Sign in to use this feature.

Years

Between: -

Subjects

remove_circle_outline
remove_circle_outline
remove_circle_outline
remove_circle_outline
remove_circle_outline
remove_circle_outline
remove_circle_outline

Journals

Article Types

Countries / Regions

Search Results (176)

Search Parameters:
Keywords = metasurface bandwidth

Order results
Result details
Results per page
Select all
Export citation of selected articles as:
29 pages, 7280 KB  
Review
Recent Advanced Photodetectors Coupling Optical Structure
by Yangye Lin and Shuo Zhang
Photonics 2025, 12(11), 1096; https://doi.org/10.3390/photonics12111096 - 7 Nov 2025
Viewed by 457
Abstract
Photodetectors are critical components in a wide range of applications, including military, communications, medical, and aerospace fields. With ongoing advancements in optoelectronics, the strategy of integrating multiple optical structures with photodetectors has led to substantial improvements in detection performance. This review summarizes recent [...] Read more.
Photodetectors are critical components in a wide range of applications, including military, communications, medical, and aerospace fields. With ongoing advancements in optoelectronics, the strategy of integrating multiple optical structures with photodetectors has led to substantial improvements in detection performance. This review summarizes recent research progress in optically coupled photodetectors, providing a systematic analysis of the operational mechanisms and performance characteristics of five key coupling configurations: optical waveguides, surface plasmon resonance structures, microcavities, gratings, and integrated metasurfaces. Furthermore, the main limitations of current coupling technologies and challenges facing the development of future coupled devices are discussed. Recent studies indicate that heterogeneous integration, multi-physical field coupling, and automated fabrication processes are paving the way for high-performance photodetectors with enhanced bandwidth, sensitivity, functional integration, and spectral control capabilities. Full article
(This article belongs to the Special Issue Organic Photodetectors, Displays, and Upconverters)
Show Figures

Figure 1

12 pages, 8321 KB  
Article
Design of High-Gain Linear Polarized Fabry–Perot Antenna Based on Minkowski Fractal Structure
by Wei Hu, Liangfu Peng, Tao Tang, Maged A. Aldhaeebi and Thamer S. Almoneef
Fractal Fract. 2025, 9(11), 685; https://doi.org/10.3390/fractalfract9110685 - 24 Oct 2025
Viewed by 370
Abstract
High-gain linear polarized antennas are widely used in wireless communications. However, the insertion loss of the feed network increases, limiting the potential for enhancing antenna gain. In this paper, a high-gain linear polarized Fabry–Perot (FP) antenna based on a fractal structure, which consisted [...] Read more.
High-gain linear polarized antennas are widely used in wireless communications. However, the insertion loss of the feed network increases, limiting the potential for enhancing antenna gain. In this paper, a high-gain linear polarized Fabry–Perot (FP) antenna based on a fractal structure, which consisted of a metasurface and 2 × 2 array antenna structure, was designed. The spacing between the metasurface structure and array antenna was a free space half-wavelength, forming an FP antenna with a high gain. The self-similarity of the fractal structure allowed miniaturization of the structure. The proposed antenna and metasurface structural units comprised a first-order Minkowski fractal structure. The antenna unit was further miniaturized by including a square gap structure in its unit structure, while its gain was improved by using an air dielectric layer as the dielectric substrate of the antenna unit. The antenna unit formed a 2 × 2 array antenna through a 1–4 feeding network. The reliability of the array antenna performance was verified by processing and measuring the antenna structure. Experimental results showed that the −10 dB working bandwidth of the antenna is 5.71–5.89 GHz, while at 5.8 GHz its gain is 16.5 dBi. The radiation efficiency is over 90%. The experimental results were consistent with the simulation results. The proposed antenna exhibits high gain and is suitable for short-distance wireless communication systems and other fields. Full article
(This article belongs to the Section Engineering)
Show Figures

