Sign in to use this feature.

Years

Between: -

Subjects

remove_circle_outline
remove_circle_outline
remove_circle_outline
remove_circle_outline
remove_circle_outline
remove_circle_outline
remove_circle_outline
remove_circle_outline
remove_circle_outline

Journals

Article Types

Countries / Regions

Search Results (71)

Search Parameters:
Keywords = microscope glass slides

Order results
Result details
Results per page
Select all
Export citation of selected articles as:
9 pages, 4831 KB  
Article
Non-DRE Voided Urine Test to Diagnose Prostate Cancer: Updated Results
by Patrick T. Gomella, Joon Yau Leong, Leonard G. Gomella, Vivek S. Tomar, Hector Teran, Edouard J. Trabulsi and Madhukar L. Thakur
Diagnostics 2025, 15(5), 607; https://doi.org/10.3390/diagnostics15050607 - 3 Mar 2025
Viewed by 1711
Abstract
Background: The standard diagnostic approach for prostate cancer (PCa) diagnosis consists of serum prostate-specific antigen (PSA) testing, digital rectal examination (DRE) and image-guided targeted biopsies. Given the invasive nature, potential adverse events and costs associated with these techniques, alternative approaches have been investigated, [...] Read more.
Background: The standard diagnostic approach for prostate cancer (PCa) diagnosis consists of serum prostate-specific antigen (PSA) testing, digital rectal examination (DRE) and image-guided targeted biopsies. Given the invasive nature, potential adverse events and costs associated with these techniques, alternative approaches have been investigated, specifically with serum and urine assays. The work presented here is intended to further validate a novel noninvasive optical technique for PCa detection, targeting the VPAC genomic receptors that are overexpressed on prostate cancer’s malignant cells (MC), in non-DRE voided urine. Methods: Patients (N = 62) who had image-guided biopsy and histologically confirmed localized PCa, and who were scheduled for radical prostatectomy, provided a non-DRE voided urine sample prior to surgery. Urine was cytocentrifuged and cells fixed on a glass slide, incubated with 0.5 μg TP4303 (a receptor-specific fluorophore developed in our laboratory with high affinity for VPAC), excess washed and treated with 4,6-diamidodino-2-phenylindole (DAPI) for nuclear staining. The field of cells on each slide was analyzed using a Zeiss AX10 Observer microscope (20×). The total number of cells and MC were then counted, and the florescent intensity around each MC was measured using Zeiss software. Additionally, non-DRE voided urine samples collected from clinically determined BPH patients (N = 97), were also analyzed similarly. Results: Urine samples from 62 patients were processed and analyzed. Mean PSA levels by Gleason grade (GG) group were 6.5 ± 4.1 ng/mL for GG1 (N = 10), 7.2 ± 3.8 for GG2 (N = 31), 13.2 ± 14.6 for GG3 (N = 13), 6.2 ± 2.2 for GG4 (N = 2) and 50.2 ± 104.9 for GG5 (N = 6). Like the PSA, % MC shed (66.7 ± 27.7) in voided urine and the fluorescent intensity (35.8 ± 5.7) were highest in patients with GG5 prostate cancer. All PCa patients in GG1 to GG5 shed MC in voided urine with increasing % of MC and increasing fluorescence intensity which correlated with the increasing GG for PCa. For BPH, the specificity for the assay was 89.6% (95% CI:81.9–94.9%), PPV was 0.0% and NPV was 100% (95.9% CI, 95.9–100%). Conclusions: These data indicate the following: (i) PCa MC shed in non-DRE voided urine can be detected by targeting VPAC receptors, (ii) MC are shed in non-DRE voided urine with increasing quantity, corresponding to the severity of the disease, and (iii) this non-DRE voided urine optical assay provides a simple, noninvasive, and reliable method for the preliminary detection of PCa with potentially a lower cost than the currently available pre-biopsy detection technologies. Full article
(This article belongs to the Special Issue Urologic Oncology: Biomarkers, Diagnosis, and Management)
Show Figures

