Sign in to use this feature.

Years

Between: -

Subjects

remove_circle_outline
remove_circle_outline
remove_circle_outline
remove_circle_outline
remove_circle_outline
remove_circle_outline
remove_circle_outline
remove_circle_outline
remove_circle_outline

Journals

Article Types

Countries / Regions

Search Results (104)

Search Parameters:
Keywords = micro-continuum

Order results
Result details
Results per page
Select all
Export citation of selected articles as:
47 pages, 3965 KB  
Review
Uremic Toxin-Driven Vascular Calcification in Chronic Kidney Disease: Molecular Pathways and Integrated Phenotypes
by Rodolfo Fernando Rivera, Maria Teresa Sciarrone Alibrandi, Nadia Edvige Foligno, Lorenza Magagnoli, Paola Ciceri and Mario Cozzolino
Toxins 2026, 18(2), 112; https://doi.org/10.3390/toxins18020112 - 21 Feb 2026
Viewed by 114
Abstract
Background: Vascular calcification (VC) affects up to 90% of patients with end-stage renal disease and increases cardiovascular mortality 3- to 5-fold. Once considered passive mineral deposition, VC is now recognized as an active, toxin-driven process orchestrating vascular smooth muscle cell transdifferentiation, endothelial dysfunction, [...] Read more.
Background: Vascular calcification (VC) affects up to 90% of patients with end-stage renal disease and increases cardiovascular mortality 3- to 5-fold. Once considered passive mineral deposition, VC is now recognized as an active, toxin-driven process orchestrating vascular smooth muscle cell transdifferentiation, endothelial dysfunction, and matrix remodeling. However, current uremic toxin classifications remain biochemically oriented, providing limited clinical guidance for risk stratification and therapeutic selection. Methods: This comprehensive review reframes uremic toxin-driven VC through an integrated phenotypic lens, synthesizing molecular mechanisms, clinical biomarkers, and therapeutic targets into a unified translational framework. Results: We propose five mechanistic-clinical phenotypes representing distinct biological trajectories of vascular injury. These include (1) inflammatory-oxidative (dominated by indoxyl sulfate, p-cresyl sulfate, NLRP3 inflammasome activation), (2) mineral-metabolic (hyperphosphatemia, FGF23 excess, Klotho deficiency), (3) epigenetic-senescent (histone modifications, microRNA dysregulation, cellular senescence), (4) endocrine cross-talk (vitamin D, PTH, gut-derived metabolites), and (5) integrated toxic continuum (convergence of multiple pathways in advanced disease). A comprehensive biomarker panel spanning inflammatory markers, mineral metabolism parameters, epigenetic indicators, and endocrine-gut metabolites enables phenotypic stratification and therapeutic monitoring. Emerging therapies—including tissue-nonspecific alkaline phosphatase inhibition, ectonucleotide pyrophosphatase/phosphodiesterase 1 enzyme replacement, vitamin K2 activation, senolytic agents, and SNF472 crystal-growth blockade—are mapped to their optimal phenotypic contexts. Conclusions: This phenotype-oriented paradigm transforms VC from an inevitable complication into a targetable and potentially reversible manifestation of uremic toxicity, establishing a translational foundation for precision-based vascular medicine in chronic kidney disease. The framework enables biomarker-guided patient stratification, rational therapeutic selection, and phenotype-enriched clinical trial design. Full article
(This article belongs to the Special Issue The Role of Uremic Toxins in Comorbidities of Chronic Kidney Disease)
Show Figures

