Sign in to use this feature.

Years

Between: -

Subjects

remove_circle_outline
remove_circle_outline
remove_circle_outline
remove_circle_outline
remove_circle_outline
remove_circle_outline
remove_circle_outline
remove_circle_outline
remove_circle_outline

Journals

Article Types

Countries / Regions

Search Results (100)

Search Parameters:
Keywords = monolithic silica

Order results
Result details
Results per page
Select all
Export citation of selected articles as:
15 pages, 3114 KB  
Article
From Waste to Thermal Barrier: Green Carbonation Synthesis of a Silica Aerogel from Coal Gangue
by Chenggang Chen, Heyu Li, Zhe Sun and Yan Cao
Appl. Sci. 2025, 15(24), 13156; https://doi.org/10.3390/app152413156 - 15 Dec 2025
Viewed by 465
Abstract
A sustainable pathway for converting low-value solid waste (Coal gangue, CG) into high-performance thermal insulation materials through a green synthesis strategy has been demonstrated. The SiO2 was successfully and efficiently extracted from CG in the form of sodium silicate. The subsequent sol–gel [...] Read more.
A sustainable pathway for converting low-value solid waste (Coal gangue, CG) into high-performance thermal insulation materials through a green synthesis strategy has been demonstrated. The SiO2 was successfully and efficiently extracted from CG in the form of sodium silicate. The subsequent sol–gel process of sodium silicate solution utilized an innovative CO2 carbonation method, which replaced the conventional use of strong acids, thereby reducing the carbon footprint and enhancing process safety. Hydrophobic SiO2 aerogel was subsequently prepared via ambient pressure drying, exhibiting a high specific surface area of 750.4 m2/g, a narrow pore size distribution ranging from 2 to 15 nm and a low thermal conductivity of 0.022 W·m−1·K−1. Furthermore, the powdered aerogel was shaped into a monolithic form using a simple molding technique, which conferred appreciable compressibility and resilience, maintaining the low thermal conductivity and hydrophobicity of the original aerogels, ensuring its functional integrity for practical applications. Practical thermal management tests including low and high temperature, conclusively demonstrated the superior performance of the prepared aerogel material. This work presents a viable and efficient waste-to-resource pathway for producing high-performance thermal insulation materials. Full article
(This article belongs to the Section Energy Science and Technology)
Show Figures

Figure 1

24 pages, 3818 KB  
Article
Synthesis of a CCNC–Silica–Graphene Oxide Porous Monolith for Efficient Copper Ion Removal
by Nduduzo Khumalo, Samson Mohomane, Vetrimurugan Elumalai and Tshwafo Motaung
Gels 2025, 11(10), 832; https://doi.org/10.3390/gels11100832 - 17 Oct 2025
Cited by 1 | Viewed by 576
Abstract
Heavy metal contamination in water, predominantly from copper (Cu(II)) ions, poses substantial risks to human and environmental health. This study developed a novel, robust adsorbent known as a carboxylate cellulose nanocrystal–silica–graphene oxide hybrid composite porous monolith, which effectively removes Cu(II) from water in [...] Read more.
Heavy metal contamination in water, predominantly from copper (Cu(II)) ions, poses substantial risks to human and environmental health. This study developed a novel, robust adsorbent known as a carboxylate cellulose nanocrystal–silica–graphene oxide hybrid composite porous monolith, which effectively removes Cu(II) from water in a rapid manner. Carboxylate cellulose nanocrystals with enhanced metal-binding properties were synthesized from cellulose extracted from sugarcane bagasse, a significant agricultural byproduct. The porous monolith was synthesized through the combination of carboxylate cellulose nanocrystals, tetraethyl orthosilicate (TEOS), and graphene oxide, utilizing a sol–gel method. The efficacy of the synthesis was confirmed using Fourier-Transform Infra-red (FTIR), X-ray diffraction (XRD), thermogravimetric analysis (TGA), scanning electron microscope (SEM), and Brunauer–Emmett–Teller (BET) analyses. The material exhibited a highly porous mesoporous structure with a surface area of 512 m2/g, signifying a significant enhancement. Batch adsorption experiments under optimal conditions (pH = 5.5, contact time = 240 min, initial concentration = 200 mg/L) demonstrated a high experimental adsorption capacity of 172 mg/g for Cu(II). The adsorption process was best described by the Langmuir isotherm model, which yielded a theoretical maximum capacity (qm) of 172 mg/g, and the pseudo-second-order kinetic model, confirming monolayer coverage and chemisorption as the rate-limiting step. Thermodynamic analyses demonstrate that the process is both spontaneous and exothermic. The porous monolith demonstrates the capability for multiple uses, maintaining over 70% efficiency after five cycles. The findings indicate that the carboxylate cellulose nanocrystal–silica–graphene oxide hybrid composite porous monolith is an efficient and robust method for the remediation of copper-contaminated water. Full article
(This article belongs to the Section Gel Analysis and Characterization)
Show Figures