Figure 1

11 pages, 6146 KB  
Article
2D Mutation-Based Elitist Genetic Algorithm for Optimal Design of Transmissive Linear-to-Circular Polarization Conversion Metasurfaces
by Jiao Wang, Wanguang Xiong, Hongkai Zhou, Chao Xu and Yannan Jiang
Appl. Sci. 2025, 15(20), 11265; https://doi.org/10.3390/app152011265 - 21 Oct 2025
Viewed by 278
Abstract
Although the elitist genetic algorithm (EGA) is an approach for the optimal design of pixelated metasurfaces, it is necessary to convert a two-dimensional (2D) metasurface to a one-dimensional array. This ignores the effects of the mutation on neighboring data in 2D metasurfaces, and [...] Read more.
Although the elitist genetic algorithm (EGA) is an approach for the optimal design of pixelated metasurfaces, it is necessary to convert a two-dimensional (2D) metasurface to a one-dimensional array. This ignores the effects of the mutation on neighboring data in 2D metasurfaces, and hinders the rapid convergence of the algorithms. Therefore, we propose the 2D mutation-based EGA (2DM-EGA) to optimally design the linear-to-circular (LTC) polarization conversion metasurface (PCM). Compared with EGA, 2DM-EGA can significantly improve the convergence rate. Furthermore, combined with the proposed intuitive reward-based fitness function and circular polarization discrimination pertaining to an ellipticity angle β, 2DM-EGA, programmed in Python (2023 version), is used to accomplish optimal targets. Finally, the simulated operating band of the optimized metasurface varies from 8.16 GHz to 11.5 GHz with a reduced ellipticity angle β/π ≥ 0.15 and a relative bandwidth of 33.5%, which suggests that the optimized metasurface realizes the broadband LTC polarization conversion. The measured results are in excellent accord with the simulations validating 2DM-EGA for the optimal design of transmission-type wideband LTC PCMs. Additionally, the physical mechanism of the design is expounded. Full article
(This article belongs to the Section Electrical, Electronics and Communications Engineering)
Show Figures

Figure 1

16 pages, 4102 KB  
Article
Analytical Design of Optically Transparent, Wideband, and Tunable Microwave Absorber Based on Graphene Spiral Resonator Metasurface
by Ioannis S. Fosteris and George S. Kliros
Photonics 2025, 12(10), 1006; https://doi.org/10.3390/photonics12101006 - 13 Oct 2025
Viewed by 457
Abstract
We present the design of an optically transparent, flexible, and tunable microwave absorber covering the X and Ku frequency bands. The absorber is based on a metasurface composed of a periodic array of graphene spiral resonators (GSRs) attached to an ultrathin PET film [...] Read more.
We present the design of an optically transparent, flexible, and tunable microwave absorber covering the X and Ku frequency bands. The absorber is based on a metasurface composed of a periodic array of graphene spiral resonators (GSRs) attached to an ultrathin PET film placed over an ITO-backed dielectric spacer. An equivalent circuit model (ECM), described by closed-form equations, is proposed to optimize the structure for maximum absorption within the target frequency range. The optimized absorber achieves a peak absorbance of 99.7% for normally incident waves while maintaining over 90% absorption at various incident angles in the frequency range from 8.5 GHz to 17.4 GHz. In addition, a double-layer graphene spiral resonator (DGSR) metasurface is proposed to extend the absorber’s operational bandwidth, demonstrating a bandwidth enhancement of approximately 3 GHz and a relative bandwidth of 90% without compromising miniaturization or incident angle stability. Given their remarkable attributes, both GSR and DGSR configurations show great potential for applications in radar stealth technology and transparent electromagnetic compatibility. Full article
(This article belongs to the Special Issue Photonics Metamaterials: Processing and Applications)
Show Figures

Figure 1

18 pages, 4346 KB  
Article
Tunable Ultra-Wideband VO2–Graphene Hybrid Metasurface Terahertz Absorption Devices Based on Dual Regulation
by Kele Chen, Zhengning Wang, Meizhang Guan, Shubo Cheng, Hongyu Ma, Zao Yi and Boxun Li
Photonics 2025, 12(10), 987; https://doi.org/10.3390/photonics12100987 - 5 Oct 2025
Cited by 3 | Viewed by 623
Abstract
In this study, a dynamically tunable terahertz device based on a VO2–graphene hybrid metasurface is proposed, which realizes the dual functions of ultra-wideband absorption and efficient transmission through VO2 phase transformation. At 345 K (metallic state), the device attains an [...] Read more.
In this study, a dynamically tunable terahertz device based on a VO2–graphene hybrid metasurface is proposed, which realizes the dual functions of ultra-wideband absorption and efficient transmission through VO2 phase transformation. At 345 K (metallic state), the device attains an absorption efficiency exceeding 90% (average 97.06%) in the range of 2.25–6.07 THz (bandwidth 3.82 THz), showing excellent absorption performance. At 318 K (insulated state), the device achieves 67.66–69.51% transmittance in the 0.1–2.14 THz and 7.51–10 THz bands while maintaining a broadband absorption of 3.6–5.08 THz (an average of 81.99%). Compared with traditional devices, the design breaks through the performance limitations by integrating phase change material control with 2D materials. The patterned graphene design simplifies the fabrication process. System analysis reveals that the device is polarization-insensitive and tunable via graphene Fermi energy and relaxation time. The device’s excellent temperature response and wide angular stability provide a novel solution for terahertz switching, stealth technology, and sensing applications. Full article
(This article belongs to the Special Issue Photonics Metamaterials: Processing and Applications)
Show Figures

