Sign in to use this feature.

Years

Between: -

Subjects

remove_circle_outline
remove_circle_outline
remove_circle_outline
remove_circle_outline
remove_circle_outline
remove_circle_outline
remove_circle_outline

Journals

Article Types

Countries / Regions

Search Results (84)

Search Parameters:
Keywords = minimal invasive glaucoma surgery

Order results
Result details
Results per page
Select all
Export citation of selected articles as:
36 pages, 11316 KB  
Systematic Review
Glaucoma Drainage Devices and Minimally Invasive Glaucoma Surgery—Evolution of Designs and Materials
by Hari Tunga, Neloy Shome, Amirmohammad Shafiee, Prisha Jonnalagadda, Noah Wong, Amirmahdi Shafiee, Sohan Bobba and Karanjit Kooner
Designs 2025, 9(6), 145; https://doi.org/10.3390/designs9060145 - 15 Dec 2025
Viewed by 282
Abstract
Glaucoma is recognized as the second leading cause of blindness globally and a primary cause of irreversible blindness, estimated to affect over 80 million patients worldwide, including 4.5 million in the United States. Though the disease is multifactorial, the primary cause is elevated [...] Read more.
Glaucoma is recognized as the second leading cause of blindness globally and a primary cause of irreversible blindness, estimated to affect over 80 million patients worldwide, including 4.5 million in the United States. Though the disease is multifactorial, the primary cause is elevated intraocular pressure (IOP), which damages the optic nerve fibers that connect the eye to the brain, thus interfering with the quality of vision. Current treatments have evolved, which consist of medications, laser therapies, and surgical interventions such as filtering procedures, glaucoma drainage devices (GDDs), and current innovations of minimally invasive glaucoma surgeries (MIGS). This paper aims to discuss the history and evolution of the design and biomaterials employed in GDDs and MIGS. Through a comprehensive review of the literature, we trace the development of these devices from early concepts to modern implants, highlighting advancements in materials science and surgical integration. This historical analysis, ranging from the mid-19th century, reveals a trend towards enhanced biocompatibility, improved efficiency in IOP reduction, and reduced complications. We conclude that the ongoing evolution of GDDs and MIGS underscores a persistent commitment to advancing patient care in glaucoma, paving the way for future device innovations and therapeutic trends to treat glaucoma. Full article
Show Figures

Graphical abstract

10 pages, 223 KB  
Article
Balancing Pressure and Pills: Short-Term Outcomes of Goniotomy vs. Trabeculectomy in Adult Glaucoma
by Sunny Kahlon and John Steven Jarstad
J. Clin. Transl. Ophthalmol. 2025, 3(4), 27; https://doi.org/10.3390/jcto3040027 - 15 Dec 2025
Viewed by 81
Abstract
Background: Trabeculectomy and minimally invasive glaucoma surgery (MIGS) such as goniotomy aim to reduce intraocular pressure (IOP) and medication burden but are often performed in patients with differing disease severity. Methods: We retrospectively reviewed 100 eyes from 76 adults with glaucoma that underwent [...] Read more.
Background: Trabeculectomy and minimally invasive glaucoma surgery (MIGS) such as goniotomy aim to reduce intraocular pressure (IOP) and medication burden but are often performed in patients with differing disease severity. Methods: We retrospectively reviewed 100 eyes from 76 adults with glaucoma that underwent either goniotomy (n = 50; Kahook Dual Blade = 42, OMNI = 8) or trabeculectomy ab externo (n = 50) at a tertiary center between May 2022 and June 2023, with at least six months of follow-up. Baseline and six-month IOP, number of medications, and postoperative complications were recorded. Eyes undergoing trabeculectomy had higher preoperative IOP than those undergoing goniotomy (22.6 ± 7.7 vs. 19.1 ± 5.9 mmHg). Results: At six months, trabeculectomy achieved a greater absolute IOP reduction (8.8 ± 0.8 vs. 5.4 ± 0.8 mmHg; p = 0.004), likely reflecting higher baseline IOP, while goniotomy yielded a larger medication reduction (1.47 ± 0.30 vs. 0.72 ± 0.20; p = 0.041). Hyphema occurred more often after trabeculectomy, and the small number of OMNI cases precluded device comparison. Conclusions: In this short-term retrospective series, trabeculectomy achieved larger absolute IOP reduction whereas goniotomy offered greater medication reduction, highlighting the need to individualize surgical choice and confirm these findings in larger prospective studies. Full article
14 pages, 1310 KB  
Review
Current Challenges of Managing Fibrosis Post Glaucoma Surgery and Future Perspectives
by Phey Feng Lo, Seok Ting Lim, Xiaomeng Wang and Tina T. Wong
J. Clin. Med. 2025, 14(23), 8548; https://doi.org/10.3390/jcm14238548 - 2 Dec 2025
Viewed by 355
Abstract
The primary cause of post-operative failure following glaucoma filtration surgery is excessive bleb scarring. Traditional anti-fibrotics such as Mitomycin C (MMC) and 5-fluorouracil (5-FU) have greatly improved bleb survival but are not without their complications. Insights gained from traditional trabeculectomy studies can be [...] Read more.
The primary cause of post-operative failure following glaucoma filtration surgery is excessive bleb scarring. Traditional anti-fibrotics such as Mitomycin C (MMC) and 5-fluorouracil (5-FU) have greatly improved bleb survival but are not without their complications. Insights gained from traditional trabeculectomy studies can be directly applied to modern minimally invasive glaucoma surgery (MIGS) techniques. As surgical techniques continue to advance and overall safety improves, there is a growing need to explore other novel therapeutics that offer increased efficacy and favourable safety profiles. This review aims to provide insight into the pathophysiology of wound healing as well as discuss current and emerging strategies being developed to address wound healing post glaucoma filtration surgery. Full article
(This article belongs to the Special Issue Glaucoma Surgery: Current Challenges and Future Perspectives)
Show Figures

