Abstract
In this study, we explored the potential for average power scaling in a monolithic side-counter-pumped combiner based on Yb-doped tapered fibers. The optimal configuration of the pump-feeding fibers was determined through experiments with passive signal fibers. It is shown that pump coupling efficiencies higher than 83% can be achieved for fibers coated with low-index polymer with a numerical aperture (NA) around 0.45 and more than 74% for fibers with second cladding made of F-doped silica (NA ~ 0.26) for pump power up to 100 W. It was shown that the main factor significantly reducing the pump-to-signal conversion efficiency in the developed monolithic Yb-doped tapered fiber amplifiers is the pump leakage due to the decrease of the first cladding diameter along the tapered fiber and the corresponding increase of the pump NA (which becomes higher than the NA of the first cladding). A solution to this problem based on a narrowing diameter at the output end of the tapered fiber was proposed and realized. The record-high average power of 41 W, with a coupling efficiency of 77.7%, was demonstrated in a monolithic amplifier with a threshold of nonlinear effects of more than 600 kW (for ps pulses). Prospects for further power scaling in all-fiber sub-MW peak power amplifiers are discussed.
1. Introduction
Ultra-short pulse lasers and amplifiers have many applications in both industrial and fundamental research contexts. The most popular ones include material processing [1], nonlinear frequency conversion [2], and pumping of parametric oscillators [3]. They can also be employed as a high-power source for solid-state amplifiers [4]. The implementation of the all-fiber laser scheme offers a number of advantages, including compactness, reliability (i.e., maintenance-free operation), and a high-quality output beam. In most applications, it is of great importance to simultaneously obtain both high peak and high average power at the fiber output. The primary factor limiting the peak power scaling is the presence of nonlinear effects. In most cases, this is the stimulated Raman scattering (SRS) [5,6,7], although in some instances, it may be the four-wave mixing [8]. There are several methods to increase the SRS threshold, including shortening the fiber length [9,10], using counter-pumping [11,12], and decreasing the input seed signal [7,13]. Nevertheless, all of these methods are only effective when the core diameter is noticeably increased. Without reduction of the core-cladding numerical aperture (NA) and utilization of specialty fiber designs, it results in a multi-mode propagation regime. Despite multi-mode active fibers having a number of promising applications [14], the scope of our work is limited to large-mode-area (LMA) fibers, which could operate strictly in the single-mode regime and offer a nearly diffraction-limited beam quality. Standard step-index LMA fibers allow the achievement of peak powers not exceeding 100 kW [15]. Therefore, several novel LMA fiber designs have been proposed to maintain single-mode operation at large core diameters. The most outstanding results have been achieved with photonic crystal fibers (PCFs)—2.9–4.5 MW [16,17]. However, to achieve these results, rod-type PCFs are used, which require the use of a large number of bulk optical elements (as they can not be spliced with standard fibers) and perfectly straight fiber (due to extremely high sensitivity to the bending). In [18], a PCF was fabricated that can be spliced with standard fibers, but the peak power obtained with it is many times lower, reaching only 70 kW. Among the other LMA fiber designs, tapered fibers (TFs) are the most promising candidate for achieving high peak power while retaining most of the benefits of fiber lasers (compactness, reliability, and diffraction-limited beam quality). Such fibers are characterized by a smooth variation in diameter along their length [19,20,21]. The narrow end of the TF operates in a strictly single-mode regime and can be easily spliced with a standard fiber. The diameter of the core at the TF output can reach 100 μm, hence significantly raising the threshold for nonlinear effects while still operating in the single-mode regime. Peak powers of 1–2 MW have been obtained using such fibers [6,8,13].
An all-fiber setup based on a TF with co-propagating pump injection via commercial pump combiner (PC) was presented in [7]. In this configuration, picosecond pulses were amplified to an average power of 141 W and a peak power of 1.3 MW. It is noteworthy that the core diameter of the thin section of the TF [7] was 36 μm, and its numerical aperture was 0.064, corresponding to a calculated cutoff wavelength of about 3 μm. Since the setup was operating at a wavelength close to 1 μm, it was almost impossible to excite only the fundamental mode at such a large cut-off wavelength. In particular, the broad pedestal of the autocorrelation function of the pulses [7] may indicate the presence of several high-order modes despite the relatively low value of the parameter M2 ~ 1.19. In [22], our research group developed another all-fiber configuration employing a co-propagating pump and signal. The active fiber utilized was a highly doped ytterbium fiber with a pedestal of germanium-doped glass and a core diameter of 14 μm, operating in the strict single-mode regime. This structure permitted the reduction of the fiber length to 21 cm and the amplification of the pulses to 350 kW peak power prior to compression. However, the average power in the presented scheme was in the range of ten watts, and its further scaling appears to be challenging due to the high thermal load.
Both presented schemes feature co-propagating pumping, yet calculations indicate that the injection of pumping towards the signal diminishes the average power density in the fiber, thereby enhancing the threshold of nonlinear effects, especially in the TF [23]. The majority of TF-based systems use counter-pumping [11,12], which requires bulk optics elements, thereby making the system not fully fiber-based. In paper [24], we presented a novel backward pumping scheme for TF in an all-fiber configuration. Given that the utilization of a PC on the passive fiber at the output of the TF would result in a significant reduction in the threshold of nonlinear effects, a PC was fabricated directly on the active fiber with pump injection through the side surface into the cladding of the TF. In this configuration, we amplified 9 ps pulses to 0.53 MW peak power with high beam quality. However, in the implemented design of the PC, the average power was constrained to 9.1 W [24]. At higher power levels, the design exhibited severe thermal degradation. The work [24] presented a remarkably straightforward approach to fabricating an all-fiber circuit based on TF, greatly simplifying the process of employing active tapered fibers.
