Shear Band Formation in Thin-Film Multilayer Columns Under Compressive Loading: A Mechanistic Study
Abstract
1. Introduction
2. Numerical Model Description
3. Numerical Results
3.1. Uniform Compression of Straight Columns
3.2. Flat-Indenter Compression of Tapered Columns
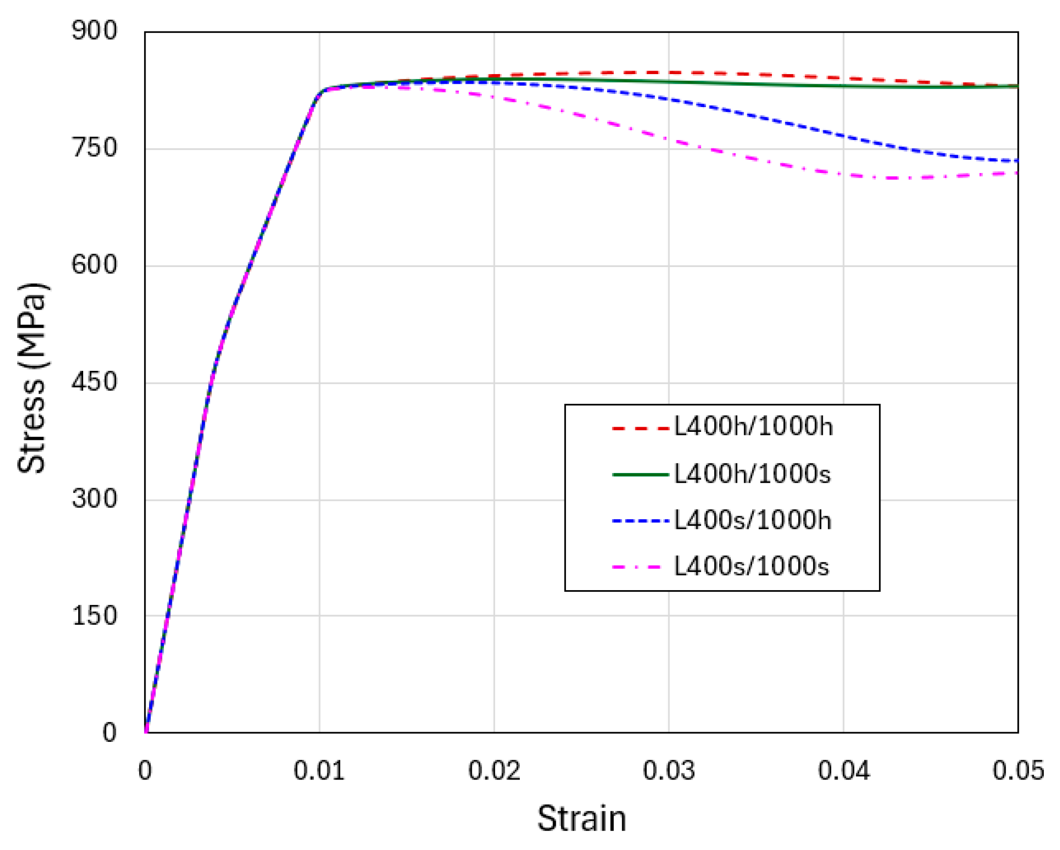
3.3. Effects of Strain Hardening and Softening
4. Discussion
5. Conclusions
- There is a tendency for plastic instability to occur during compressive testing of columns (pillars), and the multilayered geometry amplifies the localization effect. A smaller difference in yield strength between the hard and soft layers will reduce the tendency for shear banding-induced failure initiation.
- Instability-induced shear banding can be obtained from the phenomenological elastic-plastic numerical modeling, without consideration of any microstructural or crystallographic processes.
- Post-yield strain hardening reduces the propensity of shear band formation, while strain softening promotes it. Adopting thin-film layers with a stronger strain hardening ability will thus delay shear band-induced failure initiation.
- Imperfections, such as the undulated layer geometry, can influence shear band morphology.
- The overall compressive stress–strain curve is affected by the frictional characteristics of the contact between the top face (specimen) and flat indenter (testing apparatus). Care should be taken in interpreting and comparing experimental pillar compression results.
