Sign in to use this feature.

Years

Between: -

Subjects

remove_circle_outline
remove_circle_outline
remove_circle_outline
remove_circle_outline
remove_circle_outline

Journals

Article Types

Countries / Regions

Search Results (120)

Search Parameters:
Keywords = mitochondrial derived peptides

Order results
Result details
Results per page
Select all
Export citation of selected articles as:
17 pages, 1593 KB  
Article
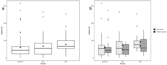
Insights into the Biomarker Potential of Humanin and Mots-c Expression and Telomere Length in Alzheimer’s Disease
by Francisco Rodríguez-Esparragón, Sara E. Cazorla-Rivero, Eduardo Torrealba, Ángeles Cánovas-Molina, Ayose N. González-Hernández, Ruth Martín-Alfaro, María P. Afonso-Medina, María T. Martínez de Saavedra-Álvarez, Carmen G. Pérez-Santana, Carmen Bartolomé, Lidia Estupiñán, Jesús M. González-Martín and Bernardino Clavo
Int. J. Mol. Sci. 2025, 26(22), 10866; https://doi.org/10.3390/ijms262210866 - 9 Nov 2025
Viewed by 213
Abstract
Humanin (HN) and MOTS-c are mitochondrial-derived peptides (MDPs) known for their neuroprotective and metabolic functions. Their circulating and tissue levels decline with age and in neurodegenerative diseases such as Alzheimer’s disease (AD). This study aimed to evaluate whether blood and plasma gene expression [...] Read more.
Humanin (HN) and MOTS-c are mitochondrial-derived peptides (MDPs) known for their neuroprotective and metabolic functions. Their circulating and tissue levels decline with age and in neurodegenerative diseases such as Alzheimer’s disease (AD). This study aimed to evaluate whether blood and plasma gene expression and plasma protein levels of HN and MOTS-c are associated with AD markers, their role in the conversion from mild cognitive impairment (MCI) to AD, and their overall association with the disease. A case–control study was conducted, including patients with AD and MCI, and individuals with subjective cognitive decline (SCD) as controls. Gene expression levels were quantified from total RNA isolated from blood and plasma, normalised to mitochondrial DNA copy number (mtDNA-CN). ELISA was used to measure plasma HN and MOTS-c protein concentrations. HN and MOTS-c transcript levels differed significantly among study groups, whereas plasma protein concentrations did not discriminate between AD and MCI. In silico and RNA decay assays revealed faster degradation of HN mRNA and delayed but stable recovery of MOTS-c mRNA. Overall, blood and plasma transcript levels—but not circulating protein levels—of these MDPs were significantly reduced in AD compared to SCD, suggesting their potential as early biomarkers of Alzheimer’s disease. Full article
(This article belongs to the Section Molecular Neurobiology)
Show Figures

Graphical abstract

15 pages, 3092 KB  
Article
Starfish-Derived Extracts Enhance Mitophagy and Suppress Senescence-Associated Markers in Human Dermal Fibroblasts
by Hyun Jung Lee, Junhee Kim, Bada Won, Dong Hun Lee and Ok Sarah Shin
Mar. Drugs 2025, 23(11), 418; https://doi.org/10.3390/md23110418 - 27 Oct 2025
Viewed by 573
Abstract
While the starfish species Asterias pectinifera (Ap) and Asterias amurensis (Aa) are considered ecological threats to marine environments and the fishing industry, recent studies have identified them as rich sources of highly water-soluble, non-toxic collagen peptides. Mitochondrial dysfunction is [...] Read more.
While the starfish species Asterias pectinifera (Ap) and Asterias amurensis (Aa) are considered ecological threats to marine environments and the fishing industry, recent studies have identified them as rich sources of highly water-soluble, non-toxic collagen peptides. Mitochondrial dysfunction is a key driver of cellular senescence and skin aging, yet the therapeutic potential of marine-derived extracts in modulating mitophagy remains largely unexplored. In this study, we investigated whether starfish-derived extracts could mitigate senescence-associated phenotypes in human dermal fibroblasts (HDFs) through the modulation of mitophagy. Treatment with Ap- or Aa-derived extracts led to reduced senescence-associated β-galactosidase (SA-β-gal) activity, decreased expression of matrix metalloproteinase-1 (MMP-1), and suppression of pro-inflammatory cytokines including interleukin-6 (IL-6) and interleukin-8 (IL-8). Ap- or Aa-derived extracts significantly increased mitophagy in HDFs stably expressing mitochondrial-targeted Keima (HDF-mtKeima), while knockdown of PINK1, the essential regulator of mitophagy, abolished the mitophagy-inducing effects of Ap- or Aa-treatment, indicating that Ap- or Aa-derived extracts activate PINK1/Parkin-dependent mitophagy pathways. Importantly, PINK1 knockdown reversed starfish-induced suppression of MMP-1 and p21, demonstrating its crucial role in regulating senescence-associated gene expression. Additionally, Ap or Aa treatments significantly reduced reactive oxygen species (ROS) accumulation, improved mitochondrial function, and enhanced both basal and maximal respiratory capacity in senescent HDFs. These findings highlight that extracts derived from starfish promote mitophagy through PINK1-dependent mechanisms, exhibiting significant anti-senescence effects in HDFs. This suggests their potential application in the development of novel cosmeceuticals with skin-protective and rejuvenating properties. Full article
(This article belongs to the Special Issue Marine Natural Products with Skin Health-Promoting Properties)
Show Figures

