Sign in to use this feature.

Years

Between: -

Subjects

remove_circle_outline
remove_circle_outline
remove_circle_outline
remove_circle_outline
remove_circle_outline
remove_circle_outline

Journals

Article Types

Countries / Regions

Search Results (13)

Search Parameters:
Keywords = mixed-effect model (MEM)

Order results
Result details
Results per page
Select all
Export citation of selected articles as:
14 pages, 1839 KB  
Article
An Empirical Study on the Impact of Key Technology Configurations on Sales of Battery Electric Vehicles: Evidence from the Chinese Market
by Shufang Huang, Yunpeng Li and Zhen Xi
World Electr. Veh. J. 2025, 16(9), 522; https://doi.org/10.3390/wevj16090522 - 16 Sep 2025
Viewed by 462
Abstract
In the global automotive industry’s transition towards electrification and intelligence, the influence of key technology configurations of battery electric vehicles (BEVs) on consumer purchasing decisions and market sales has become increasingly prominent. This paper empirically investigates the impact of BEVs’ key technology features—specifically, [...] Read more.
In the global automotive industry’s transition towards electrification and intelligence, the influence of key technology configurations of battery electric vehicles (BEVs) on consumer purchasing decisions and market sales has become increasingly prominent. This paper empirically investigates the impact of BEVs’ key technology features—specifically, driving range, Advanced Driver-Assistance Systems (ADASs), and intelligent cockpits—on sales, with a particular focus on the interaction effect between ADAS score and price. Employing panel data from the Chinese market spanning January 2023 to March 2025, this study analyzes 783 observations across 29 models and 13 brands using a multilevel mixed-effects model (MEM). The results indicate that driving range and intelligent cockpit score (ICS) are significantly and positively associated with sales growth, whereas price has a significant negative effect. More importantly, a significant interaction effect exists between the ADAS score and price, which implies that the impact of ADASs on sales varies across different price levels. Specifically, in lower-priced models, a high ADAS score corresponds to a decrease in sales, while its effect trends toward positive in higher-priced models. Furthermore, a high ADAS score significantly reduces consumers’ price sensitivity.Compared with prior macro-level studies, our contribution is jointly quantifying (i) the main effects of range and ICS and (ii) a price-contingent ADAS effect within a model-within-brand MEM, revealing that higher ADAS scores attenuate price sensitivity in premium segments. These findings offer actionable guidance for configuration bundling and pricing across market segments. Full article
(This article belongs to the Section Marketing, Promotion and Socio Economics)
Show Figures

Figure 1

20 pages, 7909 KB  
Article
Mechanisms of Nitrogen Cycling Driven by Salinity in Inland Plateau Lakes, Based on a Haline Gradient Experiment Using Pangong Tso Sediment
by Ruiting Chang, Liang Ao, Zhi Zhang, Qiaojing Qin, Xueli Hu, Guoliang Liao, Yuanhang Zhou, Yu He and Haoyu Xu
Water 2025, 17(12), 1797; https://doi.org/10.3390/w17121797 - 16 Jun 2025
Viewed by 533
Abstract
Pangong Tso, a typical plateau lake exhibiting an east-to-west gradient from freshwater to saline conditions, was used to simulate the migration and transformation of nitrogen compounds under different salinity conditions. This study systematically investigates the effects of salinity on nitrogen cycling and transformation [...] Read more.
Pangong Tso, a typical plateau lake exhibiting an east-to-west gradient from freshwater to saline conditions, was used to simulate the migration and transformation of nitrogen compounds under different salinity conditions. This study systematically investigates the effects of salinity on nitrogen cycling and transformation in Pangong Tso sediments from 12 sites through controlled laboratory experiments and field monitoring across 120 sites. The data analysis method includes correlation analysis, ANOVA, structural equation modeling (SEM), and mixed-effects modeling (MEM). The results demonstrate that salinity significantly affects nitrogen cycling in plateau lakes. Salinity inhibits nitrification, resulting in an accumulation of ammonium nitrogen (NH4+-N), while simultaneously suppressing gaseous nitrogen emissions through the inhibition of denitrification. Salinity has a significant negative effect on nitrite nitrogen (NO2-N), which is attributable to enhanced redox-driven transformations under hypersaline conditions. A salinity threshold of approximately 9‰ was identified, above which nitrite oxidation was strongly inhibited, consistent with the known high salinity sensitivity of nitrite-oxidizing bacteria (NOB). Higher salinity levels correlated positively with increased NH4+-N and total nitrogen (TN) concentrations in overlying water (p < 0.01), and were further supported by observed increases in dissolved organic nitrogen (DON) and dissolved total nitrogen (DTN) along with rising salinity, and vice versa. Full article
Show Figures