Figure 1

15 pages, 4067 KB  
Article
The Use of Phase Change Materials for Thermal Management of Metal Hydride Reaction
by Ying Xu, Murray McCurdy and Mohammed Farid
Appl. Sci. 2025, 15(17), 9657; https://doi.org/10.3390/app15179657 - 2 Sep 2025
Viewed by 1140
Abstract
To meet the massive increase in energy demand, extensive research has been conducted over the past few decades on developing clean and sustainable energy storage methods. Hydrogen is considered as one of the most promising future energy carriers due to its high energy [...] Read more.
To meet the massive increase in energy demand, extensive research has been conducted over the past few decades on developing clean and sustainable energy storage methods. Hydrogen is considered as one of the most promising future energy carriers due to its high energy density and renewability, but it requires storage. Storing hydrogen using metal hydride offers several advantages, including stability, safety compactness and reversibility of the hydrogen absorption/desorption process. Thermal management during hydrogen storage using metal hydride is critically important since the reaction between the metal and hydrogen is highly exothermic. We are aiming to develop thermal storage systems based on composite phase change materials (CPCMs) that absorb the heat generated during hydrogen absorption and release it during desorption, in an effort to improve energy storage efficiency. Lightweight, shape-stable CPCMs are prepared by loading the selected organic phase change materials into expanded graphite and hydrophobic monolithic silica aerogel. The chemical structure, microstructure, thermal properties and leakage of CPCMs are investigated. These samples were subjected to variable power electrical heating to simulate the heat generated during hydrogen reaction, forming lanthanum hydride, according to its published reaction kinetics. Full article
(This article belongs to the Section Energy Science and Technology)
Show Figures

Figure 1

9 pages, 3323 KB  
Article
Defect-Engineered Silicalite-1 Monoliths for Enhanced Hydrophobicity in Room-Temperature Tritium Oxidation
by Benlong Yu, Tao Wang and Chao Xiao
Catalysts 2025, 15(6), 584; https://doi.org/10.3390/catal15060584 - 12 Jun 2025
Viewed by 909
Abstract
This study describes a monolithic silicalite-1 catalyst support designed for tritium oxidation reactions under humid conditions. Monolithic molecular sieves (sil-s) were fabricated by converting silica binders to silicalite-1 through secondary crystallization (175 °C, 24 h). In addition to the binder conversion to silicalite-1, [...] Read more.
This study describes a monolithic silicalite-1 catalyst support designed for tritium oxidation reactions under humid conditions. Monolithic molecular sieves (sil-s) were fabricated by converting silica binders to silicalite-1 through secondary crystallization (175 °C, 24 h). In addition to the binder conversion to silicalite-1, some recrystallization of starting silicalite-1 (sil) results in higher crystallinity, lower concentration of silanol defects, and higher hydrophobicity. With the addition of 2% platinum, Pt/sil-s exhibited better stability under humid conditions, showing only 0.01%/min conversion decay over 800 min. This work has demonstrated a moisture-resistant Pt catalyst for tritium oxidation in fusion energy systems. Full article
(This article belongs to the Section Industrial Catalysis)
Show Figures

