Sign in to use this feature.

Years

Between: -

Subjects

remove_circle_outline
remove_circle_outline
remove_circle_outline
remove_circle_outline
remove_circle_outline

Journals

Article Types

Countries / Regions

Search Results (28)

Search Parameters:
Keywords = multi-bolted joint

Order results
Result details
Results per page
Select all
Export citation of selected articles as:
20 pages, 5875 KB  
Article
Optimizing Rock Bolt Support for Large Underground Structures Using 3D DFN-DEM Method
by Nooshin Senemarian Isfahani, Amin Azhari, Hem B. Motra, Hamid Hashemalhoseini, Mohammadreza Hajian Hosseinabadi, Alireza Baghbanan and Mohsen Bazargan
Geosciences 2025, 15(8), 293; https://doi.org/10.3390/geosciences15080293 - 2 Aug 2025
Viewed by 1132
Abstract
A systematic sensitivity analysis using three-dimensional discrete element models with discrete fracture networks (DEM-DFN) was conducted to evaluate underground excavation support in jointed rock masses at the CLAB2 site in Southeastern Sweden. The site features a joint network comprising six distinct joint sets, [...] Read more.
A systematic sensitivity analysis using three-dimensional discrete element models with discrete fracture networks (DEM-DFN) was conducted to evaluate underground excavation support in jointed rock masses at the CLAB2 site in Southeastern Sweden. The site features a joint network comprising six distinct joint sets, each with unique geometrical properties. The study examined 10 DFNs and 19 rock bolt patterns, both conventional and unconventional. It covered 200 scenarios, including 10 unsupported and 190 supported cases. Technical and economic criteria for stability were assessed for each support system. The results indicated that increasing rock bolt length enhances stability up to a certain point. However, multi-length rock bolt patterns with similar consumption can yield significantly different stability outcomes. Notably, the arrangement and properties of rock bolts are crucial for stability, particularly in blocks between bolting sections. These blocks remain interlocked in unsupported areas due to the induced pressure from supported sections. Although equal-length rock bolt patterns are commonly used, the analysis revealed that triple-length rock bolts (3, 6, and 9 m) provided the most effective support across all ten DFN scenarios. Full article
(This article belongs to the Special Issue Computational Geodynamic, Geotechnics and Geomechanics)
Show Figures

Figure 1

19 pages, 6291 KB  
Article
Quantitative Assessment of Bolt Looseness in Beam–Column Joints Using SH-Typed Guided Waves and Deep Neural Network
by Ru Zhang, Xiaodong Sui, Yuanfeng Duan, Yaozhi Luo, Yi Fang and Rui Miao
Appl. Sci. 2025, 15(12), 6425; https://doi.org/10.3390/app15126425 - 7 Jun 2025
Viewed by 736
Abstract
Bolt connections are the primary component of beam–column joints, which frequently become loose during their service life due to environmental factors. Assessing the tightness of bolts is essential for maintaining structural integrity and safety. Although the guided wave method has been proven effective [...] Read more.
Bolt connections are the primary component of beam–column joints, which frequently become loose during their service life due to environmental factors. Assessing the tightness of bolts is essential for maintaining structural integrity and safety. Although the guided wave method has been proven effective for detecting bolt looseness, the severe dispersion properties and complex structure of beam–column joints pose difficulties for the quantitative evaluation of bolt looseness. Therefore, a deep neural network model integrating a convolutional neural network (CNN), long short-term memory (LSTM), and multi-head self-attention mechanism (MHSA) is introduced to identify the degree of looseness in multiple bolts using SH-typed guided waves. The dispersion properties of the I-shaped steel beam were analyzed using the semi-analytical finite element method, and a mode weight coefficient was presented to clarify the mode distribution under different types of external loads. Two pairs of transducers arranged on the same side of the bolt-connected region were utilized to obtain the directly incoming and end-reflected wave packets from four wave propagation paths. The received signals were converted into time–frequency spectra, and the effective components were extracted to form the input pattern for the neural network. Numerical simulations were performed on a beam–column joint with eight bolts, and the number of training samples was increased using data augmentation techniques. The results indicate that the CNN-LSTM-MHSA model can accurately estimate the bolt looseness conditions better than other methods. Noise injection testing was also conducted to investigate the effect of measurement noise. Full article
Show Figures