Figure 1

24 pages, 3150 KB  
Systematic Review
An Examination of Demographic Involvement in Minimally Invasive Glaucoma Surgery and Cataract Surgery Clinical Trials: A Systematic Review
by Jeremy Appelbaum, Abdullah Virk, Deepkumar Patel and Karen Allison
J. Clin. Med. 2025, 14(21), 7861; https://doi.org/10.3390/jcm14217861 - 5 Nov 2025
Viewed by 461
Abstract
Background: Glaucoma is the leading cause of global irreversible blindness, and it disproportionately affects people of African descent, in addition to having slightly higher prevalence rates in females. Glaucoma is a group of diseases that are characterized by progressive and irreversible damage [...] Read more.
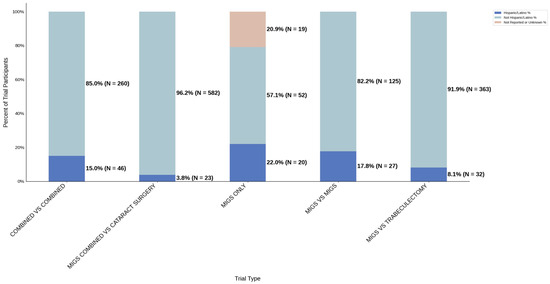
Background: Glaucoma is the leading cause of global irreversible blindness, and it disproportionately affects people of African descent, in addition to having slightly higher prevalence rates in females. Glaucoma is a group of diseases that are characterized by progressive and irreversible damage to the optic nerve, leading to eventual blindness without proper treatment. There are a number of interventions available to treat glaucoma, including MIGS, of which usage has drastically increased due to its safety and efficacy. However, with minority populations, such as people of African descent, having the highest disease burden, it remains critical to evaluate the diversity of clinical trial populations that are used in the study of glaucoma treatments. The objective of this study is to compare the representation of Black and other ethnic minorities, as well as female participants, between cataract surgery (CS), minimally invasive glaucoma surgery (MIGS), and MIGS and cataract surgery (MACS) trials. Methods: This analysis consisted of publicly available data on MIGS, CS, and MACS clinical trials from 2005 to 2017, using ClinicalTrials.gov as well as prevalence data sourced from the CDC. Data reporting and synthesis adhered to PRISMA guidelines. This study focuses on sex rather than gender, as this is how data was reported on ClinicalTrials.gov. The primary outcome was the participation-to-prevalence ratio (PPR) of each clinical trial. A PPR between 0.8 and 1.2 represents adequate representation, while a PPR less than 0.8 or greater than 1.2 can signify under- or over-representation, respectively. Results: A total of 21 trials were included in this review, comprising 3330 clinical trial participants: 7 CS trials (N = 570), 13 MIGS trials (N = 1577), and 9 MACS trials (N = 1183). All of the clinical trials included data on sex, while only 14 reported race data and 7 reported ethnicity data. The overall PPR of female participants was 1.00, with CS, MIGS, and MACS clinical trials having PPRs of 0.99, 1.00, and 1.00, respectively. On the other hand, the overall PPR of Black participants was 0.44, with CS, MIGS, and MACS clinical trials having PPRs of 0.27, 0.62, and 0.22, respectively. Further analysis demonstrated that the PPR of Black participants in trials sponsored by medical device companies and medical centers or universities was 0.41 and 1.25, respectively. The study was registered with Prospero CRD420251152586. Conclusions: Cataract surgery, MIGS, and MIGS and cataract surgery clinical trials under-represent Black individuals and appropriately represent females. Due to the disproportionate amount of Black individuals impacted by glaucoma, this lack of representation raises concerns about the applicability of the clinical trials to these populations. Understanding clinical trial disparities in the representation of minority races is a key first step toward promoting advancements in diversity and equitable healthcare. Clinical trials in the future need to make a genuine effort to include minority groups to improve the generalizability of results. Full article
(This article belongs to the Special Issue Diagnosis, Treatment, and Prevention of Glaucoma: Second Edition)
Show Figures