Figure 1

22 pages, 2963 KB  
Review
Techniques for Evaluating Airborne Biocrust Diaspores: From Fundamentals to Advanced Approaches
by Mateus Fernandes Oliveira and Adaíses Simone Maciel-Silva
Aerobiology 2025, 3(1), 1; https://doi.org/10.3390/aerobiology3010001 - 15 Jan 2025
Viewed by 2046
Abstract
Biological soil crusts (biocrusts) are communities which thrive primarily in the upper soil layers of arid and semi-arid environments. Biocrusts produce soil-binding compounds, tolerate extreme conditions, and disperse through both sexual and asexual diaspores via wind, water, or animals. Despite their significance, dispersal [...] Read more.
Biological soil crusts (biocrusts) are communities which thrive primarily in the upper soil layers of arid and semi-arid environments. Biocrusts produce soil-binding compounds, tolerate extreme conditions, and disperse through both sexual and asexual diaspores via wind, water, or animals. Despite their significance, dispersal mechanisms involving airborne diaspores in biocrusts remain largely unexplored and poorly understood. This review provides an overview of techniques, from basic to advanced, to help researchers investigate these often-overlooked aspects of biocrust ecology. We discuss both passive and active methods for sampling airborne organisms, highlighting their potential in studies of biocrust organisms. We present traditional techniques, such as microscope glass slides coated with adhesive substances, as well as more advanced equipment like Rotorods. For organism identification, we explore traditional morphological methods, but also introduce more modern approaches, such as metabarcoding, which allow for the simultaneous study of multiple organism groups. This review underscores the potential of these methods to enhance our understanding of the aerobiology of biocrusts. By shedding light on these dispersal dynamics, this review aims to support future research and foster advancements in biogeography, ecosystem restoration, and conservation strategies. Full article
Show Figures

Figure 1

13 pages, 51039 KB  
Article
Effects of Sliding Speed on Wear Behavior of High-Velocity Oxygen Fuel-Sprayed FeCrMoNiCuBSiC Metallic Glass Coatings
by Lei Qiao, Botao Zhou, Ruifeng Li, Taotao Li, Yue Zhao, Xiaoqiang Zhang and Chul-Hee Lee
Lubricants 2025, 13(1), 10; https://doi.org/10.3390/lubricants13010010 - 30 Dec 2024
Cited by 4 | Viewed by 1412
Abstract
A FeCrMoNiCuBSiC metallic glass coating was designed and then deposited by the high-velocity oxygen fuel (HVOF) spraying technique. X-ray diffraction, a scanning electron microscope, and a microhardness tester were applied to characterize the phase, microstructure, and mechanical properties of the coating. The amorphous [...] Read more.
A FeCrMoNiCuBSiC metallic glass coating was designed and then deposited by the high-velocity oxygen fuel (HVOF) spraying technique. X-ray diffraction, a scanning electron microscope, and a microhardness tester were applied to characterize the phase, microstructure, and mechanical properties of the coating. The amorphous phase was the main phase in the coating, and crystal phases were almost undetectable in the XRD results. The coating had a dense structure (the porosity was 1.47 ± 0.32%) and high Vickers microhardness (848 ± 22 HV0.3). The wear behavior of the coatings sliding against WC-Co was studied with a pin-on-disc wear test system and was compared with that of 316L stainless steel. The coating improved the wear resistance of the steel by around 7–9 times at different sliding speeds. As the sliding speed was increased, the wear loss rate of the steel obviously increased, yet the loss rate of the coating decreased first and then increased. This happened because the contact flash temperature induced by friction increases with the sliding speed, which results in oxidative behavior and crystallization events in the coating. The dominating wear mechanism of the coating is fatigue wear combined with oxidative wear. Full article
(This article belongs to the Special Issue Wear-Resistant Coatings and Film Materials)
Show Figures

