Sign in to use this feature.

Years

Between: -

Subjects

remove_circle_outline
remove_circle_outline
remove_circle_outline
remove_circle_outline
remove_circle_outline
remove_circle_outline
remove_circle_outline
remove_circle_outline
remove_circle_outline

Journals

Article Types

Countries / Regions

Search Results (51)

Search Parameters:
Keywords = multi-spot measurements model

Order results
Result details
Results per page
Select all
Export citation of selected articles as:
18 pages, 5515 KB  
Article
Experimental and Simulation Study on Residual Stress of Pure Copper Welded Joint by Laser Shock Peening
by Yandong Ma, Siwei Li, Yang Tang and Yongkang Zhang
Materials 2025, 18(17), 4088; https://doi.org/10.3390/ma18174088 - 1 Sep 2025
Viewed by 539
Abstract
To accurately assess the residual stress distribution on the superficial layer of the weld for a pure copper butt-welded joint after laser shock peening (LSP), a coupled model was established by integrating experimental measurements with numerical simulations. This model simulates both the tungsten [...] Read more.
To accurately assess the residual stress distribution on the superficial layer of the weld for a pure copper butt-welded joint after laser shock peening (LSP), a coupled model was established by integrating experimental measurements with numerical simulations. This model simulates both the tungsten inert gas (TIG) welding process of pure copper and the subsequent LSP treatment applied to the weld. On this basis, the effects of the spot overlapping rate, number of impact layers, and pulse width on the weld residual stress profile were evaluated via multi-point LSP simulations. The findings imply that LSP converts the weld’s superficial residual stress from tensile to compressive, which verifies the accuracy of the simulations through the experimental data. Multi-point LSP numerical simulations demonstrate that elevating the spot overlapping rate and number of impact layers enhances the amplitude and affected depth of the surface compressive residual stress (CRS). A slight decrease in the CRS on the superficial layer of the weld was observed with an increase in pulse width. Compared with increasing the overlapping rate and pulse width, increasing the number of impact layers has a more significant strengthening effect. When the impact layer reached 3 times, the surface CRS reached −219.4 MPa, and the influence depth was 1.3 mm. Full article
(This article belongs to the Section Metals and Alloys)
Show Figures

Figure 1

23 pages, 1922 KB  
Review
Phosphorus Cycling in Sediments of Deep and Large Reservoirs: Environmental Effects and Interface Processes
by Jue Wang, Jijun Gao, Qiwen Wang, Laisheng Liu, Huaidong Zhou, Shengjie Li, Hongcheng Shi and Siwei Wang
Sustainability 2025, 17(16), 7551; https://doi.org/10.3390/su17167551 - 21 Aug 2025
Viewed by 762
Abstract
Although the sediment–water interface of deep and large reservoirs is recognized as a dominant source of internal phosphorus (P) loading, the quantitative hierarchy of environmental drivers and their interaction thresholds remains poorly resolved. Here, we integrate 512 studies to provide the first process-based [...] Read more.
Although the sediment–water interface of deep and large reservoirs is recognized as a dominant source of internal phosphorus (P) loading, the quantitative hierarchy of environmental drivers and their interaction thresholds remains poorly resolved. Here, we integrate 512 studies to provide the first process-based synthesis that partitions P release fluxes among temperature, pH, dissolved oxygen, salinity, sediment properties, and microbial activity across canyon, valley, and plain-type reservoirs. By deriving standardized effect sizes from 61 data-rich papers, we show that (i) a 1 °C rise in bottom-water temperature increases soluble reactive P (SRP) flux by 12.4% (95% CI: 10.8–14.0%), with sensitivity 28% lower in Alpine oligotrophic systems and 20% higher in warm monomictic basins; (ii) a single-unit pH shift—whether acid or alkaline—stimulates P release through distinct desorption pathways,; and (iii) each 1 mg L−1 drop in dissolved oxygen amplifies release by 31% (25–37%). Critically, we demonstrate that these drivers rarely act independently: multi-factor laboratory and in situ analyses reveal that simultaneous hypoxia and warming can triple the release rate predicted from single-factor models. We further identify that >75% of measurements originate from dam-proximal zones, creating spatial blind spots that currently limit global P-load forecasts to ±50% uncertainty. To close this gap, we advocate coupled metagenomic–geochemical observatories that link gene expression (phoD, ppk, pqqC) to real-time SRP fluxes. The review advances beyond the existing literature by (1) establishing the first quantitative, globally transferable framework for temperature-, DO-, and pH-based management levers; (2) exposing the overlooked role of regional climate in modulating temperature sensitivity; and (3) providing a research agenda that reduces forecasting uncertainty to <20% within two years. Full article
Show Figures