The objective of the present study was to examine the fundamental constraints limiting the enhancement of average power and to identify solutions to overcome these limitations. In particular, it was found that the polymer-free configuration of the PC, together with the optimization of the design of the pump-feeding fibers, allows for a significant increase in the operating average power level of the tapered amplifier. In addition, another significant factor contributing to the reduction in pump-to-signal conversion efficiency was identified as pump leakage along the TF. To address this issue, a tapered fiber with a narrowing on the thick end side was proposed as a solution. This allowed for a reduction in the NA mismatch of the pump injected into the TF, resulting in a notable improvement in the efficiency of pump-to-signal conversion within the TF. It was demonstrated that the average output signal power could be increased to more than 40 W. It is important to note that despite the reconfiguration of the TF, the pulses still could be amplified to a peak power of 0.62 MW, which is at least as high as that achieved in our previous work. In conclusion, our research has demonstrated the feasibility of attaining record-high average power in an all-fiber single-mode amplifier designed to amplify pulses up to sub-MW peak power.
2. Pump Combiner Design
The design of the pump combiner is shown in Figure 1, and it is based on the one introduced in our previous study [24]. The pump coupling was achieved by the physical contact of the side surfaces of the pump-feeding fiber and the active tapered fiber. A TF with a double cladding was utilized as the receiving fiber. The outer diameter of the TF exhibited variation along the length of the fiber, with a maximum value of 400 μm. In order to facilitate the injection of the pump into the TF, the protective polymer layer was stripped from the contact area, and the second reflective cladding (F-doped silica) was removed by etching in hydrofluoric acid. The pump-feeding fibers were designed with a local bi-tapered structure to enhance the efficiency of the pump coupling. This was achieved by reducing the diameter, which increased the propagation angle of the pump beams and decreased the ratio of the pump-feeding fiber and active fiber cross-sectional areas. It is noteworthy that in this case, there should be an optimal design for the pump-feeding fibers since a constant diameter fiber (without taper) will not alter the propagation angle of the pump beams and the overall efficiency of injection through the optical contact between the TF and the pump-feeding fibers can be quite low [25,26], resulting in the high amount of Residual Power (RP) in the pump-feeding fiber. Conversely, an excessively narrow waist of the pump-feeding fiber will result in an excessive propagation angle of the pump beams and significant power loss due to numerical aperture mismatch. The part of the pump with the largest propagation angles will become Leakage Power along the Transition region (LPT) in the etched part of the TF. In this area, the light propagates through the quartz core suspended in the air where the NA is approximately 1. A further leakage point is located in the region where the pump radiation traverses from the etched region of the TF to the region where a second reflective coating is preserved (in a standard tapered fiber, this is F-doped glass with a NA of approximately 0.26). This identifies the point of aperture reduction in the waveguide. In this instance, propagation angles exceeding the aperture of the inner cladding of the TF result in Leakage Power in the outer Cladding (LPC), with further leakage into the protective polymer. It is, therefore, evident that optimizing the design of the pump-feeding fibers is essential to achieve the maximum Coupled Power (CP) into the TF.
Figure 1.
The principal scheme of the side-coupled PC is based on the TF.
In [24], the contact region was coated with a reflective polymer to facilitate the fixation of the system. However, at high LPT values, the protective polymer burns, as shown in [24], when the pump power exceeds 30 W. Therefore, in the present study, the use of the polymer was abandoned in order to eliminate the input power limitation. Furthermore, in [24], we observed a nonlinear behavior of the injection efficiency with increasing pump power, which we attributed to the heating of the polymer. A second distinction of the system implemented in this study is the incorporation of a pump stripper, which ensures the safe removal of pump power from the outer cladding before the unstripped protective polymer coating continues on the TF. The primary purpose of this modification is to eliminate LPT from the TF and prevent the potential risk of TF combustion. A third distinction from the preceding work of [24] was the fabrication process of the pump-feeding fibers. In the aforementioned study, the bi-tapered diameter profile was achieved through the use of hydrofluoric acid etching. In the present study, the method of pulling under heat using a Vytran GPX 3400 (Thorlabs, Inc., Newton, NJ, USA) was employed. This method significantly extends the tuning of the drawn pump-feeding fiber configuration and provides a smoother surface, which we hypothesize can reduce scattering losses due to surface inhomogeneities. To simplify the interpretation of the experimental data, we limited our studies to the application of only one pump-feeding fiber at a time.
3. Pump-Feeding Fibers Optimization
The pump-feeding fibers were fabricated from coreless fibers with an outer diameter of 125 μm. The pump was injected into this fiber via fiber splicing with a standard 105/125 0.22 NA fiber, which is typically utilized for pigtailing the pump diodes. Near the splice point, the coreless fiber was tapered by a Vytran machine to achieve the desired configuration. Therefore, the bi-tapered structure was fully realized on the coreless fiber (Figure 2). In order to determine the optimal pump-feeding fiber profile, we followed the calculations given in [24]. One of the essential parameters of the pump-feeding fiber is the length of the down-taper section. It has been established that increasing the length enhances coupling efficiency and reduces the LPC [27,28]. One of the primary conclusions of [24] was the necessity to guarantee that the down-taper length should not be less than 50 mm. The maximum length of the entire taper transition was constrained by the capacity of the system, with an approximate limit of 80 mm. Fortunately, the heated fiber pulling method can be employed to create an asymmetric structure that allows the length of the up-taper to be reduced without affecting performance. Therefore, we set the down-taper (Ld), waist (Lw), and up-taper (Lu) ratios of the tapered transition to be 50, 20, and 5 mm, respectively (Figure 2).
Figure 2.
Configuration of the pump-feeding fiber.