Figure 1

18 pages, 4581 KB  
Article
Metamaterial-Enhanced Microstrip Antenna with Integrated Channel Performance Evaluation for Modern Communication Networks
by Jasim Khudhair Salih Turfa and Oguz Bayat
Appl. Sci. 2025, 15(19), 10692; https://doi.org/10.3390/app151910692 - 3 Oct 2025
Viewed by 698
Abstract
This paper investigates the channel performance through a high-gain, circularly polarized microstrip patch antenna that is developed for contemporary wireless communication systems. The proposed antenna creates two orthogonal modes for circular propagation with slightly varying resonance frequencies by using a cross line and [...] Read more.
This paper investigates the channel performance through a high-gain, circularly polarized microstrip patch antenna that is developed for contemporary wireless communication systems. The proposed antenna creates two orthogonal modes for circular propagation with slightly varying resonance frequencies by using a cross line and truncations to circulate surface currents. Compactness, reduced surface wave losses, and enhanced impedance bandwidth are made possible by the coaxial probe feed, periodic electromagnetic gap (EBG) slots, and fractal patch geometry. For in-phase reflection and beam focusing, a specially designed single-layer metasurface (MTS) reflector with an 11 × 11 circular aperture array is placed 20 mm behind the antenna. A log-normal shadowing model was used to test the antenna in real-world scenarios, and the results showed a strong correlation between the model predictions and actual data. At up to 250 m, the polarization-agile, high-gain antenna demonstrated reliable performance across a variety of channel conditions, enabling accurate characterization of the Channel Quality Indicator (CQI), Signal-to-Noise Ratio (SNR), and Reference Signal Received Power (RSRP). By combining cutting-edge antenna architecture with an empirical channel performance study, this research presents a compact, affordable, and fabrication-friendly solution for increased wireless coverage and efficiency. Full article
Show Figures

Figure 1

15 pages, 2860 KB  
Article
Metasurface Design on Low-Emissivity Glass via a Physically Constrained Search Method
by Zhenyu Zheng, Chuanchuan Yang, Haolan Yang, Cheng Zhang and Hongbin Li
Electronics 2025, 14(19), 3882; https://doi.org/10.3390/electronics14193882 - 30 Sep 2025
Viewed by 389
Abstract
Low-emissivity (Low-E) glass, crucial for thermal insulation, significantly attenuates wireless signals, hindering 5G communication. Metasurface technology offers a solution, but the existing designs often neglect the etching ratio constraint and lack physical interpretability. In this work, we propose a physically constrained search method [...] Read more.
Low-emissivity (Low-E) glass, crucial for thermal insulation, significantly attenuates wireless signals, hindering 5G communication. Metasurface technology offers a solution, but the existing designs often neglect the etching ratio constraint and lack physical interpretability. In this work, we propose a physically constrained search method that incorporates prior knowledge of the capacitive equivalent circuit to guide the design of metasurfaces on Low-E glass. First, the equivalent circuit type of the metasurface is determined as a capacitive structure through transmission line model analysis. Then, a random walk-based search is conducted within the solution space of topological patterns corresponding to capacitive structures, ensuring etching ratio constraints and maintaining structural continuity. Using this method, we design a metasurface pattern optimized for 5G communication, which demonstrates over 30 dB improvement in signal transmission compared with full-coating Low-E glass. A fabricated 300 mm × 300 mm prototype, etched with a ratio of 19.5%, demonstrates a minimum transmission loss of 2.509 dB across the 24–30 GHz band with a 3 dB bandwidth of 4.28 GHz, fully covering the 5G n258 band (24.25–27.5 GHz). Additionally, the prototype maintains a transmission coefficient reduction of no more than 3 dB under oblique incidence angles from 0° to 50°, enabling robust 5G connectivity. Full article
Show Figures

