perspective, with particular attention paid to immersion, engagement, flow, and perceived agency. A multi-database search strategy was conducted across Google Scholar, Scopus, IEEE Xplore, and the ACM Digital Library using query strings targeting narrative/agency, challenge and dynamic difficulty adjustment (DDA), adaptive difficulty, and the historical evolution of RPG narrative design, following a Preferred Reporting Items for Systematic Reviews and Meta-Analyses (PRISMA)-reported selection flow and Rayyan-supported screening. From 423 identified records, duplicates and non-eligible records were removed through staged screening, yielding 43 reports sought for retrieval; because six were not accessible in full text at consolidation, the synthesis was conducted on 37 full-text articles. The findings indicate (i) a predominance of work on narrative and agency, where agency is framed as a design effect rather than merely the presence of explicit branching choices; (ii) a recent rise in challenge/adaptation research, frequently tied to flow, fairness, and differentiated player profiles; and (iii) the emergence of artificial intelligence (AI)-driven approaches, including non-player character (NPC) systems, combat AI, reinforcement learning, and large language model (LLM)-based narrative control, which amplify core design trade-offs between narrative coherence and perceived agency. Beyond synthesizing a dispersed body of literature, the review contributes an integrated player-centered analytical framework that brings together narrative, challenge, and player experience, while also highlighting the need for more consistent measurement practices, stronger comparative designs, and longer-term empirical work in single-player RPG research. Full article
33 pages, 3365 KB  
Article
Search-Information-Driven Collaborative Task Planning for Multi-UUV Systems
by Peng Chang, Yintao Wang, Dong Li, Qingliang Shen and Zhengqing Han
J. Mar. Sci. Eng. 2026, 14(9), 775; https://doi.org/10.3390/jmse14090775 - 23 Apr 2026
Abstract
To address the problems of unreasonable task allocation and low target search efficiency in the collaborative search of multiple unmanned undersea vehicles (UUVs) in complex marine environments, this paper proposes a search-information-driven collaborative task planning method for multi-UUV systems, and constructs a systematic [...] Read more.
To address the problems of unreasonable task allocation and low target search efficiency in the collaborative search of multiple unmanned undersea vehicles (UUVs) in complex marine environments, this paper proposes a search-information-driven collaborative task planning method for multi-UUV systems, and constructs a systematic and integrated multi-UUV collaborative task planning framework. Considering the spatial characteristics of the complex underwater environment and sonar detection rules, an underwater task environment grid model and an active sonar instantaneous detection model are constructed as the environmental and detection foundation of the framework. Within the framework, the Gaussian Mixture Model (GMM) is adopted to realize dynamic division of task regions, and reasonable resource allocation among multiple UUVs is achieved by defining scientific area allocation indicators. A search information map consisting of target probability distribution and environmental uncertainty is established, and a receding horizon planning framework is introduced to balance short-term detection effectiveness and long-term search value. Furthermore, a motion-coded Grey Wolf Optimization (GWO) algorithm is proposed to generate continuous UUV paths, which avoids path discontinuity caused by discrete grids and ensures the convergence efficiency of the algorithm. Simulation results verify that compared with traditional methods, the proposed method improves the total probability benefit by 19.87% and the number of discovered targets by 18.29%, demonstrating better search performance and environmental adaptability. Full article
(This article belongs to the Special Issue Autonomous Marine Vehicle Operations—3rd Edition)
19 pages, 715 KB  
Review
Treatment Limitations and Missing Information in Peritoneal Metastatic Gastric Cancer
by Beate Rau, Franziska Köhler, Annika Kurreck, Safak Gül, Alexander Arnold, Uli Fehrenbach, Resa Puffert, Florian Lordick, Fabian Kockelmann and Thomas Wirth
Cancers 2026, 18(9), 1336; https://doi.org/10.3390/cancers18091336 - 22 Apr 2026
Abstract
Background/Objectives: Peritoneal metastasis represents the most frequent and prognostically unfavorable metastatic pattern in gastric cancer, largely due to limited sensitivity of conventional imaging, delayed diagnosis, and insufficient response assessment. The aim of this review is to provide an overview of the current [...] Read more.