Figure 1

32 pages, 8099 KB  
Article
Morphometric Analysis of the Jingpo Lake Volcanic Field: A Terrestrial Analog for Lunar Lava Flow
by Haiting Yang, Teng Hu, Zhizhong Kang, Liang Gao, Lang Qin, Cheng Peng, Chenming Ye and Haoxiang Hu
Remote Sens. 2026, 18(3), 512; https://doi.org/10.3390/rs18030512 - 5 Feb 2026
Viewed by 280
Abstract
The lack of high-precision imaging data for lunar volcanic regions currently hinders the detailed characterization of lava tube systems and their associated fine-scale geomorphology. To address this information deficit, this study establishes the Jingpo Lake Volcanic Field (JLVF) in Northeast China as a [...] Read more.
The lack of high-precision imaging data for lunar volcanic regions currently hinders the detailed characterization of lava tube systems and their associated fine-scale geomorphology. To address this information deficit, this study establishes the Jingpo Lake Volcanic Field (JLVF) in Northeast China as a primary terrestrial analog for the lunar Marius Hills complex. We systematically characterize the basaltic morphometric continuum, tracing the geological evolution from proximal scoria cones through medial lava tube skylights to distal lava plateaus. Focusing on the subsurface transport system, we identify a linear chain of discontinuous skylights that structurally mirrors the “proto-rille” stage of lunar sinuous rilles. Quantitative morphometry reveals that these terrestrial vents reproduce the geometric duality of lunar pits, ranging from stable “deep shafts” to degraded “funnel pits,” effectively validating the mechanical diversity of the lunar inventory. Critically, the “U-to-V” cross-sectional transition observed in JLVF collapse trenches serves as diagnostic ground-truth evidence, confirming that lunar rilles originate from the catastrophic roof failure of subsurface tubes rather than purely thermal erosion. Regarding the lava plateau, our field investigation resolves sub-meter micro-textures—including laminar pahoehoe ropes and inflation fissures—that are typically obscured by the resolution limits of current lunar orbiters. These findings suggest that the seemingly “smooth” lunar maria likely host complex, rugged micro-terrains. Therefore, comparing lunar volcanic regions with simulated volcanic fields from Earth is crucial. Analyzing potential volcanic products from angles undetectable by some lunar satellites can offer vital insights for future lunar exploration. Full article
Show Figures

Graphical abstract

17 pages, 2158 KB  
Article
Prediction of the Time-Dependent Elastic Modulus of Fly-Ash Concrete Under Sustained Loads
by Zhuoran Chen, Minghui Liu, Yurong Zhang and Siyi Jia
Materials 2026, 19(3), 559; https://doi.org/10.3390/ma19030559 - 30 Jan 2026
Viewed by 299
Abstract
In this paper, the time-dependent properties of the elastic modulus of fly ash concrete under sustained compressive load were studied. An experiment was conducted and showed an increment of elastic modulus for two types of fly ash concrete (20% and 40% fly ash [...] Read more.
In this paper, the time-dependent properties of the elastic modulus of fly ash concrete under sustained compressive load were studied. An experiment was conducted and showed an increment of elastic modulus for two types of fly ash concrete (20% and 40% fly ash replacement) under sustained load. The mechanisms of this increment were analyzed, and two Representative Volume Elements (RVEs) were established to represent the micro-heterogeneous space of binder and concrete based on continuum mechanics. The shrinking core models of hydration and pozzolanic reaction were adopted to quantify the volume fraction of each phase within the binder RVE. A prediction model was proposed by incorporating the effects of extra hydration and time-dependent aggregate concentration rate under sustained load. Finally, parameter analysis including the influences of initial loading age and the loading level was conducted. Full article
(This article belongs to the Section Construction and Building Materials)
Show Figures