Figure 1

11 pages, 12359 KB  
Article
Forked-Crossing Metasurface for Multi-Band Polarization Conversion with Distinct Bandwidths
by Pengpeng Zhang, Yifei Zhang, Ziang Li and Rui Yang
Micromachines 2025, 16(10), 1100; https://doi.org/10.3390/mi16101100 - 28 Sep 2025
Cited by 1 | Viewed by 402
Abstract
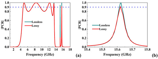
This study presents a reflective and highly efficient multi-band metasurface polarization converter based on a forked-crossing patch array. Both simulation and experimental results reveal that such a metasurface achieves polarization conversion ratio (PCR) exceeding 90% over five frequency bands of 4.71–5.44 GHz, 7.26–9.55 [...] Read more.
This study presents a reflective and highly efficient multi-band metasurface polarization converter based on a forked-crossing patch array. Both simulation and experimental results reveal that such a metasurface achieves polarization conversion ratio (PCR) exceeding 90% over five frequency bands of 4.71–5.44 GHz, 7.26–9.55 GHz, 11.62–12.6 GHz, 13.33–13.46 GHz, and 15.61–15.62 GHz with high conversion efficiency realized at five distinct resonances. The quality-factor (Q-factor) analysis of each band reveals a hybrid behavior. More specifically, the first and second bands exhibit relatively low Q factors of approximately 6.95 and 3.67, indicating wideband polarization conversion capability. The third band has a moderate Q factor of 12.35, while the fourth and fifth bands show high-Q resonances with Q factors of 103.04 and 1561.5, respectively, indicating sharp and selective frequency responses. This combination of wideband and high-Q narrowband responses makes the proposed design especially suitable for complex electromagnetic scenarios, such as multifunctional radar, communication, and sensing systems, where both broad frequency coverage and precise spectral control are simultaneously required. Full article
Show Figures

Figure 1

42 pages, 5827 KB  
Review
A Review of Reconfigurable Intelligent Surfaces in Underwater Wireless Communication: Challenges and Future Directions
by Tharuka Govinda Waduge, Yang Yang and Boon-Chong Seet
J. Sens. Actuator Netw. 2025, 14(5), 97; https://doi.org/10.3390/jsan14050097 - 26 Sep 2025
Viewed by 1839
Abstract
Underwater wireless communication (UWC) is an emerging technology crucial for automating marine industries, such as offshore aquaculture and energy production, and military applications. It is a key part of the 6G vision of creating a hyperconnected world for extending connectivity to the underwater [...] Read more.
Underwater wireless communication (UWC) is an emerging technology crucial for automating marine industries, such as offshore aquaculture and energy production, and military applications. It is a key part of the 6G vision of creating a hyperconnected world for extending connectivity to the underwater environment. Of the three main practicable UWC technologies (acoustic, optical, and radiofrequency), acoustic methods are best for far-reaching links, while optical is best for high-bandwidth communication. Recently, utilizing reconfigurable intelligent surfaces (RISs) has become a hot topic in terrestrial applications, underscoring significant benefits for extending coverage, providing connectivity to blind spots, wireless power transmission, and more. However, the potential for further research works in underwater RIS is vast. Here, for the first time, we conduct an extensive survey of state-of-the-art of RIS and metasurfaces with a focus on underwater applications. Within a holistic perspective, this survey systematically evaluates acoustic, optical, and hybrid RIS, showing that environment-aware channel switching and joint communication architectures could deliver holistic gains over single-domain RIS in the distance–bandwidth trade-off, congestion mitigation, security, and energy efficiency. Additional focus is placed on the current challenges from research and realization perspectives. We discuss recent advances and suggest design considerations for coupling hybrid RIS with optical energy and piezoelectric acoustic energy harvesting, which along with distributed relaying, could realize self-sustainable underwater networks that are highly reliable, long-range, and high throughput. The most impactful future directions seem to be in applying RIS for enhancing underwater links in inhomogeneous environments and overcoming time-varying effects, realizing RIS hardware suitable for the underwater conditions, and achieving simultaneous transmission and reflection (STAR-RIS), and, particularly, in optical links—integrating the latest developments in metasurfaces. Full article
Show Figures