Graphical abstract

15 pages, 1196 KB  
Review
Redox Balance, Mitohormesis, and Organ Stress in Type 2 Diabetes Mellitus: Mechanistic Insights and the Therapeutic Role of SGLT2 Inhibitors
by Toshiki Otoda, Ken-ichi Aihara and Tadateru Takayama
Diabetology 2025, 6(10), 111; https://doi.org/10.3390/diabetology6100111 - 3 Oct 2025
Viewed by 527
Abstract
Oxidative stress and chronic low-grade inflammation are recognized key drivers of diabetic complications. Lysosomal dysfunction, cellular senescence, and inter-organ stress signaling further aggravate the Redox–Inflammation–Organ Stress Axis in type 2 diabetes mellitus (T2DM). Recent studies suggest that reactive oxygen species (ROS) are not [...] Read more.
Oxidative stress and chronic low-grade inflammation are recognized key drivers of diabetic complications. Lysosomal dysfunction, cellular senescence, and inter-organ stress signaling further aggravate the Redox–Inflammation–Organ Stress Axis in type 2 diabetes mellitus (T2DM). Recent studies suggest that reactive oxygen species (ROS) are not always harmful. Through mitohormesis, mild and transient increases in ROS levels can trigger antioxidant defenses, strengthen mitochondrial function, and limit chronic inflammation. Evidence from caloric restriction, exercise, and ketone body studies supports this adaptive redox balance, underscoring the importance of maintaining a “hormetic window” rather than indiscriminate antioxidant supplementation. In our prospective study, sodium-glucose cotransporter 2 inhibitor treatment significantly reduced albuminuria and serum levels of inflammatory markers, e.g., tumor necrosis factor receptors 1 and 2, while paradoxically increasing urinary 8-hydroxy-2′-deoxyguanosine levels and biological antioxidant potential (BAP), suggestive of adaptive ROS responses consistent with mitohormesis. Concomitant glucagon-like peptide-1 receptor agonist use emerged as an independent explanatory factor for increased urinary levels of oxidative stress markers, suggesting that multiple metabolic therapies converge on shared hormetic pathways. Emerging evidence that stressed adipocytes can communicate mild ROS signals via extracellular vesicles expands this paradigm to inter-organ mitohormesis. Collectively, these insights caution against indiscriminate antioxidant use and underscore the therapeutic potential of controlled redox modulation to disrupt the vicious cycle of senescence, inflammation, and organ stress. Incorporating redox biomarkers like urinary 8-hydroxy-2′-deoxyguanosine, reactive oxygen metabolite derivatives, and BAP into clinical monitoring, alongside pharmacological and lifestyle interventions, may facilitate the realization of precision metabolic medicine for multi-organ protection in T2DM. Full article
Show Figures