Graphical abstract

18 pages, 4058 KB  
Article
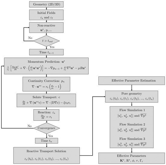
Pore-Scale Evolution of Effective Properties in Porous Rocks During Dissolution/Erosion and Precipitation
by Xiaoyu Wang, Songqing Zheng, Yingfu He, Yujie Wang, Enhao Liu, Yandong Zhang, Fengchang Yang and Bowen Ling
Appl. Sci. 2026, 16(3), 1287; https://doi.org/10.3390/app16031287 - 27 Jan 2026
Viewed by 187
Abstract
Reactive transport in porous media exists ubiquitously in natural and industrial systems—reformation of geological energy repository, carbon dioxide (CO2) sequestration, CO2 storage via mineralization, and soil remediation are just some examples where geo-/bio-chemical reactions play a key role. Reactive transport [...] Read more.
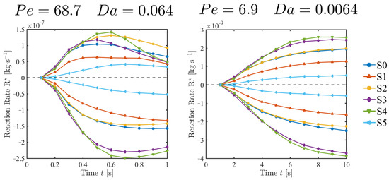
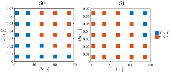
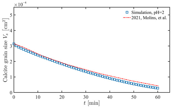
Reactive transport in porous media exists ubiquitously in natural and industrial systems—reformation of geological energy repository, carbon dioxide (CO2) sequestration, CO2 storage via mineralization, and soil remediation are just some examples where geo-/bio-chemical reactions play a key role. Reactive transport models are expected to provide assessments of (1) the effective property variation and (2) the reaction capability. However, the synergy among flow, solute transport, and reaction undermines the predictability of the existing model. In recent decades, the Micro-Continuum Approach (MCA) has demonstrated advantages for modeling pore-scale reactive transport and high accuracy compared with experiments. In this study, we present an MCA-based numerical framework that simulates dissolution/erosion or precipitation in digital rocks. The framework imports two- or three-dimensional digital rock samples, conducts reactive transport simulations, and evaluates dynamic changes in porosity, surface area, permeability tensor, tortuosity, mass change, and reaction rate. The results show that samples with similar effective properties, e.g., porosity or permeability, may exhibit different reaction abilities, suggesting that the pore-scale geometry has a strong impact on reactive transport. Additionally, the numerical framework demonstrates the advantage of conducting multiple reaction studies on the same sample, in contrast to reality, where there is often only one physical experiment. This advantage enables the identification of the optimal condition, quantified by the dimensionless Péclet number and Damköhler number, to reach the maximum reaction. We believe that the newly developed framework serves as a toolbox for evaluating reactivity capacity and predicting effective properties of digital samples. Full article
(This article belongs to the Special Issue Geochemistry and Geochronology of Rocks)
Show Figures

Figure 1

13 pages, 244 KB  
Review
Framing Atmospheres: The Display Window as a Dioramic Device for Atmospheric Experimentation in Historical and Contemporary Exhibit Design Culture
by Marta Elisa Cecchi
Architecture 2026, 6(1), 14; https://doi.org/10.3390/architecture6010014 - 27 Jan 2026
Viewed by 234
Abstract
When the breath of a passerby momentarily clouds the glass of a display window that distinctly withdraws from the urban continuum, it signals the presence of a perceptual threshold, an atmospheric interruption before resuming its path. This liminal space engages the observer not [...] Read more.
When the breath of a passerby momentarily clouds the glass of a display window that distinctly withdraws from the urban continuum, it signals the presence of a perceptual threshold, an atmospheric interruption before resuming its path. This liminal space engages the observer not through physical entry, but through a multisensory activation. While the notion of atmosphere has been extensively theorised in architecture and environmental aesthetics, its implications remain insufficiently explored within retail design, particularly in the spatial and exhibit design perspective in the display window. Contemporary shop windows aim to engage passersby beyond mere product visibility; the need to articulate and design for atmosphere becomes more urgent. This article offers an atmospheric interpretation of the display window, understood not simply as a commercial interface or spatial facade but as a dioramic device in which all elements are staged in evocative micro-environments. Through the reinterpretation of selected historical and contemporary case studies, the research positions the display window as a privileged site for atmospheric experimentation. By framing window display design as an environmental and perceptual construct, the study contributes to the broader discourse on atmospheres, advancing the atmospheric paradigm as an operative approach for contemporary exhibit and spatial design practices. Full article
(This article belongs to the Special Issue Atmospheres Design)
26 pages, 29623 KB  
Review
Biomarkers of Common Molecular Dysregulation in Tumor Tissue and Peritumor Mucosa in Head and Neck SCC: Insights into Field Cancerization
by Lyuben Dimitrov, Gergana S. Stancheva, Silva G. Kyurkchiyan, Milena Mitkova, Iglika Stancheva, Silviya Valcheva, Kristina Komitova, Silviya Skelina, Julian Rangachev and Todor M. Popov
Int. J. Mol. Sci. 2026, 27(3), 1212; https://doi.org/10.3390/ijms27031212 - 25 Jan 2026
Viewed by 280
Abstract
Field cancerization is a fundamental paradigm in tumorigenesis, emphasizing that carcinogenesis begins long before the appearance of clinically detectable lesions and often precedes recognizable premalignant changes. A direct manifestation of this process is the molecular dysregulation observed in the peritumoral mucosa—histologically normal-appearing tissue [...] Read more.
Field cancerization is a fundamental paradigm in tumorigenesis, emphasizing that carcinogenesis begins long before the appearance of clinically detectable lesions and often precedes recognizable premalignant changes. A direct manifestation of this process is the molecular dysregulation observed in the peritumoral mucosa—histologically normal-appearing tissue that nonetheless exhibits genetic and epigenetic alterations similar to those of the adjacent tumor. This review summarizes current evidence on the molecular alterations shared between tumor tissue and peritumoral mucosa in HNSCC and evaluates their potential as biomarkers for defining molecular margins and improving surgical precision. A literature search was conducted in PubMed using combinations of the keywords “peritumor,” “laryngeal”, “HNSCC,” and “field cancerization.” Studies were included if they directly compared tumor tissue with peritumoral mucosa and, preferably, a third set of distant normal control samples. Only nine studies met the inclusion criteria, highlighting the scarcity of focused research in this area. Reported biomarkers exhibiting comparable dysregulation in both tumor and peritumor tissues include MDM2, E2F2, CDKN2A/p16, ETS-1, MGMT, and multiple microRNAs (e.g., miR-21, miR-96-5p, miR-145-5p). These molecular signatures demonstrate the presence of a biologically altered field extending beyond histologically defined tumor margins. Peritumoral mucosal dysregulation, as a consequence of field cancerization, underscores the need to redefine surgical margins at the molecular level. The identification and validation of biomarkers reflecting this continuum could enable the establishment of molecular margins—improving risk assessment, reducing local recurrence, and advancing personalized oncologic surgery in HNSCC. Standardizing definitions and sampling protocols for “normal adjacent tissue” remains essential for future translational research. Full article
(This article belongs to the Special Issue Genetic and Epigenetic Analyses in Cancer)
Show Figures

