Sign in to use this feature.

Years

Between: -

Subjects

remove_circle_outline
remove_circle_outline
remove_circle_outline
remove_circle_outline
remove_circle_outline
remove_circle_outline
remove_circle_outline
remove_circle_outline
remove_circle_outline

Journals

Article Types

Countries / Regions

Search Results (101)

Search Parameters:
Keywords = mufti

Order results
Result details
Results per page
Select all
Export citation of selected articles as:
18 pages, 325 KB  
Article
Breast Milk Donation After Perinatal Loss: A Qualitative Exploration of Maternal Grief and Healing Among Israeli Arab Women and the Islamic Legal-Ethical Perspectives: A Qualitative Research Study
by Mahdi Tarabeih, Orsan Yahya, Mohammad Sabbah and Khaled Awawdi
Healthcare 2025, 13(24), 3309; https://doi.org/10.3390/healthcare13243309 - 17 Dec 2025
Viewed by 383
Abstract
Background/Objectives: After perinatal loss, namely stillbirth and neonatal death, many bereaved mothers continue to produce breast milk, facing the decision as to whether to suppress lactation or donate their milk. Our aims were to explore the experiences and views of Muslim mothers [...] Read more.
Background/Objectives: After perinatal loss, namely stillbirth and neonatal death, many bereaved mothers continue to produce breast milk, facing the decision as to whether to suppress lactation or donate their milk. Our aims were to explore the experiences and views of Muslim mothers who had donated their breast milk following perinatal loss and examine the Islamic legal-ethical perspectives relating to milk donation. This research explores how milk donation serves as a coping mechanism and how Islamic teachings frame its permissibility and ethical considerations. Methods: A qualitative research methodology was employed, using a Interpretative Phenomenological Analysis (IPA). Nine bereaved Muslim mothers who had donated their breast milk and three Islamic religious scholars (an Imam, a Mufti, and a Muslim jurist) participated in in-depth interviews. Thematic analysis identified recurring patterns and insights. Results: Our findings revealed that mothers experienced milk donation as a coping mechanism, allowing them to maintain a symbolic connection with their lost child while contributing to other infants’ survival. Religious scholars who we interviewed agreed that milk donation is permissible in Islam, provided that milk kinship (rida’a) regulations are observed. Mothers reported a strong need for structured support from healthcare providers and religious leaders in order to assist in the informed decision-making process. Conclusions: Breast milk donation after perinatal loss aids in grief management for bereaved mothers while benefiting vulnerable infants. Healthcare providers should offer comprehensive lactation counseling for bereaved mothers, including milk donation options. Milk banks should implement processes in alignment with rida’a guidelines. Improving support systems for bereaved mothers can alleviate their grieving process while ensuring alignment with cultural and religious norms. Full article
8 pages, 3377 KB  
Interesting Images
First Evidence of Neonatal Whale Sharks (Rhincodon typus) in Saleh Bay, West Nusa Tenggara, Indonesia
by Ismail Syakurachman, Yasman Yasman, Mochamad Iqbal Herwata Putra, Mark Erdmann, Mufti Petala Patria and Edy Setyawan
Diversity 2025, 17(12), 839; https://doi.org/10.3390/d17120839 - 5 Dec 2025
Viewed by 923
Abstract
The reproductive biology of the whale shark (Rhincodon typus), the world’s largest fish, remains poorly understood, in large part due to the rarity of observations of neonates and of breeding behaviours. Although several regions in Indonesia, including Saleh Bay (West Nusa [...] Read more.
The reproductive biology of the whale shark (Rhincodon typus), the world’s largest fish, remains poorly understood, in large part due to the rarity of observations of neonates and of breeding behaviours. Although several regions in Indonesia, including Saleh Bay (West Nusa Tenggara Province), have been identified as aggregation and sighting sites for juvenile whale sharks (2–7 m total length, TL), smaller individuals from these potential nursery areas have not been previously documented. In August 2024, fishermen operating lift-net fishing vessels (bagans) in eastern Saleh Bay reported five separate sightings of a small whale shark estimated at 1.2–1.5 m TL and approximately four months old. Subsequently, on 6 September 2024, a male neonate measuring approximately 135–145 cm TL, estimated to be around four months old, was incidentally caught inside a bagan lift-net. These observations represent the first records of neonatal whale sharks in Indonesia and among the smallest free-swimming individuals ever documented globally, and suggest that Saleh Bay may serve as a pupping and early nursery area for whale sharks. These findings highlight the ecological significance of Saleh Bay for the early life stages of whale sharks and underscore the importance of collaborative monitoring and citizen science involving bagan fishermen in advancing the research and conservation of this endangered species. Full article
(This article belongs to the Collection Interesting Images from the Sea)
Show Figures

