Phrenic Nerve Transfer to Musculocutaneous Nerve: An Anatomical and Histological Study
Abstract
:1. Background
- (1)
- The main aim was to work out detailed knowledge on the macroscopic (length and diameter on different levels) and histological (number of axons) characteristics at different levels of the human phrenic nerve. It included intraindividual side comparison between left and right phrenic nerves taken from Caucasian male and female body donors;
- (2)
- Furthermore, the presence of an accessory phrenic nerve was re-evaluated. If present, its macroscopic and histological characteristics have also been evaluated;
- (3)
- An additional aim was to evaluate eventually age-dependent differences in the number of nerve fibers within the phrenic nerve;
- (4)
- Moreover, the distance from the upper edge of the ventral ramus of the fourth cervical spinal nerve to the point of entrance of the musculocutaneous nerve between the two parts of the coracobrachialis muscle was measured. In addition, also macroscopically the diameters of the phrenic nerve, accessory phrenic nerve, and musculocutaneous nerve were measured.
2. Materials and Methods
2.1. Samples
2.2. Dissection, Measurement
2.3. Tissue Preparation, Staining, and Histological Analysis
2.4. Statistical Analysis
3. Results
4. Discussion
4.1. Consequence of the Frequently Present Accessory Phrenic Nerve
4.2. Value of Counting the Axons
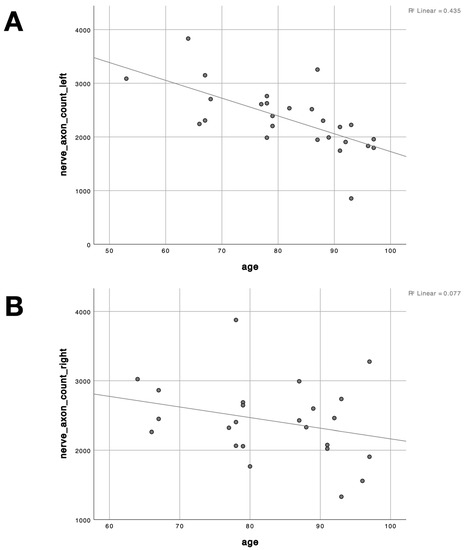
4.3. Influence of Age
5. Conclusions
Author Contributions
Funding
Institutional Review Board Statement
Informed Consent Statement
Data Availability Statement
Acknowledgments
Conflicts of Interest
References
- Lanz, T.; Wachsmuth, W. Praktische Anatomie. Ein Lehr- und Hilfsbuch der Anatomischen Grundlagen Ärztlichen Handelns, 1st ed.; Springer: Berlin, Germany, 1955. [Google Scholar]
- Marani, E.E.; Lakke, E.A.J.F. The Human Nervous System, 3rd ed.; Mai, J., Paxinos, G., Eds.; Elsevier: San Diego, CA, USA, 2012; p. 1428. [Google Scholar]
- Cardoso, M.M.; Gepp, R.A.; Mamare, E.; Guedes-Correa, J.F. Results of Phrenic Nerve Transfer to the Musculocutaneous Nerve Using Video-Assisted Thoracoscopy in Patients with Traumatic Brachial Plexus Injury: Series of 28 Cases. Oper. Neurosurg. 2019, 17, 261–267. [Google Scholar] [CrossRef] [PubMed]
- Socolovsky, M.; Malessy, M.; Bonilla, G.; Di Masi, G.; Conti, M.E.; Lovaglio, A. Phrenic to musculocutaneous nerve transfer for traumatic brachial plexus injuries: Analyzing respiratory effects on elbow flexion control. J. Neurosurg. 2018, 131, 165–174. [Google Scholar] [CrossRef] [PubMed]
- Gu, Y.D.; Ma, M.K. Use of the Phrenic Nerve for Brachial Plexus Reconstruction. Clin. Orthop. Relat. Res. 1996, 323, 119–121. [Google Scholar] [CrossRef]
- Lurje, A. Concerning surgical treatment of traumatic injury of the upper division of the brachial plexus (Erb’s-type). Ann. Surg. 1948, 127, 317–326. [Google Scholar] [CrossRef]
- Brunelli, G.; Monini, L. Neurotization of avulsed roots of brachial plexus by means of anterior nerves of cervical plexus. Clin. Plast. Surg. 1984, 11, 149–152. [Google Scholar] [CrossRef] [PubMed]
- Kotani, T.; Toshima, Y.; Matsuda, H.; Suzuki, T.; Ishizaki, Y. Postoperative results of nerve transposition in brachial plexus injury. Seikeigeka. Orthop. Surg. 1971, 22, 963–966. [Google Scholar]