Figure 1

28 pages, 19171 KB  
Article
Spatiotemporal Evolution of Precipitation Concentration in the Yangtze River Basin (1960–2019): Associations with Extreme Heavy Precipitation and Validation Using GPM IMERG
by Tao Jin, Yuliang Zhou, Ping Zhou, Ziling Zheng, Rongxing Zhou, Yanqi Wei, Yuliang Zhang and Juliang Jin
Remote Sens. 2025, 17(15), 2732; https://doi.org/10.3390/rs17152732 - 7 Aug 2025
Viewed by 512
Abstract
Precipitation concentration reflects the uneven temporal distribution of rainfall. It plays a critical role in water resource management and flood–drought risk under climate change. However, its long-term trends, associations with atmospheric teleconnections as potential drivers, and links to extreme heavy precipitation events remain [...] Read more.
Precipitation concentration reflects the uneven temporal distribution of rainfall. It plays a critical role in water resource management and flood–drought risk under climate change. However, its long-term trends, associations with atmospheric teleconnections as potential drivers, and links to extreme heavy precipitation events remain poorly understood in complex basins like the Yangtze River Basin. This study analyzes these aspects using ground station data from 1960 to 2019 and conducts a comparison using the Global Precipitation Measurement Integrated Multi-satellitE Retrievals for GPM (GPM IMERG) satellite product. We calculated three indices—Daily Precipitation Concentration Index (PCID), Monthly Precipitation Concentration Index (PCIM), and Seasonal Precipitation Concentration Index (SPCI)—to quantify rainfall unevenness, selected for their ability to capture multi-scale variability and associations with extremes. Key methods include Mann–Kendall trend tests for detecting changes, Hurst exponents for persistence, Pettitt detection for abrupt shifts, random forest modeling to assess atmospheric teleconnections, and hot spot analysis for spatial clustering. Results show a significant basin-wide decrease in PCID, driven by increased frequency of small-to-moderate rainfall events, with strong spatial synchrony to extreme heavy precipitation indices. PCIM is most strongly associated with El Niño-Southern Oscillation (ENSO) and Pacific Decadal Oscillation (PDO). GPM IMERG captures PCIM patterns well but underestimates PCID trends and magnitudes, highlighting limitations in daily-scale resolution. These findings provide a benchmark for satellite product improvement and support adaptive strategies for extreme precipitation risks in changing climates. Full article
(This article belongs to the Special Issue Remote Sensing in Hydrometeorology and Natural Hazards)
Show Figures

