Nano-LC with New Hydrophobic Monolith Based on 9-Antracenylmethyl Methacrylate for Biomolecule Separation
Abstract
1. Introduction
2. Results and Discussion
2.1. The Preparation and Characterization of ANM Monolith
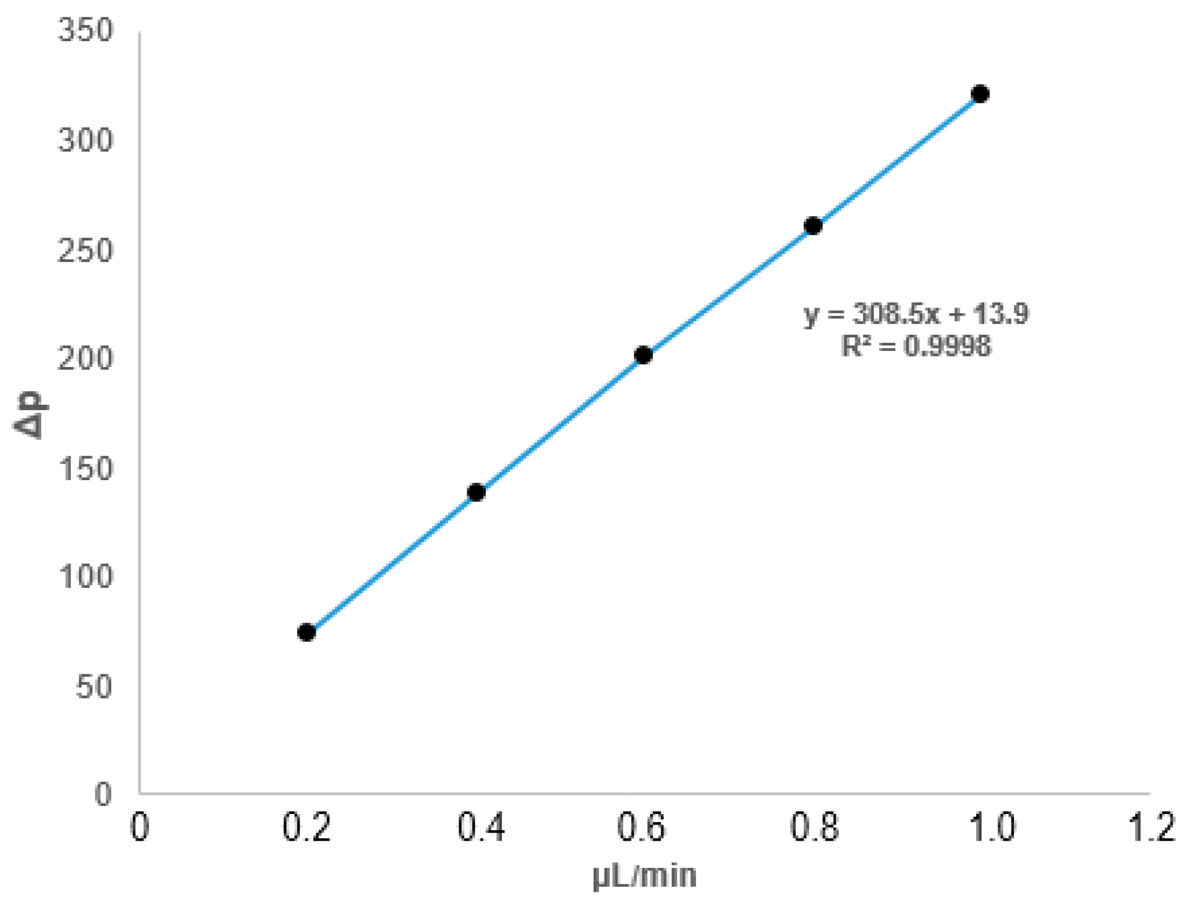
2.2. Chromatographic Evaluation
2.3. Biomolecule Separation
2.4. Protein and Peptide Profiling
3. Materials and Methods
3.1. Chemicals and Reagents
3.2. Instrumentation
3.3. Cell Culture and Peptide Preparations
3.4. ANM Monolithic Column Preparation
3.4.1. Monomer Synthesis
3.4.2. In Situ Polymerization
3.5. Chromatographic Conditions
4. Conclusions
Supplementary Materials
Author Contributions
Funding
Institutional Review Board Statement
Informed Consent Statement
Data Availability Statement
Conflicts of Interest
References
- Yi, L.; Piehowski, P.D.; Shi, T.; Smith, R.D.; Qian, W.-J. Advances in Microscale Separations towards Nanoproteomics Applications. J. Chromatogr. A 2017, 1523, 40–48. [Google Scholar] [CrossRef]
- Aydoğan, C. Critical Review of New Advances in Food and Plant Proteomics Analyses by Nano-LC/MS Towards Advanced Foodomics. TrAC—Trends Anal. Chem. 2024, 176, 117759. [Google Scholar] [CrossRef]
- Wilson, S.R.; Olsen, C.; Lundanes, E. Nano Liquid Chromatography Columns. Analyst 2019, 144, 7090–7104. [Google Scholar] [CrossRef] [PubMed]
- Liu, Y.; Wang, X.; Chen, Z.; Liang, D.H.; Sun, K.; Huang, S.; Zhu, J.; Shi, X.; Zeng, J.; Wang, Q.; et al. Towards a High Peak Capacity of 130 Using Nanoflow Hydrophilic Interaction Liquid Chromatography. Anal. Chim. Acta 2019, 1062, 147–155. [Google Scholar] [CrossRef] [PubMed]
- Svec, F.; Lv, Y. Advances and Recent Trends in the Field of Monolithic Columns for Chromatography. Anal. Chem. 2015, 87, 250–273. [Google Scholar] [CrossRef] [PubMed]
- Roberg-Larsen, H.; Wilson, S.R.; Lundanes, E. Recent Advances in On-Line Upfront Devices for Sensitive Bioanalytical Nano LC Methods. TrAC—Trends Anal. Chem. 2021, 136, 116190. [Google Scholar] [CrossRef]
- Aydoğan, C. New Advances in Nano-Liquid Chromatography for Proteomics Analysis. In Advances in Chromatography-Book Series; Taylor & Francis: Abingdon, UK, 2024; ISBN 978-1-03-280638-9. [Google Scholar]
- Pozniak, Y.; Balint-Lahat, N.; Rudolph, J.D.; Lindskog, C.; Katzir, R.; Avivi, C.; Pontén, F.; Ruppin, E.; Barshack, I.; Geiger, T. System-Wide Clinical Proteomics of Breast Cancer Reveals Global Remodeling of Tissue Homeostasis. Cell Syst. 2016, 2, 172–184. [Google Scholar] [CrossRef]
- Lynch, K.B.; Ren, J.; Beckner, M.A.; He, C.; Liu, S. Monolith Columns for Liquid Chromatographic Separations of Intact Proteins: A Review of Recent Advances and Applications. Anal. Chim. Acta 2019, 1046, 48–68. [Google Scholar] [CrossRef]
