Sign in to use this feature.

Years

Between: -

Subjects

remove_circle_outline
remove_circle_outline
remove_circle_outline
remove_circle_outline
remove_circle_outline
remove_circle_outline
remove_circle_outline
remove_circle_outline
remove_circle_outline

Journals

remove_circle_outline
remove_circle_outline
remove_circle_outline
remove_circle_outline
remove_circle_outline
remove_circle_outline
remove_circle_outline
remove_circle_outline
remove_circle_outline
remove_circle_outline
remove_circle_outline
remove_circle_outline
remove_circle_outline
remove_circle_outline
remove_circle_outline
remove_circle_outline
remove_circle_outline
remove_circle_outline
remove_circle_outline
remove_circle_outline

Article Types

Countries / Regions

remove_circle_outline
remove_circle_outline
remove_circle_outline
remove_circle_outline
remove_circle_outline
remove_circle_outline

Search Results (3,885)

Search Parameters:
Keywords = multi-physical modeling

Order results
Result details
Results per page
Select all
Export citation of selected articles as:
27 pages, 4866 KB  
Article
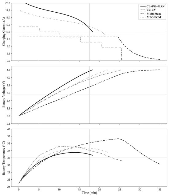
An Intelligent Control Framework for High-Power EV Fast Charging via Contrastive Learning and Manifold-Constrained Optimization
by Hao Tian, Tao Yan, Guangwu Dai, Min Wang and Xuejian Zhao
World Electr. Veh. J. 2025, 16(10), 562; https://doi.org/10.3390/wevj16100562 - 1 Oct 2025
Abstract
To address the complex trade-offs among charging efficiency, battery lifespan, energy efficiency, and safety in high-power electric vehicle (EV) fast charging, this paper presents an intelligent control framework based on contrastive learning and manifold-constrained multi-objective optimization. A multi-physics coupled electro-thermal-chemical model is formulated [...] Read more.
To address the complex trade-offs among charging efficiency, battery lifespan, energy efficiency, and safety in high-power electric vehicle (EV) fast charging, this paper presents an intelligent control framework based on contrastive learning and manifold-constrained multi-objective optimization. A multi-physics coupled electro-thermal-chemical model is formulated as a Mixed-Integer Nonlinear Programming (MINLP) problem, incorporating both continuous and discrete decision variables—such as charging power and cooling modes—into a unified optimization framework. An environment-adaptive optimization strategy is also developed. To enhance learning efficiency and policy safety, a contrastive learning–enhanced policy gradient (CLPG) algorithm is proposed to distinguish between high-quality and unsafe charging trajectories. A manifold-aware action generation network (MAN) is further introduced to enforce dynamic safety constraints under varying environmental and battery conditions. Simulation results demonstrate that the proposed framework reduces charging time to 18.3 min—47.7% faster than the conventional CC–CV method—while achieving 96.2% energy efficiency, 99.7% capacity retention, and zero safety violations. The framework also exhibits strong adaptability across wide temperature (−20 °C to 45 °C) and aging (SOH down to 70%) conditions, with real-time inference speed (6.76 ms) satisfying deployment requirements. This study provides a safe, efficient, and adaptive solution for intelligent high-power EV fast-charging. Full article
(This article belongs to the Section Charging Infrastructure and Grid Integration)
Show Figures

Figure 1

25 pages, 20183 KB  
Article
Dual Adaptive Neural Network for Solving Free-Flow Coupled Porous Media Models Under Unique Continuation Problem
by Kunhao Liu and Jibing Wu
Computation 2025, 13(10), 228; https://doi.org/10.3390/computation13100228 - 1 Oct 2025
Abstract
The core challenge of the Unique Continuity (UC) problem lies in inferring solutions across an entire domain using limited observational data, holding significant practical implications for multiphysics coupled models. Recently, physics-informed neural networks (PINNs) have shown considerable promise in addressing the UC problem. [...] Read more.
The core challenge of the Unique Continuity (UC) problem lies in inferring solutions across an entire domain using limited observational data, holding significant practical implications for multiphysics coupled models. Recently, physics-informed neural networks (PINNs) have shown considerable promise in addressing the UC problem. However, the reliance on a fixed activation function and a fixed weighted loss function prevents PINNs from adequately representing the multiphysics characteristics embedded in coupled models. To overcome these limitations, we propose a novel dual adaptive neural network (DANN) algorithm. This approach integrates trainable adaptive activation functions and an adaptively weighted loss scheme, enabling the network to dynamically balance the observational data and governing physics. Our method is applicable not only to the UC problem but also to general forward problems governed by partial differential equations. Furthermore, we provide a theoretical foundation for the algorithm by deriving a generalization error estimate, discussing the potential causes of neural networks solving this problem. Extensive numerical experiments including 3D demonstrate the superior accuracy and effectiveness of the proposed DANN framework in solving the UC problem compared to standard PINNs. Full article
(This article belongs to the Section Computational Engineering)
Show Figures