Figure 1

18 pages, 1080 KB  
Review
Diagnostic, Prognostic and Therapeutic Utility of MicroRNA-21 in Ischemic Heart Disease
by Boris Burnjaković, Marko Atanasković, Marko Baralić, Aladin Altić, Emil Nikolov, Anastasija Ilić, Aleksandar Sič, Verica Stanković Popović, Ana Bontić, Selena Gajić and Sanja Stankovic
Int. J. Mol. Sci. 2026, 27(2), 954; https://doi.org/10.3390/ijms27020954 - 18 Jan 2026
Viewed by 435
Abstract
Ischemic heart disease (IHD) remains a leading cause of global morbidity and mortality despite advances in prevention, diagnosis, and therapy. Traditional clinical risk scores and biomarkers often fail to fully capture the complex molecular processes underlying atherosclerosis, myocardial infarction, and ischemic cardiomyopathy, leaving [...] Read more.
Ischemic heart disease (IHD) remains a leading cause of global morbidity and mortality despite advances in prevention, diagnosis, and therapy. Traditional clinical risk scores and biomarkers often fail to fully capture the complex molecular processes underlying atherosclerosis, myocardial infarction, and ischemic cardiomyopathy, leaving substantial residual risk. MicroRNAs have emerged as promising regulators and biomarkers of cardiovascular disease, among which microRNA-21 (miR-21) has attracted particular attention. MiR-21 is deeply involved in key pathophysiological mechanisms of IHD, including endothelial dysfunction, vascular inflammation, vascular smooth muscle cell proliferation, plaque development and vulnerability, cardiomyocyte survival, and myocardial fibrosis. Accumulating clinical evidence suggests that circulating miR-21 holds diagnostic value across the ischemic continuum, from stable coronary artery disease to acute coronary syndromes, myocardial infarction, and ischemic heart failure. Moreover, miR-21 demonstrates prognostic relevance, correlating with plaque instability, adverse remodeling, heart failure progression, and long-term cardiovascular outcomes. Preclinical studies further indicate that miR-21 represents a double-edged therapeutic target, offering cardio protection in acute ischemic injury while contributing to fibrosis and maladaptive remodeling if dysregulated. This narrative review summarizes current evidence on the diagnostic, prognostic, and therapeutic utility of miR-21 in IHD, highlighting its clinical promise as well as key limitations and future translational challenges. Full article
Show Figures