Figure 1

12 pages, 4552 KB  
Article
Concave Magnetic-Responsive Hydrogel Discs for Enhanced Bioassays
by Amin Ghaffarzadeh Bakhshayesh and Huiyan Li
Biosensors 2024, 14(12), 596; https://doi.org/10.3390/bios14120596 - 5 Dec 2024
Cited by 2 | Viewed by 1721
Abstract
Receptor-based biosensors often suffer from slow analyte diffusion, leading to extended assay times. Moreover, existing methods to enhance diffusion can be complex and costly. In response to this challenge, we presented a rapid and cost-effective technique for fabricating concave magnetic-responsive hydrogel discs (CMDs) [...] Read more.
Receptor-based biosensors often suffer from slow analyte diffusion, leading to extended assay times. Moreover, existing methods to enhance diffusion can be complex and costly. In response to this challenge, we presented a rapid and cost-effective technique for fabricating concave magnetic-responsive hydrogel discs (CMDs) by straightforward pipetting directly onto microscope glass slides. This approach enables immediate preparation and customization of hydrogel properties such as porosity, magnetic responsiveness, and embedded particles and is adaptable for use with microarray printers. The concave design increased the surface area by 43% compared to conventional hemispherical hydrogels, enhancing diffusion rates and accelerating reactions. By incorporating superparamagnetic particles, the hydrogels become magnetically responsive, allowing for stirring within reagent droplets using magnets to improve mixing. Our experimental results showed that CMDs dissolved approximately 2.5 times faster than hemispherical ones. Numerical simulations demonstrated up to a 46% improvement in diffusion speed within the hydrogel. Particles with lower diffusion coefficients, like human antibodies, benefited most from the concave design, resulting in faster biosensor responses. The increased surface area and ease of fabrication make our CMDs efficient and adaptable for various biological and biomedical applications, particularly in point-of-care diagnostics where rapid and accurate biomarker detection is critical. Full article
Show Figures

Figure 1

18 pages, 19561 KB  
Article
Effectiveness of Sampling Techniques in Collecting the Polyp Stage of the Invasive Freshwater Hydrozoan Craspedacusta sowerbii
by Jonathan A. Zhu and Nadine C. Folino-Rorem
Biology 2024, 13(8), 645; https://doi.org/10.3390/biology13080645 - 22 Aug 2024
Viewed by 2317
Abstract
Current sampling methods for detecting the presence of the invasive freshwater hydrozoan Craspedacusta sowerbii rely mainly on visual confirmation of the medusa stage. Confirming the presence of the polyp stage is equally important for observing medusae since typical late summer/early fall occurrences or [...] Read more.
Current sampling methods for detecting the presence of the invasive freshwater hydrozoan Craspedacusta sowerbii rely mainly on visual confirmation of the medusa stage. Confirming the presence of the polyp stage is equally important for observing medusae since typical late summer/early fall occurrences or observations of medusae are sporadic though are becoming more frequent. The polyp stage is important as it is the organism’s primary stage and is present throughout the year depending on water temperatures. Therefore, sampling methods for the polyp stage are, commonly, the collection of substrates such as rocks, plants, or pieces of wood in a given body of water, and these can be cumbersome to examine. Polyps are also small, transparent, and difficult to see on natural substrates. Based on a preliminary culturing of the polyp stage on glass and plastic microscope slides in the laboratory, we designed a sampling methodology based on submerging four substrate types (glass and plastic microscope slides, Hester-Dendy discs, and small glass Petri dishes) to confirm the presence of C. sowerbii polyps in the field. We tested this method in three lakes in the Illinois–Indiana region (USA). Two of the lakes have recorded sightings of medusae but the third has no record of polyps or medusae. The sampling method we designed was effective in that C. sowerbii polyps were found on both plastic and glass slides. While this method can be sufficient for detection of the polyp stage, it also shows potential for improvement; we highlight abiotic and biotic ecological parameters as significant factors influencing the collection of C. sowerbii polyps to be considered for future methodologies. Full article
Show Figures

