Metasurface Design on Low-Emissivity Glass via a Physically Constrained Search Method
Abstract
1. Introduction
2. Physically Constrained Search Method
3. Fabrication and Measurement
4. Discussion
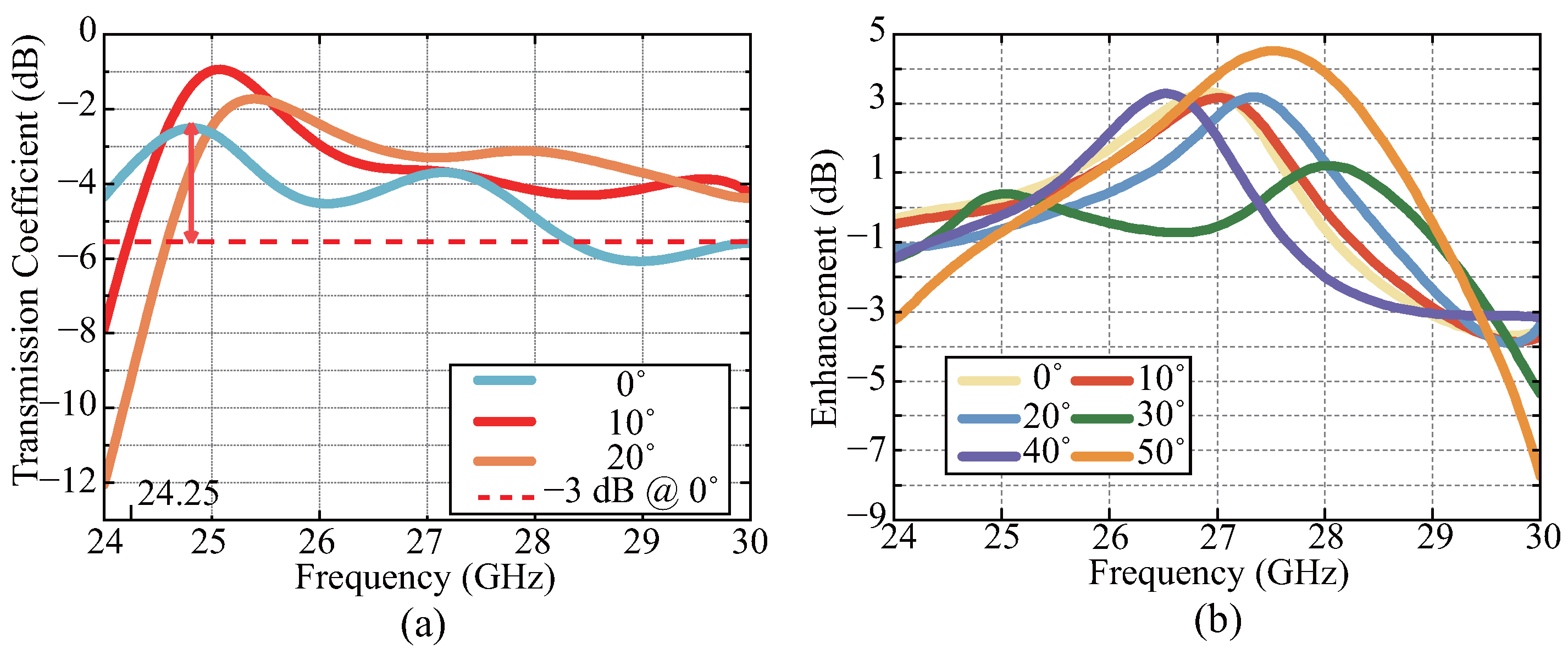
4.1. Angular Analysis
4.2. Optical Transparency and Thermal Insulation
4.3. Methodological Comparison and Computational Complexity
5. Conclusions
Supplementary Materials
Author Contributions
Funding
Institutional Review Board Statement
Informed Consent Statement
Data Availability Statement
Conflicts of Interest
References
- Yunos, L.; Jane, M.L.; Murphy, P.J.; Zuber, K. Frequency selective surface on low emissivity windows as a means of improving telecommunication signal transmission: A review. J. Build. Eng. 2023, 70, 106416. [Google Scholar] [CrossRef]
- Nur-E-Alam, M.; Vasiliev, M.; Yap, B.K.; Islam, M.A.; Fouad, Y.; Kiong, T.S. Design, fabrication, and physical properties analysis of laminated Low-E coated glass for retrofit window solutions. Energy Build. 2024, 318, 114427. [Google Scholar] [CrossRef]
- Burnier, L.; Lanini, M.; Bouvard, O.; Scanferla, D.; Varathan, A.; Genoud, C.; Marguerit, A.; Cuttat, B.; Dury, N.; Witte, R.; et al. Energy saving glazing with a wide band-pass FSS allowing mobile communication: Up-scaling and characterisation. IET Microwaves Antennas Propag. 2017, 11, 1449–1455. [Google Scholar] [CrossRef]
- Zheng, J.; Zheng, H.; Pang, Y.; Qu, B.; Xu, Z. Metasurface glass for wireless communication and energy saving. Small 2024, 20, 2309050. [Google Scholar] [CrossRef] [PubMed]
- Kiani, G.I.; Olsson, L.G.; Karlsson, A.; Esselle, K.P.; Nilsson, M. Cross-dipole bandpass frequency selective surface for energy-saving glass used in buildings. IEEE Trans. Antennas Propag. 2010, 59, 520–525. [Google Scholar] [CrossRef]
- Fleury, J.; Lanini, M.; Pose, C.; Burnier, L.; Salvadè, A.; Zimmermann, E.; Genoud, C.; Schüler, A. Wide band-pass FSS with reduced periodicity for energy efficient windows at higher frequencies. Appl. Phys. A 2020, 126, 417. [Google Scholar] [CrossRef]
- Khaliq, H.S.; Akram, M.R.; Riaz, K.; Ansari, M.A.; Akbar, J.; Zhang, J.; Zhu, W.; Zhang, D.; Wang, X.; Zubair, M.; et al. Single-layered meta-reflectarray for polarization retention and spin-encrypted phase-encoding. Opt. Express 2021, 29, 3230–3242. [Google Scholar] [CrossRef]
- Alali, B.; Zelenchuk, D.; Fusco, V. A 2D reflective metasurface augmented Luneburg lens antenna for 5G communications. In Proceedings of the 2022 International Workshop on Antenna Technology (iWAT), Dublin, Ireland, 16–18 May 2022; IEEE: Piscataway, NJ, USA, 2022; pp. 136–138. [Google Scholar]
- Selvaraj, M.; Vijay, R.; Anbazhagan, R. Reflective metasurface for 5G & beyond Wireless communications. Sci. Rep. 2025, 15, 126. [Google Scholar] [CrossRef]