Figure 1

28 pages, 1123 KB  
Article
Trust as a Stochastic Phase on Hierarchical Networks: Social Learning, Degenerate Diffusion, and Noise-Induced Bistability
by Dimitri Volchenkov, Nuwanthika Karunathilaka, Vichithra Amunugama Walawwe and Fahad Mostafa
Dynamics 2026, 6(1), 4; https://doi.org/10.3390/dynamics6010004 - 7 Jan 2026
Viewed by 461
Abstract
Empirical debates about a “crisis of trust” highlight long-lived pockets of high trust and deep distrust in institutions, as well as abrupt, shock-induced shifts between the two. We propose a probabilistic model in which such phenomena emerge endogenously from social learning on hierarchical [...] Read more.
Empirical debates about a “crisis of trust” highlight long-lived pockets of high trust and deep distrust in institutions, as well as abrupt, shock-induced shifts between the two. We propose a probabilistic model in which such phenomena emerge endogenously from social learning on hierarchical networks. Starting from a discrete model on a directed acyclic graph, where each agent makes a binary adoption decision about a single assertion, we derive an effective influence kernel that maps individual priors to stationary adoption probabilities. A continuum limit along hierarchical depth yields a degenerate, non-conservative logistic–diffusion equation for the adoption probability u(x,t), in which diffusion is modulated by (1u) and increases the integral of u rather than preserving it. To account for micro-level uncertainty, we perturb these dynamics by multiplicative Stratonovich noise with amplitude proportional to u(1u), strongest in internally polarised layers and vanishing at consensus. At the level of a single depth layer, Stratonovich–Itô conversion and Fokker–Planck analysis show that the noise induces an effective double-well potential with two robust stochastic phases, u0 and u1, corresponding to persistent distrust and trust. Coupled along depth, this local bistability and degenerate diffusion generate extended domains of trust and distrust separated by fronts, as well as rare, Kramers-type transitions between them. We also formulate the associated stochastic partial differential equation in Martin–Siggia–Rose–Janssen–De Dominicis form, providing a field-theoretic basis for future large-deviation and data-informed analyses of trust landscapes in hierarchical societies. Full article
Show Figures

Graphical abstract

19 pages, 950 KB  
Article
Edge Microservice Deployment and Management Using SDN-Enabled Whitebox Switches
by Mohamad Rahhal, Lluis Gifre, Pablo Armingol Robles, Javier Mateos Najari, Aitor Zabala, Manuel Angel Jimenez, Rafael Leira Osuna, Raul Muñoz, Oscar González de Dios and Ricard Vilalta
Electronics 2026, 15(1), 246; https://doi.org/10.3390/electronics15010246 - 5 Jan 2026
Viewed by 348
Abstract
This work advances a 6G-ready, micro-granular SDN fabric that unifies high-performance edge data planes with intent-driven, multi-domain orchestration and cloud offloading. First, edge and cell-site whiteboxes are upgraded with Smart Network Interface Cards and embedded AI accelerators, enabling line-rate processing of data flows [...] Read more.
This work advances a 6G-ready, micro-granular SDN fabric that unifies high-performance edge data planes with intent-driven, multi-domain orchestration and cloud offloading. First, edge and cell-site whiteboxes are upgraded with Smart Network Interface Cards and embedded AI accelerators, enabling line-rate processing of data flows and on-box learning/inference directly in the data plane. This pushes functions such as traffic classification, telemetry, and anomaly mitigation to the point of ingress, reducing latency and backhaul load. Second, an SDN controller, i.e., ETSI TeraFlowSDN, is extended to deliver multi-domain SDN orchestration with native lifecycle management (LCM) for whitebox Network Operating Systems—covering onboarding, configuration-drift control, rolling upgrades/rollbacks, and policy-guarded compliance—so operators can reliably manage heterogeneous edge fleets at scale. Third, the SDN controller incorporates a new NFV-O client that seamlessly offloads network services—such as ML pipelines or NOS components—to telco clouds via an NFV orchestrator (e.g., ETSI Open Source MANO), enabling elastic placement and scale-out across the edge–cloud continuum. Together, these contributions deliver an open, programmable platform that couples in-situ acceleration with closed-loop, intent-based orchestration and elastic cloud resources, targeting demonstrable gains in end-to-end latency, throughput, operational agility, and energy efficiency for emerging 6G services. Full article
(This article belongs to the Special Issue Optical Networking and Computing)
Show Figures

