A Temperature Compensation Approach for Micro-Electro-Mechanical Systems Accelerometer Based on Gated Recurrent Unit–Attention and Robust Local Mean Decomposition–Sample Entropy–Time-Frequency Peak Filtering
Abstract
1. Introduction
- We propose a novel GMAN model and RLMD-SE-TFPF fusion algorithm for temperature compensation and denoising of accelerometer signals. This involves modules such as RLMD, SE, TFPF, GRU, attention, etc. To the best of our knowledge, in the field of temperature compensation for MEMS accelerometers, this is the first time that time series information has been utilized for temperature drift prediction, and experimental results confirm the superiority of the proposed solution.
- Our complete temperature compensation model works in parallel. It separates the noise and drift components of the signal and then simultaneously denoises and compensates. The original signal does not experience extra loss, and there is no delay in the temperature compensation process.
- The effectiveness of our approach was validated using the Allan algorithm. The acceleration random walk (representing noise characteristics) was reduced by , with values of 0.23032 g/h for the original accelerometer output signal and 0.00895695 g/h for the processed signal.
2. Structure of MEMS Accelerometer
3. Algorithms
3.1. Local Mean Decomposition
3.2. Robust Local Mean Decomposition
3.3. Sample Entropy
3.4. Time-Frequency Peak Filtering
3.5. Temperature Compensation Model
3.5.1. Gated Recurrent Unit Block
3.5.2. Attention Mechanism
3.6. The Structure of the Temperature Compensation Model
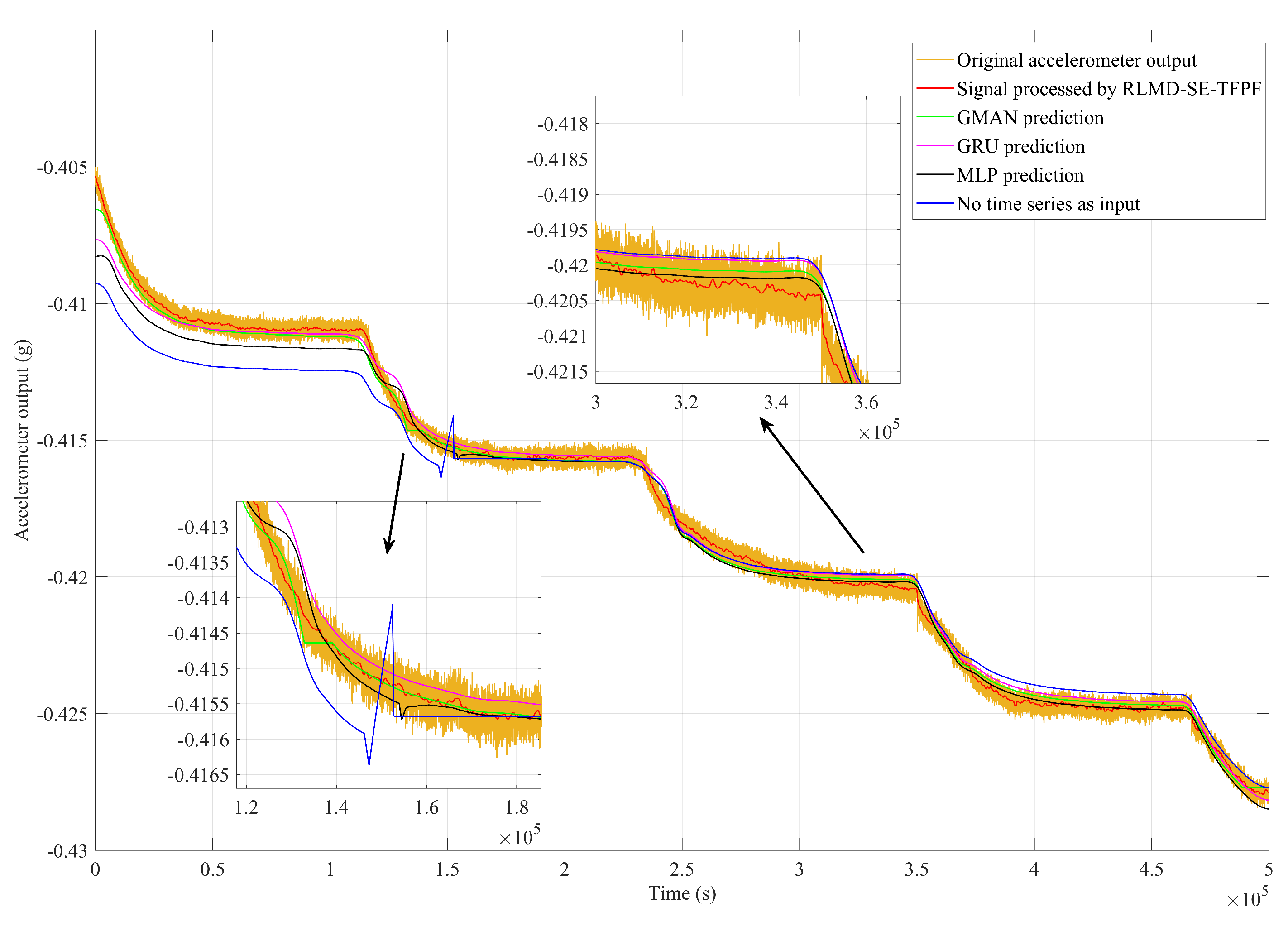
4. Expriments and Analysis
4.1. Temperature Experiment
4.2. Results Analysis
5. Conclusions
Author Contributions
Funding
Data Availability Statement
Conflicts of Interest
References
- Eloy, J.C.; Mounier, E.; Roussel, P. Status of the Inertial MEMS-based Sensors in the Automotive. In Advanced Microsystems for Automotive Applications; Springer: Berlin/Heidelberg, Germany, 2005; pp. 43–48. [Google Scholar]
- Ho, C.M.; Tai, Y.C. Micro-electro-mechanical-systems (MEMS) and fluid flows. Annu. Rev. Fluid Mech. 1998, 30, 579–612. [Google Scholar] [CrossRef]
- Narasimhan, V.; Li, H.; Jianmin, M. Micromachined high-g accelerometers: A review. J. Micromech. Microeng. 2015, 25, 033001. [Google Scholar] [CrossRef]
- Zotov, S.A.; Simon, B.R.; Trusov, A.A.; Shkel, A.M. High quality factor resonant MEMS accelerometer with continuous thermal compensation. IEEE Sens. J. 2015, 15, 5045–5052. [Google Scholar] [CrossRef]
- Kose, T.; Azgin, K.; Akin, T. Temperature compensation of a capacitive MEMS accelerometer by using a MEMS oscillator. In Proceedings of the 2016 IEEE International Symposium on Inertial Sensors and Systems, Laguna Beach, CA, USA, 22–25 February 2016; pp. 33–36. [Google Scholar]
- Araghi, G.; Landry, R., Jr. Temperature compensation model of MEMS inertial sensors based on neural network. In Proceedings of the 2018 IEEE/ION Position, Location and Navigation Symposium (PLANS), Monterey, CA, USA, 23–26 April 2018; pp. 301–309. [Google Scholar]