Figure 1

22 pages, 15055 KB  
Article
Tension Strength of Multi-Fastener, Single-Lap Joints in Flax and Jute Composite Plates Using Bolts or Rivets
by Mike R. Bambach
Materials 2025, 18(10), 2180; https://doi.org/10.3390/ma18102180 - 8 May 2025
Cited by 2 | Viewed by 668
Abstract
The behavior of joints and fasteners in fiber-epoxy composites has been researched for several decades, and many studies have demonstrated their performance in tension testing. These studies have focused nearly exclusively on synthetic fibers, such as carbon and glass. Meanwhile, natural fiber–epoxy composites [...] Read more.
The behavior of joints and fasteners in fiber-epoxy composites has been researched for several decades, and many studies have demonstrated their performance in tension testing. These studies have focused nearly exclusively on synthetic fibers, such as carbon and glass. Meanwhile, natural fiber–epoxy composites have recently received considerable attention as load-bearing members, including as columns and beams. In order for individual members to be used to create structural systems, the behavior of mechanically fastened joints in natural fiber–epoxy composites needs to be thoroughly investigated. This paper presents an experimental program of 120 single-lap joints in flax–epoxy and jute–epoxy composites. Between one and three mechanical fasteners were used in the joints, and both bolts and rivets were investigated. A variety of geometric variables were investigated, relevant to joints between load-bearing members. The results are used to demonstrate the optimum strength of multi-fastener joints in natural fiber composite structural systems. It is shown that maximum joint efficiency is achieved with larger fastener-diameter-to-width ratios, three fasteners (located along the line of action of the force), and edge-distance-to-fastener-diameter ratios greater than 2.5. Full article
Show Figures

Figure 1

31 pages, 20934 KB  
Article
The Design and Research of the Bolt Loosening Monitoring System in Combine Harvesters Based on Wheatstone Bridge Circuit Sensor
by Yi Lian, Bangzhui Wang, Meiyan Sun, Kexin Que, Sijia Xu, Zhong Tang and Zhilong Huang
Agriculture 2025, 15(7), 704; https://doi.org/10.3390/agriculture15070704 - 26 Mar 2025
Viewed by 831
Abstract
The combine harvester, as a multi-component machine comprising a cutting table, a conveyor, a threshing cylinder, and other components, experiences significant stress and bolt failures in cutting table-conveyor structures due to inherent excitation and the cutting table’s cantilevered design. To address bolt loosening [...] Read more.
The combine harvester, as a multi-component machine comprising a cutting table, a conveyor, a threshing cylinder, and other components, experiences significant stress and bolt failures in cutting table-conveyor structures due to inherent excitation and the cutting table’s cantilevered design. To address bolt loosening monitoring in the critical joint, this paper designed a Wheatstone bridge circuit-based wireless monitoring system and a multi-channel Wheatstone bridge sensor, enabling multi-bolt monitoring on combine harvesters. Utilizing LoRa wireless communication, the system effectively overcomes the wiring complexity and deployment difficulties of traditional agricultural machinery bolt monitoring systems. The Wheatstone bridge sensor can precisely monitor pre-tightening forces up to 150 kN for M12–M24 bolts. A calibration test based on dynamic time warping (DTW) accurately fitted the sensor’s response to pressure and displacement with determination coefficients of 0.9780 and 0.9753. Then, a validation test focusing on connection bolts revealed a 95.12% overlap between the simulated measurement range and the calibration range under pre-tightening conditions. Furthermore, fitting curves for simulated measurements against tightening torque and angle yielded coefficients of determination of 0.9945 and 0.9939, which demonstrated accurate fitting of pre-tightening conditions and defined the monitoring range of 3.02 × 1012 to 3.49 × 1012. Finally, combined with simulation results, a field performance test confirmed the sensor’s ability to detect minute 5% pre-load reductions, achieve 200 ms data transmission to a host computer, and maintain lossless data transmission over 1.2 km. This sensor and system design provided a valuable reference for bolt loosening monitoring in combine harvesters and other agricultural machinery. Full article
(This article belongs to the Section Agricultural Technology)
Show Figures