Figure 1

17 pages, 1555 KB  
Article
Exfoliated Graphite as a Solid Sorbent in Ultrasound-Assisted Dispersive Micro-Solid-Phase Extraction for Determination of Chromium and Vanadium in Herbs
by Małgorzata Osińska, Piotr Krawczyk and Magdalena Krawczyk-Coda
Foods 2025, 14(23), 4075; https://doi.org/10.3390/foods14234075 - 27 Nov 2025
Cited by 1 | Viewed by 393
Abstract
In this research, a preconcentration procedure was developed for the sequential determination of chromium and vanadium using high-resolution continuum source graphite furnace atomic absorption spectrometry (HR-CS GFAAS). Due to low concentrations, chromium and vanadium were determined following preconcentration onto exfoliated graphite using ultrasound-assisted [...] Read more.
In this research, a preconcentration procedure was developed for the sequential determination of chromium and vanadium using high-resolution continuum source graphite furnace atomic absorption spectrometry (HR-CS GFAAS). Due to low concentrations, chromium and vanadium were determined following preconcentration onto exfoliated graphite using ultrasound-assisted dispersive micro-solid-phase extraction (US DMSPE). The experimental parameters, including pH of the sample solution, the amount of exfoliated graphite, extraction time, elution conditions, as well as the main parameters of HR-CS GFAAS, were investigated. The calculated limits of detection for Cr and V were 0.003 µg g−1 and 0.006 µg g−1, respectively. The preconcentration factors obtained for Cr and V were 28 and 34, respectively. The RSD ranged from 0.3% to 3.4% for Cr and from 0.9% to 4.6% for V. The accuracy of this method was validated by analyses of INCT-MP4-2 (Mixed Polish Herbs) certified reference material. The measured chromium and vanadium contents were in satisfactory agreement with the certified values according to the t-test for a 95% confidence level. The proposed method was successfully applied for the determination of both elements in herbs such as hawthorn flower, hawthorn fruit, motherwort, white mulberry leaf, common milkweed, mistletoe, valerian root, and horse chestnut bark. Full article
(This article belongs to the Section Food Analytical Methods)
Show Figures

Figure 1

32 pages, 6786 KB  
Review
Advances in DFT-Based Computational Tribology: A Review
by Haochen Feng, Ziwen Cheng, Zhibin Lu and Qichang He
Lubricants 2025, 13(11), 483; https://doi.org/10.3390/lubricants13110483 - 31 Oct 2025
Cited by 3 | Viewed by 3018
Abstract
The rapid advancement of micro/nano-electromechanical systems (MEMS/NEMS) and precision manufacturing has fundamentally challenged traditional friction theories at the nanoscale. Classical continuum models fail to capture energy dissipation mechanisms at the atomic level, which are influenced by interfacial phenomena such as electron transfer, charge [...] Read more.
The rapid advancement of micro/nano-electromechanical systems (MEMS/NEMS) and precision manufacturing has fundamentally challenged traditional friction theories at the nanoscale. Classical continuum models fail to capture energy dissipation mechanisms at the atomic level, which are influenced by interfacial phenomena such as electron transfer, charge redistribution, and energy level realignment. Density functional theory (DFT), renowned for its accurate description of ground-state properties in many-electron systems, has emerged as a key tool for uncovering quantized friction mechanisms. By quantifying potential energy surface (PES) fluctuations, the evolution of interfacial charge density, and dynamic electronic band structures, DFT establishes a universal correlation between frictional dissipation and electronic behavior, transcending the limitations of conventional models in explaining stick–slip motion, superlubricity, and non-Amonton effects. Research breakthroughs in the application of DFT include characterizing frictional chemical potentials, designing heterojunction-based superlubricity, elucidating strain/load modulation mechanisms, and resolving electronic energy dissipation pathways. However, these advances remain scattered across interdisciplinary studies. This article systematically summarizes methodological innovations and cutting-edge applications of DFT in computational tribology, with the aim of constructing a unified framework for carrying out the “electronic structure–energy dissipation–frictional response” predictions. It provides a state of the art of using DFT to help design high-performance lubricants and actively control interfacial friction. Full article
Show Figures