Figure 1

21 pages, 4293 KB  
Article
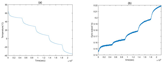
Temperature Compensation Method for MEMS Ring Gyroscope Based on PSO-TVFEMD-SE-TFPF and FTTA-LSTM
by Hongqiao Huang, Wen Ye, Li Liu, Wenjing Wang, Yan Wang and Huiliang Cao
Micromachines 2025, 16(5), 507; https://doi.org/10.3390/mi16050507 - 26 Apr 2025
Viewed by 691
Abstract
This study proposes a novel parallel denoising and temperature compensation fusion algorithm for MEMS ring gyroscopes. First, the particle swarm optimization (PSO) algorithm is used to optimize the time-varying filter-based empirical mode decomposition (TVFEMD), obtaining optimal decomposition parameters. Then, TVFEMD decomposes the gyroscope [...] Read more.
This study proposes a novel parallel denoising and temperature compensation fusion algorithm for MEMS ring gyroscopes. First, the particle swarm optimization (PSO) algorithm is used to optimize the time-varying filter-based empirical mode decomposition (TVFEMD), obtaining optimal decomposition parameters. Then, TVFEMD decomposes the gyroscope output signal into a series of product function (PF) signals and a residual signal. Next, sample entropy (SE) is employed to classify the decomposed signals into three categories: noise segment, mixed segment, and feature segment. According to the parallel model structure, the noise segment is directly discarded. Meanwhile, time–frequency peak filtering (TFPF) is applied to denoise the mixed segment, while the feature segment undergoes compensation. For compensation, the football team training algorithm (FTTA) is used to optimize the parameters of the long short-term memory (LSTM) neural network, forming a novel FTTA-LSTM architecture. Both simulations and experimental results validate the effectiveness of the proposed algorithm. After processing the MEMS gyroscope output signal using the PSO-TVFEMD-SE-TFPF denoising algorithm and the FTTA-LSTM temperature drift compensation model, the angular random walk (ARW) of the MEMS gyroscope is reduced to 0.02°/√h, while the bias instability (BI) decreases to 2.23°/h. Compared to the original signal, ARW and BI are reduced by 99.43% and 97.69%, respectively. The proposed fusion-based temperature compensation method significantly enhances the temperature stability and noise performance of the gyroscope. Full article
(This article belongs to the Section A:Physics)
Show Figures