Figure 1

16 pages, 5222 KB  
Article
Rock Physics Characteristics and Modeling of Deep Fracture–Cavity Carbonate Reservoirs
by Qifei Fang, Juntao Ge, Xiaoqiong Wang, Junfeng Zhou, Huizhen Li, Yuhao Zhao, Tuanyu Teng, Guoliang Yan and Mengen Wang
Energies 2025, 18(14), 3710; https://doi.org/10.3390/en18143710 - 14 Jul 2025
Viewed by 465
Abstract
The deep carbonate reservoirs in the Tarim Basin, Xinjiang, China, are widely developed with multi-scale complex reservoir spaces such as fractures, pores, and karst caves under the coupling of abnormal high pressure, diagenesis, karst, and tectonics and have strong heterogeneity. Among them, fracture–cavity [...] Read more.
The deep carbonate reservoirs in the Tarim Basin, Xinjiang, China, are widely developed with multi-scale complex reservoir spaces such as fractures, pores, and karst caves under the coupling of abnormal high pressure, diagenesis, karst, and tectonics and have strong heterogeneity. Among them, fracture–cavity carbonate reservoirs are one of the main reservoir types. Revealing the petrophysical characteristics of fracture–cavity carbonate reservoirs can provide a theoretical basis for the log interpretation and geophysical prediction of deep reservoirs, which holds significant implications for deep hydrocarbon exploration and production. In this study, based on the mineral composition and complex pore structure of carbonate rocks in the Tarim Basin, we comprehensively applied classical petrophysical models, including Voigt–Reuss–Hill, DEM (Differential Effective Medium), Hudson, Wood, and Gassmann, to establish a fracture–cavity petrophysical model tailored to the target block. This model effectively characterizes the complex pore structure of deep carbonate rocks and addresses the applicability limitations of conventional models in heterogeneous reservoirs. The discrepancies between the model-predicted elastic moduli, longitudinal and shear wave velocities (Vp and Vs), and laboratory measurements are within 4%, validating the model’s reliability. Petrophysical template analysis demonstrates that P-wave impedance (Ip) and the Vp/Vs ratio increase with water saturation but decrease with fracture density. A higher fracture density amplifies the fluid effect on the elastic properties of reservoir samples. The Vp/Vs ratio is more sensitive to pore fluids than to fractures, whereas Ip is more sensitive to fracture density. Regions with higher fracture and pore development exhibit greater hydrocarbon storage potential. Therefore, this petrophysical model and its quantitative templates can provide theoretical and technical support for predicting geological sweet spots in deep carbonate reservoirs. Full article
(This article belongs to the Special Issue New Progress in Unconventional Oil and Gas Development: 2nd Edition)
Show Figures

Figure 1

21 pages, 955 KB  
Article
Development of a Sustainability-Oriented KPI Selection Model for Manufacturing Processes
by Kristo Karjust, Marmar Mehrparvar, Sergei Kaganski and Tõnis Raamets
Sustainability 2025, 17(14), 6374; https://doi.org/10.3390/su17146374 - 11 Jul 2025
Viewed by 651
Abstract
Modern manufacturing systems operate in a global and competitive environment, where sustainability has become a critical driver for performance. Performance measurement, as a method for monitoring enterprise processes, plays a central role in aligning operational efficiency with sustainable development goals. Recently, a number [...] Read more.
Modern manufacturing systems operate in a global and competitive environment, where sustainability has become a critical driver for performance. Performance measurement, as a method for monitoring enterprise processes, plays a central role in aligning operational efficiency with sustainable development goals. Recently, a number of different frameworks, systems, and methods have been proposed for small and medium enterprises. Key performance indicators (KPIs) are known to be powerful tools which provide accurate information regarding bottlenecks and weak spots in companies. The purpose of the current study is to develop an advanced KPI selection/prioritization model and apply it in practice. The initial set of KPIs are obtained based on a literature review. The expert’s knowledge, outlier methods, and optimization of the enterprise analysis model (EAM) are utilized for reducing the initial set of KPIs. A fuzzy analytical hierarchy process (AHP) is implemented for prioritization of the criteria. Five different MCDM (multi-criteria decision-making) algorithms are implemented for prioritization of the KPIs. The recently introduced RADAR method is extended to the fuzzy RADAR method, providing a flexible approach for handling uncertainties. An analysis and comparison of the rankings obtained by utilizing five MCDM algorithms is performed. The prioritized KPIs provide valuable input for improving KPIs with the highest impact in particular small and medium-sized enterprises (SMEs) when implementing sustainability-aligned performance metrics. Full article
(This article belongs to the Special Issue Logistics Optimization and Sustainable Operations Management)
Show Figures