Figure 1

14 pages, 4212 KB  
Article
Influence of Gelation Temperature on Structural, Thermal, and Mechanical Properties of Monolithic Silica Gels with Mono- and Bimodal Pore Structure
by Kai Müller, Christian Scherdel, Stephan Vidi, Gudrun Reichenauer, Moritz Boxheimer, Frank Dehn and Dirk Enke
Gels 2025, 11(3), 196; https://doi.org/10.3390/gels11030196 - 12 Mar 2025
Viewed by 1885
Abstract
This study explores the impact of pore volume distribution on the structural, thermal, and mechanical properties of spinodal phase-separated silica gels synthesized with poly(ethylene oxide) as a phase-separating agent. By systematically varying gelation temperatures between 20 and 60 °C, we investigate how reaction [...] Read more.
This study explores the impact of pore volume distribution on the structural, thermal, and mechanical properties of spinodal phase-separated silica gels synthesized with poly(ethylene oxide) as a phase-separating agent. By systematically varying gelation temperatures between 20 and 60 °C, we investigate how reaction kinetics influence the resulting pore architecture, thermal conductivity, and elasticity. Nitrogen sorption, mercury intrusion porosimetry, and SEM analysis reveal a transformation from a bimodal pore structure at low temperatures, featuring interconnected macropores, to a predominantly mesoporous network with loss of bimodality. This shift in the diameter of the macropores significantly impacts the thermal insulation properties of the gels as thermal conductivity decreases from 68 to 27 mW (m·K)−1 due to reduced macroporosity, enhanced mesoporosity, and the Knudsen effect. Mechanical testing revealed a substantial decline in Young’s modulus with increasing gelation temperature. These changes are attributed to the interplay of mesoscale structural differences and density variations, driven by increasing gelation temperatures. While higher temperatures lead to reduced strut thickness and the loss of interconnected macropores, the substantial decline in Young’s modulus highlights the critical role of mesoscale structural integrity in maintaining mechanical stability. The findings underscore the importance of an optimized pore volume distribution in tailoring pore structure and performance characteristics, providing a pathway for optimizing silica gels for applications in thermal insulation, filtration, and catalysis. Full article
(This article belongs to the Section Gel Analysis and Characterization)
Show Figures

Graphical abstract

30 pages, 6636 KB  
Article
Biomass-Derived Nanoporous Carbon Honeycomb Monoliths for Environmental Lipopolysaccharide Adsorption from Aqueous Media
by Jakpar Jandosov, Dmitriy Berillo, Anil Misra, Mo Alavijeh, Dmitriy Chenchik, Alzhan Baimenov, Maria Bernardo, Seitkhan Azat, Zulkhair Mansurov, Joaquin Silvestre-Albero and Sergey Mikhalovsky
Int. J. Mol. Sci. 2025, 26(3), 952; https://doi.org/10.3390/ijms26030952 - 23 Jan 2025
Cited by 5 | Viewed by 2552
Abstract
After undergoing biological treatment, wastewater still contains substances with endotoxic activity, such as lipopolysaccharide. However, due to the increasing practice of treating wastewater to make it suitable for drinking (potable reuse), the removal of these endotoxic active materials is crucial. These substances can [...] Read more.
After undergoing biological treatment, wastewater still contains substances with endotoxic activity, such as lipopolysaccharide. However, due to the increasing practice of treating wastewater to make it suitable for drinking (potable reuse), the removal of these endotoxic active materials is crucial. These substances can be harmful to human health, leading to a condition called endotoxaemia. Furthermore, environmental endotoxins pose risks to pharmaceutical manufacturing processes and the quality of the final pharmaceutical products. Ultimately, the most significant concern lies with the patient, as exposure to such substances can have adverse effects on their health and well-being. Activated carbon has a proven efficiency for endotoxin removal; rice husk (RH), as a type of natural lignocellulosic agricultural waste, is a unique carbon precursor material in terms of its availability, large-scale world production (over 140 million tons annually), and is characterized by the presence of nanoscale silica phytoliths, which serve as a template to create additional meso/macropore space within the nanoscale range. High surface area RH/lignin-derived honeycomb monoliths were prepared in this study via extrusion, followed by carbonization and physical and chemical activation to develop additional pore space. The nanoporosity of the carbon honeycomb monoliths was established by means of low-temperature nitrogen adsorption studies, using calculations based on QSDFT equilibrium and BJH models, as well as mercury intrusion porosimetry (MIP) and SEM investigations. An alternative method for the elimination of the bacterial lipopolysaccharide (LPS)—a conventional marker—using filtration in flowing recirculation systems and the adsorbent activity of the monoliths towards LPS was investigated. Since LPS expresses strong toxic effects even at very low concentrations, e.g., below 10 EU/mL, its removal even in minute amounts is essential. It was found that monoliths are able to eliminate biologically relevant LPS levels, e.g., adsorption removal within 5, 30, 60, 90, and 120 min of circulation reached the values of 49.8, 74.1, 85.4, 91.3%, and 91.6%, respectively. Full article
Show Figures