Figure 1

23 pages, 7480 KB  
Article
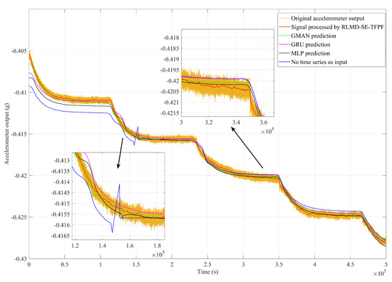
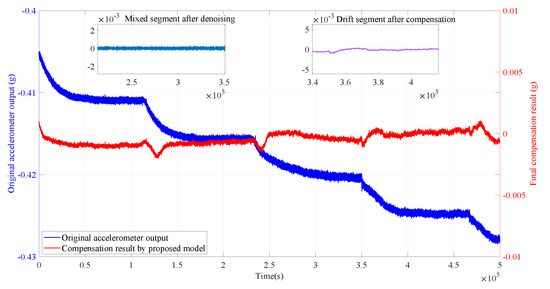
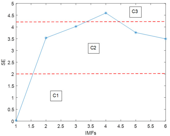
A Temperature Compensation Approach for Micro-Electro-Mechanical Systems Accelerometer Based on Gated Recurrent Unit–Attention and Robust Local Mean Decomposition–Sample Entropy–Time-Frequency Peak Filtering
by Rubiao Cui, Jingzehua Xu, Botao Huang, Huakun Xu, Miao Peng, Jingwen Yang, Jintao Zhang, Yikuan Gu, Daoyi Chen, Haoran Li and Huiliang Cao
Micromachines 2024, 15(4), 483; https://doi.org/10.3390/mi15040483 - 30 Mar 2024
Cited by 3 | Viewed by 3959
Abstract
MEMS accelerometers are significantly impacted by temperature and noise, leading to a considerable compromise in their accuracy. In response to this challenge, we propose a parallel denoising and temperature compensation fusion algorithm for MEMS accelerometers based on RLMD-SE-TFPF and GRU-attention. Firstly, we utilize [...] Read more.
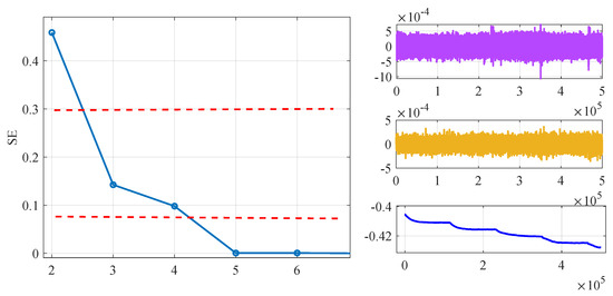
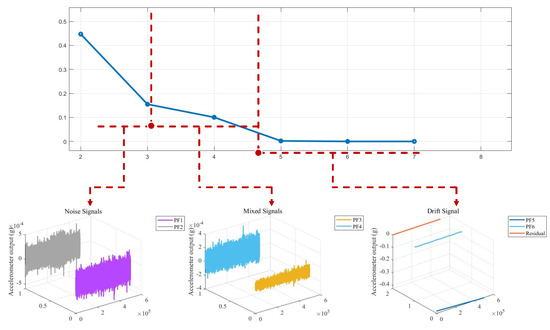
MEMS accelerometers are significantly impacted by temperature and noise, leading to a considerable compromise in their accuracy. In response to this challenge, we propose a parallel denoising and temperature compensation fusion algorithm for MEMS accelerometers based on RLMD-SE-TFPF and GRU-attention. Firstly, we utilize robust local mean decomposition (RLMD) to decompose the output signal of the accelerometer into a series of product function (PF) signals and a residual signal. Secondly, we employ sample entropy (SE) to classify the decomposed signals, categorizing them into noise segments, mixed segments, and temperature drift segments. Next, we utilize the time-frequency peak filtering (TFPF) algorithm with varying window lengths to separately denoise the noise and mixed signal segments, enabling subsequent signal reconstruction and training. Considering the strong inertia of the temperature signal, we innovatively introduce the accelerometer’s output time series as the model input when training the temperature compensation model. We incorporate gated recurrent unit (GRU) and attention modules, proposing a novel GRU-MLP-attention model (GMAN) architecture. Simulation experiments demonstrate the effectiveness of our proposed fusion algorithm. After processing the accelerometer output signal through the RLMD-SE-TFPF denoising algorithm and the GMAN temperature drift compensation model, the acceleration random walk is reduced by 96.11%, with values of 0.23032 g/h/Hz for the original accelerometer output signal and 0.00895695 g/h/Hz for the processed signal. Full article
(This article belongs to the Section E:Engineering and Technology)
Show Figures