- Rabbani, M.S.; Churm, J.; Feresidis, A.P. Continuous beam-steering low-loss millimeter-wave antenna based on a piezo-electrically actuated metasurface. IEEE Trans. Antennas Propag. 2021, 70, 2439–2449. [Google Scholar] [CrossRef]
- Bilal, A.; Quddious, A.; Antoniades, M.; Kanno, A.; Dat, P.; Inagaki, K.; Kawanishi, T.; Iezekiel, S. Future G Metasurface Antenna Using Dual Axis Galvo Scanner for Free Space Optical Control. J. Light. Technol. 2024, 42, 7476–7481. [Google Scholar] [CrossRef]
- Qu, M.; Feng, Y.; Su, J.; Shah, S.M.A. Design of a single-layer frequency selective surface for 5G shielding. IEEE Microw. Wirel. Components Lett. 2021, 31, 249–252. [Google Scholar] [CrossRef]
- Abdollahvand, M.; Martinez-de Rioja, E.; Katoch, K.; Arboleya, A.; Fontá, C. Single-Layer Dual-Band Frequency Selective Surface for Coverage-Enhancing Applications in Millimeter-Wave 5G. Results Eng. 2025, 27, 105747. [Google Scholar]
- Rahman, A.A.M.; Islam, M.T.; Moniruzzaman, M.; Alsaif, H.; Maash, A.A.; Hasan, M.M.; Soliman, M.S. Resonator-based near perfect metamaterial absorber with high EMI shielding for Wi-Fi and 5G applications. Int. J. Optomechatron. 2024, 18, 2375497. [Google Scholar] [CrossRef]
- Narayanaswamy, N.K.; Satheesha, T.; Alzahrani, Y.; Pandey, A.; Dwivedi, A.K.; Singh, V.; Tolani, M. Metasurface absorber for millimeter waves: A deep learning-optimized approach for enhancing the isolation of wideband dual-port MIMO antennas. Sci. Rep. 2024, 14, 30199. [Google Scholar] [CrossRef] [PubMed]
- Kiani, G.I.; Habib, S.; Butt, M.F.U.; Aljohani, A.J. RF/MW Transmission Improvement in Energy Efficient Buildings Using FSS and Its Impact on Thermal Efficiency of Energy-Saving Glass. J. Electron. Mater. 2023, 52, 7525–7533. [Google Scholar]
- Habib, S.; Kiani, G.I.; Butt, M.F.U. Mobile phone signals interference cancellation with improved WLAN transmission and thermal insulation of buildings using FSS and RC film. IEEE Microw. Wirel. Components Lett. 2020, 30, 923–926. [Google Scholar] [CrossRef]
- Ullah, I.; Habibi, D.; Zhao, X.; Kiani, G. Design of RF/Microwave efficient buildings using frequency selective surface. In Proceedings of the 2011 IEEE 22nd International Symposium on Personal, Indoor and Mobile Radio Communications, Toronto, ON, Canada, 11–14 September 2011; IEEE: Piscataway, NJ, USA, 2011; pp. 2070–2074. [Google Scholar]
- Bouvard, O.; Lanini, M.; Burnier, L.; Witte, R.; Cuttat, B.; Salvadè, A.; Schüler, A. Mobile communication through insulating windows: A new type of low emissivity coating. Energy Procedia 2017, 122, 781–786. [Google Scholar] [CrossRef]
- Safari, M.; Kherani, N.P.; Eleftheriades, G.V. Multi-functional metasurface: Visibly and RF transparent, NIR control and low thermal emissivity. Adv. Opt. Mater. 2021, 9, 2100176. [Google Scholar] [CrossRef]
