Ionogels in Aqueous Media: From Conductometric Probing of the Ionic Liquid Washout to the Design of More Stable Materials
Abstract
1. Introduction
2. Materials and Methods
2.1. Reagents
- 1-butyl-3-methylimidazolium dicyanamide (BMIm DCA, 97%);
- 1-ethyl-3-methylimidazolium bis(trifluoromethylsulfonyl)imide (EMIm TFSI, 97%);
- 1-butyl-3-methylimidazolium bis(trifluoromethylsulfonyl)imide (BMIm TFSI, 98%);
- 1-methyl-3-octylimidazolium bis(trifluoromethylsulfonyl)imide (OMIm TFSI, 97%).
2.2. Preparation of Ionogels
2.3. Conductometry Assessment of the Washout of Ionic Liquids
3. Results and Discussion
3.1. Conductometric Measurements of Ionic Liquids Washout
3.2. Approaches to Inhibit IL Washout: Method for Ionogel Preparation and the IL Content
3.3. Approaches to Inhibit IL Washout: Hydrophobisation
3.3.1. Characterisation of the as Prepared Ionogels
3.3.2. Changes in the Composition and Structure of Ionogels upon Washout
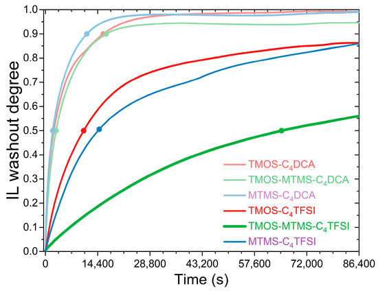
3.3.3. The IL Washout from the Ionogels with Different Hydrophobicity
3.3.4. The Role of the Microstructure of the Silica Matrix on the IL Washout Rate from Ionogels
3.3.5. The Washout of ILs with Different Alkyl Chain Lengths
3.4. The Mechanism and Kinetics of ILs Washout
4. Conclusions
Supplementary Materials
Author Contributions
Funding
Data Availability Statement
Acknowledgments
Conflicts of Interest
References
- Singh, S.K.; Savoy, A.W. Ionic liquids synthesis and applications: An overview. J. Mol. Liq. 2020, 297, 112038. [Google Scholar] [CrossRef]
- Plechkova, N.V.; Seddon, K.R. Applications of ionic liquids in the chemical industry. Chem. Soc. Rev. 2008, 37, 123–150. [Google Scholar] [CrossRef] [PubMed]
- Nancarrow, P.; Al-Othman, A.; Mital, D.K.; Döpking, S. Comprehensive analysis and correlation of ionic liquid conductivity data for energy applications. Energy 2021, 220, 119761. [Google Scholar] [CrossRef]
- Armand, M.; Endres, F.; MacFarlane, D.R.; Ohno, H.; Scrosati, B. Ionic-liquid materials for the electrochemical challenges of the future. Nat. Mater. 2009, 8, 621–629. [Google Scholar] [CrossRef]
- Najafabadi, M.S.; Lay, E.N. An empirical correlation for predicting vapor pressure of ionic liquids. J. Ion. Liq. 2022, 2, 100035. [Google Scholar] [CrossRef]
- Chen, Y.; Han, X.; Liu, Z.; Li, Y.; Sun, H.; Wang, H.; Wang, J. Thermal decomposition and volatility of ionic liquids: Factors, evaluation and strategies. J. Mol. Liq. 2022, 366, 120336. [Google Scholar] [CrossRef]
- Welton, T. Room-Temperature Ionic Liquids. Solvents for Synthesis and Catalysis. Chem. Rev. 1999, 99, 2071–2084. [Google Scholar] [CrossRef]
- Sowbhagyam, D.V. Ionic Liquids as Green Solvents: A Comprehensive Review. Int. Res. J. Adv. Eng. Hub 2024, 2, 220–224. [Google Scholar] [CrossRef]
- Wang, J.; Xu, L.; Jia, G.; Du, J. Challenges and Opportunities of Ionic Liquid Electrolytes for Rechargeable Batteries. Cryst. Growth Des. 2022, 22, 5770–5784. [Google Scholar] [CrossRef]
- Vekariya, R.L. A review of ionic liquids: Applications towards catalytic organic transformations. J. Mol. Liq. 2017, 227, 44–60. [Google Scholar] [CrossRef]
- Kottsov, S.Y.; Voshkin, A.A.; Baranchikov, A.E.; Fatyushina, E.V.; Levina, A.V.; Badulina, A.O.; Arhipenko, A.A.; Nikiforova, M.E.; Ivanov, V.K. Aliquat 336@SiO2 ionogels: Synthesis of, and insight into, iron(III) extraction mechanisms. J. Mol. Liq. 2024, 399, 124354. [Google Scholar] [CrossRef]
- Ventura, S.P.M.; e Silva, F.A.; Quental, M.V.; Mondal, D.; Freire, M.G.; Coutinho, J.A.P. Ionic-Liquid-Mediated Extraction and Separation Processes for Bioactive Compounds: Past, Present, and Future Trends. Chem. Rev. 2017, 117, 6984–7052. [Google Scholar] [CrossRef] [PubMed]
- Waheed, S.; Ahmed, A.; Abid, M.; Mufti, R.A.; Ferreira, F.; Bashir, M.N.; Shah, A.U.R.; Jafry, A.T.; Zulkifli, N.W.; Fattah, I.M.R. Ionic liquids as lubricants: An overview of recent developments. J. Mol. Struct. 2024, 1301, 137307. [Google Scholar] [CrossRef]