One of the crucial parameters that influence the efficiency of the pump coupling is the distribution of the pump power fraction from the propagation angle to the axis of the pump-feeding fiber. This dependence is largely determined by the tapered ratio, defined as the ratio of the maximum and minimum diameters of the pump-feeding fiber. In order to accurately determine the fraction of injected radiation, preliminary experiments were conducted in which the active TF was replaced by a passive fiber with a constant diameter. This enabled us to exclude from consideration such factors as the absorption of ytterbium ions and the pump leakage due to the decrease in the diameter of the tapered fiber along the pump propagation path. A series of pump-feeding fiber samples with varying waist diameter values, from the original 125 μm to 30 μm, were fabricated. Two passive fibers were utilized as signal fibers: one with a polymer coating (Si-Pol.), which provided a numerical aperture of 0.45, and one with an F-doped silica glass reflective cladding (Si-Si), which provided an NA of 0.26. To investigate the impact of tapered fiber diameter on pump coupling efficiency, experiments were conducted using passive fibers of two diameters: 800 μm and 400 μm. The primary experiments were conducted with fibers of 800 µm diameter, and subsequently, the impact of reducing the fiber diameter to 400 µm on the coupling efficiency was evaluated for several pump-feeding fiber designs. In the preliminary experiments, a laser pump diode operating at a wavelength of 976 nm, with a maximum output power of 27 W, and with a declared numerical aperture of 0.22 (>90% of the pump power is declared within NA = 0.15) was utilized. The pump was injected into the pump-feeding fiber (via fiber splicing), which was in direct contact with the signal fiber (see Figure 3). The CP was measured at the output of the signal fiber, and the RP was measured at the output of the pump-feeding fiber.
Figure 3.
The principle scheme of the side-coupled PC is based on passive signal fibers.
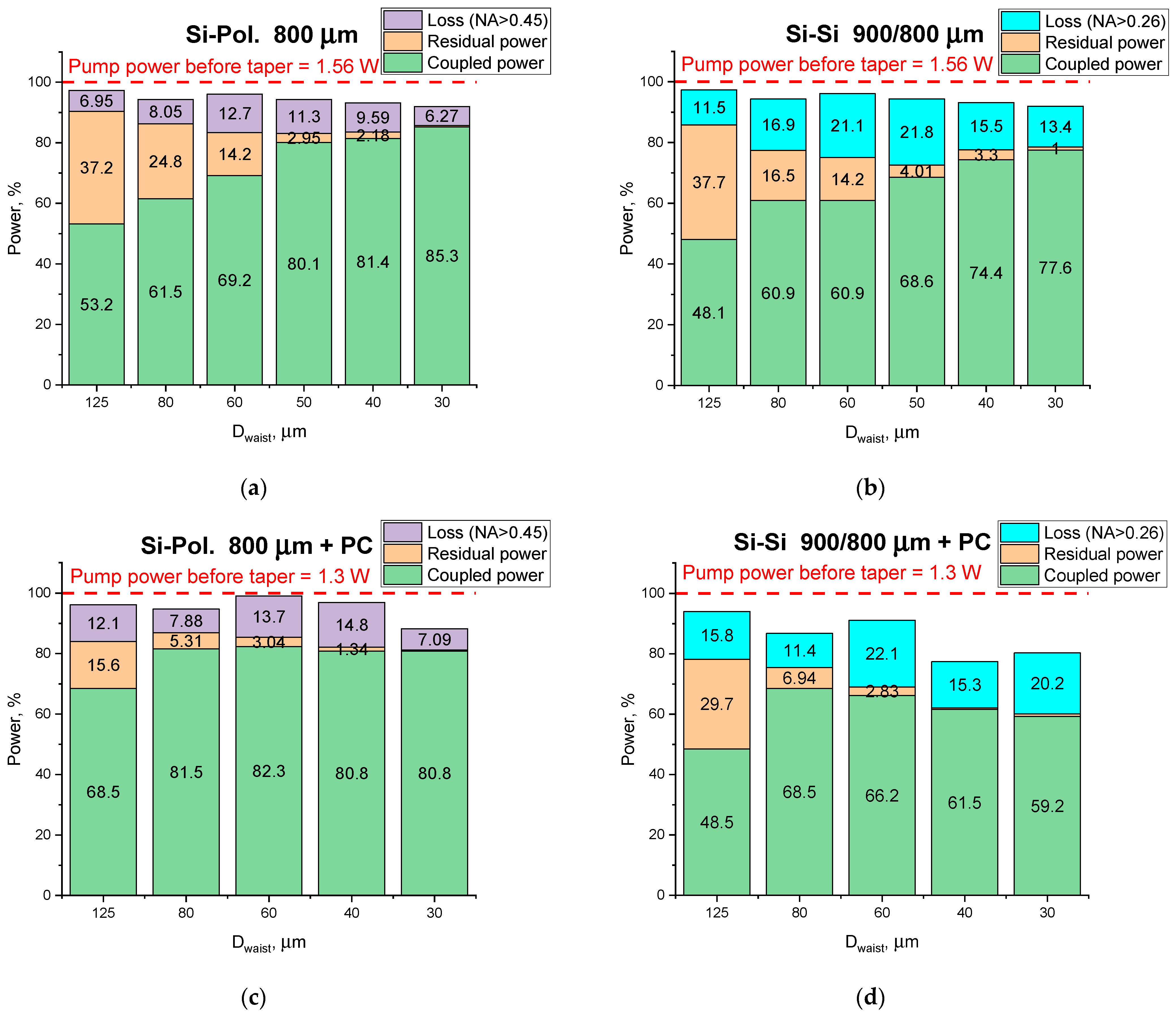
We first measured the pump coupling efficiency of a fiber with a polymer reflective coating (NA ~ 0.45). Figure 4a shows the power distribution for the pump-feeding fibers with different waist diameters. The red line indicates the pump power from the laser diode, measured before splicing with the pump-feeding fiber. To eliminate the influence of thermal effects, the initial measurements were made at low power ~ 1.3–1.5 W. The full height of the entire column corresponds to the power at the exit of the pump-feeding fiber after it has been spliced with the pump but is out of contact with the signal fiber. We attribute the difference in power between these values to splicing losses (pump-to-pump-feeding fiber and within the pump-feeding fiber) and losses due to contamination and surface defects on the tapered segment, which can be greatly amplified by the high propagation angle of the pump rays in pump-feeding fibers with large taper ratios. The pump-feeding fiber was then applied to the signal fiber wetted with acetone to ensure optimal contact by surface tension forces. The pump-feeding fiber was then fixed on both sides, and CP and RP were measured after the acetone had dried. In all cases, their sum was less than the pumping power passing through the pump-feeding fiber. We attribute these power fractions to the pump exceeding the aperture of 0.46.