- Future studies using a similar modeling framework can include the effects of layer thickness ratio, rate- and/or temperature-dependent constitutive behavior, interfacial compliance and damage, and crystal plasticity.
Author Contributions
Funding
Data Availability Statement
Acknowledgments
Conflicts of Interest
Appendix A

Appendix B


References
- Nasim, M.; Li, Y.; Wen, M.; Wen, C. A review of high-strength nanolaminates and evaluation of their properties. J. Mater. Sci. Tech. 2020, 50, 215–244. [Google Scholar] [CrossRef]
- Sáenz-Trevizo, A.; Hodge, A. Nanomaterials by design: A review of nanoscale metallic multilayers. Nanotechnologys 2020, 31, 292002. [Google Scholar] [CrossRef]
- Zhu, Y.; Wu, X. Heterostructured materials. Prog. Mater. Sci. 2023, 131, 101019. [Google Scholar] [CrossRef]
- Nasim, M.; Li, Y.; Wen, C. Individual layer thickness-dependent microstructures and mechanical properties of fcc/fcc Ni/Al nanolaminates and their strengthening mechanisms. Materialia 2019, 6, 100347. [Google Scholar] [CrossRef]
- Demkowics, M.J.; Hoagland, R.G.; Hirth, J.P. Interface structures and radiation damage resistance in Cu-Nb multilayer nanocomposites. Phys. Rev. Lett. 2008, 100, 136102. [Google Scholar] [CrossRef] [PubMed]
- Jamison, R.D.; Shen, Y.-L. Indentation behavior of multilayered thin films: Effects of layer undulation. Thin Solid Films 2014, 570, 235–242. [Google Scholar] [CrossRef]
- Azadmanjiri, J.; Berndt, C.C.; Wang, J.; Kapoor, A.; Srivastava, V.K.; Wen, C. A review on hybrid nanolaminate materials synthesized by deposition techniques for energy storage applications. J. Mater. Chem. A 2014, 2, 3695–3708. [Google Scholar] [CrossRef]
- Singh, D.; Chawla, N.; Tang, G.; Shen, Y.-L. Micropillar compression of Al/SiC nanolaminates. Acta Mater. 2010, 58, 6628–6636. [Google Scholar] [CrossRef]
- Zhang, J.; Lei, S.; Liu, Y.; Niu, J.; Chen, Y.; Liu, G.; Zhang, X.; Sun, J. Length scale-dependent deformation behavior of nanolayered Cu/Zr micropillars. Acta Mater. 2012, 60, 1610–1622. [Google Scholar] [CrossRef]
- Wang, J.; Yang, C.P.; Hodgson, D. Extrinsic size effect in microcompression of polycrystalline Cu/Fe multilayers. Scr. Mater. 2013, 69, 626–629. [Google Scholar] [CrossRef]
- Liu, M.; Huang, J.; Fong, Y.; Ju, S.; Du, X.; Pei, H.; Nieh, T. Assessing the interfacial strength of an amorphous–crystalline interface. Acta Mater. 2013, 61, 3304–3313. [Google Scholar] [CrossRef]
- Schoeppner, R.; Wheeler, J.; Zechner, J.; Michler, J.; Zbib, H.; Bahr, D. Coherent interfaces increase strain-hardening behavior in tri-component nano-scale metallic multilayer thin films. Mater. Res. Lett. 2015, 3, 114–119. [Google Scholar] [CrossRef]
- Budiman, A.; Narayanan, K.R.; Li, N.; Wang, J.; Tamura, N.; Kunz, M.; Misra, A. Plasticity evolution in nanoscale Cu/Nb single-crystal multilayers as revealed by synchrotron X-ray microdiffraction. Mater. Sci. Eng. A 2015, 635, 6–12. [Google Scholar] [CrossRef]
- Mayer, C.; Yang, L.; Singh, S.; Llorca, J.; Molina-Aldareguia, J.; Shen, Y.-L.; Chawla, N. Anisotropy, size, and aspect ratio effects on micropillar compression of AlSiC nanolaminate composites. Acta Mater. 2016, 114, 25–32. [Google Scholar] [CrossRef]