Figure 1

25 pages, 1098 KB  
Review
Review of Nano- and Micro- Indentation Tests for Rocks
by Qingqing He and Heinz Konietzky
Geosciences 2025, 15(10), 389; https://doi.org/10.3390/geosciences15100389 - 7 Oct 2025
Viewed by 1615
Abstract
Nano- and micro-indentation have become essential tools for quantifying the micromechanical behavior of rocks beyond traditional macroscopic tests. This review summarizes the historical evolution, experimental methodologies, and interpretation models (e.g., Oliver–Pharr, Doerner–Nix, energy-based methods, Hertz/ECM/Lawn), with a particular focus on rock-specific challenges such [...] Read more.
Nano- and micro-indentation have become essential tools for quantifying the micromechanical behavior of rocks beyond traditional macroscopic tests. This review summarizes the historical evolution, experimental methodologies, and interpretation models (e.g., Oliver–Pharr, Doerner–Nix, energy-based methods, Hertz/ECM/Lawn), with a particular focus on rock-specific challenges such as heterogeneity, anisotropy, and surface roughness. A structured literature survey (1980–August 2025) covers representative studies on shale, limestone, marble, sandstone, claystone, and granite. The transition from classical hardness measurements to advanced instrumented indentation has enabled more reliable determination of localized properties, including hardness, elastic modulus, fracture toughness, and creep. Special attention is given to the applicability and limitations of different interpretation models when applied to heterogeneous and anisotropic rocks. Current challenges include high sensitivity to surface conditions and difficulties in capturing the full complexity of natural rock behavior. Looking forward, promising directions involve intelligent systems that integrate AI-driven data analytics, robotic automation, and multiscale modeling (from molecular dynamics to continuum FEM) to enable predictive material design. This review aims to provide geoscientists and engineers with a comprehensive foundation for the effective application and further development of indentation-based testing in rock mechanics and geotechnical engineering. Full article
(This article belongs to the Section Geomechanics)
Show Figures

Figure 1

23 pages, 1406 KB  
Review
Amniotic Fluid and Ocean Water: Evolutionary Echoes, Chemical Parallels, and the Infiltration of Micro- and Nanoplastics
by Antonio Ragusa
Toxics 2025, 13(9), 776; https://doi.org/10.3390/toxics13090776 - 13 Sep 2025
Viewed by 1833
Abstract
Background: Abiogenesis is hypothesized to have occurred in the aquatic environments of the early Earth approximately 3.8–4.0 billion years ago, in oceans containing high concentrations of ions (Na+ ≈ 470 mmol/L, Cl ≈ 545 mmol/L, Mg2+ ≈ 51–53 mmol/L, Ca [...] Read more.
Background: Abiogenesis is hypothesized to have occurred in the aquatic environments of the early Earth approximately 3.8–4.0 billion years ago, in oceans containing high concentrations of ions (Na+ ≈ 470 mmol/L, Cl ≈ 545 mmol/L, Mg2+ ≈ 51–53 mmol/L, Ca2+ ≈ 10 mmol/L, K+ ≈ 10 mmol/L, SO42− ≈ 28–54 mmol/L, HCO3 ≈ 2.3 mmol/L). Primitive membranes evolved ion-regulatory mechanisms to sustain electrochemical gradients, enabling metabolic activity. Objectives: This review compares the composition of amniotic fluid (AF) to seawater, framing AF as a “biological ocean” for the fetus, and evaluates the impact of micro- and nanoplastics (MNPs) on this protected milieu. Methods: We synthesized data from published studies on concentrations of and ions and other important substances in AF during pregnancy and compared them with marine values. Reports of MNPs detected in placenta, AF, and human organs were systematically reviewed. Results: AF exhibits high ionic similarity to seawater, although the absolute concentrations of ions are lower, reflecting evolutionary conservation. Recent analytical studies identified MNPs in samples of human placenta (4–10 particles per 1 g of tissue), meconium (median 3–5 particles per g), and AF (detectable in >60% of tested samples). Co-exposure to heavy metals, persistent organic pollutants, and endocrine disruptors were reported in 20–40% of maternal–fetal samples. Conclusions: The analogy between oceans and AF underscores a conserved evolutionary continuum. However, the infiltration of MNPs into intrauterine environments is a novel toxicological challenge with potential implications for neurodevelopment, immune programming, and epigenetic regulation. Within the One Health framework, protecting AF from anthropogenic contaminants is as critical as safeguarding marine ecosystems. Full article
Show Figures