Figure 1

25 pages, 1333 KB  
Systematic Review
MIGS, Cataract Surgery, or Both? An Analysis of Clinical Trial Data to Compare Efficacy and Outcomes on Glaucoma Patients
by Jeremy Appelbaum, Abdullah Virk, Deepkumar Patel and Karen Allison
J. Clin. Transl. Ophthalmol. 2025, 3(4), 20; https://doi.org/10.3390/jcto3040020 - 28 Sep 2025
Viewed by 2055
Abstract
Background: Glaucoma is the leading cause of irreversible blindness around the world and is characterized as a group of irreversible optic neuropathies with multiple risk factors such as age, race/ethnicity, sex, and intraocular pressure (IOP), amongst many others that play a role in [...] Read more.
Background: Glaucoma is the leading cause of irreversible blindness around the world and is characterized as a group of irreversible optic neuropathies with multiple risk factors such as age, race/ethnicity, sex, and intraocular pressure (IOP), amongst many others that play a role in disease etiology. However, IOP is the only modifiable risk factor, with higher IOP often causing increased damage to the optic nerve, resulting in the vast majority of medical and surgical treatments aiming to reduce IOP. There are a number of interventions available to treat glaucoma including micro-invasive glaucoma surgery (MIGS), whose usage has drastically increased due to its safety and efficacy. Studies also highlight the IOP-reducing effect of cataract surgery, which is the most common procedure performed globally. However, other, more targeted therapies and surgeries have been shown to have a more significant effect on IOP reduction. The objective of this study is to compare the IOP and medication reduction between cataract surgery (CS), MIGS, and MIGS and cataract surgery (MACS) clinical trials. Methods: This analysis consisted of publicly available data on CS, MIGS, and MACS clinical trials from 2005 to 2017 using ClinicalTrials.gov. Data reporting and synthesis adhered to PRISMA guidelines. MIGS interventions studied in this analysis include iStent®, CyPass® Micro-Stent, Ex-PRESS®, Hydrus®, PRESERFLO MicroShunt, and XEN® Gel Stent. The main variables of interest are the mean IOP and mean number of glaucoma medications used. The primary outcomes were the baseline, post-procedure, and reduction in IOP and glaucoma medication use. Cohorts were further subdivided by the follow-up period (6, 12, and 24 months), as well as their medicated or unmedicated status for pre-op IOP measurement. PROSPERO CRD42025102892. Results: A total of 21 trials were included in this review, comprising 3330 clinical trial participants: 7 CS trials (N = 570), 13 MIGS trials (N = 1577), and 9 MACS trials (N = 1183). All interventions studied resulted in a decrease in both the IOP and medication usage with varying degrees. At 12 months, the wash-out baseline IOP reduction (mmHg) was 6.9 (27.5%) for CS, 8.8 (34.0%) for MIGS, and 8.2 (32.6%) for MACS. The medication reduction was 0.8 (56.1%) following CS, 1.0 (39.5%) for MIGS, and 1.3 (86.4%) for MACS. At 24 months, the wash-out baseline IOP reduction was 6.3 (25.1%) for CS, 8.4 (33.1%) for MIGS, and 7.6 (30.1%) for MACS. At 24 months, the medication reduction was 0.9 (58.3%) for CS, 1.5 (79.8%) for MIGS, and 1.3 (86.1%) for MACS. Conclusions: The results indicate that CS, MIGS, and MACS all result in a decrease in the IOP and glaucoma medications; however, MIGS and MACS outperform CS in IOP and medication reduction. Adopting MIGS and MACS for patients with ocular hypertension or mild-to-moderate glaucoma will help improve patient outcomes through reducing the IOP and medication burden. Given that glaucoma affects certain populations to a greater degree, future research analyzing racial representation is critical in ensuring the appropriate applicability of clinical trial results toward diverse populations. Full article
Show Figures

Figure 1

10 pages, 591 KB  
Article
Reducing Postoperative Needling in XEN63® Surgery with Adjunctive Cross-Linked Hyaluronic Acid Implant (Healaflow®): Early Evidence from Real-World Practice
by Pier Luigi Guerin, Gabriella Cirigliano, Gian Marco Guerin and Daniele Tognetto
J. Clin. Med. 2025, 14(16), 5848; https://doi.org/10.3390/jcm14165848 - 19 Aug 2025
Viewed by 791
Abstract
Background: Open-angle glaucoma (OAG) is a leading cause of irreversible blindness. While trabeculectomy remains the surgical gold standard, bleb-forming minimally invasive procedures such as the XEN63 gel stent offer a safer alternative. However, early postoperative management remains critical, as needling is frequently required [...] Read more.
Background: Open-angle glaucoma (OAG) is a leading cause of irreversible blindness. While trabeculectomy remains the surgical gold standard, bleb-forming minimally invasive procedures such as the XEN63 gel stent offer a safer alternative. However, early postoperative management remains critical, as needling is frequently required to preserve bleb function. Healaflow® (HF), a cross-linked hyaluronic acid gel, has been proposed as an adjunct in glaucoma surgery to maintain the subconjunctival space and modulate fibrosis. This study aimed to evaluate the outcomes of XEN63 implantation with or without HF in terms of IOP reduction, glaucoma medication use, surgical success, and postoperative intervention rates. Methods: This retrospective, comparative study included 20 pseudophakic eyes with medically uncontrolled OAG undergoing XEN63 implantation with mitomycin-C (MMC), either with (n = 10) or without (n = 10) adjunctive HF. Follow-up included IOP measurements, medication use, and the need for postoperative procedures up to 3 months. Results: At 3 months, both groups showed significant IOP reduction from baseline (−31.8% in XENhf vs. −38.8% in XENa, p > 0.05) with minimal medication use. Complete success was achieved in 90% of XENhf eyes and 80% of XENa eyes. Although the proportion of eyes requiring needling did not differ significantly, the total number of procedures was lower in the HF group (2 vs. 8; p = 0.004). Conclusions: Adjunctive HF use in XEN63 surgery may reduce the number of postoperative procedures while maintaining equivalent efficacy and safety, potentially easing the early management burden for both patients and clinicians. Full article
(This article belongs to the Section Ophthalmology)
Show Figures