Figure 4.
Power distribution in fabricated side-coupled PCs based on passive fibers with a polymer coating (a,c) and F-doped silica cladding (b,d) on the waist diameter of the used pump-feeding fiber. In (c,d), a 2 + 1 pump combiner with NA of 0.22 was placed between the laser diode and the pump-feeding fibers.
Similar experiments were then performed on the F-doped clad fiber (Figure 4b). The same structure has the active tapered fiber on which we wanted to realize the combiner. In this case, the aperture of the fiber was approximately 0.26. The optical losses observed in this case are attributed to the pump, whose aperture exceeds 0.26. It can be seen that in both cases, with decreasing waist diameter, the reported power increases due to the reduction of the residual power. The optimal result was obtained in the pump-feeding fiber with a diameter of 30 μm, which is in agreement with the results of [24].
In light of the observed systematic increase in coupled power with increasing taper ratio, we were prompted to investigate whether an even larger increase in the propagation angle of the pump rays might result in a larger CP. It was established that although the pump laser diode is claimed to have a NA of 0.22, the majority of the radiation has an aperture in the range of 0.15. Accordingly, a 2-in-1 pump combiner with an NA of 0.22 on a 105/125 fiber was positioned between the laser diode and the pump-feeding fiber, thereby amplifying the propagation angle of pump rays. The experiment with this modification was repeated on two signal fibers. As illustrated in Figure 4c,d, there is a notable shift in the maximum coupled pump, with the optimal result observed in the pump-feeding fibers with a waist diameter of 60 or 80 μm. Concurrently, the losses in the signal fiber with F-doped cladding increased significantly, indicating the growth of the pump component that exceeds the aperture of 0.26.
Experiments conducted with 400 μm passive fibers for various pumping pump-feeding fiber configurations yielded consistent results. Moreover, the optimal configuration of pump-feeding fibers demonstrated a slight reduction in coupled power compared to the 800 μm fiber case. Thus, the coupling efficiency to the low-index-polymer coated fiber decreased from 85% to 83%, while that of the Si-Si fiber decreased from 77% to 74%. Therefore, the impact of the tapered fiber diameter on pump coupling efficiency was found to be insignificant in the initial analysis. In this case, it is important to note that the primary factor is the rate of pump coupling between fibers. With a uniform distribution of pump, the pump-feeding fiber with a waist of 30 μm should contain only 0.5% of the pump, even in the case of a signal fiber with 400 μm diameter. It can thus be assumed that a further reduction in the diameter of the fiber in which the pump is to be injected will not result in a significant reduction in coupling efficiency.
Subsequently, an experiment was then conducted to investigate the impact of the ratio between the lengths of the down-taper (Ld), waist (Lw), and up-taper (Lu) of the bi-tapered section of the pump-feeding fiber (Figure 2). As previously stated, it is of great importance to ensure that the required down-taper length is provided. It was not clear whether the length ratio discussed earlier was the most efficient. A series of pump-feeding fiber samples were fabricated with varying Ld, Lw, and Lu ratios (it should be noted that the up-taper length Lu does not affect the efficiency and thus remained unchanged) to investigate the influence of these parameters on the pump-feeding fibers with waist diameters of 40 and 60 μm. The ratios were 60/10/10, 35/35/10, and 20/50/10 mm, respectively. The coupling efficiency of the polymer-coated and F-doped silica-clad signal fibers was once again tested. As illustrated in Figure 5, the reduction of the down-taper length does not result in a reduction of pump coupling efficiency in Si-Pol fibers. In fact, it may even lead to an enhancement in this parameter. However, in Si-Si fibers, a notable reduction in coupling efficiency is observed. This indicates that the aperture of 0.26 is exceeded in fibers with short down-taper parts. Indeed, from the considerations of preserving the brightness of the pump and the angle of propagation of the pump rays, the NA of the fiber required for them should increase in proportion to the decrease in the diameter of the fiber. Therefore, if the pumping was guided through a fiber with a NA of 0.15 prior to the tapered section, the required aperture will exceed 0.6 when the diameter reaches 30 µm. This value is considerably higher than that which can be supported by the Si-Si fiber, resulting in significant pump leakage when coupled into the Si-Si fiber. In the case of the long down-taper section, the pump rays, having reached propagation angles corresponding to an aperture of 0.2–0.3, are probably transferred into the signal fiber with high efficiency, thus reducing the subsequent losses when entering the region where there is a second reflective cladding with an aperture of 0.26.
Figure 5.
Power distribution in fabricated side-coupled PCs based on passive fibers with a polymer coating (Si-Pol.) and F-doped silica glass cladding (Si-Si) with pump-feeding fibers of waist diameter 60 (a) and 40 μm (b) for different ratios of down-taper (Ld) and waist lengths (Lw).
Therefore, the optimal configuration for achieving maximum coupling efficiency is a pump-feeding fiber with lengths Ld, Lw, and Lu of 50, 20, and 5 mm, respectively, and a waist diameter of 30 μm. It is acceptable to utilize pump-feeding fibers with a larger diameter waist in order to obtain smaller pump propagation angles at the expense of a slight decrease in coupling efficiency. In this way, leakage is minimized, and increased residual power can be used for re-injection through the second pump-feeding fiber, as was performed in [24]. After selecting the optimal design of the pump-feeding fiber (which included a long down-taper and a waist diameter of 30 μm), we conducted an experiment using a laser pump diode with a maximum pump power of 100 W and a numerical aperture of 0.15. At the maximum pump power, the polymer-coated signal fiber yielded 90 W, while the F-doped clad fiber produced 75 W (Figure 6).