Figure 1

33 pages, 1062 KB  
Review
A Multi-Level Perspective on Transition to Renewable Energy in the Indonesian Transport Sector
by Ferry Fathoni, Jon C. Lovett and Muhammad Mufti Rifansha
Energies 2025, 18(21), 5723; https://doi.org/10.3390/en18215723 - 30 Oct 2025
Viewed by 1041
Abstract
A transition from fossil fuels to renewable energy is underway to achieve net-zero emissions. The institutional arrangements in Indonesia’s energy transportation sector are crucial for various stakeholders involved in the energy transition. This study combines historical institutionalism with a multi-level perspective to analyze [...] Read more.
A transition from fossil fuels to renewable energy is underway to achieve net-zero emissions. The institutional arrangements in Indonesia’s energy transportation sector are crucial for various stakeholders involved in the energy transition. This study combines historical institutionalism with a multi-level perspective to analyze how policy formulation, critical junctures, and path dependence shape institutional changes toward sustainable mobility. The evolution of institutional arrangements can be categorized into three phases: the establishment of fuel-oil-based infrastructure and dependency (1970–2003); the diversification of cleaner fuels through compressed natural gas and biofuels (2004–2014); and the development of affordable and clean energy, focusing on biofuels and electrification (2015 to present). In parallel, a quantitative total cost of ownership analysis of vehicles using different fuel types demonstrates how institutional reforms, fiscal incentives, and regulatory support reshape the economic feasibility of low-carbon technologies. Landscape pressures—such as global decarbonization, fuel import dependence, and energy security challenges—interact with niche innovations, including biofuels, electric vehicles, and hybrid systems, to drive systemic transformation. The findings indicate that institutional changes, supported by quantitative economic evidence and technology diffusion, play a pivotal role in realigning Indonesia’s transport energy regime toward a more resilient, inclusive, and sustainable transition. Full article
(This article belongs to the Special Issue Renewable Energy Sources towards a Zero-Emission Economy)
Show Figures

Figure 1

16 pages, 516 KB  
Article
The Rebuilding of the Kaʻba During the Period of Sulṭān Murād IV in the Context of the ʻUlamāʼ-Umarāʼ Discussions
by Abdullah Çakmak
Religions 2025, 16(7), 915; https://doi.org/10.3390/rel16070915 - 16 Jul 2025
Viewed by 2108
Abstract
The last stop on the Muslim pilgrimage is the Kaʻba. Like all other holy and religious places, the Kaʻba has survived due to the repairs it has undergone since its construction. However, the Kaʻba has been rebuilt at times when it was destroyed [...] Read more.
The last stop on the Muslim pilgrimage is the Kaʻba. Like all other holy and religious places, the Kaʻba has survived due to the repairs it has undergone since its construction. However, the Kaʻba has been rebuilt at times when it was destroyed for various reasons. Since the interruption of the pilgrimage would undermine the legitimacy of the caliph, Muslims attached great importance to rebuilding the Kaʻba in such cases. The Kaʻba was last rebuilt by the Ottoman Sulṭān Murād IV after the flood of 1039/1630. However, the rebuilding process has not been without its controversies. Although the Ottoman Empire attempted to rebuild the Kaʻba out of necessity, some scholars objected to this initiative. Ibn ʻAllān, one of the leading Shafiʻi muftis of Mecca, followed the rebuilding work day by day and did not hesitate to intervene when necessary. Riḍwān Agha, who carried out the rebuilding of the Kaʻba, was able to overcome Ibn ʻAllān’s objections with fatwas from the muftis of the four sects (four Sunni schools of law) and thus completed the building work. After the Kaʻba was rebuilt, Turkish works on its history began to be produced. In this way, the public was informed that the Kaʻba could be rebuilt if necessary, and attempts were made to anticipate and prevent any potential reactions. This study aims to contribute to the history of the Kaʻba by analysing its rebuilding after the flood of 1039/1630 through debates between scholars (ʻulamāʼ) and administrators (umarāʼ) during this period. Access to the details of this issue from the works of the ʻulamāʼ who witnessed the rebuilding makes this paper unique. Full article
(This article belongs to the Special Issue Pilgrimage: Diversity, Past and Present of Sacred Routes)
Show Figures