Figure 1

14 pages, 327 KB  
Systematic Review
Evaluation of iStent Micro-Bypass vs. Kahook Dual Blade Goniotomy with Phacoemulsification in Open-Angle Glaucoma: A Systematic Review
by Anna Charytonowicz, Jakub Błażowski and Joanna Konopińska
J. Clin. Med. 2025, 14(16), 5819; https://doi.org/10.3390/jcm14165819 - 18 Aug 2025
Viewed by 1085
Abstract
Background/Objectives: Glaucoma refers to a group of eye diseases that damage the optic nerve, causing irreversible vision loss. It typically begins with peripheral vision impairment and, in severe cases, leads to complete blindness. A major advancement in glaucoma treatment is Microinvasive Glaucoma [...] Read more.
Background/Objectives: Glaucoma refers to a group of eye diseases that damage the optic nerve, causing irreversible vision loss. It typically begins with peripheral vision impairment and, in severe cases, leads to complete blindness. A major advancement in glaucoma treatment is Microinvasive Glaucoma Surgery (MIGS), including trabecular bypass and ab interno trabeculectomy, which are generally used for mild to moderate glaucoma. This review aimed to evaluate the efficacy and safety of iStent micro-bypass implantation and Kahook Dual Blade (KDB) goniotomy combined with phacoemulsification in patients with open-angle glaucoma (OAG). Methods: A review of recent studies was conducted using PubMed, Google Scholar, Scopus, Web of Science, and Embase. Both prospective and retrospective clinical studies were included. These MIGS methods were compared for reducing intraocular pressure (IOP) and medication burden at baseline and endpoint. Results: Eleven studies involving 1925 eyes were analyzed. All studies showed that iStent (first- and second-generation) micro-bypass implantation and KDB goniotomy reduced IOP, favoring the phaco-KDB group. Antiglaucoma medication use also decreased significantly. The success rate was sufficient and most complications were minimal. Conclusions: In conclusion, iStent implantation and KDB goniotomy offer a high safety profile, meaningful IOP reduction, a minimally invasive approach, and quick recovery. Full article
(This article belongs to the Special Issue Current Concepts and Updates in Eye Diseases)
Show Figures

Figure 1

12 pages, 992 KB  
Article
Surgical Outcomes of XEN45 Gel Stent Using Ab Interno Technique in Open-Angle Glaucoma: A 2-Year Follow-Up Study
by Doah Kim, Myungjin Kim, Marvin Lee and Seungsoo Rho
J. Clin. Med. 2025, 14(13), 4617; https://doi.org/10.3390/jcm14134617 - 30 Jun 2025
Viewed by 1856
Abstract
Background/Objectives: This study aims to evaluate the long-term efficacy and safety of ab interno techniques using minimally invasive glaucoma surgery (MIGS), specifically XEN gel stent implantation, by evaluating its 2-year outcomes in patients with primary open-angle glaucoma (POAG) and pseudoexfoliation glaucoma (PXG). [...] Read more.
Background/Objectives: This study aims to evaluate the long-term efficacy and safety of ab interno techniques using minimally invasive glaucoma surgery (MIGS), specifically XEN gel stent implantation, by evaluating its 2-year outcomes in patients with primary open-angle glaucoma (POAG) and pseudoexfoliation glaucoma (PXG). Methods: This retrospective single-center study consecutively included 31 eyes of 31 patients with POAG or PXG who underwent XEN gel stent implantation. Patients were followed for 24 months, with assessments at multiple time points. Success was defined as achieving an IOP of less than 14 mmHg and a reduction of more than 20% from preoperative IOP without additional glaucoma surgery. Bleb morphology was evaluated using anterior segment optical coherence tomography (AS-OCT) and slit-lamp photographs. Postoperative interventions and complications were also recorded. Results: At 24 months, complete success and qualified success rates were 35.5% (11/31) and 51.6% (16/31), respectively. There was no difference in surgical success rates at 2 years based on the tip location (intraconjunctiva, intratenon, and uviform) on the 1st postoperative day. Patients with high sparse wall on AS-OCT imaging or avascular bleb morphology via slit-lamp photography at 6 months postoperatively had higher complete success rates at 2 years than those without (p = 0.007, p = 0.009, respectively). Patients with avascular bleb types at 6 months postoperatively had higher qualified success rates at 2 years compared with the vascular types (p = 0.038). Needling was performed in 32.3% of eyes, with secondary surgical procedures required in 16.1% of eyes. The most common adverse event was hypotony, occurring in 67.7% of eyes on the 1st postoperative day but resolving within 6 months. Conclusions: The ab interno XEN gel stent is an effective and minimally invasive option for managing POAG and PXG, with long-term success predicted by the AS-OCT assessment of bleb morphology at 6 months. Proactive postoperative management, emphasizing early intervention and monitoring, is crucial for maintaining optimal outcomes. Full article
(This article belongs to the Special Issue New Insights into Glaucoma)
Show Figures