Figure 1

14 pages, 11397 KB  
Article
A New Single-Step Bolt Tightening Method for Multi-Bolt Flange Structures
by Jiacheng Zhong, Jianwen Bao, Junyi Wang, Zhigang Xu, Mingyi Yang and Yanjie Shi
Buildings 2025, 15(1), 2; https://doi.org/10.3390/buildings15010002 - 24 Dec 2024
Cited by 1 | Viewed by 1333
Abstract
Single-step tightening is simple and fast compared to multi-step tightening, and it is therefore frequently used during the tightening of bolts in flange structures. However, single-step tightening to maintain uniformity is more difficult to achieve. To address this problem, existing methods such as [...] Read more.
Single-step tightening is simple and fast compared to multi-step tightening, and it is therefore frequently used during the tightening of bolts in flange structures. However, single-step tightening to maintain uniformity is more difficult to achieve. To address this problem, existing methods such as the Elastic Interaction Coefficient Method (EICM) and Tetraparametric Assembly Method (TAM) have been investigated for load uniformity in single-step tightening. In order to improve the computational efficiency and accuracy of the traditional methods, a new single-step tightening method is proposed in this paper. This method can realize the design of the initial preload force simply by measuring the change in bolt load in a specific sequence. It is verified by numerical simulation that this method can realize the uniform distribution of bolt load. In addition, this paper will provide suggestions for the optimal tightening sequence for the single-step tightening method. Full article
(This article belongs to the Special Issue Advanced Studies on Steel Structures)
Show Figures

Figure 1

18 pages, 6447 KB  
Article
Corrosion Monitoring in Automotive Lap Joints Based on Imaging Methods of Lamb Waves
by Yunmeng Ran, Cheng Qian, Xiangfen Wang, Weifang Zhang and Rongqiao Wang
Sensors 2024, 24(24), 8092; https://doi.org/10.3390/s24248092 - 18 Dec 2024
Viewed by 1546
Abstract
Corrosion damage presents significant challenges to the safety and reliability of connected vehicles. However, traditional non-destructive methods often fall short when applied to complex automotive structures, such as bolted lap joints. To address this limitation, this study introduces a novel corrosion monitoring approach [...] Read more.
Corrosion damage presents significant challenges to the safety and reliability of connected vehicles. However, traditional non-destructive methods often fall short when applied to complex automotive structures, such as bolted lap joints. To address this limitation, this study introduces a novel corrosion monitoring approach using Lamb wave-based weighted fusion imaging methods. First, the Minimum Variance Distortionless Response (MVDR) is utilized to process Lamb wave signals collected under bolt-loosening and bolt-tightening conditions to image the bolt locations. Second, based on the identified bolt positions, the weighted Reconstruction Algorithm for Probabilistic Inspection of Damage (RAPID) is applied to the Lamb wave signals acquired before and after corrosion, enabling precise imaging of the actual positions of the corroded bolts. Experiments are conducted on three-bolt lap joints in cases of single-corrosion and two-corrosion using A0 mode Lamb waves and piezoelectric sensor networks. The results demonstrate that the proposed method effectively images multiple types of damage and achieves maximum location deviations of 7.43 mm. This approach enables precise and visual multi-damage assessment, particularly in hard-to-access regions. When integrated with V2X-enabled (Vehicle-to-Everything) systems, the method offers potential for incorporation into automotive structural health monitoring systems for remote diagnosis in complex structures, thereby enhancing monitoring efficiency and accuracy. Full article
(This article belongs to the Section Sensor Networks)
Show Figures

Figure 1

14 pages, 7359 KB  
Article
An Efficient Strength Evaluation Method Based on Shell-Fastener Model for Large Hybrid Joint Structures of C/SiC Composites
by Maoqing Fu, Jiapeng Chen, Ben Wang and Biao Wang
Materials 2024, 17(23), 6008; https://doi.org/10.3390/ma17236008 - 8 Dec 2024
Viewed by 1210
Abstract
C/SiC composites are widely used in aerospace thermal structures. Due to the high manufacturing complexity and cost of C/SiC composites, numerous hybrid joints are required to replace large and complex components. The intricate contact behavior within these hybrid joints reduces the computational efficiency [...] Read more.
C/SiC composites are widely used in aerospace thermal structures. Due to the high manufacturing complexity and cost of C/SiC composites, numerous hybrid joints are required to replace large and complex components. The intricate contact behavior within these hybrid joints reduces the computational efficiency of damage analysis methods based on solid models, limiting their effectiveness in large-scale structural design. According to the structure characteristic, a fractal contact stiffness model considering bonded behaviors is established in this paper. By introducing this model, it is proved that the bonded layer can affect the interface strength between plates but not the bearing strength of the specimen for the bolt/bonded hybrid joint structure. Furthermore, by introducing the strength envelope method, this paper overcomes the problem wherein the shell-fastener model cannot accurately describe the complex stress field. Validation through experimental comparison confirms that this approach can accurately predict both the failure mode and strength of multi-row hybrid joint structures in C/SiC composites at a detailed level with an error of 5.4%, including the shear failure of bolts. This method offers a robust foundation for the design of large-scale C/SiC composite structures. Full article
Show Figures