Figure 1

23 pages, 1154 KB  
Article
Assessing a Measurement-Oriented Data Management Framework in Energy IoT Applications
by Hariom Dhungana, Francesco Bellotti, Matteo Fresta, Pragya Dhungana and Riccardo Berta
Energies 2025, 18(13), 3347; https://doi.org/10.3390/en18133347 - 26 Jun 2025
Viewed by 375
Abstract
The Internet of Things (IoT) has enabled the development of various applications for energy, exploiting unprecedented data collection, multi-stage data processing, enhanced awareness, and control of the physical environment. In this context, the availability of tools for efficient development is paramount. This paper [...] Read more.
The Internet of Things (IoT) has enabled the development of various applications for energy, exploiting unprecedented data collection, multi-stage data processing, enhanced awareness, and control of the physical environment. In this context, the availability of tools for efficient development is paramount. This paper explores and validates the use of a generic, flexible, open-source measurement-oriented data collection framework for the energy field, namely Measurify, in the Internet of Things (IoT) context. Based on a literature analysis, we have spotted three domains (namely, vehicular batteries, low voltage (LV) test feeder, and home energy-management system) and defined for each one of them an application (namely: range prediction, power flow analysis, and appliance scheduling), to verify the impact given by the use of the proposed IoT framework. We modeled each one of them with Measurify, mapping the energy field items into the abstract resources provided by the framework. From our experience in the three applications, we highlight the generality of Measurify, with straightforward modeling capabilities and rapid deployment time. We thus argue for the importance for practitioners of using powerful big data management development tools to improve efficiency and effectiveness in the life-cycle of IoT applications, also in the energy domain. Full article
(This article belongs to the Special Issue Tiny Machine Learning for Energy Applications)
Show Figures

Figure 1

14 pages, 2976 KB  
Article
Multi-Domain Data Integration for Plasma Diagnostics in Semiconductor Manufacturing Using Tri-CycleGAN
by Minji Kang, Sung Kyu Jang, Jihun Kim, Seongho Kim, Changmin Kim, Hyo-Chang Lee, Wooseok Kang, Min Sup Choi, Hyeongkeun Kim and Hyeong-U Kim
J. Sens. Actuator Netw. 2024, 13(6), 75; https://doi.org/10.3390/jsan13060075 - 4 Nov 2024
Cited by 3 | Viewed by 2276
Abstract
The precise monitoring of chemical reactions in plasma-based processes is crucial for advanced semiconductor manufacturing. This study integrates three diagnostic techniques—Optical Emission Spectroscopy (OES), Quadrupole Mass Spectrometry (QMS), and Time-of-Flight Mass Spectrometry (ToF-MS)—into a reactive ion etcher (RIE) system to analyze CF4 [...] Read more.
The precise monitoring of chemical reactions in plasma-based processes is crucial for advanced semiconductor manufacturing. This study integrates three diagnostic techniques—Optical Emission Spectroscopy (OES), Quadrupole Mass Spectrometry (QMS), and Time-of-Flight Mass Spectrometry (ToF-MS)—into a reactive ion etcher (RIE) system to analyze CF4-based plasma. To synchronize and integrate data from these different domains, we developed a Tri-CycleGAN model that utilizes three interconnected CycleGANs for bi-directional data transformation between OES, QMS, and ToF-MS. This configuration enables accurate mapping of data across domains, effectively compensating for the blind spots of individual diagnostic techniques. The model incorporates self-attention mechanisms to address temporal misalignments and a direct loss function to preserve fine-grained features, further enhancing data accuracy. Experimental results show that the Tri-CycleGAN model achieves high consistency in reconstructing plasma measurement data under various conditions. The model’s ability to fuse multi-domain diagnostic data offers a robust solution for plasma monitoring, potentially improving precision, yield, and process control in semiconductor manufacturing. This work lays a foundation for future applications of machine learning-based diagnostic integration in complex plasma environments. Full article
(This article belongs to the Special Issue AI-Assisted Machine-Environment Interaction)
Show Figures

Figure 1

14 pages, 5605 KB  
Article
3D Multi-Phase Sub-Pixel PSF Estimation Based on Space Debris Detection System
by Fan Bu, Dalei Yao and Yan Wen
Photonics 2024, 11(10), 933; https://doi.org/10.3390/photonics11100933 - 3 Oct 2024
Viewed by 1104
Abstract
The distribution of diffuse spot energy can be used to sensitively evaluate the aberrations and defects of optical systems. Therefore, the objective and quantitative measurement of diffuse spot parameters is an important means to control the detection quality of space debris detection systems. [...] Read more.
The distribution of diffuse spot energy can be used to sensitively evaluate the aberrations and defects of optical systems. Therefore, the objective and quantitative measurement of diffuse spot parameters is an important means to control the detection quality of space debris detection systems. At present, the existing optical system dispersion measurement method can only judge whether the energy distribution meets the index. However, these methods ca not provide an objective quantitative basis to guide the installation process. To solve this problem, a mathematical simulation model of 3D multi-phase sub-pixel PSF distribution is proposed. According to the relation between the CCD target plane and the theoretical image plane (focal plane, defocus, and deflection), the diffuse spot distribution of the optical system is simulated with different phase combinations. Then, Pearson Correlation Coefficient (PCC) is used to evaluate the matching similarity of the diffuse spot image. The simulation results show that when the PCC is greater than 0.96, the distribution of the two diffuse spots can be identified as matching. This also confirms the accuracy of the proposed PSF model. Then, the focusing deviation of the system being tested can be analyzed according to the phase size of the diffuse spot simulation image. This method can quickly and accurately guide the focal surface installation and testing of the system. Therefore, the purpose of improving the detection accuracy of space debris is achieved. It also provides a quantitative basis for the engineering application of optical detection systems in the future. Full article
Show Figures