- Kim, H.; Nam, S. Transmission enhancement methods for low-emissivity glass at 5G mmWave band. IEEE Antennas Wirel. Propag. Lett. 2020, 20, 108–112. [Google Scholar]
- Kiani, G.I.; Aldhaheri, R.W. Wide band FSS for increased thermal and communication efficiency in smart buildings. In Proceedings of the 2014 IEEE Antennas and Propagation Society International Symposium (APSURSI), Memphis, TN, USA, 6–11 July 2014; pp. 2064–2065. [Google Scholar] [CrossRef]
- Jiang, R.Z.; Wu, J.W.; Ma, Q.; Liang, J.C.; Wu, L.J.; Zhou, Q.Y.; Dai, J.Y.; Cheng, Q.; Cui, T.J. Optically Transparent Metasurface with High RF Transmittance and Wide-Angle Stability for Dual Bands and Dual Polarizations. Adv. Opt. Mater. 2023, 11, 2300553. [Google Scholar] [CrossRef]
- Li, H.; Xu, W.; Xiao, F.; Yu, Z.; Hao, B.; Huang, W.; Yu, H. Infrared/radar stealthy metasurface design method based on the equivalent circuit model. Appl. Opt. 2024, 63, 7726–7734. [Google Scholar] [CrossRef]
- Li, N.; Zhang, J.; Neshev, D.N.; Sukhorukov, A.A. Inverse design of nonlinear metasurfaces for sum frequency generation. Nanophotonics 2024, 13, 3363–3372. [Google Scholar] [CrossRef]
- Wang, L.; Dong, J.; Zhang, W.; Zheng, C.; Liu, L. Inverse design for laser-compatible infrared camouflage metasurface enabled by physics-driven neural network and genetic algorithm. Opt. Mater. 2024, 153, 115639. [Google Scholar] [CrossRef]
- Wang, J.; Gu, W.Q.; Zhao, X.C.; Jiang, Y.N.; Xu, K.D. Designing broadband cross-polarization conversion metasurfaces using binary particle swarm optimization algorithm. Mater. Des. 2024, 247, 113419. [Google Scholar] [CrossRef]
- Jiang, J.; Fan, J.A. Global optimization of dielectric metasurfaces using a physics-driven neural network. Nano Lett. 2019, 19, 5366–5372. [Google Scholar] [CrossRef]
- Liu, Z.; Zhu, D.; Rodrigues, S.P.; Lee, K.T.; Cai, W. Generative model for the inverse design of metasurfaces. Nano Lett. 2018, 18, 6570–6576. [Google Scholar] [CrossRef] [PubMed]
- Liu, Y.; Bai, A.; Qiu, Y.; Zhang, Y.; Lu, Z.; Wang, H.; Tan, J. A Dual-Path Generative Adversarial Network-based inverse design method for broadband RCS reduction metasurface element patterns. Opt. Lasers Eng. 2024, 182, 108466. [Google Scholar]
- Zhang, Z.; Yang, C.; Qin, Y.; Feng, H.; Feng, J.; Li, H. Diffusion probabilistic model based accurate and high-degree-of-freedom metasurface inverse design. Nanophotonics 2023, 12, 3871–3881. [Google Scholar] [CrossRef] [PubMed]
- Kim, J.; Neseli, B.; Yoon, J.; Kim, J.Y.; Hong, S.; Park, H.H.; Kurt, H. Semi-Supervised Learning Leveraging Denoising Diffusion Probabilistic Models for the Characterization of Nanophotonic Devices. Laser Photonics Rev. 2024, 18, 2300998. [Google Scholar] [CrossRef]