- Malayappan, B.; Lakshmi, U.P.; Rao, B.P.; Ramaswamy, K.; Pattnaik, P.K. Sensing techniques and interrogation methods in optical mems accelerometers: A review. IEEE Sens. J. 2022, 22, 6232–6246. [Google Scholar] [CrossRef]
- Ruzza, G.; Guerriero, L.; Revellino, P.; Guadagno, F.M. Thermal compensation of low-cost MEMS accelerometers for tilt measurements. Sensors 2018, 18, 2536. [Google Scholar] [CrossRef] [PubMed]
- Zhu, M.; Pang, L.; Xiao, Z.; Shen, C.; Cao, H.; Shi, Y.; Liu, J. Temperature drift compensation for High-G MEMS accelerometer based on RBF NN improved method. Appl. Sci. 2019, 9, 695. [Google Scholar] [CrossRef]
- Prikhodko, I.P.; Trusov, A.A.; Shkel, A.M. Compensation of drifts in high-Q MEMS gyroscopes using temperature self-sensing. Sens. Actuators A Phys. 2013, 201, 517–524. [Google Scholar] [CrossRef]
- He, J.; Xie, J.; He, X.; Du, L.; Zhou, W. Analytical study and compensation for temperature drifts of a bulk silicon MEMS capacitive accelerometer. Sens. Actuators A Phys. 2016, 239, 174–184. [Google Scholar] [CrossRef]
- Xu, D.; Yang, Z.; Zhao, H.; Zhou, X. A temperature compensation method for MEMS accelerometer based on LM_BP neural network. In Proceedings of the 2016 IEEE Sensors, Orlando, FL, USA, 30 October–2 November 2016; pp. 1–3. [Google Scholar]
- Yang, B.; Dai, B.; Liu, X.; Xu, L.; Deng, Y.; Wang, X. The on-chip temperature compensation and temperature control research for the silicon micro-gyroscope. Microsyst. Technol. 2015, 21, 1061–1072. [Google Scholar] [CrossRef]
- Park, M.; Gao, Y. Error analysis and stochastic modeling of low-cost MEMS accelerometer. J. Intell. Robot. Syst. 2006, 46, 27–41. [Google Scholar] [CrossRef]
- Tkalich, V.L.; Labkovskaia, R.I.; Pirozhnikova, O.I.; Kalinkina, M.E.; Kozlov, A.S. Analysis of errors in micromechanical devices. In Proceedings of the 2018 XIV International Scientific-Technical Conference on Actual Problems of Electronics Instrument Engineering (APEIE), Novosibirsk, Russia, 2–6 October 2018; pp. 272–276. [Google Scholar]
- Łuczak, S.; Grepl, R.; Bodnicki, M. Selection of MEMS accelerometers for tilt measurements. J. Sens. 2017, 2017, 9796146. [Google Scholar]
- Qi, B.; Shi, S.; Zhao, L.; Cheng, J. A novel temperature drift error precise estimation model for MEMS accelerometers using microstructure thermal analysis. Micromachines 2022, 13, 835. [Google Scholar] [CrossRef]
- El-Diasty, M.; El-Rabbany, A.; Pagiatakis, S. Temperature variation effects on stochastic characteristics for low-cost MEMS-based inertial sensor error. Meas. Sci. Technol. 2007, 18, 3321. [Google Scholar] [CrossRef]
- Huang, N.E.; Shen, Z.; Long, S.R.; Wu, M.C.; Shih, H.H.; Zheng, Q.; Yen, N.C.; Tung, C.C.; Liu, H.H. The empirical mode decomposition and the Hilbert spectrum for nonlinear and non-stationary time series analysis. Proc. R. Soc. Lond. Ser. A Math. Phys. Eng. Sci. 1998, 454, 903–995. [Google Scholar] [CrossRef]
- Huang, N.E.; Wu, M.L.C.; Long, S.R.; Shen, S.S.; Qu, W.; Gloersen, P.; Fan, K.L. A confidence limit for the empirical mode decomposition and Hilbert spectral analysis. Proc. R. Soc. Lond. Ser. A Math. Phys. Eng. Sci. 2003, 459, 2317–2345. [Google Scholar] [CrossRef]