Figure 1

29 pages, 2052 KB  
Article
Comparison of Alternative Port-Hamiltonian Dynamics Extensions to the Thermodynamic Domain Toward IDA-PBC-Like Control: Application to a Heat Transfer Model
by Oleksiy Kuznyetsov
Dynamics 2025, 5(4), 42; https://doi.org/10.3390/dynamics5040042 - 1 Oct 2025
Abstract
The dynamics of port-Hamiltonian systems is based on energy balance principles (the first law of thermodynamics) embedded in the structure of the model. However, when dealing with thermodynamic subsystems, the second law (entropy production) should also be explicitly taken into account. Several frameworks [...] Read more.
The dynamics of port-Hamiltonian systems is based on energy balance principles (the first law of thermodynamics) embedded in the structure of the model. However, when dealing with thermodynamic subsystems, the second law (entropy production) should also be explicitly taken into account. Several frameworks were developed as extensions to the thermodynamic domain of port-Hamiltonian systems. In our work, we study three of them, namely irreversible port-Hamiltonian systems, entropy-based generalized Hamiltonian systems, and entropy-production-metric-based port-Hamiltonian systems, which represent alternative approaches of selecting the state variables, the storage function, simplicity of physical interpretation, etc. On the example of a simplified lumped-parameter model of a heat exchanger, we study the frameworks in terms of their implementability for an IDA-PBC-like control and the simplicity of using these frameworks for practitioners already familiar with the port-Hamiltonian systems. The comparative study demonstrated the possibility of using each of these approaches to derive IDA-PBC-like thermodynamically consistent control and provided insight into the applicability of each framework for the modeling and control of multiphysics systems with thermodynamic subsystems. Full article
Show Figures

Graphical abstract

18 pages, 3163 KB  
Article
A Multi-Stage Deep Learning Framework for Antenna Array Synthesis in Satellite IoT Networks
by Valliammai Arunachalam, Luke Rosen, Mojisola Rachel Akinsiku, Shuvashis Dey, Rahul Gomes and Dipankar Mitra
AI 2025, 6(10), 248; https://doi.org/10.3390/ai6100248 - 1 Oct 2025
Abstract
This paper presents an innovative end-to-end framework for conformal antenna array design and beam steering in Low Earth Orbit (LEO) satellite-based IoT communication systems. We propose a multi-stage learning architecture that integrates machine learning (ML) for antenna parameter prediction with reinforcement learning (RL) [...] Read more.
This paper presents an innovative end-to-end framework for conformal antenna array design and beam steering in Low Earth Orbit (LEO) satellite-based IoT communication systems. We propose a multi-stage learning architecture that integrates machine learning (ML) for antenna parameter prediction with reinforcement learning (RL) for adaptive beam steering. The ML module predicts optimal geometric and material parameters for conformal antenna arrays based on mission-specific performance requirements such as frequency, gain, coverage angle, and satellite constraints with an accuracy of 99%. These predictions are then passed to a Deep Q-Network (DQN)-based offline RL model, which learns beamforming strategies to maximize gain toward dynamic ground terminals, without requiring real-time interaction. To enable this, a synthetic dataset grounded in statistical principles and a static dataset is generated using CST Studio Suite and COMSOL Multiphysics simulations, capturing the electromagnetic behavior of various conformal geometries. The results from both the machine learning and reinforcement learning models show that the predicted antenna designs and beam steering angles closely align with simulation benchmarks. Our approach demonstrates the potential of combining data-driven ensemble models with offline reinforcement learning for scalable, efficient, and autonomous antenna synthesis in resource-constrained space environments. Full article
Show Figures