Figure 1

33 pages, 9249 KB  
Article
A Closure Contact Model of Self-Affine Rough Surfaces Considering Small-, Meso-, and Large-Scale Stage Without Adhesive
by Tao Zhang, Yiming Wu, Xian Liu and Kai Jiang
Fractal Fract. 2024, 8(10), 611; https://doi.org/10.3390/fractalfract8100611 - 18 Oct 2024
Cited by 2 | Viewed by 1421
Abstract
Contact interface is essential for the dynamic response of the bolted structures. To accurately predict the dynamic characteristics of bolted joint structures, a fractal extension of the segmented scale model, i.e., the JK model, is proposed in this paper to comprehensively analyze the [...] Read more.
Contact interface is essential for the dynamic response of the bolted structures. To accurately predict the dynamic characteristics of bolted joint structures, a fractal extension of the segmented scale model, i.e., the JK model, is proposed in this paper to comprehensively analyze the dynamic contact performance of engineering surfaces and revisit the multi-scale model based on the concept of asperities. The influence of asperity geometry, dimensionless material properties, and the elastic, elastoplastic, and full plastic mechanical models of a single asperity is established considering the asperity–substrate interaction. Then, a segmented scale contact model of rough surfaces is proposed based on the island distribution function in a strict sense. The mechanical contact process of determining rough surfaces is divided into small-scale, medium-scale, and large-scale stages. Moreover, cross-scale boundary conditions, i.e., al1′, al2′, and al3′, are provided through strict mathematical deduction. The results show that the real contact area and contact stiffness are positively correlated with fractal dimension and negatively correlated with fractal roughness. On a small scale, the contact damping decreases with an increase in load. In meso-scale and large-scale stages, the contact damping increases with the load. Finally, the reliability of the proposed model is verified by setting up three groups of modal vibration experiments. Full article
Show Figures

Figure 1

21 pages, 22246 KB  
Article
Thermal and Mechanical Stress Analysis in Aircraft Hybrid Panels with Multi-Bolt Joints
by Junhua Zhang, Jie Zheng, Jianjiang Zeng, Guang Yang and Mingbo Tong
Materials 2024, 17(8), 1872; https://doi.org/10.3390/ma17081872 - 18 Apr 2024
Cited by 3 | Viewed by 2449
Abstract
This study investigates the thermal stress and bolt load distribution in a hybrid panel structure of an aircraft mechanical joint under extreme temperatures. The hybrid panel structure comprises two aluminum alloy splices, six T-shaped composite stringers, and two composite skins, secured together with [...] Read more.
This study investigates the thermal stress and bolt load distribution in a hybrid panel structure of an aircraft mechanical joint under extreme temperatures. The hybrid panel structure comprises two aluminum alloy splices, six T-shaped composite stringers, and two composite skins, secured together with 96 bolts. This study analyzed the strain induced by thermal stress on composite materials and metals within the structure across temperatures, employing temperature environment tests ranging from room temperature to −54 °C, alongside a carrying capacity test at −54 °C. Furthermore, a three-dimensional simulation model of the panel structure was developed, incorporating considerations for contact, metal elastoplasticity, and the progressive damage failure of composite materials. This model facilitated the determination of thermal stress and bolt load distribution patterns. The results indicate a strong consistency between the finite element analysis outcomes and the experimental data. Temperature variations exacerbate the uneven distribution of bolt loads, concentrating the load near the edges of the hybrid structure while diminishing it in the center. The bolt load distribution parallel to the mechanical load direction forms an “M” shape, with a maximum load magnitude of approximately 31 kN. Perpendicular to the mechanical load, the bolt load undergoes significant changes, especially at the edges, reaching a maximum of about 20 kN, which warrants attention. The bolt-load distribution of the structure with the increase in mechanical load at −54 °C tends to be consistent with that at room temperature. Full article
Show Figures