- Zhang, Z.; Yang, C.; Qin, Y.; Zheng, Z.; Feng, J.; Li, H. Addressing high-performance data sparsity in metasurface inverse design using multi-objective optimization and diffusion probabilistic models. Opt. Express 2024, 32, 40869–40885. [Google Scholar] [CrossRef]
- Wu, B.; Wang, G.; Liu, K.; Hu, G.; Xu, H.X. Equivalent-circuit-intervened deep learning metasurface. Mater. Des. 2022, 218, 110725. [Google Scholar] [CrossRef]
- Zhu, R.; Han, Y.; Jia, Y.; Sui, S.; Liu, T.; Chu, Z.; Sun, H.; Jiang, J.; Qu, S.; Wang, J. Multifunctional Metasurface Design via Physics-Simplified Machine Learning. Int. J. Intell. Syst. 2025, 2025, 1492020. [Google Scholar] [CrossRef]
- 3GPP. NR; Base Station (BS) Radio Transmission and Reception. Technical Specification (TS) 38.104, 3rd Generation Partnership Project (3GPP), 2024. Version 18.7.0. Available online: https://portal.3gpp.org/desktopmodules/Specifications/SpecificationDetails.aspx?specificationId=3202 (accessed on 25 September 2024).
- Costa, F.; Monorchio, A.; Manara, G. An overview of equivalent circuit modeling techniques of frequency selective surfaces and metasurfaces. Appl. Comput. Electromagn. Soc. J. (ACES) 2014, 29, 960–976. [Google Scholar]
- Wei, Z.; Zhou, Z.; Wang, P.; Ren, J.; Yin, Y.; Pedersen, G.F.; Shen, M. Equivalent circuit theory-assisted deep learning for accelerated generative design of metasurfaces. IEEE Trans. Antennas Propag. 2022, 70, 5120–5129. [Google Scholar] [CrossRef]
- Pozar, D.M. Microwave Engineering, 4th ed.; John Wiley & Sons: Hoboken, NJ, USA, 2021; Chapter 2, Transmission Line Theory; pp. 47–80. [Google Scholar]
- Liu, P.; Chen, L.; Chen, Z.N. Prior-knowledge-guided deep-learning-enabled synthesis for broadband and large phase shift range metacells in metalens antenna. IEEE Trans. Antennas Propag. 2022, 70, 5024–5034. [Google Scholar] [CrossRef]
- Zhu, R.; Qiu, T.; Wang, J.; Sui, S.; Hao, C.; Liu, T.; Li, Y.; Feng, M.; Zhang, A.; Qiu, C.W.; et al. Phase-to-pattern inverse design paradigm for fast realization of functional metasurfaces via transfer learning. Nat. Commun. 2021, 12, 2974. [Google Scholar] [CrossRef] [PubMed]
- Rappaport, T.S.; MacCartney, G.R.; Samimi, M.K.; Sun, S. Wideband millimeter-wave propagation measurements and channel models for future wireless communication system design. IEEE Trans. Commun. 2015, 63, 3029–3056. [Google Scholar] [CrossRef]
- Yang, H.; Yang, C.; Li, H. Enhancing High-Degree-of-Freedom Meta-Atom Design Precision and Speed with a Tandem Generative Network. ACS Photonics 2025, 12, 1184–1195. [Google Scholar] [CrossRef]
- Metropolis, N.; Ulam, S. The monte carlo method. J. Am. Stat. Assoc. 1949, 44, 335–341. [Google Scholar] [CrossRef]
- GB/T 18915.2-2013; Coated Glass—Part 2: Low-Emissivity Coated Glass. Standardization Administration of China, National Technical Committee for Building Glass (SAC/TC 255): Beijing, China, 2013.