Figure 1

18 pages, 3157 KB  
Article
Integrated Circuit Bonding Distance Inspection via Hierarchical Measurement Structure
by Yuan Zhang, Chenghan Pu, Yanming Zhang, Muyuan Niu, Lifeng Hao and Jun Wang
Sensors 2024, 24(12), 3933; https://doi.org/10.3390/s24123933 - 18 Jun 2024
Viewed by 1477
Abstract
Bonding distance is defined by the projected distance on a substrate plane between two solder points of a bonding wire, which can directly affect the morphology of the bonding wire and the performance between internal components of the chip. For the inspection of [...] Read more.
Bonding distance is defined by the projected distance on a substrate plane between two solder points of a bonding wire, which can directly affect the morphology of the bonding wire and the performance between internal components of the chip. For the inspection of the bonding distance, it is necessary to accurately recognize gold wires and solder points within the complex imagery of the chip. However, bonding wires at arbitrary angles and small-sized solder points are densely distributed across the complex background of bonding images. These characteristics pose challenges for conventional image detection and deep learning methods to effectively recognize and measure the bonding distances. In this paper, we present a novel method to measure bonding distance using a hierarchical measurement structure. First, we employ an image acquisition device to capture surface images of integrated circuits and use multi-layer convolution to coarsely locate the bonding region and remove redundant background. Second, we apply a multi-branch wire bonding inspection network for detecting bonding spots and segmenting gold wire. This network includes a fine location branch that utilizes low-level features to enhance detection accuracy for small bonding spots and a gold wire segmentation branch that incorporates an edge branch to effectively extract edge information. Finally, we use the bonding distance measurement module to develop four types of gold wire distribution models for bonding spot matching. Together, these modules create a fully automated method for measuring bonding distances in integrated circuits. The effectiveness of the proposed modules and overall framework has been validated through comprehensive experiments. Full article
(This article belongs to the Section Physical Sensors)
Show Figures

Figure 1

19 pages, 5441 KB  
Article
Numerical Study on Heat Transfer Characteristic of Hot Metal Transportation before EAF Steelmaking Process
by Weizhen Chen, Hang Hu, Shuai Wang, Feng Chen, Yufeng Guo and Lingzhi Yang
Metals 2024, 14(6), 673; https://doi.org/10.3390/met14060673 - 6 Jun 2024
Cited by 1 | Viewed by 1620
Abstract
The temperature of hot metal (HM) is crucial for the energy input and smelting in the electric arc furnace (EAF) steelmaking process with HM and scrap as the charge structure. However, due to the influence of many factors in the heat dissipation in [...] Read more.
The temperature of hot metal (HM) is crucial for the energy input and smelting in the electric arc furnace (EAF) steelmaking process with HM and scrap as the charge structure. However, due to the influence of many factors in the heat dissipation in HM transportation before the EAF steelmaking process, the temperature drop of HM before charged is usually fluctuating and uncertain. This situation is not conducive to the input energy control and energy optimization of the EAF steelmaking process. In this paper, a three-dimensional numerical model of a 90-ton hot metal ladle is established to simulate the heat transfer characteristic of HM transportation through ANSYS Fluent 2023 and verified by on-the-spot testing and sample analysis. The effects of ambient temperature, air velocity, slag thickness and furnace cover thickness on the temperature drop of HM are investigated and quantitatively analyzed in 30 numerical schemes. The results indicate that slag thickness is the most influential factor, followed by furnace cover thickness, air velocity and ambient temperature. In the case of 50 min transport time, the temperature drop of HM is 55.2, 15.06, 12.08, 10.38, 10.29 and 10.26 °C when the slag thickness is 0, 50, 100, 150, 200 and 250 mm, respectively. While HM is not covered by slag, the furnace cover can also greatly reduce the temperature drop. Based on the simulated data, a prediction model of HM temperature drop is obtained through the multi-factor coupling analysis and mathematical fitting. This study can help develop targeted insulation measures and determine the temperature of HM, which is expected to control the input energy for deep energy-saving optimization in the EAF steelmaking process. Full article
(This article belongs to the Special Issue Advances in Ironmaking and Steelmaking Processes (2nd Edition))
Show Figures