Figure 1

15 pages, 1138 KB  
Article
Mid-Term Surgical Outcomes of T-Hook, 360° Suture Trabeculotomy, Kahook Dual Blade, and Tanito Microhook Procedures: A Comparative Study
by Etsuo Chihara and Tomoyuki Chihara
J. Clin. Med. 2025, 14(13), 4610; https://doi.org/10.3390/jcm14134610 - 29 Jun 2025
Cited by 1 | Viewed by 874
Abstract
Aim: To compare the three-year surgical outcomes among the Kahook dual blade (KDB), Tanito microhook (TMH), T-hook, and 360° suture trabeculotomy (S-lot) cohorts. Study design: Retrospective interventional comparative study conducted at a single eye center. Subjects and Methods: A total [...] Read more.
Aim: To compare the three-year surgical outcomes among the Kahook dual blade (KDB), Tanito microhook (TMH), T-hook, and 360° suture trabeculotomy (S-lot) cohorts. Study design: Retrospective interventional comparative study conducted at a single eye center. Subjects and Methods: A total of 224 eyes that underwent combined cataract surgery with either KDB, TMH, T-hook, or S-lot procedures were retrospectively analyzed over the three-year period. Results: According to Tukey’s multiple comparison test, postoperative intraocular pressure (IOP) in the S-lot cohort was significantly lower than in the TMH cohort from 1 month to 3 years (p = 0.01 to <0.001), lower than in the KDB cohort between 6 months and 1 year (p = 0.026 to <0.001), and lower than in the T-hook cohort at 1 month (p = 0.012) and from 6 to 12 months (p < 0.001). The survival probability of achieving ≤15 mmHg and ≤18 mmHg in the S-lot cohort was significantly better than in others by p < 0.001 and 0.005, respectively. At 3 months, the T-hook cohort showed significantly lower IOP than the TMH cohort (p = 0.029), and at 1 week, IOP was marginally lower than in the KDB (p = 0.063) and TMH (p = 0.052) cohorts, based on Dunnett’s test. However, no significant differences in postoperative IOP were observed among the three sectorial canal-opening surgery (COS) groups beyond 6 months. Conclusions: Among the four MIGS cohorts, S-lot provided the most substantial mid-term postoperative IOP reduction. The T-hook cohort showed marginally superior IOP reduction at 1 week compared to the KDB and TMH groups. Full article
(This article belongs to the Special Issue Recent Advances in Glaucoma Management)
Show Figures

Figure 1

12 pages, 505 KB  
Article
Comparison of XEN45 Gel Stent Outcomes in Glaucoma: Ab Externo Open-Conjunctiva Approach with Ologen vs. Ab Interno Closed-Conjunctiva Approach
by Sean J. Jin, Sharon Y. Kim, Jared Tallo, Harkaran S. Rana, Sorana Raiciulescu, Morohunranti O. Oguntoye-Ouma and Won I. Kim
J. Clin. Med. 2025, 14(13), 4426; https://doi.org/10.3390/jcm14134426 - 21 Jun 2025
Cited by 1 | Viewed by 781
Abstract
Background/Objectives: This study evaluated the efficacy and safety of the ab externo open-conjunctiva (AEO) approach with adjunctive Ologen collagen matrix (OCM) compared to ab interno closed-conjunctiva (AIC) techniques for XEN45 gel stent implantation in patients with refractory open-angle glaucoma. The goal was to [...] Read more.
Background/Objectives: This study evaluated the efficacy and safety of the ab externo open-conjunctiva (AEO) approach with adjunctive Ologen collagen matrix (OCM) compared to ab interno closed-conjunctiva (AIC) techniques for XEN45 gel stent implantation in patients with refractory open-angle glaucoma. The goal was to determine whether the AEO with OCM approach offers advantages in intraocular pressure (IOP) control and postoperative outcomes. Methods: A retrospective, comparative case series was conducted on 76 eyes from 76 patients with open-angle glaucoma who underwent XEN45 implantation between 2017 and 2022 at a single tertiary center. The patients were divided into Group 1 (AEO with OCM, n = 47) and Group 2 (AIC, n = 29). Postoperative IOP, the number of glaucoma medications, surgical complications, bleb revisions, and failure rates were recorded over 12 months. The AEO technique, supported by OCM, was assessed for its potential to reduce postoperative fibrosis and improve long-term outcomes. Results: Both groups experienced significant IOP reductions over time compared to baseline. However, Group 1 had superior outcomes, requiring fewer glaucoma medications postoperatively (p < 0.05), and demonstrated lower rates of complications (10.6% vs. 31.0%, p = 0.026) and bleb revisions (8.5% vs. 34.5%, p = 0.005). Kaplan–Meier survival analysis showed significantly greater cumulative surgical success in Group 1 compared to Group 2 (p < 0.001). Conclusions: The AEO with OCM approach to XEN45 implantation may provide improved safety and efficacy compared to the AIC approach. It appears to be beneficial in minimizing postoperative fibrosis, reducing the medication burden, and lowering complication and failure rates. Prospective randomized trials are needed to validate these findings. Full article
(This article belongs to the Special Issue Clinical Debates in Minimally Invasive Glaucoma Surgery (MIGS))
Show Figures