Figure 1

18 pages, 2718 KB  
Article
Metamodel-Based Digital Twin Architecture with ROS Integration for Heterogeneous Model Unification in Robot Shaping Processes
by Qingxin Li, Peng Zeng, Qiankun Wu and Hualiang Zhang
Machines 2025, 13(10), 898; https://doi.org/10.3390/machines13100898 - 1 Oct 2025
Abstract
Precision manufacturing requires handling multi-physics coupling during processing, where digital twin and AI technologies enable rapid robot programming under customized requirements. However, heterogeneous data sources, diverse domain models, and rapidly changing demands pose significant challenges to digital twin system integration. To overcome these [...] Read more.
Precision manufacturing requires handling multi-physics coupling during processing, where digital twin and AI technologies enable rapid robot programming under customized requirements. However, heterogeneous data sources, diverse domain models, and rapidly changing demands pose significant challenges to digital twin system integration. To overcome these limitations, this paper proposes a digital twin modeling strategy based on a metamodel and a virtual–real fusion architecture, which unifies models between the virtual and physical domains. Within this framework, subsystems achieve rapid integration through ontology-driven knowledge configuration, while ROS provides the execution environment for establishing robot manufacturing digital twin scenarios. A case study of a robot shaping system demonstrates that the proposed architecture effectively addresses heterogeneous data association, model interaction, and application customization, thereby enhancing the adaptability and intelligence of precision manufacturing processes. Full article
(This article belongs to the Section Advanced Manufacturing)
Show Figures

Figure 1

18 pages, 3872 KB  
Article
Predicting the Bandgap of Graphene Based on Machine Learning
by Qinze Yu, Lingtao Zhan, Xiongbai Cao, Tingting Wang, Haolong Fan, Zhenru Zhou, Huixia Yang, Teng Zhang, Quanzhen Zhang and Yeliang Wang
Physchem 2025, 5(4), 41; https://doi.org/10.3390/physchem5040041 - 1 Oct 2025
Abstract
Over the past decade, two-dimensional materials have become a research hotspot in chemistry, physics, materials science, and electrical and optical engineering due to their excellent properties. Graphene is one of the earliest discovered 2D materials. The absence of a bandgap in pure graphene [...] Read more.
Over the past decade, two-dimensional materials have become a research hotspot in chemistry, physics, materials science, and electrical and optical engineering due to their excellent properties. Graphene is one of the earliest discovered 2D materials. The absence of a bandgap in pure graphene limits its application in digital electronics where switching behavior is essential. In the present study, researchers have proposed a variety of methods for tuning the graphene bandgap. Machine learning methodologies have demonstrated the capability to enhance the efficiency of materials research by automating the recording of characteristic parameters from the discovery and preparation of 2D materials, property calculations, and simulations, as well as by facilitating the extraction and summarization of governing principles. In this work, we use first principle calculations to build a dataset of graphene band gaps under various conditions, including the application of a perpendicular external electric field, nitrogen doping, and hydrogen atom adsorption. Support Vector Machine (SVM), Random Forest (RF), and Multi-Layer Perceptron (MLP) Regression were utilized to successfully predict the graphene bandgap, and the accuracy of the models was verified using first principles. Finally, the advantages and limitations of the three models were compared. Full article
Show Figures