Figure 1

28 pages, 9129 KB  
Article
Multi-Attack Intrusion Detection for In-Vehicle CAN-FD Messages
by Fei Gao, Jinshuo Liu, Yingqi Liu, Zhenhai Gao and Rui Zhao
Sensors 2024, 24(11), 3461; https://doi.org/10.3390/s24113461 - 27 May 2024
Cited by 2 | Viewed by 2286
Abstract
As an enhanced version of standard CAN, the Controller Area Network with Flexible Data (CAN-FD) rate is vulnerable to attacks due to its lack of information security measures. However, although anomaly detection is an effective method to prevent attacks, the accuracy of detection [...] Read more.
As an enhanced version of standard CAN, the Controller Area Network with Flexible Data (CAN-FD) rate is vulnerable to attacks due to its lack of information security measures. However, although anomaly detection is an effective method to prevent attacks, the accuracy of detection needs further improvement. In this paper, we propose a novel intrusion detection model for the CAN-FD bus, comprising two sub-models: Anomaly Data Detection Model (ADDM) for spotting anomalies and Anomaly Classification Detection Model (ACDM) for identifying and classifying anomaly types. ADDM employs Long Short-Term Memory (LSTM) layers to capture the long-range dependencies and temporal patterns within CAN-FD frame data, thus identifying frames that deviate from established norms. ACDM is enhanced with the attention mechanism that weights LSTM outputs, further improving the identification of sequence-based relationships and facilitating multi-attack classification. The method is evaluated on two datasets: a real-vehicle dataset including frames designed by us based on known attack patterns, and the CAN-FD Intrusion Dataset, developed by the Hacking and Countermeasure Research Lab. Our method offers broader applicability and more refined classification in anomaly detection. Compared with existing advanced LSTM-based and CNN-LSTM-based methods, our method exhibits superior performance in detection, achieving an improvement in accuracy of 1.44% and 1.01%, respectively. Full article
(This article belongs to the Section Vehicular Sensing)
Show Figures

Figure 1

14 pages, 5672 KB  
Article
An Iterative High-Precision Algorithm for Multi-Beam Array Stitching Method Based on Scanning Hartmann
by Xiangyu Yan, Dahai Li, Kewei E, Fang Feng, Tao Wang, Xun Xue, Zekun Zhang and Kai Lu
Appl. Sci. 2024, 14(2), 794; https://doi.org/10.3390/app14020794 - 17 Jan 2024
Viewed by 1181
Abstract
The multi-beam array stitching test system (MASTS) based on the Hartmann principle is employed to measure the aberrations in large-aperture optical systems. As each small-aperture and ideal parallel beam traverses the optical system, it is converged into a spot at the focal plane [...] Read more.
The multi-beam array stitching test system (MASTS) based on the Hartmann principle is employed to measure the aberrations in large-aperture optical systems. As each small-aperture and ideal parallel beam traverses the optical system, it is converged into a spot at the focal plane of the optical system. The centroid position of the spot contains the information about the wavefront slope of the sub-aperture at that specific location in the optical system. Scanning the optical system with this small-aperture beam across the entire aperture of the optical system, we can yield the aberration information to be tested. To mitigate pointing errors induced by scanning motion and accurately obtain the aberration signals of the optical system, nine beams are integrated into a 3 × 3 multi-beam array system, and their directions are aligned to be identical. However, achieving complete alignment in the same direction for all nine beams is a challenging task, resulting in errors due to their pointing differences within the array. This paper introduces an iterative algorithm designed to obtain high-precision multi-beam pointing errors and to reconstruct the wavefront of the optical system under test. This enables a more accurate measurement of wavefront aberrations in the optical system to be tested. Firstly, simulation models were implemented to validate the algorithm’s feasibility. Additionally, a scanning optical measurement system with a multi-beam array was developed in our lab, and the iterative algorithm was applied to process our experimental data. The results were then compared with interferometer data, demonstrating that our algorithm is feasible for MASTS to measure aberrations in large-aperture optical systems with high accuracy. Full article
(This article belongs to the Special Issue Advances in Optical Instrument and Measurement Technology)
Show Figures