Figure 1

29 pages, 2673 KB  
Article
Exploring the Predictors of Co-Nationals’ Preference over Immigrants in Accessing Jobs—Evidence from World Values Survey
by Daniel Homocianu
Mathematics 2023, 11(3), 786; https://doi.org/10.3390/math11030786 - 3 Feb 2023
Cited by 1 | Viewed by 3011
Abstract
This paper presents the results of an exploration of the most resilient influences determining the attitude regarding prioritizing co-nationals over immigrants for access to employment. The source data were from the World Values Survey. After many selection and testing steps, a set of [...] Read more.
This paper presents the results of an exploration of the most resilient influences determining the attitude regarding prioritizing co-nationals over immigrants for access to employment. The source data were from the World Values Survey. After many selection and testing steps, a set of the seven most significant determinants was produced (a fair-to-good model as prediction accuracy). These seven determinants (a hepta-core model) correspond to some features, beliefs, and attitudes regarding emancipative values, gender discrimination, immigrant policy, trust in people of another nationality, inverse devoutness or making parents proud as a life goal, attitude towards work, the post-materialist index, and job preferences as more inclined towards self rather than community benefits. Additional controls revealed the significant influence of some socio-demographic variables. They correspond to gender, the number of children, the highest education level attained, employment status, income scale positioning, settlement size, and the interview year. All selection and testing steps considered many principles, methods, and techniques (e.g., triangulation via adaptive boosting (in the Rattle library of R), and pairwise correlation-based data mining—PCDM, LASSO, OLS, binary and ordered logistic regressions (LOGIT, OLOGIT), prediction nomograms, together with tools for reporting default and custom model evaluation metrics, such as ESTOUT and MEM in Stata). Cross-validations relied on random subsamples (CVLASSO) and well-established ones (mixed-effects). In addition, overfitting removal (RLASSO), reverse causality, and collinearity checks succeeded under full conditions for replicating the results. The prediction nomogram corresponding to the most resistant predictors identified in this paper is also a powerful tool for identifying risks. Therefore, it can provide strong support for decision makers in matters related to immigration and access to employment. The paper’s novelty also results from the many robust supporting techniques that allow randomly, and non-randomly cross-validated and fully reproducible results based on a large amount and variety of source data. The findings also represent a step forward in migration and access-to-job research. Full article
(This article belongs to the Special Issue Probability, Stochastic Processes and Optimization)
Show Figures

Figure 1

15 pages, 1112 KB  
Article
Energy Production Analysis of Rooftop PV Systems Equipped with Module-Level Power Electronics under Partial Shading Conditions Based on Mixed-Effects Model
by Ngoc Thien Le, Thanh Le Truong, Widhyakorn Asdornwised, Surachai Chaitusaney and Watit Benjapolakul
Energies 2023, 16(2), 970; https://doi.org/10.3390/en16020970 - 15 Jan 2023
Cited by 2 | Viewed by 1993
Abstract
The rooftop photovoltaic (PV) system that uses a power optimization device at the module level (MLPE) has been theoretically proven to have an advantage over other types in case of reducing the effect of partial shading. Unfortunately, there is still a lack of [...] Read more.
The rooftop photovoltaic (PV) system that uses a power optimization device at the module level (MLPE) has been theoretically proven to have an advantage over other types in case of reducing the effect of partial shading. Unfortunately, there is still a lack of studies about the energy production of such a system in real working conditions with the impact of partial shading conditions (PSC). In this study, we evaluated the electrical energy production of the PV systems which use two typical configurations of power optimization at the PV panel level, a DC optimizer and a microinverter, using their real datasets working under PSC. Firstly, we compared the energy utilization ratio of the monthly energy production of these systems to the reference ones generated from PVWatt software to evaluate the effect of PSC on energy production. Secondly, we conducted a linear decline model to estimate the annual degradation rate of PV systems during a 6-year period to evaluate the effect of PSC on the PV’s degradation rate. In order to perform these evaluations, we utilized a mixed-effects model, a practical approach for studying time series data. The findings showed that the energy utilization ratio of PVs with MLPE was reduced by about 14.7% (95% confidence interval: 27.3% to 2.0%) under PSC, compared to that under nonshading conditions (NSC). Another finding was that the PSC did not significantly impact the PV’s annual energy degradation rate, which was about 50 (Wh/kW) per year. Our finding could therefore be used by homeowners to help make their decision, as a recommendation to select the gained energy production under PSC or the cost of a rooftop PV system using MLPE for their investment. Our finding also suggested that in the area where partial shading rarely happened, the rooftop PV system using a string or centralized inverter configuration was a more appropriate option than MLPE. Finally, our study provides an understanding about the ability of MLPE to reduce the effect of PSC in real working conditions. Full article
(This article belongs to the Special Issue Energy Performance of the Photovoltaic Systems)
Show Figures