- Guo, X.; Guo, Q.; Li, Z.; Fan, G.; Xiong, D.-B.; Su, Y.; Zhang, J.; Gan, C.L.; Zhang, D. Interfacial strength and deformation mechanism of SiC–Al composite micro-pillars. Scr. Mater. 2016, 114, 56–59. [Google Scholar] [CrossRef]
- Mara, N.; Bhattacharyya, D.; Hirth, J.; Dickerson, P.; Misra, A. Mechanism for shear banding in nanolayered composites. Appl. Phys. Lett. 2010, 97, 021909. [Google Scholar]
- Dayal, P.; Quadir, M.Z.; Kong, C.; Savvides, N.; Hoffman, M. Transition from dislocation controlled plasticity to grain boundary mediated shear in nanolayered aluminum/palladium thin films. Thin Solid Films 2011, 519, 3213–3220. [Google Scholar] [CrossRef]
- Knorr, I.; Cordero, N.; Lilleodden, E.T.; Volkert, C.A. Mechanical behavior of nanoscale Cu/PdSi multilayers. Acta Mater. 2013, 61, 4984–4995. [Google Scholar] [CrossRef]
- Zheng, S.; Wang, J.; Carpenter, J.; Mook, W.; Dickerson, P.; Mara, N.; Beyerlein, I. Plastic instability mechanisms in bimetallic nanolayered composites. Acta Mater. 2014, 79, 282–291. [Google Scholar] [CrossRef]
- Wheeler, J.M.; Raghavan, R.; Chawla, V.; Zechner, J.; Utke, I.; Michler, J. Failure mechanisms in metal–metal nanolaminates at elevated temperatures: Microcompression of Cu–W multilayers. Scr. Mater. 2015, 98, 28–31. [Google Scholar] [CrossRef]
- Wang, J.; Zhou, Q.; Shao, S.; Misra, A. Strength and plasticity of nanolaminated materials. Mater. Res. Lett. 2017, 5, 1–19. [Google Scholar] [CrossRef]
- Nasim, M.; Li, Y.; Dargusch, M.; Wen, C. Ultra-strong and ductile Ta/Co nanolaminates strengthened via grain-boundary expanding and interfacial sliding. Appl. Mater. Today 2021, 23, 100983. [Google Scholar] [CrossRef]
- Cheng, J.Y.; Wang, J.; Chen, Y.; Xu, S.; Barriocanal, J.G.; Baldwin, J.K.; Beyerlein, I.J.; Mara, N.A. 3D interfaces enhance nanolaminate strength and deformability in multiple loading orientations. Acta Mater. 2024, 267, 119697. [Google Scholar] [CrossRef]
- Yu, W.; Liu, B.; Zhao, J.; Lin, Z.; Zheng, S.; Yin, F.; Hu, N. Improving ductility of multilayer TWIP/Maraging steel through shear band delocalization and periodic multiple necking controlled by layer thickness. Scr. Mater. 2024, 241, 115865. [Google Scholar] [CrossRef]
- Guo, W.; Gan, B.; Molina-Aldareguia, J.M.; Poplawsky, J.D.; Raabe, D. Structure and dynamics of shear bands in amorphous–crystalline nanolaminates. Scr. Mater. 2016, 110, 28–32. [Google Scholar] [CrossRef]
- Dong, S.; Zhou, C.; Chen, T. Investigations on shear band formation in metallic nanolayered composites. Appl. Phys. Lett. 2023, 123, 170501. [Google Scholar] [CrossRef]
- Chawla, N.; Singh, D.; Shen, Y.-L.; Tang, G.; Chawla, K. Indentation mechanics and fracture behavior of metal/ceramic nanolaminate composites. J. Mater. Sci. 2008, 43, 4383–4390. [Google Scholar] [CrossRef]
- Bigelow, S.; Shen, Y.-L. Parametric computational analysis of indentation-induced shear band formation in metal-ceramic multilayer coatings. Surf. Coat. Technol. 2018, 350, 779–787. [Google Scholar] [CrossRef]