Figure 1

9 pages, 569 KB  
Article
Digital Phenotyping Reveals Phenotype Diversity and Epistasis among White Spotting Alleles in the American Paint Horse
by Chelby Lynn Gossett, Danielle Guyer, Jessica Hein and Samantha A. Brooks
Genes 2023, 14(11), 2011; https://doi.org/10.3390/genes14112011 - 27 Oct 2023
Viewed by 2298
Abstract
White spotting is an iconic feature of the American Paint Horse. The American Paint Horse Association (APHA) is dedicated to recording pedigree and performance of this stock-type breed, while preserving its distinctive coat color and conformation. Here, the depigmented proportion of the coat [...] Read more.
White spotting is an iconic feature of the American Paint Horse. The American Paint Horse Association (APHA) is dedicated to recording pedigree and performance of this stock-type breed, while preserving its distinctive coat color and conformation. Here, the depigmented proportion of the coat (% white coat) was measured using digital photograph analysis of 1195 registered American Paint Horses. Genotypes for nine white-spotting polymorphisms commonly found in Paint Horses, and two pigment-producing loci MCIR and ASIP genes, were also provided by the APHA. White-coat percent significantly increased in horses with more white-spotting alleles present, regardless of the number of loci bearing those alleles, likely due to a strong additive genetic effect at each white-spotting locus, as well as an additive epistatic effect among white spotting loci. Paint Horses with a chestnut base coat color (genotype e/e at MC1R) possessed a significantly higher white coat percentage, suggesting confirming an epistatic interaction between pigmentation signaling genes and loci for white spotting. The APHA registry categories of Regular versus Solid Paint-Bred also differed in their median white coat percentage (p < 0.0001), but not in the overall ranges of this phenotype, reenforcing the importance of the regional patterns of the depigmentation in the definition of the desired APHA phenotype. Multi-locus phenotype prediction models for white-coat percentage performed only moderately well, and improvements in the sample size and the number of loci genotyped will likely be needed before such an approach could be used practically by APHA breeders. In the future, models that enable phenotype prediction based on genotypes, and automated phenotype assessment could increase the production of valuable visual traits in the American Paint Horse population and improve the APHA member experience during the registration process. Full article
(This article belongs to the Special Issue Equine Genetics and Genomics)
Show Figures