Figure 6.
Coupled power dependence in side-coupled PC based on passive signal fibers with a polymer coating (Si-Pol.) and F-doped silica cladding (Si-Si) on pump power, insert—residual power dependence.
4. Experiments with Tapered Fibers
Once the optimal pump-feeding fiber design had been obtained, the next step was to implement the pump combiner on the active tapered fiber. A simple master oscillator power amplifier (MOPA) setup is illustrated in Figure 7. A Fianium fiber laser, generating pulses centered at 1064 nm with a repetition rate of 18.4 MHz, was employed as the pulse source. An acousto-optical modulator was incorporated into the scheme to achieve pulse repetition rate division. Two low-power amplification stages were located before and after it. The entire system employed a standard 6/125 µm polarization, maintaining PANDA-type fiber. The final amplification stage was based on a TF with a fiber-side-coupled PC. A laser diode with a maximum output power of 100 W was employed, operating at a wavelength of 976 nm and with an NA of 0.15. Before implementing the combiner, the TFs were initially examined using a bulk pump injection system consisting of two lenses and a dichroic mirror. The bulk pump injection efficiency was determined to be 88%.
Figure 7.
The realized MOPA scheme with both bulk and all-fiber final stages (have not been implemented simultaneously).
A standard TF #1, produced by our research group, was utilized—details of the fiber design are presented in [21]. The diameters of the core, inner cladding, and outer cladding at the output end were 43, 336, and 414 μm, respectively. The aperture in the core was approximately 0.1, and in the inner cladding, it was approximately 0.28. The length of TF #1 was approximately 2.5 m (see Figure 8). The outer F-doped cladding was etched with hydrofluoric acid in a section approximately 70 mm long, located approximately 60 mm from the thick end. At a distance of approximately 40 mm from the transition section, a pump stripper was implemented to eliminate the LPC in front of the protective polymer. The pump stripper design was based on the approach outlined in [29]. Pulses with a duration of 9.3 ps, an average power of up to 50 mW, and a repetition rate of 18.4 MHz were delivered to the TF input. The original frequency of the source was deliberately maintained in order to avoid any potential limitations imposed by nonlinear effects during the investigation of the pump coupling efficiency and the achievement of the highest possible average power. The pump-to-signal conversion efficiency in TF #1 with bulk pump injection was found to be 57.1%, with a pump output of 100 W resulting in an output signal power of 54.4 W, which aligns with the typical outcomes observed for our TFs.
Figure 8.
Utilized Yb-doped tapered fiber diameters on length dependence with the position of pump combiner and pump stripper, insert—a cross-section of the TF after etching an F-doped silica glass cladding, the orange circle schematically depicts the desired position of the pump-feeding fiber.
Subsequently, the efficiency of pump-feeding fibers with varying waist diameters was then evaluated. The results demonstrated that the power output was approximately 23–25 W, with total conversion efficiencies of 26.6%, 26.0%, and 26.8% for pump-feeding fibers with waist diameters of 30, 60, and 80 μm, respectively (Figure 9a). As was observed for the fibers with constant diameters, the residual power within the pump-feeding fibers exhibits a notable increase with the growth of waist diameter. This rise in residual power is observed to be 11 W for a 30 μm waist and 20 W for a 60 μm waist (Figure 9b). A preliminary estimation suggests that in the case of a 30 μm waist, 10–20 W of pumping power is illuminated in the pump stripper. Therefore, reducing the waist diameter of the pump-feeding fiber results in a reduction of the residual pump power within the pump-feeding fiber, accompanied by an increase in coupled power. However, this is counterbalanced by the leakage of pump power with high-order propagation angles.
Figure 9.
Dependence of the signal (a) and the residual power (b) on the pump power for a bulk final stage and a side-coupled monolithic scheme realized with pump-feeding fibers of different waist diameters, insert–output beam at a signal power of 41 W.
The average power obtained in this case is approximately two and a half times higher than that reported in the previous study [24]. However, a comparison with the scheme employing bulk pump injection indicates that the estimated coupling efficiency in the combiner is approximately 40%, which is nearly twofold less than that observed in the passive signal fiber. This behavior may be attributed to the growth of the pump propagating angles in the TF. To verify this hypothesis, a second TF was manufactured, which, at the end of the thick part, again exhibited a sharp narrowing of the diameter to approximately 230 μm (Figure 8). As evidenced by the studies conducted with pump injection into passive fibers, the coupling efficiency of the pump exhibited minimal dependence on fiber diameter. Accordingly, it can be reasonably assumed that a sufficiently high coupling efficiency will be achieved when the pump is injected into a fiber with a diameter of 200–300 μm. At the same time, if a PC is constructed in this region, the coupled pump will propagate along the TF, which will increase in diameter. This indicates that the angle of propagation of the pump rays will decrease, which is necessary to maintain the pump within the TF. Finally, the implementation of the PC based on TF #2 and a pump-feeding fiber with a waist of 30 μm resulted in an output power of 42 W with a total conversion efficiency of 45.9% and a coupling efficiency of 77.7%. The M2 parameter at maximum power was 1.21/1.28 (obtained with M2 measurement setup Thorlabs M2S2). The residual power within the pump-feeding fiber was 7 W. In this configuration, the utilization of a pump-feeding fiber with a waist of 60 µm was less efficient, allowing only 33 W to be achieved. Further power scaling was constrained by the capabilities of the available pump sources. The full set of results is presented in Figure 9.