Background/Objectives: Peritoneal metastasis represents the most frequent and prognostically unfavorable metastatic pattern in gastric cancer, largely due to limited sensitivity of conventional imaging, delayed diagnosis, and insufficient response assessment. The aim of this review is to provide an overview of the current evidence on the diagnosis and treatment of gastric cancer with peritoneal metastases and to address current treatment limitations and options. Methods: This review was designed as a narrative review and is based on an extensive literature search in established databases. Results: Systemic chemotherapy remains the cornerstone of palliative treatment, improving the survival and quality of life compared with the best supportive care; however, outcomes in peritoneally metastatic disease remain poor. Advances in molecularly targeted and immune-based therapies have extended survival in selected patient populations, yet favorable molecular profiles are mainly unknown in peritoneal metastases. Staging laparoscopy and semi-quantitative assessment using the Peritoneal Cancer Index (PCI) are therefore essential for accurate diagnosis, prognostication, and treatment selection. Growing evidence from retrospective studies, multi-institutional cohorts, and selected randomized trials suggests that a multimodal approach—combining systemic therapy with intraperitoneal or bidirectional chemotherapy—may improve survival and quality of life. In carefully selected patients whose primary gastric tumor and peritoneal lesions respond to systemic treatment, complete cytoreductive surgery (CRS) followed by hyperthermic intraperitoneal chemotherapy (HIPEC) may further enhance outcomes and, in rare cases, achieve long-term survival. These potential benefits appear to be limited to highly selected patients with a low peritoneal tumor burden (PCI ≤ 6–7), positive cytology, good performance status, controlled extraperitoneal disease, and a high likelihood of achieving complete macroscopic cytoreduction (CC-0). Conclusions: Although the treatment intent in metastatic gastric cancer remains primarily palliative, carefully selected patients with limited peritoneal metastases may benefit from intensified multimodal treatment strategies when managed in specialized centers. Interdisciplinary evaluation, accurate staging, and individualized treatment planning are essential to optimize outcomes in this challenging disease setting. Full article
34 pages, 1939 KB  
Article
AutoUAVFormer: Neural Architecture Search with Implicit Super-Resolution for Real-Time UAV Aerial Object Detection
by Li Pan, Huiyao Wan, Pazlat Nurmamat, Jie Chen, Long Sun, Yice Cao, Shuai Wang, Yingsong Li and Zhixiang Huang
Remote Sens. 2026, 18(9), 1268; https://doi.org/10.3390/rs18091268 - 22 Apr 2026
Abstract
The widespread deployment of unmanned aerial vehicles (UAVs) in civil and commercial airspace has raised significant safety concerns, driving the demand for reliable and real-time Anti-UAV visual detection systems. However, existing deep learning-based detectors face substantial challenges in complex low-altitude environments, including drastic [...] Read more.
The widespread deployment of unmanned aerial vehicles (UAVs) in civil and commercial airspace has raised significant safety concerns, driving the demand for reliable and real-time Anti-UAV visual detection systems. However, existing deep learning-based detectors face substantial challenges in complex low-altitude environments, including drastic scale variations, severe background clutter, and weak feature representation of small UAV targets. Moreover, handcrafted Transformer-based architectures often lack adaptability across diverse scenarios and struggle to balance detection accuracy with computational efficiency. To address these limitations, this paper proposes AutoUAVFormer, a super-resolution guided neural architecture search framework for Anti-UAV detection. In contrast to conventional manually designed approaches, AutoUAVFormer leverages joint optimization of a Transformer-based detection objective and a super-resolution reconstruction objective to automatically identify a task-specific optimal network architecture for detecting UAV targets. Specifically, a unified search space is formulated by jointly embedding Transformer hyperparameters and Feature Pyramid Network (FPN) structures, facilitating end-to-end co-optimization of multi-scale feature fusion and global context modeling. To efficiently locate architectures that balance accuracy and computational cost, a three-stage pipeline, combining supernetwork training with evolutionary search, is employed. Additionally, we design a super-resolution auxiliary branch that operates only during training to enhance the model’s ability to learn fine-grained textures and sharpen edge representations of small targets, without introducing any inference overhead. Extensive experiments on three challenging Anti-UAV detection benchmarks, namely DetFly, DUT Anti-UAV, and UAV Swarm, confirm the superiority of AutoUAVFormer over current state-of-the-art methods, with mAP@0.5 scores reaching 98.6%, 95.5%, and 89.9% on the respective datasets while sustaining real-time inference speed. These results demonstrate that AutoUAVFormer achieves strong generalization and maintains robust Anti-UAV detection performance under challenging low-altitude conditions. Full article
27 pages, 2636 KB  
Article
A Deployment-Oriented Real-Time Transformer Detector and Benchmark for Maritime Search and Rescue Under Severe Sea Clutter
by Zhonghao Wang, Xin Liu, Wenlong Sun, Qixiang Liu, Yijie Cai and Yong Hu
Remote Sens. 2026, 18(8), 1258; https://doi.org/10.3390/rs18081258 - 21 Apr 2026
Abstract
Maritime search and rescue (SAR) is a time-critical public safety mission that increasingly relies on unmanned vehicles to localize persons overboard. However, reliable onboard perception is challenged by extreme scale variation and heavy sea clutter under strict latency and compute budgets. We present [...] Read more.