- Li, J.; Qin, F.; Yan, D.; Lu, W.; Yao, J. Shear instability in heterogeneous nanolayered Cu/Zr composites. J. Mater. Sci. 2022, 105, 81–91. [Google Scholar] [CrossRef]
- Sahu, B.P.; Higgins, W.H.; Derby, B.K.; Pharr, G.M.; Misra, A. Strain-rate dependent deformation mechanisms in single-layered Cu, Mo, and multilayer Cu/Mo thin films. Mater. Sci. Eng. A 2022, 838, 142776. [Google Scholar] [CrossRef]
- Dai, K.; Zhang, C.; Lu, W.; Li, J. Quantifying the Size-Dependent Shear Banding Behavior in High-Entropy Alloy-Based Nanolayered Glass. Nanomaterials 2024, 14, 546. [Google Scholar] [CrossRef] [PubMed]
- Guo, W.; Jägle, E.A.; Choi, P.-P.; Yao, J.; Kostka, A.; Schneider, J.M.; Raabe, D. Shear-induced mixing governs co-deformation of crystalline-amorphous nanolaminates. Phys. Rev. Lett. 2014, 113, 035501. [Google Scholar] [CrossRef] [PubMed]
- Radchenko, I.; Anwarali, H.; Tippabhotla, S.; Budiman, A. Effects of interface shear strength during failure of semicoherent metal–metal nanolaminates: An example of accumulative roll-bonded Cu/Nb. Acta Mater. 2018, 156, 125–135. [Google Scholar] [CrossRef]
- Kong, X.; Beyerlein, I.J.; Liu, Z.; Yao, B.; Legut, D.; Germann, T.C.; Zhang, R. Stronger and more failure-resistant with three-dimensional serrated bimetal interfaces. Acta Mater. 2019, 166, 231–245. [Google Scholar] [CrossRef]
- Dong, S.; Liu, X.-Y.; Chen, Y.; Zhou, C. Atomistic analysis of plastic deformation and shear band formation in FCC/FCC metallic nanolayered composites. J. Mater. Res. 2023, 38, 1386–1395. [Google Scholar] [CrossRef]
- Chen, Y.; Li, M.; Hoagland, R.G.; Liu, X.-Y.; Baldwin, J.K.; Beyerlein, I.J.; Cheng, J.Y.; Mara, N. Effects of three-dimensional Cu/Nb interfaces on strengthening and shear banding in nanoscale metallic multilayers. Acta Mater. 2020, 199, 593–601. [Google Scholar] [CrossRef]
- Zhang, G.P.; Liu, Y.; Wang, W.; Tan, J. Experimental evidence of plastic deformation instability in nanoscale Au/Cu multilayers. Appl. Phys. Lett. 2006, 88, 013105. [Google Scholar] [CrossRef]
- Wang, F.; Huang, P.; Xu, M.; Lu, T.; Xu, K. Shear banding deformation in Cu/Ta nano-multilayers. Mater. Sci. Eng. A 2011, 528, 7290–7294. [Google Scholar] [CrossRef]
- Gola, A.; Zhang, G.-P.; Pastewka, L.; Schwaiger, R. Surface flaws control strain localization in the deformation of Cu/Au nanolaminate pillars. MRS Commun. 2019, 9, 1067–1071. [Google Scholar] [CrossRef]
- Tvergaard, V. Influence of voids on shear band instabilities under plane strain conditions. Int. J. Fract. 1981, 17, 389–407. [Google Scholar] [CrossRef]
- LeMonds, J.; Needleman, A. An analysis of shear band development incorporating heat conduction. Mech. Mater. 1986, 5, 363–373. [Google Scholar] [CrossRef]
- Rogers, D.N.; Shen, Y.-L. Deformation localization in constrained layers of metallic glasses: A parametric modeling analysis. Thin Solid Films 2014, 561, 108–113. [Google Scholar] [CrossRef]
- Clayton, J.D. Analytical shear-band process zone model incorporating nonlinear viscous effects and initial defects. J. Appl. Mech. 2025, 92, 091009. [Google Scholar] [CrossRef]
- Shen, Y.-L. Constrained Deformation of Materials; Springer: New York, NY, USA, 2010; pp. 184–190. [Google Scholar]