- de Mendonca Cardoso, M.; Gepp, R.; Correa, J.F. Outcome following phrenic nerve transfer to musculocutaneous nerve in patients with traumatic brachial palsy: A qualitative systematic review. Acta Neurochir. 2016, 158, 1793–1800. [Google Scholar] [CrossRef]
- Dyck, P.J.; Boes, C.J.; Mulder, D.; Millikan, C.; Windebank, A.J.; Dyck, P.J.; Espinosa, R. History of standard scoring, notation, and summation of neuromuscular signs. A current survey and recommendation. J. Peripher. Nerv. Syst. 2005, 10, 158–173. [Google Scholar] [CrossRef]
- Vanhoutte, E.K.; Faber, C.G.; van Nes, S.I.; Jacobs, B.C.; van Doorn, P.A.; van Koningsveld, R.; Cornblath, D.R.; van der Kooi, A.J.; Cats, E.A.; van den Berg, L.H.; et al. Modifying the Medical Research Council grading system through Rasch analyses. Brain 2012, 135, 1639–1649. [Google Scholar] [CrossRef]
- Siqueira, M.G.; Martins, R.S. Phrenic nerve transfer in the restoration of elbow flexion in brachial plexus avulsion injuries: How effective and safe is it? Neurosurgery 2009, 65, A125–A131. [Google Scholar] [CrossRef]
- Gu, Y.D.; Wu, M.M.; Zhen, Y.L.; Zhao, J.A.; Zhang, G.M.; Chen, D.S.; Yan, J.G.; Cheng, X.M. Phrenic nerve transfer for brachial plexus motor neurotization. Microsurgery 1989, 10, 287–289. [Google Scholar] [PubMed]
- Xu, W.D.; Gu, Y.D.; Xu, J.G.; Tan, L.J. Full-length phrenic nerve transfer by means of video-assisted thoracic surgery in treating brachial plexus avulsion injury. Plast. Reconstr. Surg. 2002, 110, 104–109, discussion 101–110. [Google Scholar] [CrossRef] [PubMed]
- Socolovsky, M.; Cardoso, M.M.; Lovaglio, A.; di Masi, G.; Bonilla, G.; de Amoreira Gepp, R. Comparison between Supraclavicular versus Video-Assisted Intrathoracic Phrenic Nerve Section for Transfer in Patients with Traumatic Brachial Plexus Injuries: Case Series. Oper. Neurosurg. 2020, 19, 249–254. [Google Scholar] [CrossRef] [PubMed]
- Socolovsky, M.; di Masi, G.; Bonilla, G.; Dominguez Paez, M.; Robla, J.; Calvache Cabrera, C. The phrenic nerve as a donor for brachial plexus injuries: Is it safe and effective? Case series and literature analysis. Acta Neurochir. 2015, 157, 1077–1086, discussion 1086. [Google Scholar] [CrossRef] [PubMed]
- Luedemann, W.; Hamm, M.; Blomer, U.; Samii, M.; Tatagiba, M. Brachial plexus neurotization with donor phrenic nerves and its effect on pulmonary function. J. Neurosurg. 2002, 96, 523–526. [Google Scholar] [CrossRef]
- Zheng, M.X.; Qiu, Y.Q.; Xu, W.D.; Xu, J.G. Long-term observation of respiratory function after unilateral phrenic nerve and multiple intercostal nerve transfer for avulsed brachial plexus injury. Neurosurgery 2012, 70, 796–801, discussion 801. [Google Scholar] [CrossRef]
- Aliverti, A.; Cala, S.J.; Duranti, R.; Ferrigno, G.; Kenyon, C.M.; Pedotti, A.; Scano, G.; Sliwinski, P.; Macklem, P.T.; Yan, S. Human respiratory muscle actions and control during exercise. J. Appl. Physiol. (1985) 1997, 83, 1256–1269. [Google Scholar] [CrossRef]
- Mead, J.; Loring, S.H. Analysis of volume displacement and length changes of the diaphragm during breathing. J. Appl. Physiol. Respir. Environ. Exerc. Physiol. 1982, 53, 750–755. [Google Scholar] [CrossRef] [PubMed]
- De Troyer, A.; Estenne, M. Functional anatomy of the respiratory muscles. Clin. Chest. Med. 1988, 9, 175–193. [Google Scholar] [CrossRef]