- Simon, D. Kalman filtering with state constraints: A survey of linear and nonlinear algorithms. IET Control Theory Appl. 2010, 4, 1303–1318. [Google Scholar] [CrossRef]
- Smith, J.S. The local mean decomposition and its application to EEG perception data. J. R. Soc. Interface 2005, 2, 443–454. [Google Scholar] [CrossRef]
- Liu, Z.; Jin, Y.; Zuo, M.J.; Feng, Z. Time-frequency representation based on robust local mean decomposition for multicomponent AM-FM signal analysis. Mech. Syst. Signal Process. 2017, 95, 468–487. [Google Scholar] [CrossRef]
- Cao, H.; Zhang, Z.; Zheng, Y.; Guo, H.; Zhao, R.; Shi, Y.; Chou, X. A new joint denoising algorithm for high-G calibration of MEMS accelerometer based on VMD-PE-wavelet threshold. Shock Vib. 2021, 2021, 8855878. [Google Scholar] [CrossRef]
- Cao, H.; Wei, W.; Liu, L.; Ma, T.; Zhang, Z.; Zhang, W.; Shen, C.; Duan, X. A temperature compensation approach for dual-mass MEMS gyroscope based on PE-LCD and ANFIS. IEEE Access 2021, 9, 95180–95193. [Google Scholar] [CrossRef]
- Han, J.; Xiao, Y.; Chen, W.; Jia, W.; Zhu, K.; Wu, G. Temperature compensated bulk-mode capacitive MEMS resonators with ±16 ppm temperature stability over industrial temperature ranges. J. Microelectromech. Syst. 2022, 31, 723–725. [Google Scholar] [CrossRef]
- Wei, J.; Zhang, Z.; Cao, H.; Duan, X. Hybrid Temperature Compensation Model of MEMS Gyroscope Based on Genetic Particle Swarm Optimization Variational Modal Decomposition and Improved Backpropagation. Sens. Mater. 2021, 33, 2835–2856. [Google Scholar] [CrossRef]
- Wang, W.; Chen, X. Temperature drift modeling and compensation of fiber optical gyroscope based on improved support vector machine and particle swarm optimization algorithms. Appl. Opt. 2016, 55, 6243–6250. [Google Scholar] [CrossRef] [PubMed]
- Vaswani, A.; Shazeer, N.; Parmar, N.; Uszkoreit, J.; Jones, L.; Gomez, A.N.; Kaiser, Ł.; Polosukhin, I. Attention is all you need. Adv. Neural Inf. Process. Syst. 2017, 30, 5998–6008. [Google Scholar]
- Chung, J.; Gulcehre, C.; Cho, K.; Bengio, Y. Empirical evaluation of gated recurrent neural networks on sequence modeling. arXiv 2014, arXiv:1412.3555. [Google Scholar]
- Cheng, J.; Yang, Y.; Yang, Y. A rotating machinery fault diagnosis method based on local mean decomposition. Digit. Signal Process. 2012, 22, 356–366. [Google Scholar] [CrossRef]
- Boashash, B.; Mesbah, M. Signal enhancement by time-frequency peak filtering. IEEE Trans. Signal Process. 2004, 52, 929–937. [Google Scholar] [CrossRef]
- Kuo, P.H.; Huang, C.J. A high precision artificial neural networks model for short-term energy load forecasting. Energies 2018, 11, 213. [Google Scholar] [CrossRef]
- Wang, Y.; Liao, W.; Chang, Y. Gated recurrent unit network-based short-term photovoltaic forecasting. Energies 2018, 11, 2163. [Google Scholar] [CrossRef]
- Devlin, J.; Chang, M.W.; Lee, K.; Toutanova, K. Bert: Pre-training of deep bidirectional transformers for language understanding. arXiv 2018, arXiv:1810.04805. [Google Scholar]