Figure 1

17 pages, 1109 KB  
Article
A Traditional Journey in Contemporary Times: The Pilgrimage of Mehmet Barut
by İbrahim Özen
Religions 2025, 16(6), 800; https://doi.org/10.3390/rel16060800 - 19 Jun 2025
Viewed by 2986
Abstract
In Turkish literature, hajj travelogues have been written since the 13th century, conveying Muslims’ experiences during the pilgrimage and explaining how to perform hajj. With the development and widespread use of the modern means of transportation in Türkiye from the 1940s onward, the [...] Read more.
In Turkish literature, hajj travelogues have been written since the 13th century, conveying Muslims’ experiences during the pilgrimage and explaining how to perform hajj. With the development and widespread use of the modern means of transportation in Türkiye from the 1940s onward, the pilgrims increasingly started to travel by air to avoid the hardships and duration of long journeys. However, this shift led to a decrease in visits to historical places along the traditional pilgrimage route from Türkiye to Mecca and Medina, consequently changing the content and nature of Hajj narratives. In spite of these changes, Mehmet Barut, a mufti (cleric), offered a unique response through his travelogue Hicaz Yolları [Hijaz Roads], which can be seen as a reaction to the rise in modern means of transportation. In 1965, Barut began his hajj journey from Tokat, within the border of the Republic of Türkiye, and travelled to Mecca and Medina by bus. Along the way, he visited Ankara, Konya, Tarsus, Iskenderun, Reyhanlı, Aleppo, Damascus, Jerusalem, Halilurrahman, Amman, Tabuk, Khaybar, and Medina before finally reaching Mecca. Barut’s travelogue is a contemporary non-fiction work, yet it was written in classical Turkish. In choosing to follow the historical pilgrimage route—established during the Ottoman period and beginning in Anatolia—Barut sought to revive and preserve the spiritual and cultural destinations and hajj journeys. His travelogue not only demonstrates his own travel experiences, but also reflects examples from the travelogue menazil-i hajj, offering insights into the historical significance of the cities and stopovers along the route. This study examines Hicaz Yolları from two key perspectives. First, it compares Barut’s chosen route with the historical Ottoman hajj route, highlighting key service areas and stopovers. Second, it explores the literary value of Barut’s work and its significance in contemporary Turkish literature. Ultimately, this study reveals that Barut’s travelogue not only kept the memory of traditional hajj pilgrimages alive, but also revived a fading tradition in an era dominated by modern means of transportation. Full article
(This article belongs to the Special Issue Pilgrimage: Diversity, Past and Present of Sacred Routes)
Show Figures

Figure 1

38 pages, 3114 KB  
Review
Nano-Drug Delivery Systems for Bone Metastases: Targeting the Tumor–Bone Microenvironment
by Mohamad Bakir, Ahmad Dawalibi, Mohammad Alaa Mufti, Ayman Behiery and Khalid S. Mohammad
Pharmaceutics 2025, 17(5), 603; https://doi.org/10.3390/pharmaceutics17050603 - 2 May 2025
Cited by 8 | Viewed by 3434
Abstract
Bone metastases are a prevalent and debilitating consequence of various cancers, including breast and prostate carcinomas, which significantly compromise patient quality of life due to pain, fractures, and other skeletal-related events (SREs). This review examines the pathophysiology of bone metastases, emphasizing the role [...] Read more.
Bone metastases are a prevalent and debilitating consequence of various cancers, including breast and prostate carcinomas, which significantly compromise patient quality of life due to pain, fractures, and other skeletal-related events (SREs). This review examines the pathophysiology of bone metastases, emphasizing the role of the bone microenvironment in tumor progression through mechanisms such as osteotropism and the dysregulated bone remodeling cycle. The primary focus is on the emerging nano-drug delivery systems (DDS) designed to target the bone microenvironment and improve the therapeutic index of anticancer agents. Current treatments, mainly comprising bisphosphonates and radiotherapy, provide palliative benefits but often have limited efficacy and significant side effects. Innovative strategies, such as bisphosphonate-conjugated nanoparticles and targeted therapies that utilize the unique bone marrow niche, are explored for their potential to enhance drug accumulation at metastatic sites while minimizing systemic toxicity. These approaches include the use of liposomes, polymeric nanoparticles, and inorganic nanoparticles, which can be functionalized to exploit the biological barriers within the bone microenvironment. This review also discusses the challenges and future directions for nano-DDS in clinical settings, emphasizing the need for multidisciplinary research to effectively integrate these technologies into standard care protocols. Full article
Show Figures