| Name | Parameter | Value |
|---|---|---|
| Thickness of Glass | h [mm] | 6.0 |
| Spacing of Air Gap | d [mm] | 12.0 |
| Relative Permittivity of Glass | ||
| Vacuum Permittivity | [F/m] | |
| Vacuum Permeability | [H/m] |
| Glass Type | Visible Light | IR | UV | IR Blocking Compared to Bare Glass | UV Blocking Compared to Bare Glass |
|---|---|---|---|---|---|
| Bare Glass | 79.5% | 53.4% | 72.4% | 0 | 0 |
| Low-E Glass | 62.8% | 1.9% | 23.5% | 51.5% | 48.9% |
| Prototype Glass | 64.2% | 14.7% | 30.9% | 38.7% | 41.5% |
| Ref. | Meta Layer | Glass Layer | BW [GHz] | −3 dB BW [GHz] | Highest Transmission Coefficient | Applied Design Method | Design Complexity |
|---|---|---|---|---|---|---|---|
| [5] | 1 | 1 | 0.8–6 | 0.4 * | −9.0 dB @ 1.40 GHz | Parameter Sweeping | |
| [6] | 1 | 2 | 26–40 | 2.0 * | −2.0 dB @ 37.5 GHz | Parameter Sweeping | 34,944 |
| [21] | 1 | 2 | 25–31 | 1.4 * | −3.0 dB @ 25.0 GHz * | Parameter Sweeping | |
| [16] | 1 | 2 | 0–6 | 3.2 * | −1.28 dB @ 2.35 GHz | Parameter Sweeping | |
| [4] | 3 | 2 | 1–6 | 3.0 * | −2.23 dB @ 3.2 GHz * | Parameter Sweeping | |
| This work | 1 | 2 | 24–30 | 4.28 | −2.509 dB @ 24.8 GHz | Physically constrained Search | 8484 |
| Method | Dominant Cost Term | Total Time |
|---|---|---|
| Parameter Sweeping | 35 s * | |
| AI-based (diffusion) | = 174,483× 35 s + 92 h | 1788 h |
| AI-based (TNN) | = 174,483 × 35 s + 24 h | 1720 h |
| Proposed Method | = 8484 × 35 s + 5.6 s | 82 h |
Disclaimer/Publisher’s Note: The statements, opinions and data contained in all publications are solely those of the individual author(s) and contributor(s) and not of MDPI and/or the editor(s). MDPI and/or the editor(s) disclaim responsibility for any injury to people or property resulting from any ideas, methods, instructions or products referred to in the content. |
© 2025 by the authors. Licensee MDPI, Basel, Switzerland. This article is an open access article distributed under the terms and conditions of the Creative Commons Attribution (CC BY) license (https://creativecommons.org/licenses/by/4.0/).
Share and Cite
Zheng, Z.; Yang, C.; Yang, H.; Zhang, C.; Li, H. Metasurface Design on Low-Emissivity Glass via a Physically Constrained Search Method. Electronics 2025, 14, 3882. https://doi.org/10.3390/electronics14193882
Zheng Z, Yang C, Yang H, Zhang C, Li H. Metasurface Design on Low-Emissivity Glass via a Physically Constrained Search Method. Electronics. 2025; 14(19):3882. https://doi.org/10.3390/electronics14193882
Chicago/Turabian StyleZheng, Zhenyu, Chuanchuan Yang, Haolan Yang, Cheng Zhang, and Hongbin Li. 2025. "Metasurface Design on Low-Emissivity Glass via a Physically Constrained Search Method" Electronics 14, no. 19: 3882. https://doi.org/10.3390/electronics14193882
APA StyleZheng, Z., Yang, C., Yang, H., Zhang, C., & Li, H. (2025). Metasurface Design on Low-Emissivity Glass via a Physically Constrained Search Method. Electronics, 14(19), 3882. https://doi.org/10.3390/electronics14193882