Figure 1

25 pages, 26694 KB  
Article
Research on Wind Field Correction Method Integrating Position Information and Proxy Divergence
by Jianhong Gan, Mengjia Zhang, Cen Gao, Peiyang Wei, Zhibin Li and Chunjiang Wu
Biomimetics 2025, 10(10), 651; https://doi.org/10.3390/biomimetics10100651 - 1 Oct 2025
Abstract
The accuracy of numerical model outputs strongly depends on the quality of the initial wind field, yet ground observation data are typically sparse and provide incomplete spatial coverage. More importantly, many current mainstream correction models rely on reanalysis grid datasets like ERA5 as [...] Read more.
The accuracy of numerical model outputs strongly depends on the quality of the initial wind field, yet ground observation data are typically sparse and provide incomplete spatial coverage. More importantly, many current mainstream correction models rely on reanalysis grid datasets like ERA5 as the true value, which relies on interpolation calculation, which directly affects the accuracy of the correction results. To address these issues, we propose a new deep learning model, PPWNet. The model directly uses sparse and discretely distributed observation data as the true value, which integrates observation point positions and a physical consistency term to achieve a high-precision corrected wind field. The model design is inspired by biological intelligence. First, observation point positions are encoded as input and observation values are included in the loss function. Second, a parallel dual-branch DenseInception network is employed to extract multi-scale grid features, simulating the hierarchical processing of the biological visual system. Meanwhile, PPWNet references the PointNet architecture and introduces an attention mechanism to efficiently extract features from sparse and irregular observation positions. This mechanism reflects the selective focus of cognitive functions. Furthermore, this paper incorporates physical knowledge into the model optimization process by adding a learned physical consistency term to the loss function, ensuring that the corrected results not only approximate the observations but also adhere to physical laws. Finally, hyperparameters are automatically tuned using the Bayesian TPE algorithm. Experiments demonstrate that PPWNet outperforms both traditional and existing deep learning methods. It reduces the MAE by 38.65% and the RMSE by 28.93%. The corrected wind field shows better agreement with observations in both wind speed and direction, confirming the effectiveness of incorporating position information and a physics-informed approach into deep learning-based wind field correction. Full article
(This article belongs to the Special Issue Nature-Inspired Metaheuristic Optimization Algorithms 2025)
Show Figures

Figure 1

20 pages, 1951 KB  
Article
Virtual Prototyping of the Human–Robot Ecosystem for Multiphysics Simulation of Upper Limb Motion Assistance
by Rocco Adduci, Francesca Alvaro, Michele Perrelli and Domenico Mundo
Machines 2025, 13(10), 895; https://doi.org/10.3390/machines13100895 - 1 Oct 2025
Abstract
As stroke is becoming more frequent nowadays, cutting edge rehabilitation approaches are required to recover upper limb functionalities and to support patients during daily activities. Recently, focus has moved to robotic rehabilitation; however, therapeutic devices are still highly expensive, making rehabilitation not easily [...] Read more.
As stroke is becoming more frequent nowadays, cutting edge rehabilitation approaches are required to recover upper limb functionalities and to support patients during daily activities. Recently, focus has moved to robotic rehabilitation; however, therapeutic devices are still highly expensive, making rehabilitation not easily affordable. Moreover, devices are not easily accepted by patients, who can refuse to use them due to not feeling comfortable. The presented work proposes the exploitation of a virtual prototype of the human–robot ecosystem for the study and analysis of patient–robot interactions, enabling their simulation-based investigation in multiple scenarios. For the accomplishment of this task, the Dynamics of Multi-physical Systems platform, previously presented by the authors, is further developed to enable the integration of biomechanical models of the human body with mechatronics models of robotic devices for motion assistance, as well as with PID-based control strategies. The work begins with (1) a description of the background; hence, the current state of the art and purpose of the study; (2) the platform is then presented and the system is formalized, first from a general side and then (3) in the application-specific scenario. (4) The use case is described, presenting a controlled gym weightlifting exercise supported by an exoskeleton and the results are analyzed in a final paragraph (5). Full article
Show Figures