Figure 1

27 pages, 8496 KB  
Review
Progress in Electromagnetic Wave Absorption of Multifunctional Structured Metamaterials
by Zhuo Lu, Luwei Liu, Zhou Chen, Changxian Wang, Xiaolei Zhu, Xiaofeng Lu, Hui Yuan and Hao Huang
Polymers 2025, 17(18), 2559; https://doi.org/10.3390/polym17182559 - 22 Sep 2025
Viewed by 1226
Abstract
This review summarizes recent advances in multifunctional metamaterials (MF-MMs) for electromagnetic (EM) wave absorption. MF-MMs overcome the key limitations of conventional absorbers—such as narrow bandwidth, limited functionality, and poor environmental adaptability—offering enhanced protection against EM security threats in radar, aerospace, and defense applications. [...] Read more.
This review summarizes recent advances in multifunctional metamaterials (MF-MMs) for electromagnetic (EM) wave absorption. MF-MMs overcome the key limitations of conventional absorbers—such as narrow bandwidth, limited functionality, and poor environmental adaptability—offering enhanced protection against EM security threats in radar, aerospace, and defense applications. This review focuses on an integrated structure-material-function co-design strategy, highlighting advances in three-dimensional (3D) lattice architectures, composite laminates, conformal geometries, bio-inspired topologies, and metasurfaces. When synergized with multicomponent composites, these structural innovations enable the co-regulation of impedance matching and EM loss mechanisms (dielectric, magnetic, and resistive dissipation), thereby achieving broadband absorption and enhanced multifunctionality. Key findings demonstrate that 3D lattice structures enhance mechanical load-bearing capacity by up to 935% while enabling low-frequency broadband absorption. Composite laminates achieve breakthroughs in ultra-broadband coverage (1.26–40 GHz), subwavelength thickness (<5 mm), and high flexural strength (>23 MPa). Bio-inspired topologies provide wide-incident-angle absorption with bandwidths up to 31.64 GHz. Metasurfaces facilitate multiphysics functional integration. Despite the significant potential of MF-MMs in resolving broadband stealth and multifunctional synergy challenges via EM wave absorption, their practical application is constrained by several limitations: limited dynamic tunability, incomplete multiphysics coupling mechanisms, insufficient adaptability to extreme environments, and difficulties in scalable manufacturing and reliability assurance. Future research should prioritize intelligent dynamic response, deeper integration of multiphysics functionalities, and performance optimization under extreme conditions. Full article
Show Figures

Figure 1

15 pages, 13787 KB  
Article
High-Q Terahertz Perfect Absorber Based on a Dual-Tunable InSb Cylindrical Pillar Metasurface
by Rafael Charca-Benavente, Jinmi Lezama-Calvo and Mark Clemente-Arenas
Telecom 2025, 6(3), 70; https://doi.org/10.3390/telecom6030070 - 22 Sep 2025
Viewed by 659
Abstract
Perfect absorbers operating in the terahertz (THz) band are key enablers for next-generation wireless systems. However, conventional metal–dielectric designs suffer from Ohmic losses and limited reconfigurability. Here, we propose an all-dielectric indium antimonide (InSb) cylindrical pillar metasurface that achieves near-unity absorption at [...] Read more.
Perfect absorbers operating in the terahertz (THz) band are key enablers for next-generation wireless systems. However, conventional metal–dielectric designs suffer from Ohmic losses and limited reconfigurability. Here, we propose an all-dielectric indium antimonide (InSb) cylindrical pillar metasurface that achieves near-unity absorption at f0=1.83 THz with a high quality factor of Q=72.3. Critical coupling between coexisting electric and magnetic dipoles enables perfect impedance matching, while InSb’s low damping minimizes energy loss. The resonance is tunable via temperature and magnetic bias at sensitivities of ST2.8GHz·K1, SBTE132.7GHz·T1, and SBTM34.7GHz·T1, respectively, without compromising absorption strength. At zero magnetic bias (B=0), the metasurface is polarization-independent under normal incidence; under magnetic bias (B0), it maintains near-unity absorbance for both TE and TM, while the resonance frequency becomes polarization-dependent. Additionally, the 90% absorptance bandwidth (ΔfA0.9) can be modulated from 8.3 GHz to 3.3 GHz with temperature, or broadened from 8.5 GHz to 14.8 GHz under magnetic bias. This allows gapless suppression of up to 14 consecutive 1 GHz-spaced channels. This standards-agnostic bandwidth metric illustrates dynamic spectral filtering for future THz links and beyond-5G/6G research. Owing to its sharp selectivity, dual-mode tunability, and metal-free construction, the proposed absorber offers a compact and reconfigurable platform for advanced THz filtering applications. Full article
Show Figures