Figure 1

24 pages, 9662 KB  
Article
Creating Diverse Patterns on Thin Polystyrene Film through Water-in-Oil Emulsion Coating and Utilizing the Derived Hydrophilic Holes as a Microreactor
by Zin Thwe Hauan and Liang Hong
Coatings 2024, 14(8), 956; https://doi.org/10.3390/coatings14080956 - 1 Aug 2024
Cited by 1 | Viewed by 1948
Abstract
The study investigates the surface morphology of polystyrene (PS) thin films, which were crafted by drying a cast emulsion layer on a microscope glass slide. A water-in-oil (w/o) emulsion was previously formulated by dispersing a small quantity of water (or an aqueous solution) [...] Read more.
The study investigates the surface morphology of polystyrene (PS) thin films, which were crafted by drying a cast emulsion layer on a microscope glass slide. A water-in-oil (w/o) emulsion was previously formulated by dispersing a small quantity of water (or an aqueous solution) into a chloroform–PS solution containing a dissolved emulsifier (surfactant). The resultant emulsion was spin-coated onto the glass slide. Subsequently, the type and dosage of surfactant utilized played a critical role in incubating the pattern formation during solvent evaporation. Mechanistically, the surface patterns resulted from a collaborative interplay of drying-induced droplet migration/partial coagulation and surface enrichment of surfactants. Span-80 induces a collection of bowl-shaped holes with a diameter of approximately 1 µm, while AOT induces an M-shaped geometrical pattern. The holes on PS film act as a microreactor to carry out the crystallization of acrylamide, as well as the growth of Ni-P alloy dendrites by electroless plating means. Alternatively, the dispersed aqueous droplet of the emulsion was utilized to conduct in situ reduction to grow copper nanoparticles. It is also noteworthy that the patterned PS films achieved exhibit diverse glass transition behaviors, attributed to the unique interaction of surfactant and PS chains. Full article
(This article belongs to the Section Functional Polymer Coatings and Films)
Show Figures

Figure 1

16 pages, 3249 KB  
Article
Explainable Artificial Intelligence and Deep Learning Methods for the Detection of Sickle Cell by Capturing the Digital Images of Blood Smears
by Neelankit Gautam Goswami, Niranjana Sampathila, Giliyar Muralidhar Bairy, Anushree Goswami, Dhruva Darshan Brp Siddarama and Sushma Belurkar
Information 2024, 15(7), 403; https://doi.org/10.3390/info15070403 - 12 Jul 2024
Cited by 6 | Viewed by 5243
Abstract
A digital microscope plays a crucial role in the better and faster diagnosis of an abnormality using various techniques. There has been significant development in this domain of digital pathology. Sickle cell disease (SCD) is a genetic disorder that affects hemoglobin in red [...] Read more.
A digital microscope plays a crucial role in the better and faster diagnosis of an abnormality using various techniques. There has been significant development in this domain of digital pathology. Sickle cell disease (SCD) is a genetic disorder that affects hemoglobin in red blood cells. The traditional method for diagnosing sickle cell disease involves preparing a glass slide and viewing the slide using the eyepiece of a manual microscope. The entire process thus becomes very tedious and time consuming. This paper proposes a semi-automated system that can capture images based on a predefined program. It has an XY stage for moving the slide horizontally or vertically and a Z stage for focus adjustments. The case study taken here is of SCD. The proposed hardware captures SCD slides, which are further used to classify them with respect to normal. They are processed using deep learning models such as Darknet-19, ResNet50, ResNet18, ResNet101, and GoogleNet. The tested models demonstrated strong performance, with most achieving high metrics across different configurations varying with an average of around 97%. In the future, this semi-automated system will benefit pathologists and can be used in rural areas, where pathologists are in short supply. Full article
(This article belongs to the Special Issue Artificial Intelligence and Data Science for Health)
Show Figures

Figure 1

14 pages, 6599 KB  
Article
An Amphiphilic Surface with Improved Thermal Radiation for Water Harvesting
by Han Wang, Shengtao Li, Ye Zhang, Weihui Wu, Khaled Abdeen Mousa Ali and Changyou Li
Molecules 2024, 29(11), 2672; https://doi.org/10.3390/molecules29112672 - 5 Jun 2024
Cited by 1 | Viewed by 1763
Abstract
Water scarcity poses a significant challenge for people living in arid areas. Despite the effectiveness of many bioinspired surfaces in promoting vapor condensation, their water-harvesting efficiency is insufficient. This is often exacerbated by overheating, which decreases the performance in terms of the micro-droplet [...] Read more.
Water scarcity poses a significant challenge for people living in arid areas. Despite the effectiveness of many bioinspired surfaces in promoting vapor condensation, their water-harvesting efficiency is insufficient. This is often exacerbated by overheating, which decreases the performance in terms of the micro-droplet concentration and movement on surfaces. In this study, we used a spotted amphiphilic surface to enhance the surfaces’ water-harvesting efficiency while maintaining their heat emissivity. Through hydrophilic particle screening and hydrophobic groove modifying, the coalescence and sliding characteristics of droplets on the amphiphilic surfaces were improved. The incorporation of boron nitride (BN) nanoparticles further enhanced the surfaces’ ability to harvest energy from condensation. To evaluate the water-harvesting performance of these amphiphilic surfaces, we utilized a real-time recording water-harvesting platform to identify microscopic weight changes on the surfaces. Our findings indicated that the inclusion of glass particles in hydrophobic grooves, combined with 1.0 wt.% BN nanoparticles, enhanced the water-harvesting efficiency of the amphiphilic surfaces by more than 20%. Full article
Show Figures