Graphical abstract

19 pages, 3474 KB  
Article
Shear Band Formation in Thin-Film Multilayer Columns Under Compressive Loading: A Mechanistic Study
by Yu-Lin Shen and Kasandra Escarcega Herrera
Materials 2025, 18(17), 4215; https://doi.org/10.3390/ma18174215 - 8 Sep 2025
Viewed by 947
Abstract
Micro-pillar compression is a popular experimental technique used for characterizing the mechanical behavior of nano- and micro-laminates. The compressive stress–strain response of the column-shaped thin-film composite can be measured, and the deformation and damage features can be revealed by post-test cross-section microscopy. The [...] Read more.
Micro-pillar compression is a popular experimental technique used for characterizing the mechanical behavior of nano- and micro-laminates. The compressive stress–strain response of the column-shaped thin-film composite can be measured, and the deformation and damage features can be revealed by post-test cross-section microscopy. The development of plastic instability in the form of localized strain concentration (shear bands), leading to eventual failure, is frequently observed. In the present study, a computational approach is used to illustrate the commonality of shear band formation from a continuum standpoint. Systematic finite element analyses are conducted, showing that the strain field tends to become localized once plastic yielding commences. Distinct shear offsets of the layered structure can be revealed from the numerical model, which is similar to those observed in experiments. The actual appearance of shear bands depends on the materials’ constitutive behavior and precise geometries. Post-yield strain hardening reduces the propensity of shear band formation, while strain softening enhances it. Imperfections such as the undulated layer geometry, as well as the frictional characteristics between the specimen and test apparatus, can also influence the shear band morphology and overall stress–strain response. Full article
(This article belongs to the Special Issue Computational Tools for Predicting Mechanical Properties of Materials)
Show Figures

Graphical abstract

27 pages, 5071 KB  
Article
Immunohistochemical and Ultrastructural Study of the Degenerative Processes of the Hip Joint Capsule and Acetabular Labrum
by Riana Maria Huzum, Bogdan Huzum, Marius Valeriu Hînganu, Ludmila Lozneanu, Fabian Cezar Lupu and Delia Hînganu
Diagnostics 2025, 15(15), 1932; https://doi.org/10.3390/diagnostics15151932 - 31 Jul 2025
Cited by 3 | Viewed by 1048
Abstract
Background/Objectives: Degenerative processes of the hip joint increasingly affect not only the articular cartilage but also periarticular structures such as the joint capsule and acetabular labrum. This study aimed to investigate the structural and molecular changes occurring in these tissues during advanced [...] Read more.
Background/Objectives: Degenerative processes of the hip joint increasingly affect not only the articular cartilage but also periarticular structures such as the joint capsule and acetabular labrum. This study aimed to investigate the structural and molecular changes occurring in these tissues during advanced hip osteoarthritis. Methods: A combined analysis using immunohistochemistry (IHC), scanning electron microscopy (SEM), and micro-computed tomography (microCT) was conducted on tissue samples from patients undergoing total hip arthroplasty and from controls with morphologically normal joints. Markers associated with proliferation (Ki67), inflammation (CD68), angiogenesis (CD31, ERG), chondrogenesis (SOX9), and lubrication (Lubricin) were evaluated. Results: The pathological group showed increased expression of Ki67, CD68, CD31, ERG, and SOX9, with a notable decrease in Lubricin. SEM analysis revealed ultrastructural disorganization, collagen fragmentation, and neovascular remodeling in degenerative samples. A significant correlation between structural damage and molecular expression was identified. Conclusions: These results suggest that joint capsule and acetabular labrum degeneration are interconnected and reflect a broader pathophysiological continuum, supporting the use of integrated IHC and SEM profiling for early detection and targeted intervention in hip joint disease. Full article
(This article belongs to the Special Issue Diagnosis and Management of Osteoporosis)
Show Figures

Figure 1

Back to TopTop