Figure 1

29 pages, 13988 KB  
Article
A Road Map to the Structural Optimization of a Type-C Composite UAV
by Christoforos S. Rekatsinas, Dimitris K. Dimitriou and Nikolaos A. Chrysochoidis
Aerospace 2024, 11(3), 211; https://doi.org/10.3390/aerospace11030211 - 8 Mar 2024
Cited by 5 | Viewed by 4089
Abstract
The present paper investigates the design process and the dimensioning of a tailless type-C composite sandwich unmanned aerial vehicle (UAV). The objective is to investigate an innovative aircraft configuration which exceeds the standard approach of ribs and spars and replaces them with a [...] Read more.
The present paper investigates the design process and the dimensioning of a tailless type-C composite sandwich unmanned aerial vehicle (UAV). The objective is to investigate an innovative aircraft configuration which exceeds the standard approach of ribs and spars and replaces them with a sandwich structure for future unmanned aerial systems. The necessity of carbon fiber-reinforced materials arose due to the weight constraint of a Class C UAV, i.e., the whole vehicle must be under 25 kg, which limits the mass of the structure to 9 kg. The structural design of composite structures differs from the one of traditional isotropic structures. The number of holes should be limited, as drilling down the composite aerostructure would conclude to the generation of delaminations. In addition, the joints between sections with different thicknesses could lead to stress concentrations and disbands. Therefore, the present report is crucial for the continuance of the present project as it has contributed both to the structural design and assessment of the UAV. This work focusses on the computation of loads, the process of structural sizing through a multi-disciplinary optimization approach, and the simulation-based structural proof. Particular attention is paid to the specifically developed semi-analytical method for predicting the aero-elastic load. Based on the detailed finite element model of the global structure, the applicability of the minimum number of bolts as a major structural joining variant is proven. The design process from single components to the assembly of the overall aircraft results in the realization of the demonstrator structure. Full article
Show Figures

Figure 1

24 pages, 87228 KB  
Article
Possible Geometries for Precast Concrete Structures, through Discussing New Connections, Robotic Manufacturing and Re-Utilisation of the Concrete Elements
by Abtin Baghdadi, Lukas Ledderose and Harald Kloft
Buildings 2024, 14(1), 302; https://doi.org/10.3390/buildings14010302 - 22 Jan 2024
Cited by 5 | Viewed by 2726
Abstract
This study explores the potential use of new connections to shape precast building geometries, focusing on connection performance, robotic fabrication, and foldable structural elements. Three connection types, including coupled-bolts, hinges, and steel tubes, were initially proposed and assessed in beam and portal frame [...] Read more.
This study explores the potential use of new connections to shape precast building geometries, focusing on connection performance, robotic fabrication, and foldable structural elements. Three connection types, including coupled-bolts, hinges, and steel tubes, were initially proposed and assessed in beam and portal frame geometries. In contrast, the study introduces conceptual ideas; initial experimental and numerical studies were conducted to estimate connection capacities. Robotic fabrication for connecting elements to reused concrete and converting floor elements into beams was detailed, showcasing robotic technology’s performance and potential. These connections were employed in designing new precast element geometries, ranging from simple beams to multi-story buildings. Geometric properties and volume quantities of folded and opened geometries were studied using 37 CAD models. To properly discuss the joint performance reference, monolithic elements with exact dimensions were created for comparison. Despite varied connection capacity (38% to 100%), the steel tube exhibited the most desirable performance, resembling a monolithic element with an exact size. Some proposed foldable geometries showed a significant reduction (up to 7%) in element dimensions to facilitate transport and construction. Full article
(This article belongs to the Section Building Materials, and Repair & Renovation)
Show Figures