Figure 1

12 pages, 446 KB  
Article
A PEI Simulation Method for Process Manufacturing
by Xiaobin Tang, Meng Yan, Wenfeng Xu, Gaoping Xu and Yize Sun
Processes 2025, 13(10), 3148; https://doi.org/10.3390/pr13103148 - 30 Sep 2025
Abstract
In response to the growing complexity of modern process manufacturing systems, this paper proposes a novel simulation framework named the Process–Equipment–In-Process State (PEI) simulation method, which introduces a unified and structured approach to modeling multi-stage industrial processes. Unlike conventional simulation approaches that rely [...] Read more.
In response to the growing complexity of modern process manufacturing systems, this paper proposes a novel simulation framework named the Process–Equipment–In-Process State (PEI) simulation method, which introduces a unified and structured approach to modeling multi-stage industrial processes. Unlike conventional simulation approaches that rely on ad hoc or loosely organized modules, the PEI method decomposes the simulation system into three core and interoperable modules: Process Structure (P), Equipment Behavior (E), and In-Process State (I). This modular abstraction facilitates the decoupling of model logic. It also enables a structure-driven simulation execution mechanism. In this structure, the process topology governs task scheduling; equipment models translate control inputs into physical conditions; and state models simulate material evolution accordingly. A complete simulation case involving water mixing, heat exchange, and slurry transformation demonstrates the method’s capability to support traceable state evolution, logical task flow, and extensible model binding. The results demonstrate that the proposed method enables module decoupling, clear simulation pathways, and traceable state changes, providing effective support for structured modeling and behavioral evolution analysis in process manufacturing. Full article
(This article belongs to the Section Process Control and Monitoring)
17 pages, 2721 KB  
Article
Physics-Guided Neural Surrogate Model with Particle Swarm- Based Multi-Objective Optimization for Quasi-Coaxial TSV Interconnect Design
by Zheng Liu, Guangbao Shan, Zeyu Chen and Yintang Yang
Micromachines 2025, 16(10), 1134; https://doi.org/10.3390/mi16101134 - 30 Sep 2025
Abstract
In reconfigurable radio frequency (RF) microsystems, the interconnect structure critically affects high-frequency signal integrity, and the accuracy of electromagnetic (EM) modeling directly determines the overall system performance. Conventional neural network-based surrogate models mainly focus on minimizing numerical errors, while neglecting essential physical constraints, [...] Read more.
In reconfigurable radio frequency (RF) microsystems, the interconnect structure critically affects high-frequency signal integrity, and the accuracy of electromagnetic (EM) modeling directly determines the overall system performance. Conventional neural network-based surrogate models mainly focus on minimizing numerical errors, while neglecting essential physical constraints, such as causality and passivity, thereby limiting their applicability in both time and frequency domains. This paper proposes a physics-constrained Neuro-Transfer surrogate model with a broadband output architecture to directly predict S-parameters over the 1–50 GHz range. Causality and passivity are enforced through dedicated regularization terms during training. Furthermore, a particle swarm optimization (PSO)-based multi-objective intelligent optimization framework is developed, incorporating fixed-weight normalization and a linearly decreasing inertia weight strategy to simultaneously optimize the S11, S21, and S22 performance of a quasi-coaxial TSV composite structure. Target values are set to −25 dB, −0.54 dB, and −24 dB, respectively. The optimized structural parameters yield prediction-to-simulation deviations below 1 dB, with an average prediction error of 2.11% on the test set. Full article
30 pages, 15743 KB  
Article
Fusing Historical Records and Physics-Informed Priors for Urban Waterlogging Susceptibility Assessment: A Framework Integrating Machine Learning, Fuzzy Evaluation, and Decision Analysis
by Guangyao Chen, Wenxin Guan, Jiaming Xu, Chan Ghee Koh and Zhao Xu
Appl. Sci. 2025, 15(19), 10604; https://doi.org/10.3390/app151910604 - 30 Sep 2025
Abstract
Urban Waterlogging Susceptibility Assessment (UWSA) is vital for resilient urban planning and disaster preparedness. Conventional methods depend heavily on Historical Waterlogging Records (HWR), which are limited by their reliance on extreme rainfall events and prone to human omissions, resulting in spatial bias and [...] Read more.
Urban Waterlogging Susceptibility Assessment (UWSA) is vital for resilient urban planning and disaster preparedness. Conventional methods depend heavily on Historical Waterlogging Records (HWR), which are limited by their reliance on extreme rainfall events and prone to human omissions, resulting in spatial bias and incomplete coverage. While hydrodynamic models can simulate waterlogging scenarios, their large-scale application is restricted by the lack of accessible underground drainage data. Recently released flood control plans and risk maps provide valuable physics-informed priors (PI-Priors) that can supplement HWR for susceptibility modeling. This study introduces a dual-source integration framework that fuses HWR with PI-Priors to improve UWSA performance. PI-Priors rasters were vectorized to delineate two-dimensional waterlogging zones, and based on the Three-Way Decision (TWD) theory, a Multi-dimensional Connection Cloud Model (MCCM) with CRITIC-TOPSIS was employed to build an index system incorporating membership degree, credibility, and impact scores. High-quality samples were extracted and combined with HWR to create an enhanced dataset. A Maximum Entropy (MaxEnt) model was then applied with 20 variables spanning natural conditions, social capital, infrastructure, and built environment. The results demonstrate that this framework increases sample adequacy, reduces spatial bias, and substantially improves the accuracy and generalizability of UWSA under extreme rainfall. Full article
(This article belongs to the Topic Resilient Civil Infrastructure, 2nd Edition)
17 pages, 23202 KB  
Article
A Port-Hamiltonian Perspective on Dual Active Bridge Converters: Modeling, Analysis, and Experimental Validation
by Yaoqiang Wang, Zhaolong Sun, Peiyuan Li, Jian Ai, Chan Wu, Zhan Shen and Fujin Deng
Energies 2025, 18(19), 5197; https://doi.org/10.3390/en18195197 - 30 Sep 2025
Abstract
The operational stability and performance of dual active bridge (DAB) converters are dictated by an intricate coupling of electrical, magnetic, and thermal dynamics. Conventional modeling paradigms fail to capture these interactions, creating a critical gap between design predictions and real performance. A unified [...] Read more.
The operational stability and performance of dual active bridge (DAB) converters are dictated by an intricate coupling of electrical, magnetic, and thermal dynamics. Conventional modeling paradigms fail to capture these interactions, creating a critical gap between design predictions and real performance. A unified Port-Hamiltonian model (PHM) is developed, embedding nonlinear, temperature-dependent material physics within a single, energy-conserving structure. Derived from first principles and experimentally validated, the model reproduces high-frequency dynamics, including saturation-driven current spikes, with superior fidelity. The energy-based structure systematically exposes the converter’s stability boundaries, revealing not only thermal runaway limits but also previously obscured electro-thermal oscillatory modes. The resulting framework provides a rigorous foundation for the predictive co-design of magnetics, thermal management, and control, enabling guaranteed stability and optimized performance across the full operational envelope. Full article
(This article belongs to the Section A1: Smart Grids and Microgrids)
Show Figures