- Gonçalves, A.R.P.; Paredes, X.; Cristino, A.F.; Santos, F.J.V.; Queirós, C.S.G.P. Ionic Liquids—A Review of Their Toxicity to Living Organisms. Int. J. Mol. Sci. 2021, 22, 5612. [Google Scholar] [CrossRef]
- De Jesus, S.S.; Maciel Filho, R. Are ionic liquids eco-friendly? Renew. Sustain. Energy Rev. 2022, 157, 112039. [Google Scholar] [CrossRef]
- Ranke, J.; Othman, A.; Fan, P.; Müller, A. Explaining Ionic Liquid Water Solubility in Terms of Cation and Anion Hydrophobicity. Int. J. Mol. Sci. 2009, 10, 1271–1289. [Google Scholar] [CrossRef]
- Papaiconomou, N.; Yakelis, N.; Salminen, J.; Bergman, R.; Prausnitz, J.M. Synthesis and Properties of Seven Ionic Liquids Containing 1-Methyl-3-octylimidazolium or 1-Butyl-4-methylpyridinium Cations. J. Chem. Eng. Data 2006, 51, 1389–1393. [Google Scholar] [CrossRef]
- Zhou, J.; Sui, H.; Jia, Z.; Yang, Z.; He, L.; Li, X. Recovery and purification of ionic liquids from solutions: A review. RSC Adv. 2018, 8, 32832–32864. [Google Scholar] [CrossRef]
- Fan, X.; Liu, S.; Jia, Z.; Koh, J.J.; Yeo, J.C.C.; Wang, C.-G.G.; Surat’man, N.E.; Loh, X.J.; Le Bideau, J.; He, C.; et al. Ionogels: Recent advances in design, material properties and emerging biomedical applications. Chem. Soc. Rev. 2023, 52, 2497–2527. [Google Scholar] [CrossRef]
- Zhao, Y.; Gan, D.; Wang, L.; Wang, S.; Wang, W.; Wang, Q.; Shao, J.; Dong, X. Ultra-Stretchable, Adhesive, and Anti-Swelling Ionogel Based on Fluorine-Rich Ionic Liquid for Underwater Reliable Sensor. Adv. Mater. Technol. 2023, 8, 2201566. [Google Scholar] [CrossRef]
- Huang, C.; Jia, X.; Wang, D.; Sun, X.; Liang, Q.; Tian, R.; Guo, L.; Yang, J.; Song, H. Stretchable ionogels: Recent advances in design, toughening mechanisms, material properties and wearable devices applications. Chem. Eng. J. 2024, 490, 151850. [Google Scholar] [CrossRef]
- Zhang, M.; Tao, X.; Yu, R.; He, Y.; Li, X.; Chen, X.; Huang, W. Self-healing, mechanically robust, 3D printable ionogel for highly sensitive and long-term reliable ionotronics. J. Mater. Chem. A 2022, 10, 12005–12015. [Google Scholar] [CrossRef]
- Li, H.; Xu, F.; Li, Y.; Sun, J. Self-Healing Ionogel-Enabled Self-Healing and Wide-Temperature Flexible Zinc-Air Batteries with Ultra-Long Cycling Lives. Adv. Sci. 2024, 11, 2402193. [Google Scholar] [CrossRef] [PubMed]
- Alekseeva, O.V.; Shibaeva, V.D.; Noskov, A.V.; Ivanov, V.K.; Agafonov, A.V. Enhancing the Thermal Stability of Ionogels: Synthesis and Properties of Triple Ionic Liquid/Halloysite/MCC Ionogels. Molecules 2021, 26, 6198. [Google Scholar] [CrossRef]
- Alekseeva, O.V.; Shibaeva, V.D.; Noskov, A.V.; Agafonov, A.V. Phase transitions and thermal stability of ionic liquids entrapped in aluminosilicates. J. Mol. Liq. 2024, 405, 125086. [Google Scholar] [CrossRef]
- Zhao, Y.; Wang, F.; Liu, J.; Gan, D.; Lei, B.; Shao, J.; Wang, W.; Wang, Q.; Dong, X. Underwater Self-Healing and Recyclable Ionogel Sensor for Physiological Signal Monitoring. ACS Appl. Mater. Interfaces 2023, 15, 28664–28674. [Google Scholar] [CrossRef]
- Yu, Z.; Wu, P. Underwater Communication and Optical Camouflage Ionogels. Adv. Mater. 2021, 33, 2008479. [Google Scholar] [CrossRef]
- Hu, A.; Liu, C.; Cui, Z.; Cong, Z.; Niu, J. Wearable Sensors Adapted to Extreme Environments Based on the Robust Ionogel Electrolytes with Dual Hydrogen Networks. ACS Appl. Mater. Interfaces 2022, 14, 12713–12721. [Google Scholar] [CrossRef]
- Li, W.; Lin, K.; Chen, L.; Yang, D.; Ge, Q.; Wang, Z. Self-Powered Wireless Flexible Ionogel Wearable Devices. ACS Appl. Mater. Interfaces 2023, 15, 14768–14776. [Google Scholar] [CrossRef]
- Rizzo, C.; Andrews, J.L.; Steed, J.W.; D’Anna, F. Carbohydrate-supramolecular gels: Adsorbents for chromium(VI) removal from wastewater. J. Colloid Interface Sci. 2019, 548, 184–196. [Google Scholar] [CrossRef]
- Marullo, S.; Rizzo, C.; Dintcheva, N.T.; Giannici, F.; D’Anna, F. Ionic liquids gels: Soft materials for environmental remediation. J. Colloid Interface Sci. 2018, 517, 182–193. [Google Scholar] [CrossRef] [PubMed]