Graphical abstract

18 pages, 40307 KB  
Article
A Reconfigurable Metasurface for Linear-to-Circular Polarization Conversion Using Mechanical Rotation
by Gregorio J. Molina-Cuberos, Ángel J. García-Collado, Ismael Barba and José Margineda
Electronics 2025, 14(18), 3639; https://doi.org/10.3390/electronics14183639 - 14 Sep 2025
Viewed by 837
Abstract
We present a single-slab metasurface that converts a normally incidental linearly polarized wave into either right- or left-handed circular polarization (RHCP/LHCP) through a simple 90 mechanical rotation. Each unit cell comprises two L-shaped metallic resonators placed on the opposite faces of a [...] Read more.
We present a single-slab metasurface that converts a normally incidental linearly polarized wave into either right- or left-handed circular polarization (RHCP/LHCP) through a simple 90 mechanical rotation. Each unit cell comprises two L-shaped metallic resonators placed on the opposite faces of a low-permittivity substrate. Operating in transmission mode, the linear-to-circular (LTC) converter does not require any active electronic components. The geometry is optimized by using full-wave simulations to maximize the conversion up to 26% relative bandwidth with polarization conversion efficiency up to 65%, and insertion loss below 1.3 dB. Power balance analysis confirms low-loss, impedance-matched behavior. A scaled prototype fabricated from AWG-25 steel wires validates the model: experimental measurements closely reproduce the simulated bandwidth and demonstrate robust handedness switching. Because the resonance frequency depends primarily on resonator length and unit-cell pitch and thickness, the design can be retuned across the microwave spectrum through straightforward geometrical scaling. These results suggest that mechanical rotation could provide a simple and reliable alternative to electronic tuning in reconfigurable circular polarizers. Full article
(This article belongs to the Section Microwave and Wireless Communications)
Show Figures

Figure 1

13 pages, 3097 KB  
Article
Reconfigurable Microwave Absorption Properties and Principles of Double-Layer Metasurface Absorbers
by Yun He, Zhiming Zhang, Qingyang Wang, Qiyuan Wang, Qin Fu and Yulu Zhang
Molecules 2025, 30(17), 3608; https://doi.org/10.3390/molecules30173608 - 3 Sep 2025
Viewed by 1380
Abstract
A reconfigurable microwave absorber based on double-layer metasurface is proposed for wide microwave band applications spanning 3 to 14 GHz. The absorber consists of two layers with two-dimensional array of four-semi-circular and square-ring metasurface patches loaded impedance devices, two spacers composed of honeycomb [...] Read more.
A reconfigurable microwave absorber based on double-layer metasurface is proposed for wide microwave band applications spanning 3 to 14 GHz. The absorber consists of two layers with two-dimensional array of four-semi-circular and square-ring metasurface patches loaded impedance devices, two spacers composed of honeycomb materials, and a bottom copper substrate. In order to break through the limitation of single-layer absorbers at finite resonant frequencies, a special double-layered metasurface structure is adopted. The layer I of metasurface is designed with two resonant peaks near the X band and transmission performance in the C band. Simultaneously, the layer II of metasurface is designed with a resonant peak near the C band and reflection performance in the X band. To achieve a reconfigurable effect, impedance adjustable device, such as PIN diodes, are connected between patterned metasurface cells of layer I. The simulation results revealed that the double-layer metasurface absorber can not only achieve broadband absorption effect, with the reflection value below −10 dB from 3.1 to 14.2 GHz, but also adjust the electromagnetic absorption rate, with the reflection value below −20 dB covers a bandwidth of 6.6–9 GHz. The good agreement between simulation and measurement validates the proposed absorber. Full article
Show Figures