Figure 1

19 pages, 6040 KB  
Article
Impact of Ion Crossover on Mass Transfer Polarization Regulation in High-Power Vanadium Flow Batteries
by Jianbin Li, Zhengxiang Song and Zihan Li
Energies 2025, 18(19), 5192; https://doi.org/10.3390/en18195192 - 30 Sep 2025
Abstract
In order to solve the problems of mass transfer polarization spatiotemporal distribution variations, uncontrollable regulation error, and accelerated capacity decay caused by ion crossover in high-power vanadium liquid flow batteries (VFBs), a three-dimensional battery model with a flow-type flow field based on the [...] Read more.
In order to solve the problems of mass transfer polarization spatiotemporal distribution variations, uncontrollable regulation error, and accelerated capacity decay caused by ion crossover in high-power vanadium liquid flow batteries (VFBs), a three-dimensional battery model with a flow-type flow field based on the three-dimensional transient COMSOL Multiphysics® 6.1 numerical modeling method was developed in this study. The model combines the ion transmembrane migration equation with the mass transfer polarization theory, constructs an objective function to quantify the regulation error, and is validated by multifluid-field structural simulations. The results indicate the following: (1) Ion crossover induces a 3–5% electrolyte concentration deviation and a current density distribution bias reaching 11%; (2) The intensity of mass transfer polarization exhibits a linear increase with the flow rate difference between the positive and negative electrodes; (3) Ion crossover significantly degrades system performance, causing Coulombic efficiency (CE) and Energy efficiency (EE) to decrease by 1.1% and 1.5%, respectively. This research demonstrates that unlike conventional flow field optimization, our strategy quantifies the regulation error by directly compensating for the ΔQ caused by ion crossing, and further regulation minimizes the effect, providing a theoretical basis for mass transfer intensification and capacity recovery in flow batteries. Full article
Show Figures