- Marullo, S.; D’Anna, F. How Ionic Liquid Gels Work on the Removal of Bisphenol A from Wastewater. ACS Mater. Au 2023, 3, 112–122. [Google Scholar] [CrossRef] [PubMed]
- Kang, B.; Gao, M.; Zhao, R.; Zhao, Z.; Song, S. Multi-environmentally stable and underwater adhesive DNA ionogels enabling flexible strain sensor. Polymer 2023, 272, 125844. [Google Scholar] [CrossRef]
- Xu, L.; Huang, Z.; Deng, Z.; Du, Z.; Sun, T.L.; Guo, Z.; Yue, K. A Transparent, Highly Stretchable, Solvent-Resistant, Recyclable Multifunctional Ionogel with Underwater Self-Healing and Adhesion for Reliable Strain Sensors. Adv. Mater. 2021, 33, 2105306. [Google Scholar] [CrossRef] [PubMed]
- Benito-Lopez, F.; Antoñana-Díez, M.; Curto, V.F.; Diamond, D.; Castro-López, V. Modular microfluidic valve structures based on reversible thermoresponsive ionogel actuators. Lab Chip 2014, 14, 3530–3538. [Google Scholar] [CrossRef]
- Catalan-Carrio, R.; Saez, J.; Fernández Cuadrado, L.Á.; Arana, G.; Basabe-Desmonts, L.; Benito-Lopez, F. Ionogel-based hybrid polymer-paper handheld platform for nitrite and nitrate determination in water samples. Anal. Chim. Acta 2022, 1205, 339753. [Google Scholar] [CrossRef]
- Akyazi, T.; Saez, J.; Elizalde, J.; Benito-Lopez, F. Fluidic flow delay by ionogel passive pumps in microfluidic paper-based analytical devices. Sens. Actuators B Chem. 2016, 233, 402–408. [Google Scholar] [CrossRef]
- Saez, J.; Catalan-Carrio, R.; Owens, R.M.; Basabe-Desmonts, L.; Benito-Lopez, F. Microfluidics and materials for smart water monitoring: A review. Anal. Chim. Acta 2021, 1186, 338392. [Google Scholar] [CrossRef]
- Kuddushi, M.; Xu, B.B.; Malek, N.; Zhang, X. Review of ionic liquid and ionogel-based biomaterials for advanced drug delivery. Adv. Colloid Interface Sci. 2024, 331, 103244. [Google Scholar] [CrossRef]
- Boudesocque, S.; Viau, L.; Dupont, L. Selective Cobalt over Nickel separation using neat and confined ionic liquids. J. Environ. Chem. Eng. 2020, 8, 104319. [Google Scholar] [CrossRef]
- Horowitz, A.I.; Wang, Y.; Panzer, M.J. Reclamation and reuse of ionic liquids from silica-based ionogels using spontaneous water-driven separation. Green Chem. 2013, 15, 3414. [Google Scholar] [CrossRef]
- Huang, T.-Y.; Ho, J.S.; Goh, S.; Chong, T.H. Ethanol recovery from dilute aqueous solution by perstraction using supported ionic liquid membrane (SILM). J. Clean. Prod. 2021, 298, 126811. [Google Scholar] [CrossRef]
- Jean, E.; Villemin, D.; Hlaibi, M.; Lebrun, L. Heavy metal ions extraction using new supported liquid membranes containing ionic liquid as carrier. Sep. Purif. Technol. 2018, 201, 1–9. [Google Scholar] [CrossRef]
- Kottsov, S.Y.; Badulina, A.O.; Trufanova, E.A.; Taran, G.S.; Baranchikov, A.E.; Nelubin, A.V.; Malkova, A.N.; Nikoforova, M.E.; Lermontov, S.A.; Ivanov, V.K. Stability of Ionogels in Contact with Water: Influence of Polymer Matrix Hydrophobicity and Ionic Liquid Solubility. Colloid J. 2024, 86. [Google Scholar] [CrossRef]
- Yang, H.; Li, C.; Tang, J. Soft elastomer coatings for ionogels. Extrem. Mech. Lett. 2022, 54, 101761. [Google Scholar] [CrossRef]
- Nicola, H.; Schubert, U.; Hüsing, N.; Schubert, U. Aerogels—Airy Materials: Chemistry, Structure, and Properties. Angew. Chem. Int. Ed. 1998, 37, 22–45. [Google Scholar] [CrossRef]
- Brinker, C.J.; Scherer, G.W.; Schaefer, D.; Assink, B.; Kay, B.; Keefer, K.; Ashley, C. Sol-Gel Science: The Physics and Chemistry of Sol-Gel Processing; Academic Press: New York, NY, USA, 1990; Volume 19901, pp. 47–64. [Google Scholar]
- Pierre, A.C. Introduction to Sol-Gel Processing; Springer International Publishing: Cham, Switzerland, 2020; ISBN 978-3-030-38143-1. [Google Scholar]
- Zec, N.; Bešter-Rogač, M.; Marolt, G.; Vraneš, M.; Gadžurić, S. Electrical and electrochemical behavior of [bmim][DCA] + γ-butyrolactone electrolyte. J. Chem. Thermodyn. 2016, 101, 293–299. [Google Scholar] [CrossRef]