Figure 1

15 pages, 66501 KB  
Article
Artifact Augmentation for Enhanced Tissue Detection in Microscope Scanner Systems
by Dániel Küttel, László Kovács, Ákos Szölgyén, Róbert Paulik, Viktor Jónás, Miklós Kozlovszky and Béla Molnár
Sensors 2023, 23(22), 9243; https://doi.org/10.3390/s23229243 - 17 Nov 2023
Cited by 3 | Viewed by 2742
Abstract
As the field of routine pathology transitions into the digital realm, there is a surging demand for the full automation of microscope scanners, aiming to expedite the process of digitizing tissue samples, and consequently, enhancing the efficiency of case diagnoses. The key to [...] Read more.
As the field of routine pathology transitions into the digital realm, there is a surging demand for the full automation of microscope scanners, aiming to expedite the process of digitizing tissue samples, and consequently, enhancing the efficiency of case diagnoses. The key to achieving seamless automatic imaging lies in the precise detection and segmentation of tissue sample regions on the glass slides. State-of-the-art approaches for this task lean heavily on deep learning techniques, particularly U-Net convolutional neural networks. However, since samples can be highly diverse and prepared in various ways, it is almost impossible to be fully prepared for and cover every scenario with training data. We propose a data augmentation step that allows artificially modifying the training data by extending some artifact features of the available data to the rest of the dataset. This procedure can be used to generate images that can be considered synthetic. These artifacts could include felt pen markings, speckles of dirt, residual bubbles in covering glue, or stains. The proposed approach achieved a 1–6% improvement for these samples according to the F1 Score metric. Full article
(This article belongs to the Collection Artificial Intelligence (AI) in Biomedical Imaging)
Show Figures

Figure 1

19 pages, 21095 KB  
Article
Fabrication of Superhydrophobic Coatings by Using Spraying and Analysis of Their Anti-Icing Properties
by Lei Fan, Mingyong Xia, Jian Liu, Bo Li, Tao Zhu, Yingying Zhao, Linbo Song and Yuan Yuan
Coatings 2023, 13(10), 1792; https://doi.org/10.3390/coatings13101792 - 19 Oct 2023
Cited by 12 | Viewed by 3210
Abstract
Ice accumulation on glass insulators is likely to cause faults such as flashover, tripping and power failure, which interfere with the normal operation of the power grid. Accordingly, superhydrophobic coatings with great anti-icing potential have received much attention. In this study, three superhydrophobic [...] Read more.
Ice accumulation on glass insulators is likely to cause faults such as flashover, tripping and power failure, which interfere with the normal operation of the power grid. Accordingly, superhydrophobic coatings with great anti-icing potential have received much attention. In this study, three superhydrophobic coatings (PTFE, Al2O3 and SiO2) were successfully prepared on glass surfaces by using one-step spraying. The microscopic morphology, wettability, anti-icing and anti-glaze icing properties of the superhydrophobic coatings were comparatively analyzed. The results indicated that the PTFE coating had a densely distributed rough structure, showing a contact angle of 165.5° and a sliding angle of 3.1°. The water droplets on the surface could rebound five times. Compared with the Al2O3 and SiO2 coatings, the anti-icing performance of the PTFE coating was significantly improved. The freezing time was far more than 16 times that of glass (4898.7 s), and the ice adhesion strength was 9 times lower than that of glass (27.5 kPa). The glaze icing test in the artificial climate chamber showed that the icing weight of the PTFE coating was 1.38 g, which was about 32% lower than that of the glass. In addition, the icing/melting and abrasion cycles destroyed the low-surface-energy substances and nanostructures on the surface, leading to the degradation of the anti-icing durability of the PTFE coatings. However, the PTFE coating still maintained excellent hydrophobicity and anti-icing properties after UV irradiation for up to 624 h. The superhydrophobic coatings prepared in this work have promising development prospects and offer experimental guidance for the application of anti-icing coatings on glass insulators. Full article
(This article belongs to the Special Issue Durability of Transmission Lines)
Show Figures