Figure 1

21 pages, 3559 KB  
Review
Research Trends in Workforce Planning in the Automotive Sector: A Comprehensive Review
by Mufti Tahir Niyaz, Dejsi Qorri, Krisztián Kovács and Csilla Juhasz
Adm. Sci. 2025, 15(4), 140; https://doi.org/10.3390/admsci15040140 - 10 Apr 2025
Cited by 2 | Viewed by 7363
Abstract
Background/Purpose: As the automotive industry continues to develop due to technological advancements, so too do the challenges connected with globalization of operations and the strategic management of human resources. Therefore, our objective was to map the current research work performed for the period [...] Read more.
Background/Purpose: As the automotive industry continues to develop due to technological advancements, so too do the challenges connected with globalization of operations and the strategic management of human resources. Therefore, our objective was to map the current research work performed for the period of 2014–2024. Moreover, we conducted a comprehensive analysis regarding emerging topics related to strategic human resources, workforce planning and forecasting, employee wellness, and reskilling/upskilling. Study Design/Methodology/Approach: The methodology used for this review was a Systematic Literature Review, following the PRISMA protocol to remove biases in the review. The search keywords were: workforce planning, strategic HR, skills, employee wellness, and upskilling. In total, 180 articles were retrieved from SCOPUS. Findings: We found that the scholarly work over the year has fluctuated, showing an overall increasing trend of scientific production. The principal themes discussed were ‘human, ergonomics, and industrial research’. The research trends were: leadership, knowledge management, innovation, skills, and COVID-19. We concluded that most of the impact on employee satisfaction and upskilling is on an operational level. Originality/Value: Furthermore, our comprehensive review offers theoretical and practical implications in line with the COVID-19 impact and HR strategies. Full article
Show Figures