Figure 1

15 pages, 37613 KB  
Article
Wideband Reconfigurable Reflective Metasurface with 1-Bit Phase Control Based on Polarization Rotation
by Zahid Iqbal, Xiuping Li, Zihang Qi, Wenyu Zhao, Zaid Akram and Muhammad Ishfaq
Telecom 2025, 6(3), 65; https://doi.org/10.3390/telecom6030065 - 3 Sep 2025
Viewed by 1222
Abstract
The rapid expansion of broadband wireless communication systems, including 5G, satellite networks, and next-generation IoT platforms, has created a strong demand for antenna architectures capable of real-time beam control, compact integration, and broad frequency coverage. Traditional reflectarrays, while effective for narrowband applications, often [...] Read more.
The rapid expansion of broadband wireless communication systems, including 5G, satellite networks, and next-generation IoT platforms, has created a strong demand for antenna architectures capable of real-time beam control, compact integration, and broad frequency coverage. Traditional reflectarrays, while effective for narrowband applications, often face inherent limitations such as fixed beam direction, high insertion loss, and complex phase-shifting networks, making them less viable for modern adaptive and reconfigurable systems. Addressing these challenges, this work presents a novel wideband planar metasurface that operates as a polarization rotation reflective metasurface (PRRM), combining 90° polarization conversion with 1-bit reconfigurable phase modulation. The metasurface employs a mirror-symmetric unit cell structure, incorporating a cross-shaped patch with fan-shaped stub loading and integrated PIN diodes, connected through vertical interconnect accesses (VIAs). This design enables stable binary phase control with minimal loss across a significantly wide frequency range. Full-wave electromagnetic simulations confirm that the proposed unit cell maintains consistent cross-polarized reflection performance and phase switching from 3.83 GHz to 15.06 GHz, achieving a remarkable fractional bandwidth of 118.89%. To verify its applicability, the full-wave simulation analysis of a 16 × 16 array was conducted, demonstrating dynamic two-dimensional beam steering up to ±60° and maintaining a 3 dB gain bandwidth of 55.3%. These results establish the metasurface’s suitability for advanced beamforming, making it a strong candidate for compact, electronically reconfigurable antennas in high-speed wireless communication, radar imaging, and sensing systems. Full article
Show Figures

Figure 1

14 pages, 3000 KB  
Article
Design of Pixelated Wideband Metasurface Absorber Using Transfer Learning and Generative Adversarial Networks
by Yun He, Zhiming Zhang, Fang Ke, Xun Ye, Mingyu Li and Yulu Zhang
Appl. Sci. 2025, 15(17), 9642; https://doi.org/10.3390/app15179642 - 2 Sep 2025
Viewed by 523
Abstract
In this paper, a wideband metasurface absorber is proposed by utilizing transfer learning and a conditional deep convolutional generative adversarial network (CDCGAN). This approach involves introducing a forward prediction neural network to predict the spectral curve of a metasurface absorber, as well as [...] Read more.
In this paper, a wideband metasurface absorber is proposed by utilizing transfer learning and a conditional deep convolutional generative adversarial network (CDCGAN). This approach involves introducing a forward prediction neural network to predict the spectral curve of a metasurface absorber, as well as a generative adversarial network for the inverse design of a metasurface absorber. After comparing different pre-trained models, a transfer learning network (TLN) based on GoogleNet-InceptionV3 is incorporated into the design process to reduce the amount of training data required. Based on the pixelated metasurface with a common effect of metallic pixels and resistive film pixels, a broadband electromagnetic absorber was designed through the CDCGAN model. For the application target of the C-band, a pixelated broadband metasurface Absorber I has been designed, which can achieve an absorption effect of less than −8 dB in the range of 6.5–8 GHz, and the absorption performance reaches less than −15 dB near the resonant frequency point of 7 GHz. Further lightweight optimization design was carried out, and the metasurface Absorber II was designed for application in the X-band, which has an absorption bandwidth below −8 dB at 9–12 GHz. The reflectivity curve measured by the experiment is in good agreement with that of the simulation result. Of note, our methodology aims to reversely engineer suitable absorbing structures based on customer-defined spectrums, which may bear some significance to the rapid design of broadband metasurface absorbers. Full article
Show Figures

Figure 1

Back to TopTop