- Waryo, T.T.; Qwesha, S.; Baker, P.G.; Iwuoha, E.I. Electrode Material Properties and Modelling of 1-Methyl-3-octylimmidazolium bis(trifluoromethylsulfonyl)imide Ionic Liquid/Paraffin Carbon Pastes. Int. J. Electrochem. Sci. 2016, 11, 4410–4426. [Google Scholar] [CrossRef]
- Rouquerol, J.; Llewellyn, P.; Rouquerol, F. Is the bet equation applicable to microporous adsorbents? Stud. Surf. Sci. Catal. 2007, 160, 49–56. [Google Scholar] [CrossRef]
- Thommes, M.; Kaneko, K.; Neimark, A.V.; Olivier, J.P.; Rodriguez-Reinoso, F.; Rouquerol, J.; Sing, K.S.W. Physisorption of gases, with special reference to the evaluation of surface area and pore size distribution (IUPAC Technical Report). Pure Appl. Chem. 2015, 87, 1051–1069. [Google Scholar] [CrossRef]
- Iacomi, P.; Llewellyn, P.L. pyGAPS: A Python-based framework for adsorption isotherm processing and material characterisation. Adsorption 2019, 25, 1533–1542. [Google Scholar] [CrossRef]
- Stepnowski, P.; Müller, A.; Behrend, P.; Ranke, J.; Hoffmann, J.; Jastorff, B. Reversed-phase liquid chromatographic method for the determination of selected room-temperature ionic liquid cations. J. Chromatogr. A 2003, 993, 173–178. [Google Scholar] [CrossRef]
- Kaszyńska, J.; Rachocki, A.; Bielejewski, M.; Tritt-Goc, J. Influence of cellulose gel matrix on BMIMCl ionic liquid dynamics and conductivity. Cellulose 2017, 24, 1641–1655. [Google Scholar] [CrossRef]
- Studzińska, S.; Buszewski, B. Study of retention mechanism of imidazolium-based ionic liquids in HPLC. J. Sep. Sci. 2010, 33, 1264–1273. [Google Scholar] [CrossRef]
- Pierre, A.C.; Pajonk, G.M. Chemistry of Aerogels and Their Applications. Chem. Rev. 2002, 102, 4243–4266. [Google Scholar] [CrossRef]
- Klein, L. Handbook of zeolite science and technology. Focus Catal. 2004, 2004, 8. [Google Scholar] [CrossRef]
- Weissmüller, J.; Duan, H.-L.; Farkas, D. Deformation of solids with nanoscale pores by the action of capillary forces. Acta Mater. 2010, 58, 1–13. [Google Scholar] [CrossRef]
- Manasa, C.; Basavanna, V.; Ningaiah, S. Ionic Liquid-Based Hybrid Materials: Ionogel Review. Biointerface Res. Appl. Chem. 2022, 13, 391. [Google Scholar] [CrossRef]
- Wan, X.; He, Y.; Xu, Z.; Li, C.; Yang, C. Progress of Hydrophobic Ionogels: A Review. Macromol. Rapid Commun. 2023, 44, 2200957. [Google Scholar] [CrossRef]
- Abolghasemi Mahani, A.; Motahari, S.; Mohebbi, A. Sol-gel derived flexible silica aerogel as selective adsorbent for water decontamination from crude oil. Mar. Pollut. Bull. 2018, 129, 438–447. [Google Scholar] [CrossRef]
- Malfait, W.J.; Zhao, S.; Verel, R.; Iswar, S.; Rentsch, D.; Fener, R.; Zhang, Y.; Milow, B.; Koebel, M.M. Surface Chemistry of Hydrophobic Silica Aerogels. Chem. Mater. 2015, 27, 6737–6745. [Google Scholar] [CrossRef]
- Yao, C.; Dong, X.; Gao, G.; Sha, F.; Xu, D. Microstructure and Adsorption Properties of MTMS/TEOS Co-precursor Silica Aerogels Dried at Ambient Pressure. J. Non. Cryst. Solids 2021, 562, 120778. [Google Scholar] [CrossRef]
- Rodrigues, R.F.; Freitas, A.A.; Canongia Lopes, J.N.; Shimizu, K. Ionic Liquids and Water: Hydrophobicity vs. Hydrophilicity. Molecules 2021, 26, 7159. [Google Scholar] [CrossRef] [PubMed]
- Yee, P.; Shah, J.K.; Maginn, E.J. State of Hydrophobic and Hydrophilic Ionic Liquids in Aqueous Solutions: Are the Ions Fully Dissociated? J. Phys. Chem. B 2013, 117, 12556–12566. [Google Scholar] [CrossRef]
- Cheng, S. New Interpretation of X-ray Diffraction Pattern of Vitreous Silica. Ceramics 2021, 4, 83–96. [Google Scholar] [CrossRef]
- Vareda, J.P.; García-González, C.A.; Valente, A.J.M.M.; Simón-Vázquez, R.; Stipetic, M.; Durães, L. Insights on toxicity, safe handling and disposal of silica aerogels and amorphous nanoparticles. Environ. Sci. Nano 2021, 8, 1177–1195. [Google Scholar] [CrossRef]
- Ochoa, M.; Durães, L.; Beja, A.M.; Portugal, A. Study of the suitability of silica based xerogels synthesized using ethyltrimethoxysilane and/or methyltrimethoxysilane precursors for aerospace applications. J. Sol-Gel Sci. Technol. 2012, 61, 151–160. [Google Scholar] [CrossRef]