Figure 1

18 pages, 8954 KB  
Article
A Bias Drift Suppression Method Based on ICELMD and ARMA-KF for MEMS Gyros
by Lihui Feng, Le Du, Junqiang Guo, Jianmin Cui, Jihua Lu, Zhengqiang Zhu and Lijuan Wang
Micromachines 2023, 14(1), 109; https://doi.org/10.3390/mi14010109 - 30 Dec 2022
Cited by 8 | Viewed by 2165
Abstract
The applications of Micro-Electro-Mechanical-System (MEMS) gyros in inertial navigation system is gradually increasing. However, the random drift of gyro deteriorates the system performance which restricting the applications of high precision. We propose a bias drift compensation model based on two-fold Interpolated Complementary Ensemble [...] Read more.
The applications of Micro-Electro-Mechanical-System (MEMS) gyros in inertial navigation system is gradually increasing. However, the random drift of gyro deteriorates the system performance which restricting the applications of high precision. We propose a bias drift compensation model based on two-fold Interpolated Complementary Ensemble Local Mean Decomposition (ICELMD) and autoregressive moving average-Kalman filtering (ARMA-KF). We modify CELMD into ICELMD, which is less complicated and overcomes the endpoint effect. Further, the ICELMD is combined with ARMA-KF to separate and simplify the preprocessed signal, resulting improved denoising performance. In the model, the abnormal noise is removed in preprocess by 2σ criterion with ICELMD. Then, continuous mean square error (CMSE) and Permutation Entropy (PE) are both applied to categorize the preprocessed signal into noise, mixed and useful components. After abandon the noise components and denoise the mixed components by ARMA-KF, we rebuild the noise suppression signal of MEMS gyro. Experiments are carried out to validate the proposed algorithm. The angle random walk of gyro decreases from 2.4156/h to 0.0487/h, the zero bias instability lowered from 0.3753/h to 0.0509/h. Further, the standard deviation and the variance are greatly reduced, indicating that the proposed method has better suppression effect, stability and adaptability. Full article
(This article belongs to the Special Issue MEMS for Aerospace Applications, 2nd Edition)
Show Figures