Graphical abstract

48 pages, 950 KB  
Review
Metabolomics in Multiple Sclerosis: Advances, Challenges, and Clinical Perspectives—A Systematic Review
by Jan Smusz, Patrycja Mojsak, Paulina Matys, Anna Mirończuk, Joanna Tarasiuk, Kamil Grubczak, Aleksandra Starosz, Jan Kochanowicz, Alina Kułakowska, Katarzyna Ruszczyńska and Katarzyna Kapica-Topczewska
Int. J. Mol. Sci. 2025, 26(18), 9207; https://doi.org/10.3390/ijms26189207 - 20 Sep 2025
Viewed by 1465
Abstract
Multiple sclerosis (MS) is a chronic, immune-mediated neurodegenerative disorder marked by inflammation, demyelination, and neuronal loss within the central nervous system. Despite advances in diagnostics, current tools remain insufficiently sensitive and specific. Metabolomics has emerged as a promising approach to explore MS pathophysiology [...] Read more.
Multiple sclerosis (MS) is a chronic, immune-mediated neurodegenerative disorder marked by inflammation, demyelination, and neuronal loss within the central nervous system. Despite advances in diagnostics, current tools remain insufficiently sensitive and specific. Metabolomics has emerged as a promising approach to explore MS pathophysiology and discover novel biomarkers. This PRISMA-guided systematic review included 29 original studies using validated metabolomic techniques in adult patients with MS. Biological samples analyzed included serum, cerebrospinal fluid, and feces. Consistent metabolic alterations were identified across several pathways. The kynurenine pathway demonstrated a shift toward neurotoxic metabolites, alongside reductions in microbial-derived indoles, indicating inflammation and gut dysbiosis. Energy metabolism was impaired, with changes in glycolysis, tricarboxylic acid (TCA) cycle, and mitochondrial function. Lipid metabolism showed widespread dysregulation involving phospholipids, sphingolipids, endocannabinoids, and polyunsaturated fatty acids, some modulated by treatments such as ocrelizumab and interferon-β. Nitrogen metabolism was also affected, including amino acids, peptides, and nucleotides. Non-classical and xenobiotic metabolites, such as myo-inositol, further reflected host–microbiome–environment interactions. Several studies demonstrated the potential of metabolomics-based machine learning to distinguish MS subtypes. These findings highlight the value of metabolomics for biomarker discovery and support its integration into personalized therapeutic strategies in MS. Full article
(This article belongs to the Special Issue Insights in Multiple Sclerosis (MS) and Neuroimmunology: 2nd Edition)
Show Figures

Figure 1

19 pages, 5211 KB  
Article
Marine-Derived N-Terminal Mitochondrial-Targeting Sequences Exhibit Antimicrobial and Anticancer Activities
by Sun-Mee Hong, Kyu-Shik Lee, Kyuho Jeong, Jongwan Kim, Eun-Young Yun and Tae Won Goo
Int. J. Mol. Sci. 2025, 26(17), 8546; https://doi.org/10.3390/ijms26178546 - 3 Sep 2025
Viewed by 720
Abstract
The potential of N-terminal mitochondrial-targeting sequences (MTSs) as potent antimicrobial peptides (AMPs) has been previously reported. Building on this, 3923 mitochondrial proteins were identified from various marine organisms, among which 470 MTSs were predicted using MitoFates. Of these, 25 MTSs were synthesized and [...] Read more.
The potential of N-terminal mitochondrial-targeting sequences (MTSs) as potent antimicrobial peptides (AMPs) has been previously reported. Building on this, 3923 mitochondrial proteins were identified from various marine organisms, among which 470 MTSs were predicted using MitoFates. Of these, 25 MTSs were synthesized and assessed for antimicrobial activity. All MTSs exhibited antifungal activity against Candida albicans, while 22 and 20 MTSs demonstrated activity against Escherichia coli and Staphylococcus aureus, respectively. Notably, the MTS of methylcrotonyl-CoA carboxylase subunit 1 (MCCC1-MTS) derived from swimming crab (Portunus trituberculatus) and the MTS of dihydrolipoamide branched-chain transacylase E2 (DBT-MTS) derived from herring (Oncorhynchus keta) showed strong antimicrobial activity against both Gram-positive and Gram-negative bacteria, as well as fungi. In addition, MCCC1-MTS markedly reduced the viability of multiple cancer cell lines with minimal cytotoxicity toward HaCaT cells and effectively suppressed the growth of A549-xenografted tumors in BALB/c nude mice without inducing weight loss. These findings demonstrate that MTSs derived from marine organisms function as potent AMPs with selective cytotoxicity toward cancer cells, further supporting previous evidence that protozoan MTSs represent novel AMP candidates. Full article
(This article belongs to the Section Molecular Biology)
Show Figures