Maritime search and rescue (SAR) is a time-critical public safety mission that increasingly relies on unmanned vehicles to localize persons overboard. However, reliable onboard perception is challenged by extreme scale variation and heavy sea clutter under strict latency and compute budgets. We present R-DET, a deployment-oriented end-to-end Transformer detector built on the RT-DETR paradigm, featuring three rescue-oriented designs: (i) a lightweight backbone (Rescue-Net) preserving multi-scale cues, (ii) a bounded-cost global-context module (Rescue Attention) suppressing sea clutter, and (iii) an efficient fusion module (Rescue-FPN) injecting high-resolution details for tiny targets. We further introduce MarineRescue-8K, a benchmark collected from real maritime operations with a mission-aligned ignore region protocol that reduces the influence of non-critical clutter during optimization and evaluation. On MarineRescue-8K, R-DET achieves 84.1% mAP@0.5 with only 14.5 M parameters at 63.2 FPS (RTX 2080 SUPER), demonstrating a favorable accuracy–efficiency trade-off for deployment-oriented maritime SAR perception. Full article
(This article belongs to the Special Issue Advances in Remote Sensing Image Target Detection and Recognition)
33 pages, 1697 KB  
Article
Designing Effective Multi-Window Map Interfaces: The Role of Highlighting and Luminance Contrast in Visual Search
by Jing Zhang, Liyu Hu, Yunqi Zhu, Yu Zhang, Xuanyi Kuang, Jingjing Li and Wa Gao
ISPRS Int. J. Geo-Inf. 2026, 15(4), 180; https://doi.org/10.3390/ijgi15040180 - 21 Apr 2026
Abstract
Multi-window map interfaces are widely used in geospatial monitoring systems and map-based analytical environments, where users must rapidly locate task-relevant information across multiple spatial displays. Designing visual cues and display conditions that effectively support visual search in such environments remains an important challenge [...] Read more.
Multi-window map interfaces are widely used in geospatial monitoring systems and map-based analytical environments, where users must rapidly locate task-relevant information across multiple spatial displays. Designing visual cues and display conditions that effectively support visual search in such environments remains an important challenge for map interface design. This study examines how luminance contrast and highlighting influence visual search performance in multi-window map interfaces. A within-subject eye-tracking experiment was conducted using five highlighting conditions (No Highlighting as the control condition, Outer Border Highlighting, Text Highlighting, Title-Bar Highlighting, and Background Highlighting) and three luminance-contrast levels (low, medium, and high). Behavioral performance (accuracy and reaction time) and eye-movement measures (total viewing duration, fixation count, saccade count, and time to first fixation) were analyzed to evaluate how perceptual visibility and visual cue structures affect spatial information search. Results show that higher luminance contrast improved accuracy and reduced reaction time, although differences between medium and high contrast were small, suggesting that performance stabilized once a sufficient visibility threshold was reached. All highlighting conditions facilitated search relative to the control condition, with background and title-bar highlighting producing the most efficient gaze behavior and earlier target acquisition. A significant interaction between luminance contrast and highlighting was also observed, indicating that structured highlighting mitigates the performance costs associated with low contrast. Eye-movement evidence further indicates that region-based cues guide attention at the level of spatial interface regions rather than simply increasing local salience. These findings provide empirical guidance for improving spatial information retrieval efficiency in multi-window geospatial interfaces. Full article
19 pages, 2395 KB  
Article
Dynamic Region Planning and Profit-Adaptive Collaborative Search Strategies for Multi-Robot Systems
by Zeyu Xu, Kai Xue, Ping Wang and Decheng Kong
Systems 2026, 14(4), 450; https://doi.org/10.3390/systems14040450 - 20 Apr 2026
Abstract
Multi-Robot Systems (MRS) demand optimal spatial resource configuration to ensure systemic efficiency in mission-critical applications. Conventional paradigms rely on rigid coverage-first principles, prioritizing exhaustive spatial scanning over rapid target discovery, thereby compromising systemic responsiveness. To bridge this gap, this study proposes the Attraction [...] Read more.