Graphical abstract

13 pages, 2814 KB  
Article
Nano-LC with New Hydrophobic Monolith Based on 9-Antracenylmethyl Methacrylate for Biomolecule Separation
by Cemil Aydoğan and Sarah Alharthi
Int. J. Mol. Sci. 2024, 25(24), 13646; https://doi.org/10.3390/ijms252413646 - 20 Dec 2024
Cited by 5 | Viewed by 1626
Abstract
In this study, new monolithic poly(9-anthracenylmethyl methacrylate-co-trimethylolpropane trimethacrylate (TRIM) columns, referred as ANM monoliths were prepared, for the first time, and were used for the separation media for biomolecules and proteomics analysis by nano-liquid chromatography (nano-LC). Monolithic columns were prepared by in situ [...] Read more.
In this study, new monolithic poly(9-anthracenylmethyl methacrylate-co-trimethylolpropane trimethacrylate (TRIM) columns, referred as ANM monoliths were prepared, for the first time, and were used for the separation media for biomolecules and proteomics analysis by nano-liquid chromatography (nano-LC). Monolithic columns were prepared by in situ polymerization of 9-anthracenylmethyl methacrylate (ANM) and trimethylolpropane trimethacrylate (TRIM) in a fused silica capillary column of 100 µm ID. Polymerization solution was optimized in relation to monomer and porogenic solvent. Scanning electron microscopy (SEM) and chromatographic analyses were performed for the characterization studies of ANM monoliths. The ANM monolith produced more than 46.220 plates/m, and the chromatographic evaluation of the optimized ANM monolith was carried out using homologous alkylbenzenes (ABs) and polyaromatic hydrocarbons (PAHs), allowing both strong hydrophobic and π-π interactions. Run-to-run and column-to-column reproducibility values were found as <2.91% and 2.9–3.2%, respectively. The final monolith was used for biomolecule separation, including both three dipeptides, including Alanine-Tyrosine (Ala-Tyr), Glycine-Phenylalanine (Gly-Phe), and L-carnosine and five standard proteins, including ribonuclease A (RNase A), α-chymotrypsinogen (α-chym), lysozyme (Lys), cytochrome C (Cyt C), and myoglobin (Mb) in order to evaluate its potential. Both peptides and proteins were baseline separated using the developed ANM monolith in nano-LC. The ANM monolith was then applied to the protein and peptide profiling of MCF-7 cell line, which allowed a high-resolution analysis of peptides, providing a high peak capacity. Full article
(This article belongs to the Section Materials Science)
Show Figures