Figure 1

28 pages, 2605 KB  
Review
Exercise-Induced Muscle–Fat Crosstalk: Molecular Mediators and Their Pharmacological Modulation for the Maintenance of Metabolic Flexibility in Aging
by Amelia Tero-Vescan, Hans Degens, Antonios Matsakas, Ruxandra Ștefănescu, Bianca Eugenia Ősz and Mark Slevin
Pharmaceuticals 2025, 18(8), 1222; https://doi.org/10.3390/ph18081222 - 19 Aug 2025
Viewed by 3237
Abstract
Regular physical activity induces a dynamic crosstalk between skeletal muscle and adipose tissue, modulating the key molecular pathways that underlie metabolic flexibility, mitochondrial function, and inflammation. This review highlights the role of myokines and adipokines—particularly IL-6, irisin, leptin, and adiponectin—in orchestrating muscle–adipose tissue [...] Read more.
Regular physical activity induces a dynamic crosstalk between skeletal muscle and adipose tissue, modulating the key molecular pathways that underlie metabolic flexibility, mitochondrial function, and inflammation. This review highlights the role of myokines and adipokines—particularly IL-6, irisin, leptin, and adiponectin—in orchestrating muscle–adipose tissue communication during exercise. Exercise stimulates AMPK, PGC-1α, and SIRT1 signaling, promoting mitochondrial biogenesis, fatty acid oxidation, and autophagy, while also regulating muscle hypertrophy through the PI3K/Akt/mTOR and Wnt/β-catenin pathways. Simultaneously, adipose-derived factors like leptin and adiponectin modulate skeletal muscle metabolism via JAK/STAT3 and AdipoR1-mediated AMPK activation. Additionally, emerging exercise mimetics such as the mitochondrial-derived peptide MOTS-c and myostatin inhibitors are highlighted for their roles in increasing muscle mass, the browning of white adipose tissue, and improving systemic metabolic function. The review also addresses the role of anti-inflammatory compounds, including omega-3 polyunsaturated fatty acids and low-dose aspirin, in mitigating NF-κB and IL-6 signaling to protect mitochondrial health. The resulting metabolic flexibility, defined as the ability to efficiently switch between lipid and glucose oxidation, is enhanced through repeated exercise, counteracting age- and disease-related mitochondrial and functional decline. Together, these adaptations demonstrate the importance of inter-tissue signaling in maintaining energy homeostasis and preventing sarcopenia, obesity, and insulin resistance. Finally, here we propose a stratified treatment algorithm based on common age-related comorbidities, offering a framework for precision-based interventions that may offer a promising strategy to preserve metabolic plasticity and delay the age-associated decline in cardiometabolic health. Full article
(This article belongs to the Section Pharmacology)
Show Figures

Figure 1

30 pages, 2414 KB  
Review
Melittin-Based Nanoparticles for Cancer Therapy: Mechanisms, Applications, and Future Perspectives
by Joe Rizkallah, Nicole Charbel, Abdallah Yassine, Amal El Masri, Chris Raffoul, Omar El Sardouk, Malak Ghezzawi, Therese Abou Nasr and Firas Kreidieh
Pharmaceutics 2025, 17(8), 1019; https://doi.org/10.3390/pharmaceutics17081019 - 6 Aug 2025
Cited by 1 | Viewed by 5668
Abstract
Melittin, a cytolytic peptide derived from honeybee venom, has demonstrated potent anticancer activity through mechanisms such as membrane disruption, apoptosis induction, and modulation of key signaling pathways. Melittin exerts its anticancer activity by interacting with key molecular targets, including downregulation of the PI3K/Akt [...] Read more.
Melittin, a cytolytic peptide derived from honeybee venom, has demonstrated potent anticancer activity through mechanisms such as membrane disruption, apoptosis induction, and modulation of key signaling pathways. Melittin exerts its anticancer activity by interacting with key molecular targets, including downregulation of the PI3K/Akt and NF-κB signaling pathways, and by inducing mitochondrial apoptosis through reactive oxygen species generation and cytochrome c release. However, its clinical application is hindered by its systemic and hemolytic toxicity, rapid degradation in plasma, poor pharmacokinetics, and immunogenicity, necessitating the development of targeted delivery strategies to enable safe and effective treatment. Nanoparticle-based delivery systems have emerged as a promising strategy for overcoming these challenges, offering improved tumor targeting, reduced off-target effects, and enhanced stability. This review provides a comprehensive overview of the mechanisms through which melittin exerts its anticancer effects and evaluates the development of various melittin-loaded nanocarriers, including liposomes, polymeric nanoparticles, dendrimers, micelles, and inorganic systems. It also summarizes the preclinical evidence for melittin nanotherapy across a wide range of cancer types, highlighting both its cytotoxic and immunomodulatory effects. The potential of melittin nanoparticles to overcome multidrug resistance and synergize with chemotherapy, immunotherapy, photothermal therapy, and radiotherapy is discussed. Despite promising in vitro and in vivo findings, its clinical translation remains limited. Key barriers include toxicity, manufacturing scalability, regulatory approval, and the need for more extensive in vivo validation. A key future direction is the application of computational tools, such as physiologically based pharmacokinetic modeling and artificial-intelligence-based modeling, to streamline development and guide its clinical translation. Addressing these challenges through focused research and interdisciplinary collaboration will be essential to realizing the full therapeutic potential of melittin-based nanomedicines in oncology. Overall, this review synthesizes the findings from over 100 peer-reviewed studies published between 2008 and 2025, providing an up-to-date assessment of melittin-based nanomedicine strategies across diverse cancer types. Full article
(This article belongs to the Special Issue Development of Novel Tumor-Targeting Nanoparticles, 2nd Edition)
Show Figures