Multi-Robot Systems (MRS) demand optimal spatial resource configuration to ensure systemic efficiency in mission-critical applications. Conventional paradigms rely on rigid coverage-first principles, prioritizing exhaustive spatial scanning over rapid target discovery, thereby compromising systemic responsiveness. To bridge this gap, this study proposes the Attraction of Unknown area Centroid for Exploration (AUCE) architecture, a centralized framework designed to simultaneously optimize global exploration efficiency and early-stage target discovery rates. The control framework incorporates a dynamic region planning strategy that adaptively modulates the systemic search focus based on the specific field of view of autonomous agents, alongside an optimized S-shaped trajectory pattern to establish a rigorous balance between localized path simplicity and global coverage. A versatile profit function synthesizing constant and time-varying coefficient strategies explicitly regulates the systemic trade-off between accelerated early-stage target discovery and global path cost minimization. Quantitative simulations demonstrate that AUCE significantly outperforms established methods by mitigating redundant path costs and generating a distinct front-loading effect to accelerate target localization. Subsequent evaluations confirm the framework’s computational scalability in expanded swarms and its systemic adaptability when navigating static obstacles. Full article
(This article belongs to the Section Systems Theory and Methodology)
19 pages, 942 KB  
Article
Hidden Harm—Exploring the Utility of Geostatistical Analysis to Identify Child Criminal Exploitation (CCE)
by Antoinette Keaney-Bell and Colm Walsh
Behav. Sci. 2026, 16(4), 613; https://doi.org/10.3390/bs16040613 - 20 Apr 2026
Abstract
This interdisciplinary study integrates criminological theory with geospatial methods to analyse large, multi-format datasets using geostatistical techniques. The aim is to predict where Child Criminal Exploitation (CCE) is likely to cluster, based on the spatial convergence of contextual risk factors. Drawing on insights [...] Read more.
This interdisciplinary study integrates criminological theory with geospatial methods to analyse large, multi-format datasets using geostatistical techniques. The aim is to predict where Child Criminal Exploitation (CCE) is likely to cluster, based on the spatial convergence of contextual risk factors. Drawing on insights from General Strain Theory (GST) and prior research on CCE, this study integrated seven open-source datasets capturing educational attainment, age demographics, violent crime, deprivation, and paramilitary-related violence. These variables were operationalised to construct a proxy measure for strain. Spatial analysis was conducted using ArcGIS Pro, including the Data Interoperability extension, to enable efficient integration and interrogation of multi-format geospatial data. Geospatial analysis demonstrated that contextual risk factors for CCE are spatially clustered. Using four search parameters, a small subset of wards with elevated risk were identified. This resulted in a reduction in ward locations by 85–99%, land area under investigation from 14.45% to 0.84%, and affected population from 17.91% to 1.41%, enabling more targeted and efficient resource allocation. As understanding of the contextual factors contributing to CCE improves, this methodological approach offers scalable and data-driven means of identifying high-risk areas. By integrating geospatial analysis with criminological theory, the model supports more effective safeguarding strategies and prioritisation of limited public resources. This study is limited by the absence of multi-agency datasets, which were beyond its scope. Future research aims to incorporate cross-sector data to validate and refine the model through ground-truthing, enhancing its predictive accuracy and practical applicability. Full article
29 pages, 3255 KB  
Article
Knowledge-Driven Two-Stage Hybrid Algorithm for Collaborative Reconnaissance Routing Problem of Ground Vehicle and Drones Considering Multi-Type Targets
by Xiao Liu, Qizhang Luo, Tianjun Liao and Guohua Wu
Drones 2026, 10(4), 305; https://doi.org/10.3390/drones10040305 - 19 Apr 2026
Viewed by 109
Abstract
The collaboration of ground vehicles (GVs) and drones offers a powerful approach for enhancing drone capabilities. Current research focuses on drone-only or single-type target reconnaissance, failing to adequately account for practical scenarios. This paper introduces a GV–drone collaboration routing problem with multi-type target [...] Read more.