Figure 1

24 pages, 12219 KB  
Article
Ionogels in Aqueous Media: From Conductometric Probing of the Ionic Liquid Washout to the Design of More Stable Materials
by Sergei Yu. Kottsov, Alexandra O. Badulina, Vladimir K. Ivanov, Alexander E. Baranchikov, Aleksey V. Nelyubin, Nikolay P. Simonenko, Nikita A. Selivanov, Marina E. Nikiforova and Aslan Yu. Tsivadze
ChemEngineering 2024, 8(6), 111; https://doi.org/10.3390/chemengineering8060111 - 1 Nov 2024
Cited by 4 | Viewed by 2928
Abstract
Although the most promising applications of ionogels require their contact with aqueous media, few data are available on the stability of ionogels upon exposure to water. In this paper, a simple, easy-to-setup and precise method is presented, which was developed based on the [...] Read more.
Although the most promising applications of ionogels require their contact with aqueous media, few data are available on the stability of ionogels upon exposure to water. In this paper, a simple, easy-to-setup and precise method is presented, which was developed based on the continuous conductivity measurements of an aqueous phase, to study the washout of imidazolium ionic liquids (IL) from various silica-based ionogels immersed in water. The accuracy of the method was verified using HPLC, its reproducibility was confirmed, and its systematic errors were estimated. The experimental data show the rapid and almost complete (>90% in 5 h) washout of the hydrophilic IL (1-butyl-3-methylimidazolium dicyanamide) from the TMOS-derived silica ionogel. To lower the rate and degree of washout, several approaches were analysed, including decreasing IL content in ionogels, using ionogels in a monolithic form instead of a powder, constructing ionogels by gelation of silica in an ionic liquid, ageing ionogels after sol–gel synthesis and constructing ionogels from both hydrophobic IL and hydrophobic silica. All these approaches inhibited IL washout; the lowest level of washout achieved was ~14% in 24 h. Insights into the ionogels’ structure and composition, using complementary methods (XRD, TGA, FTIR, SEM, NMR and nitrogen adsorption), revealed the washout mechanism, which was shown to be governed by three main processes: the diffusion of (1) IL and (2) water, and (3) IL dissolution in water. Washout was shown to follow pseudo-second-order kinetics, with the kinetic constants being in the range of 0.007–0.154 mol−1·s−1. Full article
Show Figures

Figure 1

17 pages, 2415 KB  
Article
Vacuum-Assisted MonoTrapTM Extraction for Volatile Organic Compounds (VOCs) Profiling from Hot Mix Asphalt
by Stefano Dugheri, Giovanni Cappelli, Niccolò Fanfani, Donato Squillaci, Ilaria Rapi, Lorenzo Venturini, Chiara Vita, Riccardo Gori, Piero Sirini, Domenico Cipriano, Mieczyslaw Sajewicz and Nicola Mucci
Molecules 2024, 29(20), 4943; https://doi.org/10.3390/molecules29204943 - 18 Oct 2024
Cited by 3 | Viewed by 1388
Abstract
MonoTrapTM was introduced in 2009 as a novel miniaturized configuration for sorptive sampling. The method for the characterization of volatile organic compound (VOC) emission profiles from hot mix asphalt (HMA) consisted of a two-step procedure: the analytes, initially adsorbed into the coating [...] Read more.
MonoTrapTM was introduced in 2009 as a novel miniaturized configuration for sorptive sampling. The method for the characterization of volatile organic compound (VOC) emission profiles from hot mix asphalt (HMA) consisted of a two-step procedure: the analytes, initially adsorbed into the coating in no vacuum- or vacuum-assistance mode, were then analyzed following an automated thermal desorption (TD) step. We took advantage of the theoretical formulation to reach some conclusions on the relationship between the physical characteristics of the monolithic material and uptake rates. A total of 35 odor-active volatile compounds, determined by gas chromatography-mass spectrometry/olfactometry analysis, contributed as key odor compounds for HMA, consisting mainly of aldehydes, alcohols, and ketones. Chemometric analysis revealed that MonoTrapTM RGC18-TD was the better coating in terms of peak area and equilibrium time. A comparison of performance showed that Vac/no-Vac ratios increased, about an order of magnitude, as the boiling point of target analytes increased. The innovative hybrid adsorbent of silica and graphite carbon monolith technology, having a large surface area bonded with octadecylsilane, showed effective adsorption capability, especially to polar compounds. Full article
(This article belongs to the Special Issue Applications of Solid-Phase Microextraction and Related Techniques)
Show Figures