- Orel, B.; Ješe, R.; Vilčnik, A.; Štangar, U.L. Hydrolysis and Solvolysis of Methyltriethoxysilane Catalyzed with HCl or Trifluoroacetic Acid: IR Spectroscopic and Surface Energy Studies. J. Sol-Gel Sci. Technol. 2005, 34, 251–265. [Google Scholar] [CrossRef]
- Rocha, M.A.A.; Neves, C.M.S.S.; Freire, M.G.; Russina, O.; Triolo, A.; Coutinho, J.A.P.; Santos, L.M.N.B.F. Alkylimidazolium Based Ionic Liquids: Impact of Cation Symmetry on Their Nanoscale Structural Organization. J. Phys. Chem. B 2013, 117, 10889–10897. [Google Scholar] [CrossRef]
- Russina, O.; Lo Celso, F.; Plechkova, N.; Jafta, C.J.; Appetecchi, G.B.; Triolo, A. Mesoscopic organization in ionic liquids. Top. Curr. Chem. 2017, 375, 58. [Google Scholar] [CrossRef]
- Al-Oweini, R.; El-Rassy, H. Synthesis and characterization by FTIR spectroscopy of silica aerogels prepared using several Si(OR)4 and R″Si(OR′)3 precursors. J. Mol. Struct. 2009, 919, 140–145. [Google Scholar] [CrossRef]
- Paschoal, V.H.; Faria, L.F.O.; Ribeiro, M.C.C. Vibrational Spectroscopy of Ionic Liquids. Chem. Rev. 2017, 117, 7053–7112. [Google Scholar] [CrossRef] [PubMed]
- Brotton, S.J.; Lucas, M.; Jensen, T.N.; Anderson, S.L.; Kaiser, R.I. Spectroscopic Study on the Intermediates and Reaction Rates in the Oxidation of Levitated Droplets of Energetic Ionic Liquids by Nitrogen Dioxide. J. Phys. Chem. A 2018, 122, 7351–7377. [Google Scholar] [CrossRef] [PubMed]
- Liu, J.; Zhou, W.; Chambreau, S.D.; Vaghjiani, G.L. Molecular Dynamics Simulations and Product Vibrational Spectral Analysis for the Reactions of NO2 with 1-Ethyl-3-methylimidazolium Dicyanamide (BMIM+DCA−), 1-Butyl-3-methylimidazolium Dicyanamide (BMIM+DCA−), and 1-Allyl-3-methylimidazolium Dicya. J. Phys. Chem. B 2020, 124, 4303–4325. [Google Scholar] [CrossRef]
- Noack, K.; Schulz, P.S.; Paape, N.; Kiefer, J.; Wasserscheid, P.; Leipertz, A. The role of the C2 position in interionic interactions of imidazolium based ionic liquids: A vibrational and NMR spectroscopic study. Phys. Chem. Chem. Phys. 2010, 12, 14153. [Google Scholar] [CrossRef]
- Grishina, E.P.; Ramenskaya, L.M.; Kudryakova, N.O.; Vagin, K.V.; Kraev, A.S.; Agafonov, A.V. Composite nanomaterials based on 1-butyl-3-methylimidazolium dicianamide and clays. J. Mater. Res. Technol. 2019, 8, 4387–4398. [Google Scholar] [CrossRef]
- Elmahdy, M.M.; Fahmy, T.; Aldhafeeri, K.A.; Ibnouf, E.O.; Riadi, Y. Optical and antibacterial properties of 1-butyl-3-methylimidazolium ionic liquids with trifluoromethanesulfonate or tetrafluoroborate anion. Mater. Chem. Phys. 2021, 264, 124369. [Google Scholar] [CrossRef]
- Liu, Z.; El Abedin, S.Z.; Endres, F. Raman and FTIR Spectroscopic Studies of 1-Ethyl-3-methylimidazolium Trifluoromethylsulfonate, its Mixtures with Water and the Solvation of Zinc Ions. ChemPhysChem 2015, 16, 970–977. [Google Scholar] [CrossRef]
- Agafonov, A.V.; Kudryakova, N.O.; Ramenskaya, L.M.; Grishina, E.P. The confinement and anion type effect on the physicochemical properties of ionic liquid/halloysite nanoclay ionogels. Arab. J. Chem. 2020, 13, 9090–9104. [Google Scholar] [CrossRef]
- Cao, Y.; Mu, T. Comprehensive Investigation on the Thermal Stability of 66 Ionic Liquids by Thermogravimetric Analysis. Ind. Eng. Chem. Res. 2014, 53, 8651–8664. [Google Scholar] [CrossRef]
- Xu, C.; Cheng, Z. Thermal Stability of Ionic Liquids: Current Status and Prospects for Future Development. Processes 2021, 9, 337. [Google Scholar] [CrossRef]
- Ngo, H.L.; LeCompte, K.; Hargens, L.; McEwen, A.B. Thermal properties of imidazolium ionic liquids. Thermochim. Acta 2000, 357–358, 97–102. [Google Scholar] [CrossRef]
- Putz, A.-M.; Len, A.; Trif, L.; Horváth, Z.E.; Almásy, L. Imidazolium Ionic Liquids as Designer Solvents Confined in Silica Nanopores. Gels 2022, 8, 388. [Google Scholar] [CrossRef]
- Singh, M.P.; Verma, Y.L.; Gupta, A.K.; Singh, R.K.; Chandra, S. Changes in dynamical behavior of ionic liquid in silica nano-pores. Ionics 2014, 20, 507–516. [Google Scholar] [CrossRef]