- Jiang, S.; Xu, W.D.; Shen, Y.D.; Xu, J.G.; Gu, Y.D. An anatomical study of the full-length phrenic nerve and its blood supply: Clinical implications for endoscopic dissection. Anat. Sci. Int. 2011, 86, 225–231. [Google Scholar] [CrossRef]
- Katayama, Y.; Senda, M.; Kaneda, D.; Ozaki, T. Difference between the Right and Left Phrenic Nerve Conduction Times, Latency, and Amplitude. Acta Med. Okayama 2018, 72, 563–566. [Google Scholar] [CrossRef] [PubMed]
- Pretterklieber, B.; Hader, M.; Hammer, N.; Pryymachuk, G.; Prols, F.; Vielmuth, F.; Barnerssoi, M.; Cotofana, S.; Custozzo, A.; Weyers, I.; et al. When and why was the phrenicoabdominal branch of the left phrenic nerve placed into the esophageal hiatus in German textbooks of anatomy? An anatomical study on 400 specimens reevaluating its course through the diaphragm. Ann. Anat. 2020, 227, 151415. [Google Scholar] [CrossRef]
- Graves, M.J.; Henry, B.M.; Hsieh, W.C.; Sanna, B.; PA, P.E.; Iwanaga, J.; Loukas, M.; Tomaszewski, K.A. Origin and prevalence of the accessory phrenic nerve: A meta-analysis and clinical appraisal. Clin. Anat. 2017, 30, 1077–1082. [Google Scholar] [CrossRef]
- Loukas, M.; Kinsella, C.R., Jr.; Louis, R.G., Jr.; Gandhi, S.; Curry, B. Surgical anatomy of the accessory phrenic nerve. Ann. Thorac. Surg. 2006, 82, 1870–1875. [Google Scholar] [CrossRef] [PubMed]
- Felix, W. Anatomische, experimentelle und klinische Untersuchungen über den phrenicus und über die Zwerchfellinnervation. Dt. Z. Chirurgi 1922, 171, 283–397. [Google Scholar] [CrossRef]
- Schroder, T.H.; Storbeck, B.; Rabe, K.F.; Weber, C. The Aging Lung: Clinical and Imaging Findings and the Fringe of Physiological State. Rofo 2015, 187, 430–439. [Google Scholar] [CrossRef]
- Imai, T.; Yuasa, H.; Kato, Y.; Matsumoto, H. Aging of phrenic nerve conduction in the elderly. Clin. Neurophysiol. 2005, 116, 2560–2564. [Google Scholar] [CrossRef]
- Miller, M.R. Structural and physiological age-associated changes in aging lungs. Semin. Respir. Crit. Care Med. 2010, 31, 521–527. [Google Scholar] [CrossRef]




| Phrenic Nerve R | Phrenic Nerve L | p | |
|---|---|---|---|
| diameter clavicle 1 (mean, range in mm) | 1.6 (1–2.9) | 1.6 (1–2.9) | 0.895 |
| diameter ICS 2 (mean, range in mm) | 1.6 (1–2.7) | 1.6 (1–2.9) | 0.886 |
| diameter 10cm 3 (mean, range in mm) | 1.8 (1–2.5) | 1.9 (1–2.6) | 0.208 |
| diameter diaphragm 4 (mean, range in mm) | 2.1 (1–2.9) | 1.9 (1.2–2.7) | 0.106 |
| length C4 5 (cm) | 30 (24–33) | 33 (29–38) | <0.001 |
| length clavicle 6 (cm) | 23 (18–27) | 26 (23–39) | <0.001 |
| Individuals (n = 28) 1 | Age (Mean, Range) | Phrenic Nerve R (n) | Phrenic Nerve L (n) | Number of Axons_ICS 2 R (Mean, Range) | Number of Axons_ICS 2 L (Mean, Range) | p | Number of Axons_ Diaphragm 3 R (Mean, Range) | Number of Axons_ Diaphragm 3 L (Mean, Range) | p |
|---|---|---|---|---|---|---|---|---|---|
| Male (n = 14) | 80 (53–91) | 11 | 13 | 2301 (1767–2646) | 2341 (1744–3086) | 0.755 | 2036 (1539–2430) | 2140 (1315–2886) | 0.477 |
| Female (n = 14) | 83 (67–97) | 13 | 14 | 2526 (1330–3877) | 2337 (3833–854) | 0.509 | 2396 (1423–3190) | 2087 (858–3668) | 0.247 |
| Number of Axons R 3 (Mean, Range) | Number of Axons L 3 (Mean, Range) | Length R 3 (cm) | Length L 3 (cm) | Diameter R 3 (mm) | Diameter L 3 (mm) | Anatomic Information R 3 | Anatomic Information L 3 | |