Figure 1

59 pages, 3467 KB  
Review
Are Hippocampal Hypoperfusion and ATP Depletion Prime Movers in the Genesis of Alzheimer’s Disease? A Review of Recent Pertinent Observations from Molecular Biology
by Valerie Walker
Int. J. Mol. Sci. 2025, 26(15), 7328; https://doi.org/10.3390/ijms26157328 - 29 Jul 2025
Viewed by 2263
Abstract
Alzheimer’s dementia (AD) is a disease of the ageing brain. It begins in the hippocampal region with the epicentre in the entorhinal cortex, then gradually extends into adjacent brain areas involved in memory and cognition. The events which initiate the damage are unknown [...] Read more.
Alzheimer’s dementia (AD) is a disease of the ageing brain. It begins in the hippocampal region with the epicentre in the entorhinal cortex, then gradually extends into adjacent brain areas involved in memory and cognition. The events which initiate the damage are unknown and under intense investigation. Localization to the hippocampus can now be explained by anatomical features of the blood vessels supplying this region. Blood supply and hence oxygen delivery to the area are jeopardized by poor flow through narrowed arteries. In genomic and metabolomic studies, the respiratory chain and mitochondrial pathways which generate ATP were leading pathways associated with AD. This review explores the notion that ATP depletion resulting from hippocampal hypoperfusion has a prime role in initiating damage. Sections cover sensing of ATP depletion and protective responses, vulnerable processes with very heavy ATP consumption (the malate shuttle, the glutamate/glutamine/GABA (γ-aminobutyric acid) cycle, and axonal transport), phospholipid disturbances and peroxidation by reactive oxygen species, hippocampal perfusion and the effects of hypertension, chronic hypoxia, and arterial vasospasm, and an overview of recent relevant genomic studies. The findings demonstrate strong scientific arguments for the proposal with increasing supportive evidence. These lines of enquiry should be pursued. Full article
Show Figures

Graphical abstract

15 pages, 4068 KB  
Article
Characterization of the Avian Mitochondrial-Derived Peptide MOTS-c and Its Potential Role as a Metabolic Regulator
by Xin Shu, Jiying Liu, Bingjie Xu, Hui Wang, Li Liu, Xiaotong Zheng and Jianfei Chen
Animals 2025, 15(15), 2230; https://doi.org/10.3390/ani15152230 - 29 Jul 2025
Viewed by 1440
Abstract
MOTS-c is a mitochondrial peptide that plays a crucial role in regulating energy metabolism, gene expression, and immune processes. However, current research primarily focuses on mammals like humans and mice, with no reports on avian MOTS-c. This study aimed to identify and characterize [...] Read more.
MOTS-c is a mitochondrial peptide that plays a crucial role in regulating energy metabolism, gene expression, and immune processes. However, current research primarily focuses on mammals like humans and mice, with no reports on avian MOTS-c. This study aimed to identify and characterize MOTS-c coding sequences across major poultry species through bioinformatics analysis and experimental validation. The alignment results showed high sequence similarity in the MOTS-c coding regions between avian and mammalian species. However, a single nucleotide deletion was identified in avian sequences at the position corresponding to the fourth amino acid residue of mammalian homologs, resulting in divergent downstream amino acid sequences. Despite this deletion, several residues were conserved across species. Phylogenetic analysis of mRNA sequences grouped pigeons with mammals, while protein sequence analysis revealed that poultry and mammals form separate branches, highlighting the divergence between avian and mammalian MOTS-c sequences. Tissue expression profiling demonstrated widespread distribution of chicken MOTS-c across multiple tissues, with the highest expression levels in the heart. Fasting significantly reduced heart MOTS-c expression, suggesting potential metabolic regulatory functions. Functional analysis of MOTS-c in primary hepatocytes revealed significant enrichment of the ribosome, oxidative phosphorylation, and key signaling pathways (PI3K-AKT and JAK-STAT) following 24 hours of treatment. Western blot validation confirmed MOTS-c-mediated activation of the AKT signaling pathway. This study represents the first comprehensive characterization of avian MOTS-c, providing critical insights into its evolutionary conservation and its potential functional roles in gene expression and cellular metabolism. Our findings establish a foundation for further investigation into the functions of mitochondrial-encoded peptides in avian species. Full article
(This article belongs to the Section Animal Genetics and Genomics)
Show Figures