Figure 1

13 pages, 2579 KB  
Article
Use of a Novel Deep Learning Open-Source Model for Quantification of Ki-67 in Breast Cancer Patients in Pakistan: A Comparative Study between the Manual and Automated Methods
by Talat Zehra, Nazish Jaffar, Mahin Shams, Qurratulain Chundriger, Arsalan Ahmed, Fariha Anum, Najah Alsubaie and Zubair Ahmad
Diagnostics 2023, 13(19), 3105; https://doi.org/10.3390/diagnostics13193105 - 30 Sep 2023
Cited by 4 | Viewed by 3247
Abstract
Introduction: Breast cancer is the most common cancer in women; its early detection plays a crucial role in improving patient outcomes. Ki-67 is a biomarker commonly used for evaluating the proliferation of cancer cells in breast cancer patients. The quantification of Ki-67 has [...] Read more.
Introduction: Breast cancer is the most common cancer in women; its early detection plays a crucial role in improving patient outcomes. Ki-67 is a biomarker commonly used for evaluating the proliferation of cancer cells in breast cancer patients. The quantification of Ki-67 has traditionally been performed by pathologists through a manual examination of tissue samples, which can be time-consuming and subject to inter- and intra-observer variability. In this study, we used a novel deep learning model to quantify Ki-67 in breast cancer in digital images prepared by a microscope-attached camera. Objective: To compare the automated detection of Ki-67 with the manual eyeball/hotspot method. Place and duration of study: This descriptive, cross-sectional study was conducted at the Jinnah Sindh Medical University. Glass slides of diagnosed cases of breast cancer were obtained from the Aga Khan University Hospital after receiving ethical approval. The duration of the study was one month. Methodology: We prepared 140 digital images stained with the Ki-67 antibody using a microscope-attached camera at 10×. An expert pathologist (P1) evaluated the Ki-67 index of the hotspot fields using the eyeball method. The images were uploaded to the DeepLiif software to detect the exact percentage of Ki-67 positive cells. SPSS version 24 was used for data analysis. Diagnostic accuracy was also calculated by other pathologists (P2, P3) and by AI using a Ki-67 cut-off score of 20 and taking P1 as the gold standard. Results: The manual and automated scoring methods showed a strong positive correlation as the kappa coefficient was significant. The p value was <0.001. The highest diagnostic accuracy, i.e., 95%, taking P1 as gold standard, was found for AI, compared to pathologists P2 and P3. Conclusions: Use of quantification-based deep learning models can make the work of pathologists easier and more reproducible. Our study is one of the earliest studies in this field. More studies with larger sample sizes are needed in future to develop a cohort. Full article
Show Figures