- Huang, C.; Wikfeldt, K.T.; Nordlund, D.; Bergmann, U.; McQueen, T.; Sellberg, J.; Pettersson, L.G.M.; Nilsson, A. Wide-angle X-ray diffraction and molecular dynamics study of medium-range order in ambient and hot water. Phys. Chem. Chem. Phys. 2011, 13, 19997. [Google Scholar] [CrossRef]
- Kottsov, S.Y.; Shmelev, M.A.; Baranchikov, A.E.; Kiskin, M.A.; Sharipov, A.U.; Efimov, N.N.; Rubtsova, I.K.; Nikolaevskii, S.A.; Kopitsa, G.P.; Khamova, T.V.; et al. Aerogel-Based Single-Ion Magnets: A Case Study of a Cobalt(II) Complex Immobilized in Silica. Molecules 2023, 28, 418. [Google Scholar] [CrossRef]
- Lermontov, S.A.; Malkova, A.N.; Kolmakova, A.A.; Sipyagina, N.A.; Kottsov, S.Y.; Baranchikov, A.E.; Ivanova, O.S.; Kaplan, M.A.; Baikin, A.S.; Kolmakov, A.G.; et al. Comparative Analysis of Superhydrophobic Elastic Polymethylsilsesquioxane Aerogels Prepared at Atmospheric Pressure and under Supercritical Conditions. Russ. Metall. 2022, 2022, 1253–1259. [Google Scholar] [CrossRef]
- Li, Y.; Du, A.; Shen, J.; Zhang, Z.; Wu, G.; Zhou, B. Temperature dependence of dynamic mechanical behaviors in low density MTMS-derived silica aerogel. J. Porous Mater. 2018, 25, 1229–1235. [Google Scholar] [CrossRef]
- Nowak, B.; Bonora, M.; Zuzga, M.; Werner, Ł.; Jackiewicz-Zagórska, A.; Gac, J.M. MTMS-based aerogel structure deposition on polypropylene fibrous filter—Surface layer effect and distribution control for improvement of oil aerosol separation properties. J. Environ. Chem. Eng. 2022, 10, 108410. [Google Scholar] [CrossRef]
- Sun, M.; Wu, L.; Wang, Y.; Wang, X.; Liu, Q.; Li, M.; Li, Z. Preparation and characterization of hydrophilic methylsilsesquioxane aerogels through adjusting the water/ethanol ratio. J. Porous Mater. 2023, 30, 681–690. [Google Scholar] [CrossRef]
- Cui, J.; Lin, X.; Zhao, W.; Cummings, P.T.; Pruski, M.; Kobayashi, T. NMR and Theoretical Study of In-Pore Diffusivity of Ionic Liquid–Solvent Mixtures. J. Phys. Chem. B 2022, 126, 4889–4898. [Google Scholar] [CrossRef] [PubMed]
- Li, S.; Xia, X. Structure Heterogeneity in Ionic Liquids. In Encyclopedia of Ionic Liquids; Springer: Singapore, 2021; pp. 1–6. [Google Scholar]
- Bernardes, C.E.S.; Shimizu, K.; Lobo Ferreira, A.I.M.C.; Santos, L.M.N.B.F.; Canongia Lopes, J.N. Structure and Aggregation in the 1,3-Dialkyl-imidazolium Bis(trifluoromethylsulfonyl)imide Ionic Liquid Family: 2. From Single to Double Long Alkyl Side Chains. J. Phys. Chem. B 2014, 118, 6885–6895. [Google Scholar] [CrossRef] [PubMed]
- Lu, D.; Qin, M.; Liu, C.; Deng, J.; Shi, G.; Zhou, T. Ionic Liquid-Functionalized Magnetic Metal–Organic Framework Nanocomposites for Efficient Extraction and Sensitive Detection of Fluoroquinolone Antibiotics in Environmental Water. ACS Appl. Mater. Interfaces 2021, 13, 5357–5367. [Google Scholar] [CrossRef]
- Kamaruddin, N.A.L.; Taha, M.F.; Wilfred, C.D. Synthesis and Characterization of Novel Thiosalicylate-based Solid-Supported Ionic Liquid for Removal of Pb(II) Ions from Aqueous Solution. Molecules 2023, 28, 830. [Google Scholar] [CrossRef]
- Plazinski, W.; Dziuba, J.; Rudzinski, W. Modeling of sorption kinetics: The pseudo-second order equation and the sorbate intraparticle diffusivity. Adsorption 2013, 19, 1055–1064. [Google Scholar] [CrossRef]
- Cao, Y.; Chen, Y.; Sun, X.; Zhang, Z.; Mu, T. Water sorption in ionic liquids: Kinetics, mechanisms and hydrophilicity. Phys. Chem. Chem. Phys. 2012, 14, 12252. [Google Scholar] [CrossRef]
- Cao, Y.; Chen, Y.; Lu, L.; Xue, Z.; Mu, T. Water Sorption in Functionalized Ionic Liquids: Kinetics and Intermolecular Interactions. Ind. Eng. Chem. Res. 2013, 52, 2073–2083. [Google Scholar] [CrossRef]










| Sample Name | Method for the Synthesis of Ionogel | Porous Silica Composition, , mol.% | Ionic Liquid | IL Fraction, , mol.% |
|---|---|---|---|---|
| TMOS-C4DCA | Gelation in ionic liquid | 0 | BMIm DCA | 50 |
| TMOS-C4DCA-monolith | Impregnation of silica monolith | 0 | BMIm DCA | 50 |