Figure 1

29 pages, 4679 KB  
Article
A Suitable Model for Spatiotemporal Particulate Matter Concentration Prediction in Rural and Urban Landscapes, Thailand
by Pirada Tongprasert and Suwit Ongsomwang
Atmosphere 2022, 13(6), 904; https://doi.org/10.3390/atmos13060904 - 2 Jun 2022
Cited by 5 | Viewed by 2907
Abstract
Spatiotemporal particulate matter (PM) concentration prediction using MODIS AOD with significant PM factors in rural and urban landscapes in Thailand is necessary for public health and has been complicated by the limitations of PM monitoring stations. The research objectives were (1) to identify [...] Read more.
Spatiotemporal particulate matter (PM) concentration prediction using MODIS AOD with significant PM factors in rural and urban landscapes in Thailand is necessary for public health and has been complicated by the limitations of PM monitoring stations. The research objectives were (1) to identify significant factors affecting PM10 concentrations in rural landscapes and PM2.5 in urban landscapes; (2) to predict spatiotemporal PM10 and PM2.5 concentrations using geographically weighted regression (GWR) and mixed-effect model (MEM), and (3) to evaluate a suitable spatiotemporal model for PM10 and PM2.5 concentration prediction and validation. The research methodology consisted of four stages: data collection and preparation, the identification of significant spatiotemporal factors affecting PM concentrations, the prediction of spatiotemporal PM concentrations, and a suitable spatiotemporal model for PM concentration prediction and validation. As a result, the predicted PM10 concentrations using the GWR model varied from 50.53 to 85.79 µg/m3 and from 36.92 to 51.32 µg/m3 in winter and summer, while the predicted PM10 concentrations using the MEM model varied from 50.68 to 84.59 µg/m3 and from 37.08 to 50.81 µg/m3 in both seasons. Likewise, the PM2.5 concentration prediction using the GWR model varied from 25.33 to 44.37 µg/m3 and from 16.69 to 24.04 µg/m3 in winter and summer, and the PM2.5 concentration prediction using the MEM model varied from 25.45 to 44.36 µg/m3 and from 16.68 and 23.75 µg/m3 during the two seasons. Meanwhile, according to Thailand and U.S. EPA standards, the monthly air quality index (AQI) classifications of the GWR and MEM were similar. Nevertheless, the derived average corrected Akaike Information Criterion (AICc) values of the GWR model for PM10 and PM2.5 predictions during both seasons were lower than that of the MEM model. Therefore, the GWR model was chosen as a suitable model for spatiotemporal PM10 and PM2.5 concentration predictions. Furthermore, the result of spatial correlation analysis for GWR model validation based on a new dataset provided average correlation coefficient values for PM10 and PM2.5 concentration predictions with a higher than the expected value of 0.5. Subsequently, the GWR model with significant monthly and seasonal factors could predict spatiotemporal PM 10 and PM2.5 concentrations in rural and urban landscapes in Thailand. Full article
(This article belongs to the Special Issue Remote Sensing Applications in Particulate Matter)
Show Figures

Figure 1

17 pages, 10341 KB  
Article
Dual-Mass MEMS Gyroscope Parallel Denoising and Temperature Compensation Processing Based on WLMP and CS-SVR
by Longkang Chang, Huiliang Cao and Chong Shen
Micromachines 2020, 11(6), 586; https://doi.org/10.3390/mi11060586 - 11 Jun 2020
Cited by 21 | Viewed by 3543
Abstract
For the sake of decreasing the effects of noise and temperature error on the measurement accuracy of micro-electro-mechanical system (MEMS) gyroscopes, a denoising and temperature drift compensation parallel model method based on wavelet transform and forward linear prediction (WFLP) and support vector regression [...] Read more.
For the sake of decreasing the effects of noise and temperature error on the measurement accuracy of micro-electro-mechanical system (MEMS) gyroscopes, a denoising and temperature drift compensation parallel model method based on wavelet transform and forward linear prediction (WFLP) and support vector regression based on the cuckoo search algorithm (CS-SVR) is proposed in this paper. First, variational mode decomposition (VMD) is proposed in this paper, which is aimed at dividing the output signal of the gyroscope into intrinsic mode functions (IMFs); then, the IMFs are classified into three features—drift, mixed, and pure noise features—by the sample entropy (SE) value. Second, a wavelet transform and forward linear prediction (WFLP) are combined to remove the noise from the mixed features. Meanwhile, the drift feature is compensated by support vector regression based on the cuckoo search algorithm (CS-SVR). Finally, through reconstruction, the final signal is obtained. Experimental results demonstrate that the VMD-SE-WFLP-CS-SVR method proposed in this paper can decrease noise and compensate the temperature error effectively (angular random walking value is optimized from 1.667°/√h to 0.0667°/√h and the bias stability is reduced from 30°/h to 4°/h). In terms of denoising, the performance of the WFLP algorithm is superior to the wavelet threshold and FLP, as it combines their advantages; furthermore, in terms of temperature compensation, the proposed CS-SVR algorithm uses the cuckoo search algorithm to find the optimal parameters of SVR, improving the accuracy of the model. Full article
Show Figures