Figure 1

29 pages, 15117 KB  
Article
Reduction in SH-SY5Y Cell Stress Induced by Corticosterone and Attenuation of the Inflammatory Response in RAW 264.7 Cells Using Endomorphin Analogs
by Renata Perlikowska, Angelika Długosz-Pokorska, Małgorzata Domowicz, Sylwia Grabowicz, Mariusz Stasiołek and Małgorzata Zakłos-Szyda
Biomedicines 2025, 13(7), 1774; https://doi.org/10.3390/biomedicines13071774 - 20 Jul 2025
Viewed by 2062
Abstract
Background: To identify drug candidates that reduce cellular stress, linear peptides known as endomorphin (EM) analogs containing proline surrogates in position 2 were tested in in vitro injury models induced by corticosterone (CORT). Methods: In this study, neuroblastoma (SH-SY5Y) cells were treated with [...] Read more.
Background: To identify drug candidates that reduce cellular stress, linear peptides known as endomorphin (EM) analogs containing proline surrogates in position 2 were tested in in vitro injury models induced by corticosterone (CORT). Methods: In this study, neuroblastoma (SH-SY5Y) cells were treated with CORT and synthesized peptides, and then the cell viability and morphology, reactive oxygen species production (ROS), mitochondrial membrane potential (ΔΨm), adenosine triphosphate (ATP), and intracellular calcium ion [Ca2+]i levels were evaluated. We also conducted an in-depth analysis of the apoptosis markers using quantitative real-time PCR (qPCR). Finally, we explore the brain-derived neurotrophic factor (BDNF) expression (qPCR) and protein levels (ELI-SA and Western blot). Results: The strongest neuroprotective effect in the CORT-induced stress model was shown by peptide 3 and peptide 7 (in the following sequence Tyr-Inp-Trp-Phe-NH2 and Tyr-Inp-Phe-Phe-NH2, respectively). These peptides significantly improved cell viability and reduced oxidative stress in CORT-treated cells. Conclusions: Their neuroprotective potential appears linked to anti-apoptotic effects, along with in-creased BDNF expression. Moreover, in the lipopolysaccharide (LPS)- and interferon-γ (IFN-γ)-induced damage model in macrophage RAW 264.7 cells, these two peptides reduced the secretion of inflammatory mediators nitric oxide (NO), tumor necrosis factor-α (TNF-α), and interleukin-6 (IL-6). Peptides exhibiting both neuroprotective and anti-inflammatory properties warrant further investigation as potential therapeutic agents. Full article
Show Figures

Figure 1

29 pages, 2351 KB  
Review
Animal Venoms as Potential Antitumor Agents Against Leukemia and Lymphoma
by Geovanna M. Malachias-Pires, Eloise T. M. Filardi, Marcela Romanazzi, Julia Lopes-de-Oliveira, Isabela C. dos Santos, Guilherme Melo-dos-Santos, Ana Beatriz Rossi, Michele Procópio Machado, Thiago A. da Silva and Manuela B. Pucca
Cancers 2025, 17(14), 2331; https://doi.org/10.3390/cancers17142331 - 14 Jul 2025
Viewed by 1387
Abstract
Leukemias and lymphomas are hematologic malignancies characterized by complex pathophysiological mechanisms and increasing global incidence. Despite advances in chemotherapy, immunotherapy, and targeted therapies, challenges such as drug resistance and relapse persist, necessitating novel therapeutic strategies. This review explores the cytotoxic potential of venoms [...] Read more.
Leukemias and lymphomas are hematologic malignancies characterized by complex pathophysiological mechanisms and increasing global incidence. Despite advances in chemotherapy, immunotherapy, and targeted therapies, challenges such as drug resistance and relapse persist, necessitating novel therapeutic strategies. This review explores the cytotoxic potential of venoms derived from snakes, bees, and scorpions against leukemia and lymphoma cells. Numerous venom-derived components, such as L-amino acid oxidases (LAAOs), phospholipases A2 (PLA2s), and peptides like melittin, demonstrate selective antitumor activity through mechanisms involving oxidative stress, apoptosis induction, cell cycle arrest, and immunomodulation. These molecules exert their effects via mitochondrial pathways, caspase activation, and inhibition of pro-survival signaling cascades such as NF-κB and PI3K/Akt. Despite promising preclinical results, the clinical translation of these bioactive compounds remains limited due to challenges in standardization, delivery, and safety profiling. This review highlights recent advances in venom research, summarizes key molecular targets, and discusses future directions to harness venom-derived molecules as innovative therapies for hematological cancers. Full article
Show Figures