- Yang, Y.; Chen, H.; Beckner, M.A.; Xiang, P.; Lu, J.J.; Cao, C.; Liu, S. Narrow, Open, Tubular Column for Ultrahigh-Efficiency Liquid-Chromatographic Separation under Elution Pressure of Less than 50 Bar. Anal. Chem. 2018, 90, 10676–10680. [Google Scholar] [CrossRef] [PubMed]
- Yates, J.R. The Revolution and Evolution of Shotgun Proteomics for Large-Scale Proteome Analysis. J. Am. Chem. Soc. 2013, 135, 1269–1640. [Google Scholar] [CrossRef]
- Günyel, Z.; Aslan, H.; Demir, N.; Aydoğan, C. Nano-liquid Chromatography with a New Nano-structured Monolithic Nanocolumn for Proteomics Analysis. J. Sep. Sci. 2021, 44, 3996–4004. [Google Scholar] [CrossRef] [PubMed]
- Beltekin, B.; Alharthi, S.; Aydoğan, C. Novel Open-tubular Columns with Highly Hydrophobic Stationary Phase for Peptide and Protein Separation by Nano-liquid Chromatography. Sep. Sci. Plus 2023, 6, 2200111. [Google Scholar] [CrossRef]
- Rosenberg, J.E.; Flodin, P. Macroporous Gels. 2. Polymerization of Trimethylolpropane Trimethacrylate in Various Solvents. Macromolecules 1987, 20, 1518–1522. [Google Scholar] [CrossRef]
- Aydoğan, C.; El Rassi, Z. Monolithic Stationary Phases with Incorporated Fumed Silica Nanoparticles. Part II. Polymethacrylate-Based Monolithic Column with “Covalently” Incorporated Modified Octadecyl Fumed Silica Nanoparticles for Reversed-Phase Chromatography. J. Chromatogr. A 2016, 1445, 62–67. [Google Scholar] [CrossRef]
- Melander, W.R.; Horváth, C. Reversed-phase chromatography. In High-Performance Liquid Chromatography; Elsevier: Amsterdam, The Netherlands, 1980; pp. 113–319. ISBN 978-0-12-312202-5. [Google Scholar]
- Mahn, A.; Lienqueo, M.E.; Salgado, J.C. Methods of Calculating Protein Hydrophobicity and Their Application in Developing Correlations to Predict Hydrophobic Interaction Chromatography Retention. J. Chromatogr. A 2009, 1216, 1838–1844. [Google Scholar] [CrossRef] [PubMed]
- Aydoğan, C.; Beltekin, B.; Alharthi, S.; Ağca, C.A.; Erdoğan, İ.Y. Nano-Liquid Chromatography with Monolithic Stationary Phase Based on Naphthyl Monomer for Proteomics Analysis. J. Chromatogr. A 2023, 1690, 463804. [Google Scholar] [CrossRef]
- Dores-Sousa, J.L.; Terryn, H.; Eeltink, S. Morphology Optimization and Assessment of the Performance Limits of High-Porosity Nanostructured Polymer Monolithic Capillary Columns for Proteomics Analysis. Anal. Chim. Acta 2020, 1124, 176–183. [Google Scholar] [CrossRef]
- Wilson, S.R.; Vehus, T.; Berg, H.S.; Lundanes, E. Nano-LC in Proteomics: Recent Advances and Approaches. Bioanalysis 2015, 7, 1799–1815. [Google Scholar] [CrossRef]
- Zhang, Y.; Zhang, Y.; Wang, G.; He, Y. Study on Fluorescent Switching of Naphthopyran and Pyrene-Containing Dyad and Copolymer in Solutions and Films. Dye. Pigment. 2014, 102, 107–113. [Google Scholar] [CrossRef]