Figure 1

25 pages, 14221 KB  
Article
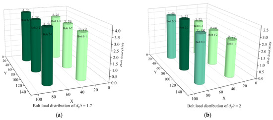
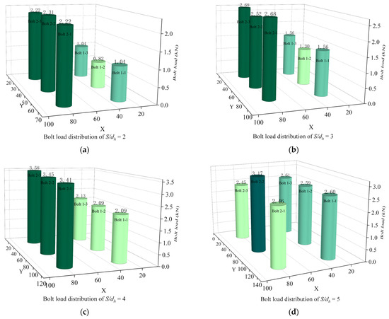
Influence of Design Parameters on Mechanical Behavior of Multi-Bolt, Countersunk C/SiC Composite Joint Structure
by Hongcui Wang, Lijia Guo, Weijie Li, Mengshan Zhang, Yiqiang Hong, Wei Yang and Zhongwei Zhang
Materials 2023, 16(19), 6352; https://doi.org/10.3390/ma16196352 - 22 Sep 2023
Cited by 7 | Viewed by 1873
Abstract
Aerospace vehicle connection constructions are in urgent need of joint structures with excellent aerodynamic profiles and environmental adaptability. To address issues such as poor aerodynamic profile, material thermal expansion coefficient mismatch, and limited joint structure evaluation indexes, a multi-bolt, countersunk C/SiC composite joint [...] Read more.
Aerospace vehicle connection constructions are in urgent need of joint structures with excellent aerodynamic profiles and environmental adaptability. To address issues such as poor aerodynamic profile, material thermal expansion coefficient mismatch, and limited joint structure evaluation indexes, a multi-bolt, countersunk C/SiC composite joint structure is presented in this study. The development of a 3D Hashin progressive damage model and its dedicated solver code is presented. The validity of the model is confirmed by comparing simulation results with experimental data. Three evaluation indexes are proposed, peak load, weight increment efficiency, and bolt load distribution, to thoroughly evaluate the mechanical performance of multi-bolt, countersunk C/SiC composite joint structures. Using the proposed model and evaluation indices, we evaluate sixteen different designs of multi-bolt, countersunk C/SiC composite joint structures and analyze how design parameters affect their mechanical properties and damage patterns. The results show that the best mechanical properties of the joint structure are achieved when the ratio of bolt pitch to through hole diameter is 3, the ratio of bolt spacing between columns to through hole diameter is 4, the ratio of the distance between the free edge of the substrate to through hole diameter is 1.5, the ratio of through hole diameter to specimen thickness is 1.7, and the ratio of the distance between the edge of the substrate to through hole diameter is 1.5. Full article
Show Figures

Figure 1

30 pages, 20369 KB  
Article
Diagnostics of Bolted Joints in Vibrating Screens Based on a Multi-Body Dynamical Model
by Pavlo Krot, Hamid Shiri, Przemysław Dąbek and Radosław Zimroz
Materials 2023, 16(17), 5794; https://doi.org/10.3390/ma16175794 - 24 Aug 2023
Cited by 11 | Viewed by 3840
Abstract
The condition-based maintenance of vibrating screens requires new methods of their elements’ diagnostics due to severe disturbances in measured signals from vibrators and falling pieces of material. The bolted joints of the sieving deck, when failed, require a lot of time and workforce [...] Read more.
The condition-based maintenance of vibrating screens requires new methods of their elements’ diagnostics due to severe disturbances in measured signals from vibrators and falling pieces of material. The bolted joints of the sieving deck, when failed, require a lot of time and workforce for repair. In this research, the authors proposed the model-based diagnostic method based on modal analysis of the 2-DOF system, which accounts for the interaction of the screen body and the upper deck under conditions of bolted joint degradation. It is shown that the second natural mode with an out-of-phase motion of the upper deck against the main screen housing may coincide with the excitation frequency or its higher harmonics, which appear when vibrators’ bearings are in bad condition. This interaction speeds up bolt loosening and joint opening by the dynamical loading of higher amplitude. The proposed approach can be used to detune the system from resonance and anti-resonance to reduce maintenance costs and energy consumption. To prevent abrupt failures, such parameters as second natural mode frequency, damping factor, and phase space plot (PSP) distortion measures are proposed as bolt health indicators, and these are verified on the laboratory vibrating screen. Also, the robustness is tested by the impulsive non-Gaussian noise addition to the measurement data. A special diagram was proposed for the bolted joints’ strength capacity assessment and maintenance actions planning (tightening, replacement), depending on clearance in the joints. Full article
(This article belongs to the Special Issue Mechanical Processing of Granular and Fibrous Materials)
Show Figures