The collaboration of ground vehicles (GVs) and drones offers a powerful approach for enhancing drone capabilities. Current research focuses on drone-only or single-type target reconnaissance, failing to adequately account for practical scenarios. This paper introduces a GV–drone collaboration routing problem with multi-type target reconnaissance (GVD-MTR), which explicitly integrates GV–drone collaboration with simultaneous reconnoitering of point, line, and area targets. To address this problem, we propose a knowledge-driven two-stage hybrid algorithm (KDHA). In the first stage, K-means clustering combined with heuristic operators is applied to generate and refine routes for the GV. In the second stage, an improved Adaptive Large Neighborhood Search (IALNS) method is implemented to produce optimized drone routes. KDHA leverages hybrid search strategies, such as a population-based initialization strategy and a multi-level acceptance strategy, to efficiently generate high-quality solutions. Regarding recognizing the impacts of different target types on the total travel distance, we incorporate the related domain knowledge to design problem-specific search operators. Extensive simulation experiments demonstrate that KDHA consistently outperforms several state-of-the-art heuristics in terms of solution quality and runtime. Sensitivity analyses further confirm the robustness of the proposed approach across a range of parameter settings and problem instances. Full article
25 pages, 1796 KB  
Article
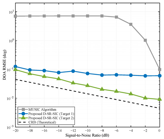
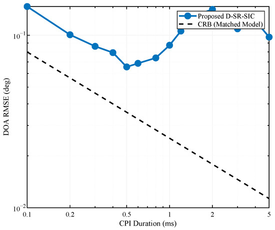
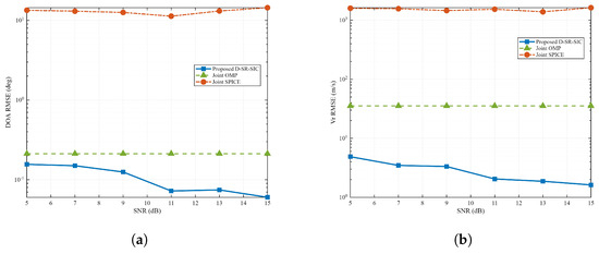
Dynamic DOA Estimation for UAV Arrays Using LEO Satellite Signals of Opportunity via Sparse Reconstruction
by Wei Liu, Ti Guan, Tian Liang, Lianzhen Zheng, Yuanke Du, Yanfu Hou and Peng Chen
Electronics 2026, 15(8), 1727; https://doi.org/10.3390/electronics15081727 (registering DOI) - 19 Apr 2026
Viewed by 73
Abstract
Signals of opportunity (SoO) enable emission-free passive sensing, but low Earth orbit (LEO) satellite illumination with unmanned aerial vehicle (UAV) array receivers exhibits rapid geometry variation. As a result, the received phase evolves in a space–time coupled manner, and the array snapshots become [...] Read more.