Figure 1

22 pages, 6523 KB  
Article
Predicting and Visualizing Human Soundscape Perception in Large-Scale Urban Green Spaces: A Case Study of the Chengdu Outer Ring Ecological Zone
by Yuting Yin, Yuhan Shao, Huilin Lu, Yiying Hao and Like Jiang
Forests 2023, 14(10), 1946; https://doi.org/10.3390/f14101946 - 25 Sep 2023
Cited by 6 | Viewed by 2525
Abstract
Human soundscape perceptions exist through the perceived environment rather than the physical environment itself and are determined not only by the acoustic environment but also by the visual environment and their interaction. However, these relationships have mainly been established at the individual level, [...] Read more.
Human soundscape perceptions exist through the perceived environment rather than the physical environment itself and are determined not only by the acoustic environment but also by the visual environment and their interaction. However, these relationships have mainly been established at the individual level, which may impede the efficient delivery of human-oriented considerations in improving the quality of large-scale urban spaces. Using the Chengdu Outer Ring Ecological Zone as an example, this study aims to develop an approach to predict human perceptions in large-scale urban green spaces. The site’s visual attributes, i.e., landscape composition, were calculated using space syntax and the quantum geographic information system (QGIS); its aural attributes, i.e., the sound level, were measured on site using a multi-channel signal analyzer; and its functional attributes, i.e., vitality, were documented through on-site observations and mapping. This was performed whilst obtaining people’s perceived soundscape through sound walks and a questionnaire-based on-site survey. The above environmental information was collected at micro-scale measurement spots selected within the site and then used together to formulate a model for predicting people’s soundscape perceptions in the whole site. The prediction results suggested that people’s perceived soundscape satisfaction increased as the distance from the ring road increased, and it gradually reached its highest level in the green spaces stretched outside the ring road. The prediction results of soundscape perception were then visualized using QGIS to develop planning and design implications, along with maps describing the site’s visual, aural, and functional features. Planning and design implications were suggested, including setting green buffers between noise sources and vulnerable areas; identifying and preserving areas with special visual and acoustic characteristics; employing sound shields around traffic facilities; and using natural landscapes to distract people’s attention from noise and to block their view of the source of noise. This study innovatively predicts individual-scale soundscape perception in large-scale UGSs based on environmental visual, aural, and functional characteristics through cross-level measurements, analyses, and model construction. By introducing a systematic perspective, the outcome of this study makes people’s soundscape perceptions more applicable in the planning and design practices of large-scale urban settings. Full article
(This article belongs to the Special Issue Landsenses in Green Spaces)
Show Figures

Figure 1

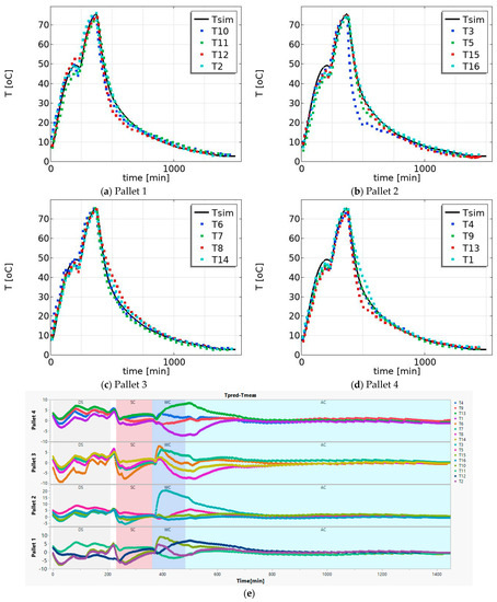
15 pages, 3689 KB  
Article
An Integrated Model of Heat Transfer in Meat Products during Multistage Operations
by Aberham Hailu Feyissa and Stina Frosch
Foods 2023, 12(18), 3369; https://doi.org/10.3390/foods12183369 - 8 Sep 2023
Viewed by 2934
Abstract
This work focuses on the modelling of the heat transfer in the key processes during the manufacturing of salted–smoked loin pork, a traditional Danish product called “Hamburgerryg”. Drying, smoking, steam-cooking, water-cooling, and air-cooling processes are important process steps in the production of “Hamburgerryg”. [...] Read more.
This work focuses on the modelling of the heat transfer in the key processes during the manufacturing of salted–smoked loin pork, a traditional Danish product called “Hamburgerryg”. Drying, smoking, steam-cooking, water-cooling, and air-cooling processes are important process steps in the production of “Hamburgerryg”. A mathematical model that describes the heat transfer during these processes was developed. A current model formulation, multiple unit operations, and the transfer between these unit operations were considered and described by an equation that combines boundary conditions. The model governing and boundary equations were solved using the finite element method (COMSOL Multi-physics® version 5.6). The product temperature profile during the processes was predicted as a function of position and time in the loin. The model was validated using measured temperature profiles from industrial production, and a good agreement between the measured and simulated temperature profiles was obtained. Additionally, the effects of the position (in the heating, cooking, and cooling chamber) on the temperature profile were also investigated. The obtained model can be used as a simulation tool to predict the temperature profile (particularly cold and hot spots) for entire processes and this can aid in the digitization of food processes by providing a more accurate and efficient means of temperature control. Full article
(This article belongs to the Section Food Engineering and Technology)
Show Figures

Figure 1

Back to TopTop