Figure 1

14 pages, 3767 KB  
Article
Scaling of Average Power in All-Fiber Side-Pumped Sub-MW Peak Power ps-Pulses Yb-Doped Tapered Amplifier
by Egor K. Mikhailov, Andrey E. Levchenko, Vladimir V. Velmiskin, Tatiana S. Zaushitsyna, Mikhail M. Bubnov, Denis S. Lipatov, Andrey V. Shirmankin, Vladimir A. Kamynin and Mikhail E. Likhachev
Photonics 2024, 11(10), 915; https://doi.org/10.3390/photonics11100915 - 27 Sep 2024
Cited by 1 | Viewed by 1524
Abstract
In this study, we explored the potential for average power scaling in a monolithic side-counter-pumped combiner based on Yb-doped tapered fibers. The optimal configuration of the pump-feeding fibers was determined through experiments with passive signal fibers. It is shown that pump coupling efficiencies [...] Read more.
In this study, we explored the potential for average power scaling in a monolithic side-counter-pumped combiner based on Yb-doped tapered fibers. The optimal configuration of the pump-feeding fibers was determined through experiments with passive signal fibers. It is shown that pump coupling efficiencies higher than 83% can be achieved for fibers coated with low-index polymer with a numerical aperture (NA) around 0.45 and more than 74% for fibers with second cladding made of F-doped silica (NA ~ 0.26) for pump power up to 100 W. It was shown that the main factor significantly reducing the pump-to-signal conversion efficiency in the developed monolithic Yb-doped tapered fiber amplifiers is the pump leakage due to the decrease of the first cladding diameter along the tapered fiber and the corresponding increase of the pump NA (which becomes higher than the NA of the first cladding). A solution to this problem based on a narrowing diameter at the output end of the tapered fiber was proposed and realized. The record-high average power of 41 W, with a coupling efficiency of 77.7%, was demonstrated in a monolithic amplifier with a threshold of nonlinear effects of more than 600 kW (for ps pulses). Prospects for further power scaling in all-fiber sub-MW peak power amplifiers are discussed. Full article
(This article belongs to the Special Issue Photonic Crystals: Physics and Devices, 2nd Edition)
Show Figures

Figure 1

11 pages, 8368 KB  
Article
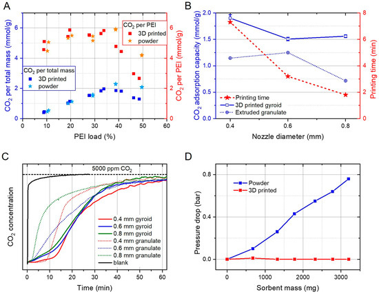
CO2 Capture with Polyethylenimine Supported on 3D-Printed Porous SiO2 Structures
by René Wick-Joliat, Florian B. Weisshar, Michal Gorbar, Daniel M. Meier and Dirk Penner
Materials 2024, 17(12), 2913; https://doi.org/10.3390/ma17122913 - 14 Jun 2024
Cited by 5 | Viewed by 2523
Abstract
Amines supported on porous solid materials have a high CO2 adsorption capacity and low regeneration temperature. However, the high amine load on such substrates and the substrate itself may lead to substantial pressure drop across the reactor. Herein, we compare the CO [...] Read more.
Amines supported on porous solid materials have a high CO2 adsorption capacity and low regeneration temperature. However, the high amine load on such substrates and the substrate itself may lead to substantial pressure drop across the reactor. Herein, we compare the CO2 adsorption capacity and pressure drop of fumed silica powder to 3D-printed monolithic fumed silica structures, both functionalized by polyethylenimine (PEI), and find a drastically reduced pressure drop for 3D-printed substrates (0.01 bar vs. 0.76 bar) in the sorption bed with equal CO2 adsorption capacity. Furthermore, the effect of 3D-printing nozzle diameter and PEI loading on the adsorption capacity are investigated and the highest capacities (2.0 mmol/g at 25 °C with 5000 ppm CO2) are achieved with 0.4 mm nozzle size and 34 wt% PEI loading. These high capacities are achieved since the 3D printing and subsequent sintering (700 °C) of monolithic samples does not compromise the surface area of the fumed silica. Finally, the comparison between 3D-printed monoliths and extruded granulate of varying diameter reveals that the ordered channel system of 3D-printed structures is superior to randomly oriented granulate in terms of CO2 adsorption capacity. Full article
Show Figures