Figure 1

18 pages, 319 KB  
Review
Should We Fear Wipe-Out in Glaucoma Surgery?
by Marco Zeppieri, Ludovica Cannizzaro, Giuseppe Gagliano, Francesco Cappellani, Lorenzo Rapisarda, Alfonso Spinello, Antonio Longo, Andrea Russo and Alessandro Avitabile
Diagnostics 2025, 15(13), 1571; https://doi.org/10.3390/diagnostics15131571 - 20 Jun 2025
Viewed by 1598
Abstract
Wipe-out is defined as a sudden, unexplained, and irreversible loss of residual central vision following glaucoma surgery, typically in eyes with advanced visual field damage and severely compromised optic nerves. The purpose of this review is to critically assess the current incidence, risk [...] Read more.
Wipe-out is defined as a sudden, unexplained, and irreversible loss of residual central vision following glaucoma surgery, typically in eyes with advanced visual field damage and severely compromised optic nerves. The purpose of this review is to critically assess the current incidence, risk factors, pathophysiological mechanisms, and clinical relevance of “wipe-out”, a rare but devastating complication of glaucoma surgery characterized by sudden, unexplained central vision loss postoperatively. A comprehensive literature review was conducted, analyzing key peer-reviewed studies from electronic databases (PubMed, Medline, and Google Scholar) published up to 2025. The data from the literature published prior to the year 2000 suggest that wipe-out incidences range broadly from <1% to 13%. Contemporary prospective studies and large-scale reviews indicate a significantly lower current incidence, frequently below 1%. Identified risk factors include severe preoperative visual field loss (especially split fixation), older age, immediate postoperative hypotony, and compromised optic nerve head perfusion. The proposed mechanisms involve acute vascular insults, ischemia–reperfusion injury, and accelerated apoptosis of already vulnerable retinal ganglion cells. Modern MIGS and refined trabeculectomy techniques exhibit notably lower wipe-out risks compared to historical data. The literature emphasizes preventive management, including careful patient selection, incremental intraocular pressure reduction, and minimally invasive anesthetic approaches. Although wipe-out syndrome represents a serious complication, its incidence in modern glaucoma surgery is minimal. The considerable benefits of contemporary surgical approaches—particularly MIGS—in preserving vision clearly outweigh this very low risk. Ophthalmologists should remain vigilant but confident in the safety and efficacy of modern glaucoma surgical techniques, emphasizing proactive intervention to prevent blindness rather than avoiding necessary surgery in consideration of the minimal risk of wipe-out. Full article
(This article belongs to the Special Issue Eye Disease: Diagnosis, Management, and Prognosis)
13 pages, 2041 KB  
Article
Efficacy and Safety of Open-Conjunctiva Ab Externo 63 µm vs. 45 µm XEN® Gel Stent in Glaucoma Surgery: One-Year Follow-Up
by Yann Bertolani, Jaume Rigo-Quera, Laura Sánchez-Vela, Olivia Pujol-Carreras, Manuel Amilburu, Antonio Dou and Marta Castany
J. Clin. Med. 2025, 14(10), 3545; https://doi.org/10.3390/jcm14103545 - 19 May 2025
Viewed by 1031
Abstract
Background: To compare the efficacy and safety of the XEN® 63 µm and 45 µm devices with the ab externo open conjunctiva with a 30G needle approach. Methods: A retrospective, non-randomized and single-center study was conducted. Consecutive eyes undergoing a [...] Read more.
Background: To compare the efficacy and safety of the XEN® 63 µm and 45 µm devices with the ab externo open conjunctiva with a 30G needle approach. Methods: A retrospective, non-randomized and single-center study was conducted. Consecutive eyes undergoing a XEN® 63 µm implant were compared with a matched cohort of cases with a XEN® 45 µm implant. Standalone and combined procedures with phacoemulsification were included. Results: A total of 28 XEN® 45 µm and 28 XEN® 63 µm were included. Complete surgical success was achieved in 17 cases (60.7%) in the 45 µm group and in 20 cases (71.4%) in the 63 µm group, with no statistical differences. One year after the surgery, the mean IOP was 13.8 ± 3.3 mmHg for the 45 µm group and 12.4 ± 4.2 mmHg for the 63 µm group (p-value > 0.05). Likewise, the use of glaucoma medication was lowered in the 63 µm device (0.32 ± 0.87) compared to the 45 µm device (0.39 ± 0.86), with no statistical significance. Postoperative hypotony was more frequent in the 63 µm device (39.3%) than in the 45 µm group (28.6%), with no statistical differences. However, hypotony-associated complications (including choroidal detachment, hypotony keratopathy, and hypotony maculopathy) were significantly higher in the 63 µm group (p = 0.011). Conclusions: Although the XEN® 63 µm may offer a greater IOP-lowering effect with better complete surgical success, no significant differences were detected compared to the 45 µm device. Hypotony-related complications were higher in the XEN 63 µm, although most of them resolved with conservative management. Full article
(This article belongs to the Special Issue Diagnosis, Treatment, and Prevention of Glaucoma: Second Edition)
Show Figures