- Kötteritzsch, J.; Geitner, R.; Ahner, J.; Abend, M.; Zechel, S.; Vitz, J.; Hoeppener, S.; Dietzek, B.; Schmitt, M.; Popp, J.; et al. Remendable Polymers via Reversible Diels–Alder Cycloaddition of Anthracene-containing Copolymers with Fullerenes. J Appl. Polym. Sci 2018, 135, 45916. [Google Scholar] [CrossRef]
- Bilir, C.; Erdogan, T.; Odabas, S.; Erdal Unveren, E. Novel Partially Fluorinated Graft Block Copolymer Ionomer as Potential Proton Exchange Membrane Material. Polymer 2016, 95, 91–101. [Google Scholar] [CrossRef]









| Column | Monomers (Molar Ratio) | Porogen (µL) | R2 a | Specific Surface Area (m2/g) | Permeability (×10−14) | 
|---|---|---|---|---|---|
| ANM: TRIM | THF:Dodecanol | ||||
| ANM-1 | 1:2 | 100:300 | No back pressure | - | - | 
| ANM-2 | 1:2 | 200:300 | No back pressure | - | - | 
| ANM-3 | 1:2 | 200:200 | Low back pressure | - | - | 
| ANM-4 | 1:2 | 300:100 | 0.9964 | - | - | 
| ANM-5 | 1:2 | 400:100 | 0.9987 | 102.7 | 8.72 | 
| ANM-6 | 1:3 | 400:100 | 0.9991 | - | - | 
| ANM-7 | 1:3.2 | 400:100 | 0.9995 | - | - | 
| ANM-8 | 1:3.6 | 400:100 | 0.9998 | 288.4 | 2.22 | 
| ANM-9 | 1:3.8 | 400:100 | Low flow | - | - | 
| ANM-10 | 1:4 | 400:100 | White jel | - | - | 
| Disclaimer/Publisher’s Note: The statements, opinions and data contained in all publications are solely those of the individual author(s) and contributor(s) and not of MDPI and/or the editor(s). MDPI and/or the editor(s) disclaim responsibility for any injury to people or property resulting from any ideas, methods, instructions or products referred to in the content. | 
© 2024 by the authors. Licensee MDPI, Basel, Switzerland. This article is an open access article distributed under the terms and conditions of the Creative Commons Attribution (CC BY) license (https://creativecommons.org/licenses/by/4.0/).
Share and Cite
Aydoğan, C.; Alharthi, S. Nano-LC with New Hydrophobic Monolith Based on 9-Antracenylmethyl Methacrylate for Biomolecule Separation. Int. J. Mol. Sci. 2024, 25, 13646. https://doi.org/10.3390/ijms252413646
Aydoğan C, Alharthi S. Nano-LC with New Hydrophobic Monolith Based on 9-Antracenylmethyl Methacrylate for Biomolecule Separation. International Journal of Molecular Sciences. 2024; 25(24):13646. https://doi.org/10.3390/ijms252413646
Chicago/Turabian StyleAydoğan, Cemil, and Sarah Alharthi. 2024. "Nano-LC with New Hydrophobic Monolith Based on 9-Antracenylmethyl Methacrylate for Biomolecule Separation" International Journal of Molecular Sciences 25, no. 24: 13646. https://doi.org/10.3390/ijms252413646
APA StyleAydoğan, C., & Alharthi, S. (2024). Nano-LC with New Hydrophobic Monolith Based on 9-Antracenylmethyl Methacrylate for Biomolecule Separation. International Journal of Molecular Sciences, 25(24), 13646. https://doi.org/10.3390/ijms252413646
 
        


 
       