Signals of opportunity (SoO) enable emission-free passive sensing, but low Earth orbit (LEO) satellite illumination with unmanned aerial vehicle (UAV) array receivers exhibits rapid geometry variation. As a result, the received phase evolves in a space–time coupled manner, and the array snapshots become nonstationary even within one coherent processing interval (CPI), degrading conventional stationary-snapshot direction-of-arrival (DOA) estimators. This paper proposes a decomposition-based sparse reconstruction with successive interference cancellation (D-SR-SIC) framework for dynamic DOA estimation in LEO SoO UAV passive sensing. The proposed estimator leverages a sparse-reconstruction signal model and is implemented via a computationally efficient decomposition-based search-and-cancel procedure. A short-CPI parameterized space–time phase model captures the common motion-induced phase history and the time-varying steering drift; the coupled multi-parameter estimation is decomposed into two low-dimensional correlation searches followed by least-squares amplitude estimation and multi-target peeling. Optional local refinement and multi-beam pre-screening improve robustness to off-grid mismatch, near–far interference, and wide field-of-view operation. Simulations show that the proposed method achieves about 0.11° DOA root-mean-square error (RMSE) at −20 dB signal-to-noise ratio (SNR) in a representative highly dynamic setting. Full article
(This article belongs to the Special Issue 5G Non-Terrestrial Networks)
Show Figures

Figure 1

22 pages, 1067 KB  
Review
Organisational and Team-Level Strategies to Enhance Work Engagement and Mitigate Burnout Among Nurse Case Managers: A Global Scoping Review with Implications for the Gulf Region
by Ahmed Yahya Ayoub, Carin Maree and Neltjie van Wyk
Nurs. Rep. 2026, 16(4), 145; https://doi.org/10.3390/nursrep16040145 - 17 Apr 2026
Viewed by 244
Abstract
Introduction: Work engagement among nurse case managers is central to safe, efficient, person-centred care, yet organisational and team-level factors that support engagement or mitigate burnout remain poorly synthesised. Aim: To map organisational and team-level strategies that enhance work engagement or reduce burnout among [...] Read more.
Introduction: Work engagement among nurse case managers is central to safe, efficient, person-centred care, yet organisational and team-level factors that support engagement or mitigate burnout remain poorly synthesised. Aim: To map organisational and team-level strategies that enhance work engagement or reduce burnout among nurse case managers and aligned roles, as well as to consider their applicability to Gulf health systems. Method: We conducted a scoping review in accordance with the Arksey and O’Malley framework as refined by Levac et al. and reported it in line with PRISMA-ScR and PRISMA-S guidance. Six databases and targeted sources were searched for English-language records published between 2015 and 2025. Two reviewers independently screened titles/abstracts and full texts against predefined eligibility criteria, charted data using a piloted form, and synthesised findings thematically against Job Demands–Resources (JD-R) domains. Results: Of 303 records identified, 248 were screened after deduplication, and 11 studies were included. Across nine health systems, findings were mapped to three JD-R domains: job resources, job demands, and personal resources. The most recurrent resource-related strategies involved structural supports, staffing stability, coordination infrastructure, and supportive leadership or team practices. Key demands included role complexity, high caseloads, coordination workload, discharge pressures, and staffing instability. Personal-resource approaches were fewer and mainly involved stress management, communication, and reflective practice interventions. Engagement was infrequently measured directly, and only one empirical intervention study originated from a Gulf health system. Conclusions: This JD-R-informed scoping review suggests that strengthening structural, staffing, and coordination resources, alongside supportive leadership and team climates, may be important for sustaining engagement and limiting burnout among nurse case managers. However, these findings should be interpreted as exploratory signals that map the current evidence landscape rather than definitive evidence of effectiveness. Multi-component JD-R-informed bundles in Gulf region health systems should therefore be prioritised for context-sensitive co-design, piloting, and evaluation. Full article
(This article belongs to the Special Issue Nursing Leadership: Contemporary Challenges)
Show Figures

Figure 1

74 pages, 2929 KB  
Review
An Updated and Comprehensive Review of Phellodendri amurensis Cortex: Ethnobotany, Geographical Distribution, Phytochemistry, Quality Control, and Pharmacology
by Kang Li, Chunqi Song, Xin Tan, Yang Zhang, Hao Zang and Xingzun Zhu
Molecules 2026, 31(8), 1318; https://doi.org/10.3390/molecules31081318 - 17 Apr 2026
Viewed by 165
Abstract
Phellodendri amurensis Cortex is the dried bark of the cork tree (Phellodendron amurense Rupr.) from the Rutaceae family, and possesses traditional efficacy in clearing heat, drying dampness, purging fire, relieving steaming sensations, detoxifying, and healing sores. Clinically, it is commonly used for [...] Read more.