Figure 1

14 pages, 1528 KB  
Article
Surgical Outcomes of Gonioscopy-Assisted Transluminal Trabeculotomy (GATT) in Primary and Secondary Open- and Closed-Angle Glaucoma
by Liron Naftali Ben Haim, Veronika Yehezkeli, Assaf Kratz, Nimrod Dar, Tal Sharon, Gal Harel, Zvia Burganski-Eliash and Avner Belkin
Diagnostics 2025, 15(10), 1226; https://doi.org/10.3390/diagnostics15101226 - 13 May 2025
Viewed by 1499
Abstract
Background: Gonioscopy-assisted transluminal trabeculotomy (GATT) is a minimally invasive, ab interno conjunctival-sparing glaucoma surgery aimed at the trabecular meshwork and the inner wall of Schlemm’s canal. The goal of this study is to report on the success of GATT in a large group [...] Read more.
Background: Gonioscopy-assisted transluminal trabeculotomy (GATT) is a minimally invasive, ab interno conjunctival-sparing glaucoma surgery aimed at the trabecular meshwork and the inner wall of Schlemm’s canal. The goal of this study is to report on the success of GATT in a large group of patients with a wide variety of open- and closed-angle glaucomas with or without cataract extraction and to report on risk factors for failure. Methods: A retrospective chart review of consecutive patients with primary or secondary open- or closed-angle glaucoma who underwent GATT, with or without concomitant phacoemulsification. Demographics, baseline clinical characteristics, and postoperative outcomes were collected from patients’ medical records. Primary outcomes were success rates (IOP of 18 mmHg or lower and one of the following: IOP reduction > 30% from baseline on the same or fewer medications or an IOP ≤ baseline with fewer medications as compared to baseline) and complication rates. Intraocular pressure (IOP) and the number of glaucoma medications were secondary outcome measures. Results: GATT was performed on 126 eyes of 121 patients. Mean follow-up was 583 ± 266 days. Cumulative success at 1Y was 0.88 for GATT combined with cataract extraction, 0.96 for GATT alone, 0.88 for primary open-angle glaucoma (POAG), 0.89 for secondary open-angle glaucoma (SOAG), and 0.76 for primary angle-closure glaucoma (PACG). IOP decreased from a mean of 20.65 mmHg to 14.1 mmHg, and medication decreased from a mean of 3.47 to 1.4 at the last follow-up. Forty-four eyes (34%) were classified as failures. Factors associated with an increased risk of failure were worse preoperative corrected visual acuity (OR = 2.46, p = 0.024) and a postoperative IOP spike (OR = 2.62, p = 0.028). Twelve eyes (9.5%) required further surgery for IOP control. Risk factors for requiring further surgery for IOP control were preoperative maximal IOP (OR = 1.066, p = 0.047) and a postoperative IOP spike (OR = 4.531, p = 0.036). Conclusions: GATT achieved good surgical success with good IOP and medication reduction across a wide range of glaucomas, in combination with lens extraction or as a standalone procedure. GATT should be considered early in the treatment paradigm of medically uncontrolled glaucoma. Full article
(This article belongs to the Special Issue Diagnosis and Management of Ophthalmic Disorders)
Show Figures