Figure 1

23 pages, 12098 KB  
Article
Study on Force Characteristics and Safety of Segment Structure and Bolts with and without Cavity behind Lining with Multi-Field Coupling
by Feilong Li, Changshan Jiang, Guoqing Cai, Jianjun Luo, Qian Yu, Heqing Zhang and Lei Wang
Buildings 2023, 13(8), 2108; https://doi.org/10.3390/buildings13082108 - 20 Aug 2023
Cited by 1 | Viewed by 1748
Abstract
In this study, a refined three-dimensional stratigraphic–structural model is established based on ABAQUS finite element software, and the basis for determining pneumatic and vibration loads is explained in detail. From this, the force characteristics of the segment and bolts with and without a [...] Read more.
In this study, a refined three-dimensional stratigraphic–structural model is established based on ABAQUS finite element software, and the basis for determining pneumatic and vibration loads is explained in detail. From this, the force characteristics of the segment and bolts with and without a cavity behind the lining under the action of multi-field coupling were analyzed, and the force law and corresponding safety of the segment structure and high-strength bolts were determined. The results show that the peak value of the maximum principal stress on the segment structure caused by the surrounding rock pressure was 92.7 times greater than the variation in the peak value of the maximum principal stress caused by additional loads (pneumatic and vibration loads). Despite this, the safety factor of the segment structure satisfied the code requirements. Compared to the situation with no cavity behind the lining, when the cavity behind the lining was small the stresses of the segment structure were large and concentrated, which increased the possibility of crack development in the segment structure. The nodal stresses and strains on the straight and bending bolts exhibited an approximately “W”-shaped distribution with a cavity behind the lining. In addition to the effect of the preload near the nut, the stress and strain at the central measurement point of the bolt rod at the joint face were larger owing to the coupling effect of multiple fields. The high-strength bolt remained in an elastic state and did not yield with damage. Full article
Show Figures

Figure 1

15 pages, 4850 KB  
Article
Triangular Position Multi-Bolt Layout Structure Optimization
by Xiaohan Lu, Min Zhu, Yilong Liu, Shengao Wang, Zijian Xu and Shengnan Li
Appl. Sci. 2023, 13(15), 8786; https://doi.org/10.3390/app13158786 - 29 Jul 2023
Cited by 8 | Viewed by 2319
Abstract
Stress concentration often occurs around bolt holes in load-bearing joint structures of large complex equipment, ships, aerospace and other complex machinery fields, which is an important mechanical factor leading to the failure of joint structures. It is of great engineering significance to study [...] Read more.
Stress concentration often occurs around bolt holes in load-bearing joint structures of large complex equipment, ships, aerospace and other complex machinery fields, which is an important mechanical factor leading to the failure of joint structures. It is of great engineering significance to study the phenomenon of stress concentration on connected structures for the safety of large and complex equipment; meanwhile, the layout of bolts seriously affects the stress around holes. Many scholars have studied the layout optimization of multi-bolted structures through experiments and simulations, but few algorithms have been applied to the layout optimization of bolted structures. And most of the studied types of multi-bolt structures are symmetrical. Therefore, in this paper, the gray wolf algorithm is used to optimize the layout of nickel steel plate connectors with a bolt layout in triangular position, and the optimal objective function is found based on the hole circumferential stress of the nickel steel plate, maximum shear stress of the bolt and bending stress of the nickel steel plate. Comparing the optimal values obtained by the fruit fly optimization algorithm, particle swarm optimization algorithm, gray wolf optimization algorithm, multiverse optimization algorithm and wind driven optimization algorithm, the accuracy of selecting the gray wolf algorithm for optimization is verified. A multi-bolt connection structure model was established in ABAQUS, and the surface stress before and after optimization was compared to verify the correctness of the gray wolf algorithm applied to the structure layout optimization of the nickel steel flat bolt connection. The results show that under the force of 15 KN, compared with the original bolt structure layout, the optimized upper side nickel steel plate bore peripheral stress is reduced by 73.1 MPa, and the optimization rate is 24%; bolt stress is reduced by 47.7 MPa, and the optimization rate is 12.5%; when the load is less than 18 KN, the optimization effect of both the upper nickel steel plate and bolt group is more than 10%. When the load is greater than 18 KN, the optimization effect is reduced, and when the load is greater than 21 KN, the nickel steel plate has exceeded the yield limit. Due to the existence of fixed constraints, the optimization of the lower nickel steel plate is not obvious. The results of this study can provide data and theoretical support for the layout optimization of the nickel steel flat bolt connection structure, and help to improve reliability analysis and health monitoring in complex assembly fields such as large complex equipment and aerospace. Full article
Show Figures

Figure 1

Back to TopTop