- Wu, S. Computational Simulation of Strain Localization: From Theory to Implementation. Doctoral Dissertation, Louisiana Tech University, Ruston, LA, USA, 2009. [Google Scholar]
- Belrhiti, Y.; Grossman, M.W.; Hedgecock, R.; McGilvray, M.; Vandeperre, L. Brazing ZrB2 ultra-high-temperature ceramics to Zr metals for hypersonic thermal protection systems. Appl. Ceram. Technol. 2025, 22, e15161. [Google Scholar] [CrossRef]
- Belrhiti, Y.; Hamelin, C.; Knowles, D.; Mostafavi, M. Thermomechanical analysis of tungsten-copper joints for fusion applications using digital image correlation. Fusion Eng. Des. 2024, 206, 114608. [Google Scholar] [CrossRef]
- Lubliner, J. Plasticity Theory; Macmillan Publishing Company: New York, NY, USA, 1990; pp. 151–158. [Google Scholar]
















| Model Designation | Initial Yield Strength (σy) | Strain Hardening (Δσ/Δεp) |
|---|---|---|
| Homogeneous H700 | 700 MPa | 0 |
| L650/750 | Soft layers 650 MPa | 0 |
| Hard layers 750 MPa | 0 | |
| L600/800 | Soft layers 600 MPa | 0 |
| Hard layers 800 MPa | 0 | |
| L400/1000 | Soft layers 400 MPa | 0 |
| Hard layers 1000 MPa | 0 | |
| Homogeneous H1000 | 1000 MPa | 0 |
| L700/1300 | Soft layers 700 MPa | 0 |
| Hard layers 1300 MPa | 0 | |
| Homogeneous H400 | 400 MPa | 0 |
| L100/700 | Soft layers 100 MPa | 0 |
| Hard layers 700 MPa | 0 | |
| L400 h/1000 h | Soft layers 400 MPa | +30 MPa |
| Hard layers 1000 MPa | +30 MPa | |
| L400 h/1000 s | Soft layers 400 MPa | +30 MPa |
| Hard layers 1000 MPa | −30 MPa | |
| L400 s/1000 h | Soft layers 400 MPa | −30 MPa |
| Hard layers 1000 MPa | +30 MPa | |
| L400 s/1000 s | Soft layers 400 MPa | −30 MPa |
| Hard layers 1000 MPa | −30 MPa |
Disclaimer/Publisher’s Note: The statements, opinions and data contained in all publications are solely those of the individual author(s) and contributor(s) and not of MDPI and/or the editor(s). MDPI and/or the editor(s) disclaim responsibility for any injury to people or property resulting from any ideas, methods, instructions or products referred to in the content. |
© 2025 by the authors. Licensee MDPI, Basel, Switzerland. This article is an open access article distributed under the terms and conditions of the Creative Commons Attribution (CC BY) license (https://creativecommons.org/licenses/by/4.0/).
Share and Cite
Shen, Y.-L.; Escarcega Herrera, K. Shear Band Formation in Thin-Film Multilayer Columns Under Compressive Loading: A Mechanistic Study. Materials 2025, 18, 4215. https://doi.org/10.3390/ma18174215
Shen Y-L, Escarcega Herrera K. Shear Band Formation in Thin-Film Multilayer Columns Under Compressive Loading: A Mechanistic Study. Materials. 2025; 18(17):4215. https://doi.org/10.3390/ma18174215
Chicago/Turabian StyleShen, Yu-Lin, and Kasandra Escarcega Herrera. 2025. "Shear Band Formation in Thin-Film Multilayer Columns Under Compressive Loading: A Mechanistic Study" Materials 18, no. 17: 4215. https://doi.org/10.3390/ma18174215
APA StyleShen, Y.-L., & Escarcega Herrera, K. (2025). Shear Band Formation in Thin-Film Multilayer Columns Under Compressive Loading: A Mechanistic Study. Materials, 18(17), 4215. https://doi.org/10.3390/ma18174215