Phellodendri amurensis Cortex is the dried bark of the cork tree (Phellodendron amurense Rupr.) from the Rutaceae family, and possesses traditional efficacy in clearing heat, drying dampness, purging fire, relieving steaming sensations, detoxifying, and healing sores. Clinically, it is commonly used for treating symptoms such as damp-heat diarrhea and dysentery, jaundice with reddish urine, leukorrhea with vaginal itching, painful and difficult urination due to heat strangury, flaccidity and weakness of the lower limbs, bone-steaming and consumptive fever, night sweats and seminal emission, sores, ulcers, swellings, and toxins, eczema, damp sores, and urinary tract infections. Modern pharmacological studies have further revealed its diverse bioactivities, including antioxidant, antibacterial, anti-inflammatory, immunosuppressive, and anticancer effects. To provide an updated and comprehensive review of the research into Phellodendri amurensis Cortex, this study conducted a thorough literature search and analysis based on databases such as SciFinder, Web of Science, and China National Knowledge Infrastructure. The review integrates information on the plant’s botanical characteristics, geographical distribution, traditional applications, chemical components, quality control methods, and pharmacological effects to present a current and holistic overview of its research status. To date, approximately 170 compounds have been isolated and identified from Phellodendri amurensis Cortex, primarily including alkaloids, phenolics, terpenoids, sterols, lignans, flavonoids, and others. Among these, alkaloids exhibit significant antioxidant and anti-inflammatory activities and demonstrate potential pharmacological value in antibacterial, anticancer, hypoglycemic, and multi-organ protective effects. Although substantial foundational research exists, the mechanisms of action and quality control of Phellodendri amurensis Cortex require further in-depth exploration. Future efforts should focus on clarifying its pharmacodynamic material basis, uncovering new targets and pathways, and improving analytical methods for component analysis and quality control to advance the scientific development and rational utilization of this medicinal material. Full article
20 pages, 2345 KB  
Article
A Sharpness-Optimized Partitioned PSF Estimation Method for UAV TDI Push-Broom Image Deblurring
by Zhen Zhang and Min Xu
Sensors 2026, 26(8), 2414; https://doi.org/10.3390/s26082414 - 15 Apr 2026
Viewed by 178
Abstract
In uncrewed aerial vehicle (UAV)-based ground observation and detection missions involving high-speed moving targets or low-light conditions, Time Delay Integration (TDI) cameras enhance image brightness through multi-stage charge accumulation. However, the imaging quality is susceptible to motion blur induced by platform vibrations and [...] Read more.
In uncrewed aerial vehicle (UAV)-based ground observation and detection missions involving high-speed moving targets or low-light conditions, Time Delay Integration (TDI) cameras enhance image brightness through multi-stage charge accumulation. However, the imaging quality is susceptible to motion blur induced by platform vibrations and velocity mismatch. Based on TDI imaging technology, a TDI image degradation model for a UAV-based imaging platform is formulated. To address spatial blurring caused by platform vibration and velocity mismatch during TDI imaging, we propose a TDI image restoration algorithm based on sharpness-optimized partitioned Point Spread Function (PSF) estimation. The main innovation lies in the first application of partitioned PSF estimation combined with image sharpness optimization in TDI imaging. By formulating an accurate TDI image degradation model, spatial motion blur kernel estimation is transformed into an iterative search problem for partitioned optimal PSF. Solving for optimal sharpness yields the optimal PSF and corresponding local motion parameters, achieving image restoration. Simulation and experimental results demonstrate that the proposed algorithm in this paper effectively removes motion blur in TDI dynamic imaging, while suppressing artifacts and ringing, thus significantly enhancing image quality. Full article
(This article belongs to the Section Optical Sensors)
Show Figures

Figure 1

20 pages, 1907 KB  
Communication
Quantifying the Oral Cancer Public Awareness Deficit in Germany (2015–2023)
by Babak Saravi, Michael Vollmer, Daman Deep Singh, Lara Schorn, Julian Lommen, Felix Schrader, Max Wilkat, Andreas Vollmer, Veronika Shavlokhova, Marius Hörner, Norbert Kübler and Christoph Sproll
Cancers 2026, 18(8), 1236; https://doi.org/10.3390/cancers18081236 - 14 Apr 2026
Viewed by 325
Abstract
Objective: To quantify the gap between oral cancer disease burden and public awareness in Germany, and to characterize research dissemination patterns across social media platforms. Methods: We conducted a multi-dimensional analysis integrating: (1) Robert Koch Institut cancer registry data for oral and maxillofacial [...] Read more.