Figure 1

24 pages, 4577 KB  
Article
Analysis of Electro-Thermal De-Icing on a NACA0012 Airfoil Under Harsh SLD Conditions and Different Angles of Attack
by Sobhan Ghorbani Nohooji and Moussa Tembely
Aerospace 2025, 12(10), 883; https://doi.org/10.3390/aerospace12100883 - 29 Sep 2025
Abstract
Ice accretion (icing) on aircraft surfaces is a significant safety risk through airfoil shape modification and reduction in aerodynamic efficiency. This process occurs when an aircraft flies through clouds of supercooled water droplets that freeze upon impact on exposed surfaces. To counter this [...] Read more.
Ice accretion (icing) on aircraft surfaces is a significant safety risk through airfoil shape modification and reduction in aerodynamic efficiency. This process occurs when an aircraft flies through clouds of supercooled water droplets that freeze upon impact on exposed surfaces. To counter this hazard, electro-thermal de-icing systems integrate heaters in critical regions to melt ice and reduce performance losses. In this study, a multiphysics computational model is used to simulate ice accretion and electro-thermal de-icing on a NACA-0012 airfoil, accounting for factors such as airflow, droplet impingement, phase changes, and heat conduction. The model’s predictions are validated against experimental data, confirming its accuracy. A cyclic electro-thermal ice protection system (ETIPS) is then tested under both standard and severe supercooled large droplet (SLD) conditions, examining how droplet size and angle of attack affect de-icing performance. Simulations without an active de-icing system show severe aerodynamic degradation, including an 11.1% loss of lift and a 48.2% increase in drag at a 12 angle of attack. For large droplets (median 200 μm), the drag coefficient increases by 36.5%. Under harsh icing conditions, the effectiveness of the de-icing system is found to depend on droplet size, angle of attack, and heater placement. Even with continuous heater operation, ice continues to accumulate on the leading edge at higher angles of attack. While the ETIPS performs effectively against large droplets in heated zones, unheated regions experience significant ice buildup (especially with 200 μm droplets). This indicates that additional or extended heaters may be necessary to ensure complete protection in extreme conditions. Full article
(This article belongs to the Section Aeronautics)
Show Figures

Figure 1

27 pages, 7020 KB  
Article
RPC Correction Coefficient Extrapolation for KOMPSAT-3A Imagery in Inaccessible Regions
by Namhoon Kim
Remote Sens. 2025, 17(19), 3332; https://doi.org/10.3390/rs17193332 - 29 Sep 2025
Abstract
High-resolution pushbroom satellites routinely acquire multi-tenskilometer-scale strips whose vendors’ rational polynomial coefficients (RPCs) exhibit systematic, direction-dependent biases that accumulate downstream when ground control is sparse. This study presents a physically interpretable stripwise extrapolation framework that predicts along- and across-track RPC correlation coefficients for [...] Read more.
High-resolution pushbroom satellites routinely acquire multi-tenskilometer-scale strips whose vendors’ rational polynomial coefficients (RPCs) exhibit systematic, direction-dependent biases that accumulate downstream when ground control is sparse. This study presents a physically interpretable stripwise extrapolation framework that predicts along- and across-track RPC correlation coefficients for inaccessible segments from an upstream calibration subset. Terrain-independent RPCs were regenerated and residual image-space errors were modeled with weighted least squares using elapsed time, off-nadir evolution, and morphometric descriptors of the target terrain. Gaussian kernel weights favor calibration scenes with a Jarque–Bera-indexed relief similar to the target. When applied to three KOMPSAT-3A panchromatic strips, the approach preserves native scene geometry while transporting calibrated coefficients downstream, reducing positional errors in two strips to <2.8 pixels (~2.0 m at 0.710 m Ground Sample Distance, GSD). The first strip with a stronger attitude drift retains 4.589 pixel along-track errors, indicating the need for wider predictor coverage under aggressive maneuvers. The results clarify the directional error structure with a near-constant across-track bias and low-frequency along-track drift and show that a compact predictor set can stabilize extrapolation without full-block adjustment or dense tie networks. This provides a GCP-efficient alternative to full-block adjustment and enables accurate georeferencing in controlled environments. Full article
Show Figures

Figure 1

Back to TopTop