| TMOS-C4DCA-powder | Impregnation of silica powder | 0 | BMIm DCA | 50 |
| TMOS-C4DCA-20% | Gelation in ionic liquid | 0 | BMIm DCA | 20 |
| TMOS-C4DCA-80% | Gelation in ionic liquid | 0 | BMIm DCA | 80 |
| TMOS-MTMS-C4DCA | Gelation in ionic liquid | 50 | BMIm DCA | 50 |
| MTMS-C4DCA | Gelation in ionic liquid | 100 | BMIm DCA | 50 |
| TMOS-C4TFSI | Gelation in ionic liquid | 0 | BMIm TFSI | 50 |
| TMOS-MTMS-C4TFSI | Gelation in ionic liquid | 50 | BMIm TFSI | 50 |
| MTMS-C4TFSI | Gelation in ionic liquid | 100 | BMIm TFSI | 50 |
| TMOS-MTMS-C2TFSI | Gelation in ionic liquid | 50 | EMIm TFSI | 50 |
| TMOS-MTMS-C8TFSI | Gelation in ionic liquid | 50 | OMIm TFSI | 50 |
| TMOS * | Gelation in methanol | 0 | – | 0 |
| TMOS-MTMS * | Gelation in methanol | 50 | – | 0 |
| MTMS * | Gelation in methanol | 10 | – | 0 |
| Sample | Sample Volume, V, cm3 | Apparent Density, ρapp, g·cm−3 | Skeletal Density, ρsk, g·cm−3 | Porosity, P, % | Water Contact Angle, θc, ° | Sample Weight m, g |
|---|---|---|---|---|---|---|
| Reference porous silica | ||||||
| TMOS | 0.75 ± 0.01 | 0.212 ± 0.004 | 2.105 ± 0.009 | 90 ± 2 | N/A * | 0.157 |
| TMOS-MTMS | 0.52 ± 0.01 | 0.331 ± 0.008 | 1.76 ± 0.02 | 81 ± 3 | 40 ± 4 | 0.173 |
| MTMS | 0.57 ± 0.02 | 0.287 ± 0.007 | 1.55 ± 0.01 | 82 ± 3 | 84 ± 10 | 0.164 |
| BMIm DCA ionogels, ρsk(IL) = 1.097 ± 0.002 g·cm−3 | ||||||
| TMOS-C4DCA | ||||||
| As prepared | 1.15 ± 0.03 | 1.07 ± 0.02 | 1.3 ± 0.1 | 22 ± 1 | 28 ± 1 | 1.169 |
| After washout | 0.94 ± 0.06 | 0.95 ± 0.07 | 1.168 ± 0.005 | 19 ± 1 | 31 ± 2 | 0.888 |
| TMOS-MTMS-C4DCA | ||||||
| As prepared | 0.66 ± 0.01 | 1.06 ± 0.02 | 1.38 ± 0.01 | 23 ± 1 | 40 ± 2 | 0.700 |
| After washout | 0.65 ± 0.01 | 1.00 ± 0.02 | 1.23 ± 0.01 | 19 ± 1 | 72 ± 5 | 0.654 |
| MTMS-C4DCA | ||||||
| As prepared | 0.67 ± 0.01 | 1.09 ± 0.02 | 1.285 ± 0.005 | 16 ± 1 | 75 ± 4 | 0.756 |
| After washout | 0.67 ± 0.01 | 0.97 ± 0.07 | 1.115 ± 0.005 | 13 ± 1 | 72 ± 6 | 0.820 |
| BMIm TFSI ionogels, ρsk(IL) = 1.476 ± 0.001 g·cm−3 | ||||||
| TMOS-C4TFSI | ||||||
| As prepared | 1.25 ± 0.03 | 1.25 ± 0.03 | 1.37 ± 0.01 | 13 ± 1 | 57 ± 7 | 1.495 |
| After washout | 1.14 ± 0.03 | 0.97 ± 0.03 | 1.34 ± 0.01 | 27 ± 1 | 27 ± 6 | 1.119 |
| TMOS-MTMS-C4TFSI | ||||||
| As prepared | 0.78 ± 0.01 | 1.40 ± 0.02 | 1.51 ± 0.01 | 9 ± 1 | 63 ± 1 | 1.103 |
| After washout ** | 0.43 ± 0.02 | 0.63 ± 0.03 | 1.86 ± 0.01 | 67 ± 4 | 73 ± 2 | 0.267 |
| MTMS-C4TFSI | ||||||
| As prepared | 1.50 ± 0.03 | 0.97 ± 0.03 | 1.313 ± 0.007 | 25 ± 1 | 83 ± 3 | 1.161 |
| After washout | 0.92 ± 0.04 | 0.90 ± 0.04 | 1.31 ± 0.09 | 31 ± 3 | 70 ± 8 | 0.833 |
| Sample | Weight Loss, % | Weight at 900 °C, % | IL/(IL + SiO2), mol.% | IL Washout Degree, % | |
|---|---|---|---|---|---|
| 30–100 °C | 200–700 °C | ||||
| Attribution | H2O and MeOH Evaporation | Decomposition of IL | SiO2 | ||
| TMOS-C4DCA | |||||
| As prepared | 14.4 | 63.7 | 20.0 | 48.2 | 91 |
| After washout | 79.1 | 2.7 | 17.9 | 4.2 | |
| TMOS-MTMS-C4DCA | |||||
| As prepared | 9.1 | 71.2 | 21.2 | 49.5 | 95 |
| After washout | 69.4 | 2.4 | 27.7 | 2.5 | |
| MTMS-C4DCA | |||||
| As prepared | 11.8 | 68.7 | 18.9 | 51.5 | 86 |
| After washout | 28.5 | 14.9 | 55.5 | 7.3 | |
| TMOS-C4TFSI | |||||
| As prepared | 2.8 | 83.9 | 12.5 | 49.0 | 90 |
| After washout | 81.0 | 4.9 | 13.9 | 4.8 | |
| TMOS-MTMS-C4TFSI | |||||
| As prepared | 0.4 | 85.2 | 14.3 | 46.0 | 47 |
| After washout | 0.2 | 69.2 | 30.5 | 24.5 | |
| MTMS-C4TFSI | |||||
| As prepared | 1.6 | 85.2 | 12.9 | 48.6 | 63 |
| After washout | 50.0 | 30.2 | 19.5 | 18.1 | |
| Ionogel Sample | Half-Washout Time, t1/2, min | 90% Washout Time, t0.9, min | 1 Day Washout Degree, α (24 h) |
|---|---|---|---|
| TMOS-C4DCA | 39 | 268 | 0.992 |
| TMOS-MTMS-C4DCA | 49 | 279 | 0.947 |
| MTMS-C4DCA | 33 | 190 | 0.991 |
| TMOS-C4TFSI | 175 | – | 0.863 |
| TMOS-MTMS-C4TFSI | 1084 | – | 0.560 |
| MTMS-C4TFSI | 241 | – | 0.852 |
| Ionogel Sample (After the IL Removal) | TMOS-C4TFSI | TMOS-MTMS-C4TFSI | MTMS-C4TFSI |
|---|---|---|---|