Figure 1

13 pages, 4438 KB  
Article
Phrenic Nerve Transfer to Musculocutaneous Nerve: An Anatomical and Histological Study
by Alexandra Fochtmann-Frana, Bettina Pretterklieber, Christine Radtke and Michael L. Pretterklieber
Life 2023, 13(9), 1892; https://doi.org/10.3390/life13091892 - 11 Sep 2023
Cited by 2 | Viewed by 2338
Abstract
Background: To restore elbow flexor muscle function in case of traumatic brachial plexus avulsion, the phrenic nerve transfer to the musculocutaneous nerve has become part of clinical practice. The nerve transfer can be done by means of video-assisted thoracic surgery without nerve graft [...] Read more.
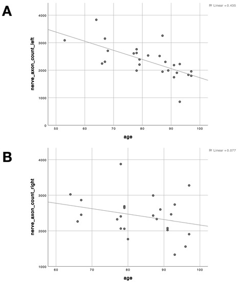
Background: To restore elbow flexor muscle function in case of traumatic brachial plexus avulsion, the phrenic nerve transfer to the musculocutaneous nerve has become part of clinical practice. The nerve transfer can be done by means of video-assisted thoracic surgery without nerve graft or via supraclavicular approach in combination with an autograft. This study focuses on a detailed microscopic and macroscopic examination of the phrenic nerve. It will allow a better interpretation of existing clinical results and, thus, serve as a basis for future clinical studies. Material and Methods: An anatomical study was conducted on 28 body donors of Caucasian origin (female n = 14, male n = 14). A sliding caliper and measuring tape were used to measure the diameter and length of the nerves. Sudan black staining was performed on 15 µm thick cryostat sections mounted on glass slides and the number of axons was determined by the ImageJ counting tool. In 23 individuals, the phrenic nerve could be examined on both sides. In 5 individuals, however, only one side was examined. Thus, a total of 51 nerves were examined. Results: The mean length of the left phrenic nerves (33 cm (29–38 cm)) was significantly longer compared to the mean length of the right phrenic nerves (30 cm (24–33 cm)) (p < 0.001). Accessory phrenic nerves were present in 9 of 51 (18%) phrenic nerves. The mean number of phrenic nerves axons at the level of the first intercostal space in body donors with a right accessory phrenic nerve was significantly greater compared to the mean number of phrenic nerves axons at the same level in body donors without a right accessory phrenic nerve (3145 (range, 2688–3877) vs. 2278 (range, 1558–3276)), p = 0.034. A negative correlation was registered between age and the nerve number of axons in left (0.742, p < 0.001) and right (−0.273, p = 0.197) phrenic nerves. The mean distance from the upper edge of the ventral ramus of the fourth cervical spinal nerve to the point of entrance of the musculocutaneous nerve between the two parts of the coracobrachialis muscle was 19 cm (range, 15–24 cm) for the right and 20 cm (range, 15–25 cm) for the left arm. Conclusions: If an accessory phrenic nerve is available, it presumably should be spared. Thus, in that case, a supraclavicular approach in combination with a nerve graft would probably be of advantage. Full article
(This article belongs to the Section Medical Research)
Show Figures

Figure 1

14 pages, 5705 KB  
Article
A Laser Damage Threshold for Microscope Glass Slides
by Pervin Tüzün, Ömer Faruk Kadı, Fikret Yıldız, Ramiz Hamid and Humbat Nasibov
Photonics 2023, 10(9), 967; https://doi.org/10.3390/photonics10090967 - 24 Aug 2023
Cited by 2 | Viewed by 3550
Abstract
Laser-based light sources have fostered innovative developments in biomedical and biosensor fields. However, laser-induced damage to optical components is a limitation for designing and implementing highly sensitive biosensors, necessitating the development and characterization of suitable optical components. Microscope glass slides are among the [...] Read more.
Laser-based light sources have fostered innovative developments in biomedical and biosensor fields. However, laser-induced damage to optical components is a limitation for designing and implementing highly sensitive biosensors, necessitating the development and characterization of suitable optical components. Microscope glass slides are among the most extensively used optical units in this field. This study investigated the laser-induced damage threshold (LIDT) of high-quality microscope glass slides obtained from three different vendors. An S-on-1 protocol following the ISO 21254 series standards was adopted to ensure a meaningful comparative analysis. Multiple laser pulses at a constant fluence (at the three laser wavelengths most widely used in biosensors) were used for LIDT tests. An automated test bench was developed and employed to minimize the influence of human factors on the test results. The fatigue damage mechanism was observed in all the samples. The findings revealed good consistency among LIDT values within and across batches from the same vendor. However, a notable discrepancy was observed when comparing the results of slides obtained from different vendors, with threshold values differing by up to two-fold. This study emphasizes the need to carefully consider the glass material source when selecting microscope glass slides for laser-sensitive applications. Full article
(This article belongs to the Special Issue Laser-Induced Damage)
Show Figures