It is important to note that the narrowing section at the output of the tapered fiber leads to a reduction in the diameter of the core, which, therefore, results in a decrease in the mode field diameter. Although the narrowing occurs over a relatively short length of fiber (approximately 20 cm), it can result in a reduction in the threshold for nonlinear effects. An experiment was conducted to ascertain the maximum achievable peak power in the created all-fiber amplifier. For this purpose, the pulse repetition rate was reduced to 1.84 MHz, and the average power at the TF input was set to 10 mW. In this configuration, the signal was amplified to an average power of 10.6 W, resulting in a peak power of 0.62 MW. The output signal spectrum obtained with an optical spectrum analyzer AQ6307C (the spectral resolution used was 0.1 nm, wavelength accuracy was 0.1 nm) is shown in Figure 10. Upon increasing the average power to 12.4 W and the peak power to 0.72 MW, the output end collapsed. Therefore, the reduction of the output diameter resulted in a lowering of the threshold for TF output surface destructibility, as evidenced by the fact that our TFs with an outer diameter of approximately 400 µm can withstand peak powers exceeding 1 MW. It appears that this issue can be addressed by fabricating an endcap at the output end of the TF. Alternatively, a narrowed section could be produced on the thick side of the tapered fiber through the etching of the cladding, with the core diameter (and, consequently, the threshold of nonlinear effects) remaining unaltered.
Figure 10.
The seed and output signal spectra of side-coupled all-fiber MOPA scheme.
5. Discussion
This paper presents a significant improvement in the results of a fiber-non-fused side-coupled pump combiner. This configuration can be implemented in another double-cladding fiber, regardless of its operating wavelength (and, thus, an active doping component such as Er, Tm, etc.) or pulse duration since the PC does not interact with the fiber core. The operating regime at different values of the aforementioned parameters will be entirely determined by the signal fiber structure. One reason for the improvement in comparison to the previous result is the elimination of the fixation polymer, which was found to burn in the previous implementation. Unfortunately, this modification has resulted in a reduction in stability. In about half of the cases, a decline in signal power of approximately 10% was observed after the device had been operational for between 30 min and an hour with a pumping power exceeding 50 W. It is probable that this is due to the heating of the combiner contact area, which has been observed to reach temperatures of between 90 and 100 °C under maximum pumping conditions (see Figure 11a). Concurrently, the pump stripper reached temperatures between 40 and 50 °C (Figure 11b). In the current system, no special cooling of the combiner was provided. The majority of the TF length was wound on a metal coil with a diameter of 18 cm, with the resulting heat dissipated by means of double-sided thermal tape. Due to elevated temperatures in the transition zone and the presence of contaminants within the narrow section of the pump-feeding fiber, in some cases, we observed partial melting of the pump-feeding fiber to the TF or its rupture.
Figure 11.
Temperature measurement of the coupling area (a) and the pump stripper (b) at 100 W pump power (data obtained with Seek Thermal Compact PRO (Seek Thermal, Santa Barbara, CA, USA)).
Further optimization of the average power in this configuration is feasible through the increase of both the pumping power and the number of pump-feeding fibers. The necessary condition for this is the provision of effective heat dissipation and enhanced pump-feeding fiber fixation. One potential approach is the utilization of a fused combiner scheme, which has already been studied quite well [27], though it has not yet been implemented in an active TF. One of the principal challenges associated with the fused design is the possibility of core deformation, which can result in the excitation of high-order modes and, subsequently, a decline in the quality of the output beam [30,31]. This phenomenon must be considered when designing a TF that incorporates a multimode thick part.
The results obtained indicate that the proposed design of the all-fiber single-mode amplifier based on a tapered fiber has significant potential for further development. In particular, the amplifier exhibits a record-high average power and the potential to simultaneously achieve sub-MW peak power. Further optimization of this amplifier design is likely to result in a further substantial increase in the maximum peak power.
6. Conclusions
In this study, we have conducted an experimental analysis and optimization of a fiber non-fused side-coupled pump combiner. The scheme was simplified by the elimination of the fixing polymer, which previously resulted in the system burning at high power. The implementation of the pump combiner on passive signal fibers enabled the determination of the optimal pump-feeding fiber design. The best pump-feeding fiber coupling efficiencies were obtained at 100 W pump power, with the polymer-coated passive fiber exhibiting 91% coupling efficiency and the passive F-doped silica-clad fiber exhibiting 76% coupling efficiency. To reduce the pump loss caused by a mismatch in the NA, a TF was constructed with a narrowing of the diameter at the output end. In such a TF, a pump coupling efficiency of 77.7% was achieved, resulting in an average signal power of 42 W. The potential for achieving a peak power of 0.62 MW in the designed amplifier is demonstrated.
Author Contributions
Conceptualization, M.E.L. and M.M.B.; methodology, M.E.L., A.E.L., V.V.V. and D.S.L.; software, M.E.L.; validation, E.K.M.; formal analysis, M.E.L.; investigation, E.K.M. and T.S.Z.; resources, M.E.L., A.E.L., V.V.V., D.S.L., A.V.S. and V.A.K.; data curation, E.K.M.; writing—original draft preparation, E.K.M.; writing—review and editing, M.E.L.; visualization, E.K.M.; supervision, M.E.L.; project administration, M.E.L.; funding acquisition, M.E.L. All authors have read and agreed to the published version of the manuscript.
Funding
This work was supported by the Center of Excellence, “Center of Photonics”, funded by the Ministry of Science and Higher Education of the Russian Federation under Contract 075-15-2022-315.
Institutional Review Board Statement
Not relevant.
Informed Consent Statement
Not applicable.
Data Availability Statement
The original contributions presented in the study are included in the article, further inquiries can be directed to the corresponding author.
Acknowledgments
Authors thank the staff of the large-scale research facility “Fibers” (UNU Fibers) of GPI RAS for the fabrication and characterization of the fibers used.
Conflicts of Interest
The authors declare no conflicts of interest.