Figure 1

8 pages, 195 KB  
Article
Outcomes of Blood Transfusions in Patients Undergoing Mechanical Thrombectomy for Acute Ischemic Stroke: A Population-Based Cross-Sectional Study of 47,835 Patients
by Ankita Jain, Eseiwi Aifuwa, Raphael Bienenstock, Shayna Kar, Eris Spirollari, Ariel Sacknovitz, Elad Mashiach, Feliks Koyfman, Ji Chong, Chaitanya Medicherla, Chirag D. Gandhi and Fawaz Al-Mufti
Brain Sci. 2025, 15(4), 386; https://doi.org/10.3390/brainsci15040386 - 8 Apr 2025
Viewed by 1190
Abstract
Background/Objectives: Despite advances, large vessel occlusion strokes (LVO) remain associated with significant morbidity. Recent studies have suggested that blood transfusions may help manage critically ill LVO patients. We sought to evaluate the patient characteristics, complications, and clinical outcomes associated with blood transfusions [...] Read more.
Background/Objectives: Despite advances, large vessel occlusion strokes (LVO) remain associated with significant morbidity. Recent studies have suggested that blood transfusions may help manage critically ill LVO patients. We sought to evaluate the patient characteristics, complications, and clinical outcomes associated with blood transfusions in acute ischemic stroke (AIS) patients undergoing endovascular thrombectomy. Methods: A query of the 2016–2019 National Inpatient Sample was conducted to identify AIS patients who underwent endovascular thrombectomy, using International Classification of Disease 10th Revision diagnostic codes. Demographic, clinical characteristics, severity of presentation, complications, and outcomes were analyzed. Multivariate binary logistic regression was used to assess complications, length of stay (LOS), discharge disposition, and inpatient mortality. Results: A total of 47,835 AIS patients undergoing endovascular thrombectomy were identified. Of these patients, 1215 (2.5%) received blood transfusions. After controlling for age, gender, National Institutes of Health Stroke Scale scores, Elixhauser Comorbidity Index, and location of stroke, blood transfusions were significant positive predictors for higher rates of inpatient death (OR: 1.96; 95% CI: 1.681, 2.286; p < 0.001), lower rates of routine discharge (OR: 0.425; 95% CI: 0.342, 0.527; p < 0.001), and prolonged LOS (OR: 2.928; 95% CI: 2.572, 3.333; p < 0.001). Conclusions: Blood transfusions in AIS patients receiving endovascular thrombectomy are associated with elevated complication rates, extended hospital stays, and increased mortality, even after for controlling for predictors of poor outcome. Understanding the broader effects of blood transfusions in AIS patients is essential to ensure that the balance between potential benefits and risks upholds best care practice for all patients. Full article
(This article belongs to the Section Neurosurgery and Neuroanatomy)
11 pages, 222 KB  
Article
Exploring the Obesity Paradox in All Subtypes of Intracranial Hemorrhage: A Retrospective Cohort Analysis of 13,000 Patients
by Helen Ng, Ellen N. Huhulea, Ankita Jain, Michael Fortunato, Galadu Subah, Ariel Sacknovitz, Eris Spirollari, Jon B. Rosenberg, Andrew Bauerschmidt, Stephan A. Mayer, Chirag D. Gandhi and Fawaz Al-Mufti
Brain Sci. 2024, 14(12), 1200; https://doi.org/10.3390/brainsci14121200 - 28 Nov 2024
Cited by 2 | Viewed by 1929
Abstract
Background/Objectives: Recent studies reveal an “obesity paradox”, suggesting better clinical outcomes after intracranial hemorrhage for obese patients compared to patients with a healthy BMI. While this paradox indicates improved survival rates for obese individuals in stroke cases, it is unknown whether this trend [...] Read more.
Background/Objectives: Recent studies reveal an “obesity paradox”, suggesting better clinical outcomes after intracranial hemorrhage for obese patients compared to patients with a healthy BMI. While this paradox indicates improved survival rates for obese individuals in stroke cases, it is unknown whether this trend remains true across all forms of intracranial hemorrhage. Therefore, the objective of our study was to investigate the incidence, characteristics, and outcomes of hospitalized obese patients with intracranial hemorrhage. Methods: The National Inpatient Sample (NIS) database was queried for data from 2015 to 2019 to identify adult patients aged 18 years and older with a primary diagnosis of non-traumatic intracranial hemorrhage. Using International Classification of Disease 10th Edition codes, patients were stratified by BMI categories: healthy weight, overweight, class I–II obesity, and class III obesity. The cohorts were examined for demographic characteristics, comorbidities, stroke severity, inpatient complications, interventions, and clinical outcomes, including length of stay (LOS), discharge disposition, and inpatient mortality. Results: Of 41,960 intracranial hemorrhage patients identified, 13,380 (33.0%) also had an obese BMI. Class I–II obese intracranial hemorrhage patients were more likely to be of white race (OR: 1.101, 95% CI: 1.052, 1.152, p < 0.001), less likely to be female (OR: 0.773, 95% CI: 0.740, 0.808, p < 0.001), and more likely to have diabetes mellitus (OR: 1.545, 95% CI: 1.477, 1.616, p < 0.001) and hypertension (OR: 1.828, 95% CI: 1.721, 1.943, p < 0.001) in comparison to healthy-weight patients. In a matched cohort analysis adjusting for demographics and severity, intracranial hemorrhage patients with class I–II obesity had a shorter length of stay (LOS) (OR 0.402, 95% CI: 0.118, 0.705, p < 0.001), reduced inpatient mortality (OR 0.847, 95% CI: 0.798, 0.898, p < 0.001), and more favorable discharge disposition (OR 1.395, 95% CI: 1.321, 1.474, p < 0.001) compared to their healthy-weight counterparts. Furthermore, these patients were less likely to require decompressive hemicraniectomy (OR 0.697, 95% CI: 0.593, 0.820, p < 0.001). Following an analysis of individual ICH subtypes, obese subarachnoid hemorrhage (SAH) patients demonstrated reduced mortality (OR: 0.692, 95% CI: 0.577–0.831, p < 0.001) and LOS (OR: 0.070, 95% CI: 0.466–0.660, p = 0.039), with no differences in discharge disposition. Similarly, intracerebral hemorrhage patients demonstrated reduced mortality (OR: 0.891, 95% CI: 0.827–0.959, p = 0.002) and LOS (OR: 0.480, 95% CI: 0.216–0.743, p < 0.001). Other ICH subtypes showed improved discharge outcomes (OR: 1.504, 95% CI: 1.368–1.654, p < 0.001), along with decreased mortality (OR: 0.805, 95% CI: 0.715–0.907, p < 0.001) and LOS (OR: −10.313, 95% CI: −3.599 to −2.449, p < 0.001). Conclusions: Intracranial hemorrhage patients with class I–II obesity exhibited more favorable clinical outcomes than those who were of a healthy weight or overweight. Despite its association with risk factors contributing to intracranial hemorrhage, class I–II obesity was associated with improved outcomes, lending support to the existence of the obesity paradox in stroke. Full article
20 pages, 2154 KB  
Article
Green Communication in IoT for Enabling Next-Generation Wireless Systems
by Mohammad Aljaidi, Omprakash Kaiwartya, Ghassan Samara, Ayoub Alsarhan, Mufti Mahmud, Sami M. Alenezi, Raed Alazaidah and Jaime Lloret
Computers 2024, 13(10), 251; https://doi.org/10.3390/computers13100251 - 2 Oct 2024
Cited by 8 | Viewed by 2044
Abstract
Recent developments and the widespread use of IoT-enabled technologies has led to the Research and Development (R&D) efforts in green communication. Traditional dynamic-source routing is one of the well-known protocols that was suggested to solve the information dissemination problem in an IoT environment. [...] Read more.
Recent developments and the widespread use of IoT-enabled technologies has led to the Research and Development (R&D) efforts in green communication. Traditional dynamic-source routing is one of the well-known protocols that was suggested to solve the information dissemination problem in an IoT environment. However, this protocol suffers from a high level of energy consumption in sensor-enabled device-to-device and device-to-base station communications. As a result, new information dissemination protocols should be developed to overcome the challenge of dynamic-source routing, and other similar protocols regarding green communication. In this context, a new energy-efficient routing protocol (EFRP) is proposed using the hybrid adopted heuristic techniques. In the densely deployed sensor-enabled IoT environment, an optimal information dissemination path for device-to-device and device-to-base station communication was identified using a hybrid genetic algorithm (GA) and the antlion optimization (ALO) algorithms. An objective function is formulated focusing on energy consumption-centric cost minimization. The evaluation results demonstrate that the proposed protocol outperforms the Greedy approach and the DSR protocol in terms of a range of green communication metrics. It was noticed that the number of alive sensor nodes in the experimental network increased by more than 26% compared to the other approaches and lessened energy consumption by about 33%. This leads to a prolonged IoT network lifetime, increased by about 25%. It is evident that the proposed scheme greatly improves the information dissemination efficiency of the IoT network, significantly increasing the network’s throughput. Full article
(This article belongs to the Special Issue Application of Deep Learning to Internet of Things Systems)
Show Figures