Figure 1

14 pages, 2559 KB  
Article
Efficacy and Safety of Ab Externo Open Conjunctiva XEN® 63 µm Implantation with a 30G Needle Scleral Tract in Primary Open-Angle Glaucoma
by Yann Bertolani, Jaume Rigo-Quera, Laura Sánchez-Vela, Olivia Pujol-Carreras, Manuel Amilburu, Antonio Dou and Marta Castany
J. Clin. Med. 2025, 14(9), 3195; https://doi.org/10.3390/jcm14093195 - 5 May 2025
Viewed by 896
Abstract
Background: This study aimed to assess the efficacy and safety of the 30G needle mediated ab externo open conjunctiva approach for the XEN 63 µm implant in primary open-angle glaucoma. Methods: A retrospective and non-randomized study was conducted on consecutive cases [...] Read more.
Background: This study aimed to assess the efficacy and safety of the 30G needle mediated ab externo open conjunctiva approach for the XEN 63 µm implant in primary open-angle glaucoma. Methods: A retrospective and non-randomized study was conducted on consecutive cases of medically refractory primary open-angle glaucoma treated with standalone ab externo open conjunctiva XEN® 63 µm (North Chicago, Illinois) with one-year follow-up. Results: Twenty-two eyes were included. The mean preoperative intraocular pressure was 21.9 ± 7.2 mmHg, and the mean number of glaucoma medications was 2.4 ± 0.9. All patients underwent mitomycin 0.02% application for 2 min, and Healaflow® (MedicalMix, Spain), was implanted in 11 cases (50%). Complete surgical success was achieved in 14 cases (63.6%). No statistical differences in complete surgical success were noted based on the use of Healaflow®. A significant reduction in intraocular pressure (11.8 ± 3.4 mmHg) and in the number of hypotensive medications (0.2 ± 0.5 mmHg) was observed 1 year after the procedure. Transient hypotony was detected in 31.8% of cases. Complications secondary to hypotony included four cases of serous choroidal detachment and one case of localized hemorrhagic choroidal detachment, the latter associated with hypotonic keratopathy and hypotonic maculopathy. All these complications evolved favorably with conservative management and adjusted topical treatment. Conclusions: This study highlights the efficacy and safety of this approach for the XEN 63 µm implant in medically refractory primary open-angle glaucoma. Full article
(This article belongs to the Special Issue Diagnosis, Treatment, and Prevention of Glaucoma: Second Edition)
Show Figures

Figure 1

31 pages, 412 KB  
Review
Visual Function After Schlemm’s Canal-Based MIGS
by Masayuki Kasahara and Nobuyuki Shoji
J. Clin. Med. 2025, 14(7), 2531; https://doi.org/10.3390/jcm14072531 - 7 Apr 2025
Viewed by 2036
Abstract
Filtration surgery is highly effective in lowering intraocular pressure; however, it is associated with a higher risk of severe complications. Visual dysfunction may persist in relatively uneventful cases because of induced astigmatism or worsening optical aberrations. Therefore, for early- to moderate-stage glaucoma, an [...] Read more.
Filtration surgery is highly effective in lowering intraocular pressure; however, it is associated with a higher risk of severe complications. Visual dysfunction may persist in relatively uneventful cases because of induced astigmatism or worsening optical aberrations. Therefore, for early- to moderate-stage glaucoma, an increasing number of surgeons are prioritizing surgical safety and preserving postoperative visual function by opting for minimally invasive glaucoma surgery (MIGS). Among the various MIGS techniques, canal-opening surgery—targeting aqueous outflow through the Schlemm’s canal (Schlemm’s canal-based MIGS, CB-MIGS)—has gained increasing popularity. Unlike filtration surgery, CB-MIGS does not require creating an aqueous outflow pathway between the intraocular and extraocular spaces. Consequently, it is considered a minimally invasive procedure with a reduced risk of severe complications and is increasingly being chosen for suitable cases. Although this surgical technique has limitations in lowering intraocular pressure, it avoids the manipulation of the conjunctiva or sclera and is primarily performed through a small corneal incision. Therefore, a minimal impact on induced astigmatism or postoperative refractive changes is expected. However, few reviews comprehensively summarize postoperative changes in visual function. Therefore, this study reviews the literature on visual function after CB-MIGS, focusing on changes in best-corrected visual acuity (BCVA), refraction, astigmatism, and the effectiveness of visual field preservation to assess the extent of these postoperative changes. Hyphema is the primary cause of early postoperative vision loss and is often transient in cases in which other complications would have led to visual impairment. Severe complications that threaten vision are rare. Additionally, compared with filtration surgery, postoperative visual recovery tends to be faster, and the degree of induced astigmatism is comparable to that of standalone cataract surgery. When combined with cataract surgery, the refractive error is at the same level as that of cataract surgery alone. However, in some cases, mild hyperopic shifts may occur because of axial length shortening, depending on the extent of intraocular pressure reduction. This possibility has been highlighted in several studies. Regarding the effectiveness of slowing the progression of visual field defects, most studies have focused on short- to medium-term postoperative outcomes. Many of these studies have reported the sufficient suppression of progression rates. However, studies with large sample sizes and long-term prospective designs are limited. To establish more robust evidence, future research should focus on conducting larger-scale, long-term investigations. Full article
(This article belongs to the Special Issue Clinical Debates in Minimally Invasive Glaucoma Surgery (MIGS))
Back to TopTop