| Surface area SBET, m2·g−1 | 749 | 973 | 558 |
| BET constant, CBET | 105 | 87 | 108 |
| DR micropore volume, VDR, cm3·g−1 | 0.30 | 0.42 | 0.25 |
| DR sorption potential, EDR, kJ·mol−1 | 4.62 | 3.42 | 3.43 |
| BJH cumulative pore volume, VBJH, cm3·g−1 | |||
| 2.3 | 2.3 | 0.8 |
| 2.3 | 2.9 | 0.8 |
| BJH mean pore size, <dBJH> nm | |||
| 22 | 33 | 10 |
| 22 | 20 | 11 |
| Ionic Liquid | Matrix | The Highest/Lowest Outwash Level | Factors Governing the Outwash | IL Detection Method | Ref. |
|---|---|---|---|---|---|
| Tetraalkylammonium DCA− | Silica | 0.04/0.023% | Bare IL vs. confined IL | 1H NMR | [40] |
| Various CnMIm-based | Silica | 99/89% | – | Titration | [41] |
| EMIm TFSI, EMIm OTF | Polymer | 45/10% | IL hydrophobicity | Weighting | [34] |
| Cyphos® (Syensqo, Brussels, Belgium) 102, 105, 109 | Polymer membrane | 500/100 ppm | Type of hydrophobic polymer | ICP-OES | [42] |
| Isooctylmethylimidazolium D2EHP | Polymer membrane | 11% | – | Total organic carbon | [43] |
| BMIm TFSI | Polymer | 5% | Anion interaction with matrix | Weighting | [20] |
| EMIm ethylsulphate | Polymer | 90/1.2% | Shielding of the ionogel surface with elasomer | Conductometry | [45] |
| Various CnMIm-based | Silica | 99/14% | Preparation method, IL fraction, IL and matrix hydrophobicity, ionogel ageing | Conductometry | This study |
| Sample | Equilibrium Washout Level, qe | Kinetic Rate Constant, k, mol−1·s−1 | R2 |
|---|---|---|---|
| TMOS-DCA | 1.034 | (1.543 ± 0.001) × 10−1 | 0.991 |
| TMOS-MTMS-DCA | 0.992 | (1.600 ± 0.002) × 10−1 | 0.976 |
| MTMS-DCA | 1.021 | (2.079 ± 0.002) × 10−1 | 0.978 |
| TMOS-TFSI | 0.933 | (4.347 ± 0.002) × 10−2 | 0.999 |
| TMOS-MTMS-TFSI | 0.825 | (7.542 ± 0.003) × 10−3 | 0.998 |
| MTMS-TFSI | 0.906 | (2.672 ± 0.001) × 10−2 | 0.987 |
| TMOS-MTMS-C2TFSI | 1.019 | (3.620 ± 0.005) × 10−2 | 0.933 |
| TMOS-MTMS-C8TFSI | 0.244 | (2.503 ± 0.001) × 10−2 | 0.999 |
Disclaimer/Publisher’s Note: The statements, opinions and data contained in all publications are solely those of the individual author(s) and contributor(s) and not of MDPI and/or the editor(s). MDPI and/or the editor(s) disclaim responsibility for any injury to people or property resulting from any ideas, methods, instructions or products referred to in the content. |
© 2024 by the authors. Licensee MDPI, Basel, Switzerland. This article is an open access article distributed under the terms and conditions of the Creative Commons Attribution (CC BY) license (https://creativecommons.org/licenses/by/4.0/).
Share and Cite
Kottsov, S.Y.; Badulina, A.O.; Ivanov, V.K.; Baranchikov, A.E.; Nelyubin, A.V.; Simonenko, N.P.; Selivanov, N.A.; Nikiforova, M.E.; Tsivadze, A.Y. Ionogels in Aqueous Media: From Conductometric Probing of the Ionic Liquid Washout to the Design of More Stable Materials. ChemEngineering 2024, 8, 111. https://doi.org/10.3390/chemengineering8060111
Kottsov SY, Badulina AO, Ivanov VK, Baranchikov AE, Nelyubin AV, Simonenko NP, Selivanov NA, Nikiforova ME, Tsivadze AY. Ionogels in Aqueous Media: From Conductometric Probing of the Ionic Liquid Washout to the Design of More Stable Materials. ChemEngineering. 2024; 8(6):111. https://doi.org/10.3390/chemengineering8060111
Chicago/Turabian StyleKottsov, Sergei Yu., Alexandra O. Badulina, Vladimir K. Ivanov, Alexander E. Baranchikov, Aleksey V. Nelyubin, Nikolay P. Simonenko, Nikita A. Selivanov, Marina E. Nikiforova, and Aslan Yu. Tsivadze. 2024. "Ionogels in Aqueous Media: From Conductometric Probing of the Ionic Liquid Washout to the Design of More Stable Materials" ChemEngineering 8, no. 6: 111. https://doi.org/10.3390/chemengineering8060111
APA StyleKottsov, S. Y., Badulina, A. O., Ivanov, V. K., Baranchikov, A. E., Nelyubin, A. V., Simonenko, N. P., Selivanov, N. A., Nikiforova, M. E., & Tsivadze, A. Y. (2024). Ionogels in Aqueous Media: From Conductometric Probing of the Ionic Liquid Washout to the Design of More Stable Materials. ChemEngineering, 8(6), 111. https://doi.org/10.3390/chemengineering8060111