Figure 1

11 pages, 2538 KB  
Article
The Effects of Rice Husk Ash as Bio-Cementitious Material in Concrete
by Mays Mahmoud Alsaed and Rafal Latif Al Mufti
Constr. Mater. 2024, 4(3), 629-639; https://doi.org/10.3390/constrmater4030034 - 23 Sep 2024
Cited by 10 | Viewed by 9399
Abstract
Concrete is one of the most commonly used materials in civil engineering construction, and it continues to have increased production. This puts pressure on the consumption of its constituent materials, including Portland cement and aggregates. There are environmental consequences related to the increased [...] Read more.
Concrete is one of the most commonly used materials in civil engineering construction, and it continues to have increased production. This puts pressure on the consumption of its constituent materials, including Portland cement and aggregates. There are environmental consequences related to the increased emission of CO2 that are associated with the production process of Portland cement. This has led to the development and use of alternative cementitious materials, mainly in the form of condensed silica fume, pulverised fuel ash, and ground granulated blast furnace slag. All of these are by-products of the silicon, electrical power generation, and iron production industries, respectively. In recent years, attention has turned to the possible use of sustainable bio-waste materials that might contribute to the replacement of Portland cement in concrete. This research investigates the effects of using rice husk ash as cement replacement material on the 1 to 28-day concrete properties, including the compressive strength, workability, and durability of concrete. The findings indicate that including rice husk ash in concrete can improve its strength at 3–28 days for percentage replacements of 5% to 20% (ranging from 2.4% to 18.7% increase) and improvements from 1 day for 20% replacement (with 11.1% increase). Any percentage replacement with rice husk ash also reduced the air permeability by 21.4% and therefore improved the durability, while there was a small reduction in the workability with increased replacement. Full article
Show Figures