|---|---|---|---|---|---|---|---|---|
| bilateral, f 1, 78 2 | 775 | 518 | 12 | 11 | 1 | 0.9 | derived from C5, joined phrenic nerve in the thorax | derived from C5, joined phrenic nerve in the thorax |
| bilateral, f 1, 64 2 | 1540 | 1313 | 10 | 5 | 1 | 1 | derived from C5, joined phrenic nerve at the level of the 1st intercostal space | derived from C5, joined phrenic nerve on the level of the subclavian vein |
| unilateral, R 3, f 1, 79 2 | 889 | 5 | 0.9 | derived from C5, joined phrenic nerve in the thorax | ||||
| unilateral, R 3, f 1, 87 2 | 890 | 7.5 | 0.6 | derived bipartitely from C5, joined phrenic nerve in the 1st intercostal space | ||||
| unilateral, L 3, f 1, 97 2 | 1440 | 15 | 1.1 | derived bipartitely from C5, joined phrenic nerve in the thorax | ||||
| unilateral, L 3, m 1, 91 2 | 502 | 15 | 1.1 | derived from C5, joined phrenic nerve in the thorax | ||||
| unilateral, L 3, m 1, 66 2 | 1336 | 12 | 1.3 | derived from C5, joined phrenic nerve in the thorax |
| Body Donors with APN 2 | Body Donors without APN 2 | p | |
|---|---|---|---|
| number of axons_ICS 1 R (mean, range) | 3145 (2688–3877) | 2278 (1558–3276) | 0.034 |
| number of axons_ICS 1 L (mean, range) | 2449 (1744–3833) | 2314 (854–3255) | 0.749 |
| Individuals (n = 28) 1 | Male (n = 14) | Female (n = 14) | p |
|---|---|---|---|
| number of axons_ICS 2 R (mean, range) | 2301 (1767–2646) | 2526 (1330–3877) | 0.31 |
| number of axons_ICS 2 L (mean, range) | 2341 (1744–3086) | 2337 (3833–854) | 0.987 |
| number of axons_diaphragm 3 R (mean, range) | 2036 (1539–2430) | 2396 (1423–3190) | 0.081 |
| number of axons_diaphragm 3 L (mean, range) | 2140 (1315–2886) | 2087 (858–3668) | 0.817 |
Disclaimer/Publisher’s Note: The statements, opinions and data contained in all publications are solely those of the individual author(s) and contributor(s) and not of MDPI and/or the editor(s). MDPI and/or the editor(s) disclaim responsibility for any injury to people or property resulting from any ideas, methods, instructions or products referred to in the content. |
© 2023 by the authors. Licensee MDPI, Basel, Switzerland. This article is an open access article distributed under the terms and conditions of the Creative Commons Attribution (CC BY) license (https://creativecommons.org/licenses/by/4.0/).
Share and Cite
Fochtmann-Frana, A.; Pretterklieber, B.; Radtke, C.; Pretterklieber, M.L. Phrenic Nerve Transfer to Musculocutaneous Nerve: An Anatomical and Histological Study. Life 2023, 13, 1892. https://doi.org/10.3390/life13091892
Fochtmann-Frana A, Pretterklieber B, Radtke C, Pretterklieber ML. Phrenic Nerve Transfer to Musculocutaneous Nerve: An Anatomical and Histological Study. Life. 2023; 13(9):1892. https://doi.org/10.3390/life13091892
Chicago/Turabian StyleFochtmann-Frana, Alexandra, Bettina Pretterklieber, Christine Radtke, and Michael L. Pretterklieber. 2023. "Phrenic Nerve Transfer to Musculocutaneous Nerve: An Anatomical and Histological Study" Life 13, no. 9: 1892. https://doi.org/10.3390/life13091892
APA StyleFochtmann-Frana, A., Pretterklieber, B., Radtke, C., & Pretterklieber, M. L. (2023). Phrenic Nerve Transfer to Musculocutaneous Nerve: An Anatomical and Histological Study. Life, 13(9), 1892. https://doi.org/10.3390/life13091892