Graphical abstract

18 pages, 2642 KB  
Review
Postbiotics as Mitochondrial Modulators in Inflammatory Bowel Disease: Mechanistic Insights and Therapeutic Potential
by Santosh Kumar Prajapati, Dhananjay Yadav, Shweta Katiyar, Shalini Jain and Hariom Yadav
Biomolecules 2025, 15(7), 954; https://doi.org/10.3390/biom15070954 - 1 Jul 2025
Cited by 5 | Viewed by 1823
Abstract
Postbiotics, which are non-viable microbial derivatives including short-chain fatty acids (SCFAs), microbial peptides, and cell wall components, are emerging as novel therapeutic agents for Inflammatory Bowel Disease (IBD). Unlike probiotics, postbiotics offer a safer, more stable alternative while retaining potent bioactivity. IBD, encompassing [...] Read more.
Postbiotics, which are non-viable microbial derivatives including short-chain fatty acids (SCFAs), microbial peptides, and cell wall components, are emerging as novel therapeutic agents for Inflammatory Bowel Disease (IBD). Unlike probiotics, postbiotics offer a safer, more stable alternative while retaining potent bioactivity. IBD, encompassing Crohn’s disease and ulcerative colitis, is characterized by chronic gastrointestinal inflammation, epithelial barrier dysfunction, and immune dysregulation. Recent evidence links mitochondrial dysfunction marked by impaired energy metabolism, oxidative stress, and apoptosis with the pathogenesis and persistence of IBD. Postbiotics have shown the ability to modulate mitochondrial health through multiple mechanisms. SCFAs such as butyrate serve as primary energy substrates for colonocytes, enhancing mitochondrial respiration and promoting biogenesis. They improve mitochondrial function and boost ATP production. Moreover, postbiotics reduce oxidative damage by regulating antioxidant defenses. These antioxidant actions limit epithelial apoptosis and preserve cellular integrity. In addition, postbiotics regulate mitophagy and help maintain mitochondrial quality and reduce inflammation. Structural components such as lipoteichoic acid and peptidoglycan have been shown to interact with mitochondrial pathways and modulate inflammatory responses. Collectively, this review explores the interplay between mitochondrial dysfunction, IBD, and preventive approach using postbiotics. Understanding the connections with postbiotics could open up new avenues for therapeutic interventions aimed at mitigating IBD severity in people with IBD. Full article
(This article belongs to the Special Issue Mitochondrial ROS in Health and Disease)
Show Figures

Figure 1

37 pages, 2135 KB  
Review
Neuroprotective Mechanisms of Red Algae-Derived Bioactive Compounds in Alzheimer’s Disease: An Overview of Novel Insights
by Tianzi Wang, Wenling Shi, Zijun Mao, Wei Xie and Guoqing Wan
Mar. Drugs 2025, 23(7), 274; https://doi.org/10.3390/md23070274 - 30 Jun 2025
Cited by 1 | Viewed by 1776
Abstract
Alzheimer’s disease (AD) is characterized by β-amyloid plaques, neurofibrillary tangles, neuroinflammation, and oxidative stress—pathological features that pose significant challenges for the development of therapeutic interventions. Given these challenges, this review comprehensively evaluates the neuroprotective mechanisms of bioactive compounds derived from red algae, [...] Read more.
Alzheimer’s disease (AD) is characterized by β-amyloid plaques, neurofibrillary tangles, neuroinflammation, and oxidative stress—pathological features that pose significant challenges for the development of therapeutic interventions. Given these challenges, this review comprehensively evaluates the neuroprotective mechanisms of bioactive compounds derived from red algae, including polysaccharides and phycobiliproteins, which are considered a promising source of natural therapeutics for AD. Red algal constituents exhibit neuroprotective activities through multiple mechanisms. Sulfated polysaccharides (e.g., carrageenan, porphyran) suppress NF-κB-mediated neuroinflammation, modulate mitochondrial function, and enhance brain-derived neurotrophic factor (BDNF) expression. Phycobiliproteins (phycoerythrin, phycocyanin) and peptides derived from their degradation scavenge reactive oxygen species (ROS) and activate antioxidant pathways (e.g., Nrf2/HO-1), thus mitigating oxidative damage. Carotenoids (lutein, zeaxanthin) improve cognitive function through the inhibition of acetylcholinesterase and pro-inflammatory cytokines (TNF-α, IL-1β), while phenolic compounds (bromophenols, diphlorethol) provide protection by targeting multiple pathways involved in dopaminergic system modulation and Nrf2 pathway activation. Emerging extraction technologies—including microwave- and enzyme-assisted methods—have been shown to optimize the yield and maintain the bioactivity of these compounds. However, the precise identification of molecular targets and the standardization of extraction techniques remain critical research priorities. Overall, red algae-derived compounds hold significant potential for multi-mechanism AD interventions, providing novel insights for the development of therapeutic strategies with low toxicity. Full article
(This article belongs to the Special Issue Marine-Derived Bioactive Compounds for Neuroprotection)
Show Figures