Graphical abstract

12 pages, 5990 KB  
Article
Photocell-Based Optofluidic Device for Clogging-Free Cell Transit Time Measurements
by Filippo Storti, Silvio Bonfadini, Gaia Bondelli, Vito Vurro, Guglielmo Lanzani and Luigino Criante
Biosensors 2024, 14(4), 154; https://doi.org/10.3390/bios14040154 - 24 Mar 2024
Cited by 1 | Viewed by 2183
Abstract
Measuring the transit time of a cell forced through a bottleneck is one of the most widely used techniques for the study of cell deformability in flow. It in turn provides an accessible and rapid way of obtaining crucial information regarding cell physiology. [...] Read more.
Measuring the transit time of a cell forced through a bottleneck is one of the most widely used techniques for the study of cell deformability in flow. It in turn provides an accessible and rapid way of obtaining crucial information regarding cell physiology. Many techniques are currently being investigated to reliably retrieve this time, but their translation to diagnostic-oriented devices is often hampered by their complexity, lack of robustness, and the bulky external equipment required. Herein, we demonstrate the benefits of coupling microfluidics with an optical method, like photocells, to measure the transit time. We exploit the femtosecond laser irradiation followed by chemical etching (FLICE) fabrication technique to build a monolithic 3D device capable of detecting cells flowing through a 3D non-deformable constriction which is fully buried in a fused silica substrate. We validated our chip by measuring the transit times of pristine breast cancer cells (MCF-7) and MCF-7 cells treated with Latrunculin A, a drug typically used to increase their deformability. A difference in transit times can be assessed without the need for complex external instrumentation and/or demanding computational efforts. The high throughput (4000–10,000 cells/min), ease of use, and clogging-free operation of our device bring this approach much closer to real scenarios. Full article
(This article belongs to the Special Issue Microfluidic Chips for Life Science and Health Care Applications)
Show Figures

Figure 1

16 pages, 4003 KB  
Article
3D-Printed Monoliths Based on Cu-Exchanged SSZ-13 as Catalyst for SCR of NOx
by Elisabetta M. Cepollaro, Stefano Cimino, Marco D’Agostini, Nicola Gargiulo, Giorgia Franchin and Luciana Lisi
Catalysts 2024, 14(1), 85; https://doi.org/10.3390/catal14010085 - 19 Jan 2024
Cited by 3 | Viewed by 2610
Abstract
Monoliths manufactured by Direct Ink Writing containing 60% SSZ-13 (SiO2/Al2O3 = 23) and SiO2 with 10% laponite as a binder were investigated as self-standing structured catalysts for NH3-SCR of NOx after a short (4 [...] Read more.
Monoliths manufactured by Direct Ink Writing containing 60% SSZ-13 (SiO2/Al2O3 = 23) and SiO2 with 10% laponite as a binder were investigated as self-standing structured catalysts for NH3-SCR of NOx after a short (4 h) and prolonged (24 h) ion exchange with copper and then compared with pure SSZ-13 exchanged under the same conditions. The catalysts were characterized by morphological (XRD and SEM), textural (BET and pore size distribution), chemical (ICP-MS), red-ox (H2-TPR), and surface (NH3-TPD) analyses. The silica-based binder uniformly covered the SSZ-13 particles, and copper was uniformly distributed as well. The main features of the pure Cu-exchanged SSZ-13 zeolite were preserved in the composite monoliths with a negligible contribution of the binder fraction. NH3-SCR tests, carried out on both monolithic and powdered samples in the temperature range of 70–550 °C, showed that composite monoliths provided very good activity, and that the intrinsic activity of SSZ-13 was enhanced by the hierarchical structure of the composite material. Full article
Show Figures