Figure 1

10 pages, 695 KB  
Article
Predictors of Outcomes and a Weighted Mortality Score for Moderate to Severe Subdural Hematoma
by Sima Vazquez, Aarti K. Jain, Bridget Nolan, Eris Spirollari, Kevin Clare, Anish Thomas, Sauson Soldozy, Syed Ali, Vishad Sukul, Jon Rosenberg, Stephan Mayer, Rakesh Khatri, Brian T. Jankowitz, Justin Singer, Chirag Gandhi and Fawaz Al-Mufti
Life 2024, 14(8), 1049; https://doi.org/10.3390/life14081049 - 22 Aug 2024
Cited by 2 | Viewed by 4439
Abstract
As the incidence of subdural hematoma is increasing, it is important to understand symptomatology and clinical variables associated with treatment outcomes and mortality in this population; patients with subdural hematoma were selected from the National Inpatient Sample (NIS) Database between 2016 and 2020 [...] Read more.
As the incidence of subdural hematoma is increasing, it is important to understand symptomatology and clinical variables associated with treatment outcomes and mortality in this population; patients with subdural hematoma were selected from the National Inpatient Sample (NIS) Database between 2016 and 2020 using International Classification of Disease 10th Edition (ICD10) codes. Moderate-to-severe subdural hematoma patients were identified using the Glasgow Coma Scale (GCS). Multivariate regression was first used to identify predictors of in-hospital mortality and then beta coefficients were used to create a weighted mortality score. Of 29,915 patients admitted with moderate-to-severe subdural hematomas, 12,135 (40.6%) died within the same hospital admission. In a multivariate model of relevant demographic and clinical covariates, age greater than 70, diabetes mellitus, mechanical ventilation, hydrocephalus, and herniation were independent predictors of mortality (p < 0.001 for all). Age greater than 70, diabetes mellitus, mechanical ventilation, hydrocephalus, and herniation were assigned a “1” in a weighted mortality score. The ROC curve for our model showed an area under the curve of 0.64. Age greater than 70, diabetes mellitus, mechanical ventilation, hydrocephalus, and herniation were predictive of mortality. We created the first clinically relevant weighted mortality score that can be used to stratify risk, guide prognosis, and inform family discussions. Full article
(This article belongs to the Section Medical Research)
Show Figures

Figure 1

24 pages, 3219 KB  
Article
Predictors of Serotonin Syndrome in Acute Poisoning with 5-Hydroxytryptamine Modulators
by Asmaa F. Sharif, Mubarak Nasir M. Almulhim, Hadi Mohamed A. Almosabeh, Mohammed Essam A. Alshammasy, Ali Mohammed A. Aljeshi, Taher Mohammed A. Mufti, Shahd AlNasser, Khalid A. Al-Mulhim and Yousef A. AlMubarak
Toxics 2024, 12(8), 550; https://doi.org/10.3390/toxics12080550 - 30 Jul 2024
Viewed by 5939
Abstract
5-Hydroxytryptamine (5-HT) modulators are commonly prescribed medications with potentially life-threatening outcomes, particularly serotonin syndrome (SS). Early prediction of SS is critical not only to avoid lethal drug combinations but also to initiate appropriate treatment. The present work aimed to recognize the significant predictors [...] Read more.
5-Hydroxytryptamine (5-HT) modulators are commonly prescribed medications with potentially life-threatening outcomes, particularly serotonin syndrome (SS). Early prediction of SS is critical not only to avoid lethal drug combinations but also to initiate appropriate treatment. The present work aimed to recognize the significant predictors of SS through a retrospective cross-sectional study that was conducted among patients exposed to an overdose of 5-HT modulators and admitted to a poison control center where 112 patients were enrolled. Of them, 21 patients were diagnosed with SS, and 66.7% of patients with SS were exposed to long-term co-ingestion. There was a noticeable surge in SS between April and May, and 52.4% of patients who suffered from SS were admitted after suicidal exposure (p < 0.05). Patients with SS showed severe presentation indicated by high-grade poison severity scores (PSS) and low Glasgow coma scales (GCS). PSS was a significant predictor of SS with an area under the curve of 0.879. PCO2, pulse, GCS, HCO3, and erythrocytic count were other significant predictors of SS. Combinations of serotonergic agents increase the likelihood of developing SS. Clinicians should be vigilant when prescribing a combination of serotonergic therapy, particularly for patients on illicit sympathomimetic and over-the-counter medications like dextromethorphan. Full article
(This article belongs to the Special Issue Toxicity of Central Nervous System (CNS) Modulators)
Show Figures