Figure 1

21 pages, 13204 KB  
Article
A Temperature Error Parallel Processing Model for MEMS Gyroscope based on a Novel Fusion Algorithm
by Tiancheng Ma, Huiliang Cao and Chong Shen
Electronics 2020, 9(3), 499; https://doi.org/10.3390/electronics9030499 - 18 Mar 2020
Cited by 24 | Viewed by 4479
Abstract
To deal with the influence of temperature drift for a Micro-Electro-Mechanical System (MEMS) gyroscope, this paper proposes a new temperature error parallel processing method based on a novel fusion algorithm. Firstly, immune based particle swarm optimization (IPSO) is employed for optimal parameters search [...] Read more.
To deal with the influence of temperature drift for a Micro-Electro-Mechanical System (MEMS) gyroscope, this paper proposes a new temperature error parallel processing method based on a novel fusion algorithm. Firstly, immune based particle swarm optimization (IPSO) is employed for optimal parameters search for Variational Modal Decomposition (VMD). Then, we can get the optimal decomposition parameters, wherein permutation entropy (PE) is employed as the fitness function of the particles. Then, the improved VMD is performed on the output signal of the gyro to obtain intrinsic mode functions (IMFs). After judging by sample entropy (SE), the IMFs are divided into three categories: noise term, mixed term and feature term, which are processed differently. Filter the mixed term and compensate the feature term at the same time. Finally, reconstruct them and get the result. Compared with other optimization algorithms, IPSO has a stronger global search ability and faster convergence speed. After Back propagation neural network (BP) is enhanced by Adaptive boosting (Adaboost), it becomes a strong learner and a better model, which can approach the real value with higher precision. The experimental result shows that the novel parallel method proposed in this paper can effectively solve the problem of temperature errors. Full article
(This article belongs to the Section Microelectronics)
Show Figures

Figure 1

20 pages, 2193 KB  
Article
Comparison of Tree Biomass Modeling Approaches for Larch (Larix olgensis Henry) Trees in Northeast China
by Lihu Dong, Yue Zhang, Zhuo Zhang, Longfei Xie and Fengri Li
Forests 2020, 11(2), 202; https://doi.org/10.3390/f11020202 - 11 Feb 2020
Cited by 38 | Viewed by 2968
Abstract
Accurate quantification of tree biomass is critical and essential for calculating carbon storage, as well as for studying climate change, forest health, forest productivity, nutrient cycling, etc. Tree biomass is typically estimated using statistical models. Although various biomass models have been developed thus [...] Read more.
Accurate quantification of tree biomass is critical and essential for calculating carbon storage, as well as for studying climate change, forest health, forest productivity, nutrient cycling, etc. Tree biomass is typically estimated using statistical models. Although various biomass models have been developed thus far, most of them lack a detailed investigation of the additivity properties of biomass components and inherent correlations among the components and aboveground biomass. This study compared the nonadditive and additive biomass models for larch (Larix olgensis Henry) trees in Northeast China. For the nonadditive models, the base model (BM) and mixed effects model (MEM) separately fit the aboveground and component biomass, and they ignore the inherent correlation between the aboveground and component biomass of the same tree sample. For the additive models, two aggregated model systems with one (AMS1) and no constraints (AMS2) and two disaggregated model systems without (DMS1) and with an aboveground biomass model (DMS2) were fitted simultaneously by weighted nonlinear seemingly unrelated regression (NSUR) and applied to ensure additivity properties. Following this, the six biomass modeling approaches were compared to improve the prediction accuracy of these models. The results showed that the MEM with random effects had better model fitting and performance than the BM, AMS1, AMS2, DMS1, and DMS2; however, when no subsample was available to calculate random effects, AMS1, AMS2, DMS1, and DMS2 could be recommended. There was no single biomass modeling approach to predict biomass that was best for all aboveground and component biomass except for MEM. The overall ranking of models based on the fit and validation statistics obeyed the following order: MEM > DMS1 > AMS2 > AMS1> DMS2 > BM. This article emphasized more on the methodologies and it was expected that the methods could be applied by other researchers to develop similar systems of the biomass models for other species, and to verify the differences between the aggregated and disaggregated model systems. Overall, all biomass models in this study have the benefit of being able to predict aboveground and component biomass for larch trees and to be used to predict biomass of larch plantations in Northeast China. Full article
(This article belongs to the Section Forest Inventory, Modeling and Remote Sensing)
Show Figures