Figure 1

21 pages, 1206 KB  
Article
Cardioprotective Peptides from Dry-Cured Ham in Primary Endothelial Cells and Human Plasma: An Omics Approach
by Clara Noguera-Navarro, Javier Stelling, Esteban Orenes-Piñero, Caterina Pipino, Francisco José Nicolás and Silvia Montoro-García
Antioxidants 2025, 14(7), 772; https://doi.org/10.3390/antiox14070772 - 24 Jun 2025
Viewed by 1050
Abstract
Cardiovascular diseases are a leading cause of mortality, driving the search for alternative preventive strategies. This study investigates the antioxidant effects, among others, of a mixture of four bioactive peptides (BPs) derived from dry-cured pork ham on endothelial cells from healthy (C-HUVECs) and [...] Read more.
Cardiovascular diseases are a leading cause of mortality, driving the search for alternative preventive strategies. This study investigates the antioxidant effects, among others, of a mixture of four bioactive peptides (BPs) derived from dry-cured pork ham on endothelial cells from healthy (C-HUVECs) and gestational diabetes (GD-HUVECs) pregnancies, as well as human plasma, using an integrative omics approach. Human umbilical vein endothelial cells (HUVECs) were treated with 300 μM purified BP, followed by transcriptomic and proteomic analyses. The results revealed significant alterations in mitochondrial gene expression and downregulation of genes associated with inflammation and oxidative stress in healthy HUVECs. Furthermore, BP treatment modulated key signalling pathways, including Ras and MAPK, leading to changes in the phosphorylation of ERK, AKT, and NF-κB, suggesting potential cardioprotective effects. The effects of BP were compared to those of the antioxidant hydroxytyrosol, highlighting their relative efficacy in vascular protection. The proteomic analysis of human plasma demonstrated BP-induced modulation of lipid metabolism, inflammation, and oxidative stress with notable changes in proteins such as APOA1 and MMP-8. These natural compounds demonstrate significant preventive potential in vascular health, highlighting their promise as effective tools for reducing cardiovascular risk before the progression of the pathology. These findings emphasize the importance of integrative omics in understanding the mechanisms behind BP’s effects and suggest promising applications for nutraceuticals aimed at cardiovascular protection. Full article
(This article belongs to the Section Health Outcomes of Antioxidants and Oxidative Stress)
Show Figures

Graphical abstract

21 pages, 5545 KB  
Article
Evaluation of the Antitumor and Antiproliferative Potential of Synthetic Peptides Derived from IsCT1, Associated with Cisplatin, in Squamous Cell Carcinoma of the Oral Cavity
by Laertty Garcia de Sousa Cabral, Cyntia Silva de Oliveira, Vani Xavier Oliveira, Ellen Paim de Abreu Paulo, Jean-Luc Poyet and Durvanei Augusto Maria
Molecules 2025, 30(12), 2594; https://doi.org/10.3390/molecules30122594 - 15 Jun 2025
Viewed by 1403
Abstract
Head and neck squamous cell carcinoma (SCC), particularly in the oral cavity, is among the most prevalent and lethal forms of cancer globally. Current therapeutic strategies, predominantly involving cisplatin, face challenges like chemoresistance and toxicity to normal cells, justifying the exploration of new [...] Read more.
Head and neck squamous cell carcinoma (SCC), particularly in the oral cavity, is among the most prevalent and lethal forms of cancer globally. Current therapeutic strategies, predominantly involving cisplatin, face challenges like chemoresistance and toxicity to normal cells, justifying the exploration of new approaches. This study evaluates the antitumor, antiproliferative, and immunomodulatory potential of a synthetic peptide derived from IsCT1 (Isalo scorpion cytotoxic peptide), named AC-AFPK-IsCT1, in combination with cisplatin in oral squamous cell carcinoma cellular models. Tumor and normal cells were treated with varying concentrations of cisplatin and peptide, and the cytotoxicity was measured through an MTT assay, while apoptosis and cell cycle alterations were assessed via flow cytometry. Interestingly, the combination of AC-AFPK-IsCT1 with cisplatin exhibited higher specificity for tumor cells, significantly reducing IC50 values compared to cisplatin used as a single agent. Moreover, the combination treatment induced pronounced S-phase cell cycle arrest and enhanced apoptotic activity, evidenced by the upregulation of caspase-3, caspase-8, and p53, while maintaining low toxicity in normal fibroblast cells. The peptide also modulated the mitochondrial membrane potential, further contributing to the activation of intrinsic apoptotic pathways. The data suggest that AC-AFPK-IsCT1 potentiates the antitumor effects of cisplatin by engaging both intrinsic and extrinsic apoptotic pathways while preserving normal cell viability. These findings underscore the potential of combining cisplatin with AC-AFPK-IsCT1 as a promising therapeutic strategy for improving the efficacy of chemotherapy in SCC, reducing systemic toxicity, and overcoming chemoresistance. Full article
Show Figures

Figure 1

Back to TopTop