Objective: To quantify the gap between oral cancer disease burden and public awareness in Germany, and to characterize research dissemination patterns across social media platforms. Methods: We conducted a multi-dimensional analysis integrating: (1) Robert Koch Institut cancer registry data for oral and maxillofacial malignancies (ICD-10: C00–C06) from 2015 to 2023; (2) Google Trends search interest for cancer-related German terms; (3) Altmetric data for 2581 PubMed-indexed oral cancer publications; and (4) sentiment analysis of 10,308 social media posts. Age-standardized incidence rates were calculated using the European Standard Population. Results: Over the study period, 65,757 oral cavity cancer cases were registered. Google Trends analysis revealed a 64% attention deficit for “Mundkrebs” (oral cancer; mean: 17) compared to “Brustkrebs” (breast cancer; mean: 47). Case numbers declined from 7577 (2019) to 6870 (2023; −9.3%), while age-standardized rates decreased by 15.5% (11.6 to 9.8 per 100,000), with males disproportionately affected (−17.7%). Research dissemination was dominated by X/Twitter (86.2%), with minimal policy document (0.3%) or clinical guideline (0.3%) citations. Sentiment analysis revealed 77% positive public reception. Regional analysis identified an East–West divide, with Eastern German states showing 22% higher search interest. Conclusions: A substantial public awareness deficit exists for oral cancer in Germany, paradoxically widening during a period of declining diagnoses potentially associated with COVID-19-related diagnostic delays. The positive public sentiment toward oral cancer research suggests a favorable environment for targeted awareness campaigns, particularly in Western German states where search interest is lowest. These findings have practical implications for designing regionally tailored awareness campaigns prioritizing anatomically specific terminology. Future research should evaluate the effectiveness of such targeted interventions and assess whether post-pandemic diagnoses present at more advanced stages. Full article
Show Figures

Figure 1

34 pages, 6346 KB  
Article
Multi-Head Attention Deep Q-Network with Prioritized Experience Replay for UAV Path Planning in Dynamic Environments: A Bio-Inspired Approach
by Yang Li, Xinjie Qian, Jiexin Zhang, Xiao Yang and Chao Deng
Biomimetics 2026, 11(4), 268; https://doi.org/10.3390/biomimetics11040268 - 13 Apr 2026
Viewed by 230
Abstract
Unmanned Aerial Vehicles (UAVs) have become widely used tools for different applications including surveillance, search and rescue, and package delivery. However, autonomous path planning in dynamic environments with moving obstacles, wind disturbances, and energy constraints remains a significant challenge. This paper proposes a [...] Read more.
Unmanned Aerial Vehicles (UAVs) have become widely used tools for different applications including surveillance, search and rescue, and package delivery. However, autonomous path planning in dynamic environments with moving obstacles, wind disturbances, and energy constraints remains a significant challenge. This paper proposes a novel Multi-Head Attention Deep Q-Network with Prioritized Experience Replay (MA-DQN + PER) that integrates bio-inspired attention mechanisms with deep reinforcement learning for efficient UAV path planning. Our approach features a 46-dimensional state space that captures all environmental information, including static obstacles, wind conditions, and energy status. The proposed Attention-QNetwork architecture uses four specialized attention heads to selectively focus on different aspects of the environment, including obstacle avoidance, target tracking and energy management, and wind compensation. To improve sample efficiency and convergence speed, we incorporate Prioritized Experience Replay (PER) as well as Prioritized Experience Replay (PER) with a sum-tree data structure to improve sample efficiency and convergence speed. A curriculum learning strategy that includes 10 difficulty levels is designed to progressively enhance the agent’s capabilities. Extensive simulations demonstrate that our MA-DQN + PER approach reaches a 96% task success rate (defined as the percentage of episodes where the UAV successfully reaches the target without collision or battery depletion), while the convergence speed was 68% quicker than that of the baseline DQN. Our method demonstrates superior performance in path efficiency (+17%), energy consumption reduction (−26%), and collision avoidance compared to state-of-the-art algorithms. Full article
(This article belongs to the Section Bioinspired Sensorics, Information Processing and Control)
Show Figures

Figure 1

Back to TopTop