Figure 1

8 pages, 1416 KB  
Proceeding Paper
A Systematic Study on the Effect of the Xanthation Temperature on Viscose Quality
by Novita Novita, Budhijanto Budhijanto and Muhammad Mufti Azis
Eng. Proc. 2024, 67(1), 6; https://doi.org/10.3390/engproc2024067006 - 16 Jul 2024
Cited by 2 | Viewed by 2040
Abstract
The xanthation reaction is an exothermic reaction between alkali cellulose (AC) and carbon disulfide (CS2) used to regenerate a viscose solution. The cooling system plays an important role during the reaction to yield more of the main product, cellulose xanthate (CX), [...] Read more.
The xanthation reaction is an exothermic reaction between alkali cellulose (AC) and carbon disulfide (CS2) used to regenerate a viscose solution. The cooling system plays an important role during the reaction to yield more of the main product, cellulose xanthate (CX), instead of the by-product, sodium trithiocarbonate (TTC). Minimizing the yield of by-products during the reaction phase may lead to less by-product generation during the ripening process due to free caustic and excess CS2 in the system. The reaction was performed in a batch reactor with an agitator (9.7 rpm) under vacuum conditions (350 mbar), and the temperature varied from 20 °C to 35 °C, as is applicable in industrial plants. Meanwhile, the CX and TTC were determined via UV spectroscopy. Since the temperature reaction will affect the period of the reaction, which impacts the productivity of industrial applications, the experiment was conducted with a temperature change during the reaction to obtain a good-quality product without impacting productivity. This work aimed to reach an optimum xanthation temperature under the same combination of hardwood and softwood dissolving pulp. The results indicated that the xanthation reaction has an advantage at lower temperatures compared to higher ones; however, having a lower temperature led to a longer reaction period. The TTC was shown to be 17.7% lower at lower temperatures than at higher temperatures, which means that the CX was at a higher percentage at lower temperatures. Interestingly, the combination of higher and lower temperatures gave good viscose quality, which may lead to less consumption of CS2 and improve the environment due to less sulfur production during spinning. Full article
(This article belongs to the Proceedings of The 3rd International Electronic Conference on Processes)
Show Figures

Figure 1

18 pages, 1900 KB  
Article
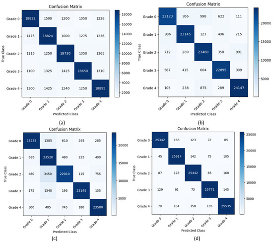
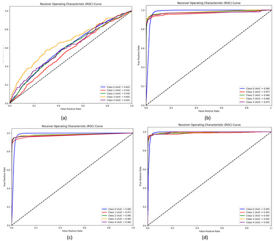
Classification of Diabetic Retinopathy Disease Levels by Extracting Spectral Features Using Wavelet CNN
by Sumod Sundar, Sumathy Subramanian and Mufti Mahmud
Diagnostics 2024, 14(11), 1093; https://doi.org/10.3390/diagnostics14111093 - 24 May 2024
Cited by 2 | Viewed by 2563
Abstract
Diabetic retinopathy (DR) arises from blood vessel damage and is a leading cause of blindness on a global scale. Clinical professionals rely on examining fundus images to diagnose the disease, but this process is frequently prone to errors and is tedious. The usage [...] Read more.
Diabetic retinopathy (DR) arises from blood vessel damage and is a leading cause of blindness on a global scale. Clinical professionals rely on examining fundus images to diagnose the disease, but this process is frequently prone to errors and is tedious. The usage of computer-assisted techniques offers assistance to clinicians in detecting the severity levels of the disease. Experiments involving automated diagnosis employing convolutional neural networks (CNNs) have produced impressive outcomes in medical imaging. At the same time, retinal image grading for detecting DR severity levels has predominantly focused on spatial features. More spectral features must be explored for a more efficient performance of this task. Analysing spectral features plays a vital role in various tasks, including identifying specific objects or materials, anomaly detection, and differentiation between different classes or categories within an image. In this context, a model incorporating Wavelet CNN and Support Vector Machine has been introduced and assessed to classify clinically significant grades of DR from retinal fundus images. The experiments were conducted on the EyePACS dataset and the performance of the proposed model was evaluated on the following metrics: precision, recall, F1-score, accuracy, and AUC score. The results obtained demonstrate better performance compared to other state-of-the-art techniques. Full article
(This article belongs to the Section Machine Learning and Artificial Intelligence in Diagnostics)
Show Figures

Figure 1

Back to TopTop