- Allan, D. Statistics of atomic frequency standards. Proc. IEEE 1966, 54, 221–230. [Google Scholar] [CrossRef]
- Guo, G.; Chai, B.; Cheng, R.; Wang, Y. Temperature drift compensation of a MEMS accelerometer based on DLSTM and ISSA. Sensors 2023, 23, 1809. [Google Scholar] [CrossRef] [PubMed]
- Guo, G.; Bo, C.; Cheng, R.; Wang, Y. Real-time temperature drift compensation method of a MEMS accelerometer based on deep GRU and optimized monarch butterfly algorithm. IEEE Access 2023, 11, 10355–10365. [Google Scholar]

















| Parameter | Size | Parameter | Size |
|---|---|---|---|
| Device Thickness (μm) | 60 | Comb-Tooth Count (Single Side) | 26 |
| Mass Block Mass (μg) | 560 | X/Y Axis Cruciform Beam Size (μm) | 800 × 15 |
| Comb-Tooth Gap (μm) | 3 | Blocking Block Gap (μm) | 2 |
| Comb-Tooth Dimensions (μm) | 300 × 8 | ||
| Modal Order | 1 | 2 | 3 | 4 | 5 | 6 |
|---|---|---|---|---|---|---|
| Frequency (Hz) | 8563.3 | 11,027 | 12,752 | 20,034 | 22,640 | 53,071 |
Disclaimer/Publisher’s Note: The statements, opinions and data contained in all publications are solely those of the individual author(s) and contributor(s) and not of MDPI and/or the editor(s). MDPI and/or the editor(s) disclaim responsibility for any injury to people or property resulting from any ideas, methods, instructions or products referred to in the content. |
© 2024 by the authors. Licensee MDPI, Basel, Switzerland. This article is an open access article distributed under the terms and conditions of the Creative Commons Attribution (CC BY) license (https://creativecommons.org/licenses/by/4.0/).
Share and Cite
Cui, R.; Xu, J.; Huang, B.; Xu, H.; Peng, M.; Yang, J.; Zhang, J.; Gu, Y.; Chen, D.; Li, H.; et al. A Temperature Compensation Approach for Micro-Electro-Mechanical Systems Accelerometer Based on Gated Recurrent Unit–Attention and Robust Local Mean Decomposition–Sample Entropy–Time-Frequency Peak Filtering. Micromachines 2024, 15, 483. https://doi.org/10.3390/mi15040483
Cui R, Xu J, Huang B, Xu H, Peng M, Yang J, Zhang J, Gu Y, Chen D, Li H, et al. A Temperature Compensation Approach for Micro-Electro-Mechanical Systems Accelerometer Based on Gated Recurrent Unit–Attention and Robust Local Mean Decomposition–Sample Entropy–Time-Frequency Peak Filtering. Micromachines. 2024; 15(4):483. https://doi.org/10.3390/mi15040483
Chicago/Turabian StyleCui, Rubiao, Jingzehua Xu, Botao Huang, Huakun Xu, Miao Peng, Jingwen Yang, Jintao Zhang, Yikuan Gu, Daoyi Chen, Haoran Li, and et al. 2024. "A Temperature Compensation Approach for Micro-Electro-Mechanical Systems Accelerometer Based on Gated Recurrent Unit–Attention and Robust Local Mean Decomposition–Sample Entropy–Time-Frequency Peak Filtering" Micromachines 15, no. 4: 483. https://doi.org/10.3390/mi15040483
APA StyleCui, R., Xu, J., Huang, B., Xu, H., Peng, M., Yang, J., Zhang, J., Gu, Y., Chen, D., Li, H., & Cao, H. (2024). A Temperature Compensation Approach for Micro-Electro-Mechanical Systems Accelerometer Based on Gated Recurrent Unit–Attention and Robust Local Mean Decomposition–Sample Entropy–Time-Frequency Peak Filtering. Micromachines, 15(4), 483. https://doi.org/10.3390/mi15040483