Figure 1

13 pages, 8540 KB  
Article
5 V Compatible Two-Axis PZT Driven MEMS Scanning Mirror with Mechanical Leverage Structure for Miniature LiDAR Application
by Liangchen Ye, Gaofei Zhang and Zheng You
Sensors 2017, 17(3), 521; https://doi.org/10.3390/s17030521 - 5 Mar 2017
Cited by 44 | Viewed by 10229
Abstract
The MEMS (Micro-Electronical Mechanical System) scanning mirror is an optical MEMS device that can scan laser beams across one or two dimensions. MEMS scanning mirrors can be applied in a variety of applications, such as laser display, bio-medical imaging and Light Detection and [...] Read more.
The MEMS (Micro-Electronical Mechanical System) scanning mirror is an optical MEMS device that can scan laser beams across one or two dimensions. MEMS scanning mirrors can be applied in a variety of applications, such as laser display, bio-medical imaging and Light Detection and Ranging (LiDAR). These commercial applications have recently created a great demand for low-driving-voltage and low-power MEMS mirrors. However, no reported two-axis MEMS scanning mirror is available for usage in a universal supplying voltage such as 5 V. In this paper, we present an ultra-low voltage driven two-axis MEMS scanning mirror which is 5 V compatible. In order to realize low voltage and low power, a two-axis MEMS scanning mirror with mechanical leverage driven by PZT (Lead zirconate titanate) ceramic is designed, modeled, fabricated and characterized. To further decrease the power of the MEMS scanning mirror, a new method of impedance matching for PZT ceramic driven by a two-frequency mixed signal is established. As experimental results show, this MEMS scanning mirror reaches a two-axis scanning angle of 41.9° × 40.3° at a total driving voltage of 4.2 Vpp and total power of 16 mW. The effective diameter of reflection of the mirror is 2 mm and the operating frequencies of two-axis scanning are 947.51 Hz and 1464.66 Hz, respectively. Full article
(This article belongs to the Special Issue Systems and Software for Low Power Embedded Sensing)
Show Figures

Figure 1

25 pages, 1179 KB  
Review
A Review on Predicting Ground PM2.5 Concentration Using Satellite Aerosol Optical Depth
by Yuanyuan Chu, Yisi Liu, Xiangyu Li, Zhiyong Liu, Hanson Lu, Yuanan Lu, Zongfu Mao, Xi Chen, Na Li, Meng Ren, Feifei Liu, Liqiao Tian, Zhongmin Zhu and Hao Xiang
Atmosphere 2016, 7(10), 129; https://doi.org/10.3390/atmos7100129 - 14 Oct 2016
Cited by 176 | Viewed by 16580
Abstract
This study reviewed the prediction of fine particulate matter (PM2.5) from satellite aerosol optical depth (AOD) and summarized the advantages and limitations of these predicting models. A total of 116 articles were included from 1436 records retrieved. The number of such [...] Read more.
This study reviewed the prediction of fine particulate matter (PM2.5) from satellite aerosol optical depth (AOD) and summarized the advantages and limitations of these predicting models. A total of 116 articles were included from 1436 records retrieved. The number of such studies has been increasing since 2003. Among these studies, four predicting models were widely used: Multiple Linear Regression (MLR) (25 articles), Mixed-Effect Model (MEM) (23 articles), Chemical Transport Model (CTM) (16 articles) and Geographically Weighted Regression (GWR) (10 articles). We found that there is no so-called best model among them and each has both advantages and limitations. Regarding the prediction accuracy, MEM performs the best, while MLR performs worst. CTM predicts PM2.5 better on a global scale, while GWR tends to perform well on a regional level. Moreover, prediction performance can be significantly improved by combining meteorological variables with land use factors of each region, instead of only considering meteorological variables. In addition, MEM has advantages in dealing with the AOD data with missing values. We recommend that with the help of higher resolution AOD data, future works could be focused on developing satellite-based predicting models for the prediction of historical PM2.5 and other air pollutants. Full article
Show Figures

Figure 1

Back to TopTop