Figure 1

29 pages, 9875 KB  
Article
Analysis of WSI Images by Hybrid Systems with Fusion Features for Early Diagnosis of Cervical Cancer
by Mohammed Hamdi, Ebrahim Mohammed Senan, Bakri Awaji, Fekry Olayah, Mukti E. Jadhav and Khaled M. Alalayah
Diagnostics 2023, 13(15), 2538; https://doi.org/10.3390/diagnostics13152538 - 31 Jul 2023
Cited by 20 | Viewed by 3261
Abstract
Cervical cancer is one of the most common types of malignant tumors in women. In addition, it causes death in the latter stages. Squamous cell carcinoma is the most common and aggressive form of cervical cancer and must be diagnosed early before it [...] Read more.
Cervical cancer is one of the most common types of malignant tumors in women. In addition, it causes death in the latter stages. Squamous cell carcinoma is the most common and aggressive form of cervical cancer and must be diagnosed early before it progresses to a dangerous stage. Liquid-based cytology (LBC) swabs are best and most commonly used for cervical cancer screening and are converted from glass slides to whole-slide images (WSIs) for computer-assisted analysis. Manual diagnosis by microscopes is limited and prone to manual errors, and tracking all cells is difficult. Therefore, the development of computational techniques is important as diagnosing many samples can be done automatically, quickly, and efficiently, which is beneficial for medical laboratories and medical professionals. This study aims to develop automated WSI image analysis models for early diagnosis of a cervical squamous cell dataset. Several systems have been designed to analyze WSI images and accurately distinguish cervical cancer progression. For all proposed systems, the WSI images were optimized to show the contrast of edges of the low-contrast cells. Then, the cells to be analyzed were segmented and isolated from the rest of the image using the Active Contour Algorithm (ACA). WSI images were diagnosed by a hybrid method between deep learning (ResNet50, VGG19 and GoogLeNet), Random Forest (RF), and Support Vector Machine (SVM) algorithms based on the ACA algorithm. Another hybrid method for diagnosing WSI images by RF and SVM algorithms is based on fused features of deep-learning (DL) models (ResNet50-VGG19, VGG19-GoogLeNet, and ResNet50-GoogLeNet). It is concluded from the systems’ performance that the DL models’ combined features help significantly improve the performance of the RF and SVM networks. The novelty of this research is the hybrid method that combines the features extracted from deep-learning models (ResNet50-VGG19, VGG19-GoogLeNet, and ResNet50-GoogLeNet) with RF and SVM algorithms for diagnosing WSI images. The results demonstrate that the combined features from deep-learning models significantly improve the performance of RF and SVM. The RF network with fused features of ResNet50-VGG19 achieved an AUC of 98.75%, a sensitivity of 97.4%, an accuracy of 99%, a precision of 99.6%, and a specificity of 99.2%. Full article
(This article belongs to the Special Issue Artificial Intelligence in Biomedical Image Analysis)
Show Figures

Figure 1

10 pages, 5907 KB  
Communication
On the Asymmetry in Photo-Induced Motion of Graphene-Oxide Paper
by Riccardo Castagna, Cristiano Riminesi, Andrea Di Donato, Rachele Castaldo, Roberto Avolio, Luigi Montalto, Francesco Vita, Oriano Francescangeli and Daniele Eugenio Lucchetta
Coatings 2023, 13(8), 1310; https://doi.org/10.3390/coatings13081310 - 26 Jul 2023
Viewed by 1687
Abstract
We report on the photo-mobility properties of a free standing large area graphene oxide (GO) paper (GOP). The thickness of the film is ≈20 μm. GOP is made by drop casting an aqueous suspension of GO on a microscope glass slide placed [...] Read more.
We report on the photo-mobility properties of a free standing large area graphene oxide (GO) paper (GOP). The thickness of the film is ≈20 μm. GOP is made by drop casting an aqueous suspension of GO on a microscope glass slide placed on a hot plate kept at the temperature of 70 °C. The film is peeled-off from the glass substrate and irradiated under different coherent and incoherent light sources. The film bends up to ≈55° when the irradiation is made using a near infra-red (NIR) incoherent incandescent lamp and returns back to the initial position when the NIR lamp is switched-off. The bending mechanism is attributed to the asymmetry of the GOP film obtained during the film formation process. We characterize the film morphology and structure using a Scanning Electron Microscopy (SEM) imaging and X-ray Diffraction (XRD) measurements, respectively. Remarkable differences between the two surfaces of the GOP are evidenced, both on a macroscopic length scale (surface roughness) and on a microscopic one (GO interlayer distance). This asymmetry results in different (negative) thermal expansion coefficients for the two film surfaces and hence in the bending of the film when the film temperature is increased by light absorption. Full article
Show Figures

Figure 1

Back to TopTop