Graphical abstract

12 pages, 5957 KB  
Article
Insight into Structural and Physicochemical Properties of ZrO2-SiO2 Monolithic Catalysts with Hierarchical Pore Structure: Effect of Zirconium Precursor
by Katarzyna Maresz, Agnieszka Ciemięga, Patryk Bezkosty, Kamil Kornaus, Maciej Sitarz, Maciej Krzywiecki and Julita Mrowiec-Białoń
Catalysts 2023, 13(12), 1516; https://doi.org/10.3390/catal13121516 - 16 Dec 2023
Cited by 2 | Viewed by 2011
Abstract
Zirconia–silica monolithic catalysts with hierarchical micro/macroporous structure were obtained in a sol-gel process combined with phase separation using inorganic salts, i.e., oxychloride, oxynitrate and sulphate, as a zirconium source. It was found that the use of zirconium oxychloride and prehydrolysis of tetraethoxysilane (TEOS) [...] Read more.
Zirconia–silica monolithic catalysts with hierarchical micro/macroporous structure were obtained in a sol-gel process combined with phase separation using inorganic salts, i.e., oxychloride, oxynitrate and sulphate, as a zirconium source. It was found that the use of zirconium oxychloride and prehydrolysis of tetraethoxysilane (TEOS) resulted in materials characterized by a well-developed continuous structure of macropores with a diameter of ca. 10 μm. For zirconium oxynitrate and sulfate modified materials, the prehydrolysis hardly affected the macropore size. The micropores with a diameter of 1.5 nm in the skeleton of all materials provided a large surface area of 550–590 m2/g. A high dispersion of zirconia in the silica skeleton in all studied materials was shown. However, the largest surface concentration of Lewis and Brönsted acid sites was found in the monolith synthesized with zirconium oxychloride. The monoliths were used as a core for continuous-flow microreactors and high catalytic activity was confirmed in the deacetalization of benzylaldehyde dimethyl acetal. The process was characterized by a high efficiency at low temperature, i.e., 35 °C. Full article
Show Figures

Figure 1

15 pages, 3388 KB  
Article
Experimental Study of Drilling Damage Outcomes in Hybrid Composites with Waste Micro-Inclusions
by Luis M. P. Durão, João E. Matos, João Alves, Sérgio Moni Ribeiro Filho, Túlio H. Panzera and Fabrizio Scarpa
Materials 2023, 16(23), 7325; https://doi.org/10.3390/ma16237325 - 24 Nov 2023
Cited by 3 | Viewed by 1787
Abstract
Composite materials are used in a substantial number of products. Environmental concerns highlight the need for the inclusion of recovered waste in their formulation, thus reducing their carbon footprint. These solutions raise the need to confirm the mechanical characteristics of these materials, avoiding [...] Read more.
Composite materials are used in a substantial number of products. Environmental concerns highlight the need for the inclusion of recovered waste in their formulation, thus reducing their carbon footprint. These solutions raise the need to confirm the mechanical characteristics of these materials, avoiding unwanted failures. In this work, the authors present an experimental study on the drilling effects on fibrous–particulate hybrid composites made of glass/carbon fabrics and three different micro-inclusions: silica particles, recycled carbon fibre powder and cement. The mechanical features of the plates are confirmed by thrust force monitoring during drilling and by flexural testing. The range of results confirm the mechanical outcomes due to machining. The plates with monolithic carbon fabric or with carbon fabric plies in the outer plies returned higher mechanical characteristics. The plates with micro-inclusions had enhanced the flexural strength by 23% and 10%, in 40% and 60% fabric plates, respectively. The results demonstrate that the use of alternative formulations with micro-inclusions from recovered waste can contribute both to the reduction of the mechanical degradation of drilled hybrid composites and to environmental purposes by avoiding the increase in landfill waste. Full article
Show Figures

Figure 1

Back to TopTop