References
- Kraus, M.; Ahmed, M.A.; Michalowski, A.; Voss, A.; Weber, R.; Graf, T. Microdrilling in steel using ultrashort pulsed laser beams with radial and azimuthal polarization. Opt. Express 2010, 18, 22305–22313. [Google Scholar] [CrossRef] [PubMed]
- Qi, Y.; Yu, H.; Zhang, J.; Zhang, L.; He, C.; Lin, X. Generation of 46 W green-light by frequency doubling of 96 W picosecond unpolarized Yb-doped fiber amplifier. Opt. Laser Technol. 2018, 101, 419–424. [Google Scholar] [CrossRef]
- Fan, J.; Zhao, J.; Shi, L.; Xiao, N.; Hu, M. Two-channel, dual-beam-mode, wavelength-tunable femtosecond optical parametric oscillator. Adv. Photonics 2020, 2, 045001. [Google Scholar] [CrossRef]
- Mackonis, P.; Rodin, A.M. Laser with 1.2 ps, 20 mJ pulses at 100 Hz based on CPA with a low doping level Yb:YAG rods for seeding and pumping of OPCPA. Opt. Express 2020, 28, 1261–1268. [Google Scholar] [CrossRef]
- Teh, P.S.; Lewis, R.J.; Alam, S.; Richardson, D.J. 200 W Diffraction limited, single-polarization, all-fiber picosecond MOPA. Opt. Express 2013, 21, 25883–25889. [Google Scholar] [CrossRef]
- Zhu, Y.; Leich, M.; Lorenz, M.; Eschrich, T.; Aichele, C.; Kobelke, J.; Bartelt, H.; Jäger, M. Yb-doped large mode area fiber for beam quality improvement using local adiabatic tapers with reduced dopant diffusion. Opt. Express 2018, 26, 17034–17043. [Google Scholar] [CrossRef] [PubMed]
- Li, W.; Ma, P.; Lai, W.; Song, J.; Wang, T.; Ren, B.; Liu, W.; Zhou, P.; Si, L. Tapered active fiber simultaneously enabled 141 W high average and 1.3 MW high peak power via all-fiber and polarization-maintained picosecond amplifier. Opt. Laser Technol. 2020, 152, 108166. [Google Scholar] [CrossRef]
- Mikhailov, E.K.; Bobkov, K.K.; Levchenko, A.E.; Velmiskin, V.V.; Khudyakov, D.V.; Aleshkina, S.S.; Zaushitsyna, T.S.; Bubnov, M.M.; Lipatov, D.S.; Likhachev, M.E. Picosecond Pulse Tapered Fiber Amplifier Operated near 1030 nm with Peak Power up to 1 MW. Photonics 2023, 10, 1385. [Google Scholar] [CrossRef]
- Sidharthan, R.; Lin, D.; Lim, K.J.; Li, H.; Lim, S.H.; Chang, C.J.; Seng, Y.M.; Chua, S.L.; Jung, Y.; Richardson, D.J.; et al. Ultra-low NA step-index large mode area Yb-doped fiber with a germanium doped cladding for high power pulse amplification. Opt. Lett. 2020, 45, 3828–3831. [Google Scholar] [CrossRef]
- Shi, G.; Fu, S.; Sheng, Q.; Li, J.; Fang, Q.; Liu, H.; Chavez-Pirson, A.; Peyghambrian, N.; Shi, W.; Yao, J. Megawatt-peak-power picosecond all-fiber-based laser in MOPA using highly Yb3+-doped LMA phosphate fiber. Opt. Commun. 2018, 411, 133–137. [Google Scholar] [CrossRef]
- Fedotov, A.; Noronen, T.; Gumenyuk, R.; Ustimchik, V.; Chamorovskii, Y.; Golant, K.; Odnoblyudov, M.; Rissanen, J.; Niemi, T.; Filippov, V. Ultra-large core birefringent Yb-doped tapered double clad fiber for high power amplifiers. Opt. Express 2018, 26, 6581–6592. [Google Scholar] [CrossRef] [PubMed]
- Bobkov, K.; Levchenko, A.; Kashaykina, T.; Aleshkina, S.; Bubnov, M.; Lipatov, D.; Laptev, A.; Guryanov, A.; Leventoux, Y.; Granger, G.; et al. Scaling of average power in sub-MW peak power Yb-doped tapered fiber picosecond pulse amplifiers. Opt. Express 2021, 29, 1722–1735. [Google Scholar] [CrossRef]
- Petrov, A.; Odnoblyudov, M.; Gumenyuk, R.; Minyonok, L.; Chumachenko, A.; Filippov, V. Picosecond Yb-doped tapered fiber laser system with 1.26 MW peak power and 200 W average output power. Sci. Rep. 2020, 10, 17781. [Google Scholar] [CrossRef]
- Fu, B.; Shang, C.; Liu, H.; Fan, S.; Zhao, K.; Zhang, Y.; Wageh, S.; Al-Ghamdi, A.; Wang, X.; Xu, L.; et al. Recent advances and future outlook in mode-locked lasers with multimode fibers. Appl. Phys. Rev. 2023, 10, 041305. [Google Scholar] [CrossRef]
- Roy, V.; Desbiens, L.; Boivin, M.; Grenier, P.; Deshaies, S.; Martineau, Q.; Deladurantaye, M.; Proulx, A.; Taillon, Y. 35/250 Ytterbium-Doped LMA Polarization-Maintaining Fiber for High Average and High Peak Power Amplifiers. In Proceedings of the SPIE 12400, Fiber Lasers XX: Technology and Systems, San Francisco, CA, USA, 28 January–3 February 2023. [Google Scholar]
- Brooks, C.; Teodoro, F. Multimegawatt peak-power, single-transverse-mode operation of a 100 μm core diameter, Yb-doped rodlike photonic crystal fiber amplifier. Appl. Phys. Lett. 2006, 89, 111119. [Google Scholar] [CrossRef]
- Zou, F.; Wang, Z.; Wang, Z.; Bai, Y.; Li, Q.; Zhou, J. 1-MW Peak Power, 574-kHz Repetition Rate Picosecond Pulses at 515 nm from a Frequency-Doubled Fiber Amplifier. In Proceedings of the SPIE 10016, High-Power Lasers and Applications VIII, Beijing, China, 12–14 October 2016. [Google Scholar]
- Chang, H.; Cheng, Z.; Sun, R.; Peng, Z.; Yu, M.; You, Y.; Wang, M.; Wang, P. 172-fs, 27-µJ, Yb-doped all-fiber-integrated chirped pulse amplification system based on parabolic evolution by passive spectral amplitude shaping. Opt. Express 2019, 27, 34103–34112. [Google Scholar] [CrossRef]
- Filippov, V.; Chamorovskii, Y.; Kerttula, J.; Golant, K.; Pessa, M.; Okhotnikov, O.G. Double clad tapered fiber for high power applications. Opt. Express 2008, 16, 1929–1944. [Google Scholar] [CrossRef]
- Jung, Y.; Jeong, Y.; Brambilla, G.; Richardson, D.J. Adiabatically tapered splice for selective excitation of the fundamental mode in a multimode fiber. Opt. Lett. 2009, 34, 2369–2371. [Google Scholar] [CrossRef]
- Bobkov, K.; Andrianov, A.; Koptev, M.; Muravyev, S.; Levchenko, A.; Velmiskin, V.; Aleshkina, S.; Semjonov, S.; Lipatov, D.; Guryanov, A.; et al. Sub-MW peak power diffraction-limited chirped-pulse monolithic Yb-doped tapered fiber amplifier. Opt. Express 2017, 25, 26958–26972. [Google Scholar] [CrossRef]
- Bobkov, K.K.; Lipatov, D.S.; Salgansky, M.Y.; Guryanov, A.N.; Bubnov, M.M.; Likhachev, M.E. All-fiber chirped-pulse amplifier emitting 92 MW peak power in 670 fs pulses. IEEE Photon. Technol. Lett. 2022, 40, 6230–6239. [Google Scholar] [CrossRef]
- Kerttula, J.; Filippov, V.; Chamorovskii, Y.; Ustimchik, V.; Golant, K.; Okhotnikov, O.G. Principles and performance of tapered fiber lasers: From uniform to flared geometry. Appl. Opt. 2012, 51, 7025–7038. [Google Scholar] [CrossRef]
- Bobkov, K.; Levchenko, A.; Lipatov, D.; Guryanov, A.; Bubnov, M.; Likhachev, M. Monolithic Side-Pumped Amplifier Based on an Yb-Doped Tapered-Fiber and Yielding 0.53 MW 9.3 ps Pulses. Photonics 2022, 9, 771. [Google Scholar] [CrossRef]
- Lei, C.; Chen, Z.; Leng, J.; Gu, Y.; Hou, J. Theoretical Analysis of Fused Tapered Side-Pumping Combiner for All-Fiber Lasers and Amplifiers. In Proceedings of the SPIE 10192, Laser Technology for Defense and Security XIII, Anaheim, CA, USA, 9–13 April 2017. [Google Scholar]
- Melkumov, M.A.; Bufetov, I.A.; Bubnov, M.M.; Shubin, A.V.; Semenov, S.L.; Dianov, E.M. Pump radiation distributions in laser fibers with multi-element first cladding. Quantum Electron. 2005, 35, 996–1002. [Google Scholar] [CrossRef]
- Lei, C.; Li, Z.; Zhang, H.; Chen, Z.; Hou, J. Taper-fused side pump combiner for all-fiber lasers and amplifiers: A review. Opt. Laser Technol. 2020, 130, 106353. [Google Scholar] [CrossRef]
- Matte-Breton, C.; Wang, R.; Messaddeq, Y.; LaRochelle, S. Novel Fuseless Optical Fiber Side-Coupler Based on Half-Taper for Cladding Pumped EDFAs. In Proceedings of the OSA Technical Digest (Optica Publishing Group, 2020), Optical Fiber Communication Conference, San Diego, CA, USA, 8–12 March 2020. [Google Scholar]
- Aleshkina, S.S.; Kochergina, T.A.; Bobkov, K.K.; Kotov, L.V.; Bubnov, M.M.; Park, J.; Likhachev, M.E. High-Power 125-μm-Optical-Fiber Cladding Light Stripper. In Proceedings of the OSA Technical Digest (Optica Publishing Group, 2016), Conference on Lasers and Electro-Optics, San Jose, CA, USA, 5–10 June 2016. [Google Scholar]
- Lei, C.; Chen, Z.; Yang, H.; Gu, Y.; Hou, J. Beam quality degradation of signal light in a side pumping coupler with a large-mode-area signal fiber. Opt. Express 2019, 27, 14041–14053. [Google Scholar] [CrossRef]
- de la Rosa, K.M.; Martínez-Rios, A.; Pórraz-Culebro, T.; Toral-Acosta, D.; Enriquez-Gomez, L.; Guerrero-Viramontes, J. Effect of the surrounding refractive index and fusion-depth on side-pump combiners. Opt. Laser Technol. 2018, 107, 468–477. [Google Scholar] [CrossRef]
Disclaimer/Publisher’s Note: The statements, opinions and data contained in all publications are solely those of the individual author(s) and contributor(s) and not of MDPI and/or the editor(s). MDPI and/or the editor(s) disclaim responsibility for any injury to people or property resulting from any ideas, methods, instructions or products referred to in the content. |
© 2024 by the authors. Licensee MDPI, Basel, Switzerland. This article is an open access article distributed under the terms and conditions of the Creative Commons Attribution (CC BY) license (https://creativecommons.org/licenses/by/4.0/).










