Sign in to use this feature.

Years

Between: -

Subjects

remove_circle_outline
remove_circle_outline
remove_circle_outline
remove_circle_outline
remove_circle_outline
remove_circle_outline
remove_circle_outline
remove_circle_outline
remove_circle_outline

Journals

Article Types

Countries / Regions

Search Results (25)

Search Parameters:
Keywords = metasurface array absorber

Order results
Result details
Results per page
Select all
Export citation of selected articles as:
16 pages, 4102 KB  
Article
Analytical Design of Optically Transparent, Wideband, and Tunable Microwave Absorber Based on Graphene Spiral Resonator Metasurface
by Ioannis S. Fosteris and George S. Kliros
Photonics 2025, 12(10), 1006; https://doi.org/10.3390/photonics12101006 - 13 Oct 2025
Viewed by 649
Abstract
We present the design of an optically transparent, flexible, and tunable microwave absorber covering the X and Ku frequency bands. The absorber is based on a metasurface composed of a periodic array of graphene spiral resonators (GSRs) attached to an ultrathin PET film [...] Read more.
We present the design of an optically transparent, flexible, and tunable microwave absorber covering the X and Ku frequency bands. The absorber is based on a metasurface composed of a periodic array of graphene spiral resonators (GSRs) attached to an ultrathin PET film placed over an ITO-backed dielectric spacer. An equivalent circuit model (ECM), described by closed-form equations, is proposed to optimize the structure for maximum absorption within the target frequency range. The optimized absorber achieves a peak absorbance of 99.7% for normally incident waves while maintaining over 90% absorption at various incident angles in the frequency range from 8.5 GHz to 17.4 GHz. In addition, a double-layer graphene spiral resonator (DGSR) metasurface is proposed to extend the absorber’s operational bandwidth, demonstrating a bandwidth enhancement of approximately 3 GHz and a relative bandwidth of 90% without compromising miniaturization or incident angle stability. Given their remarkable attributes, both GSR and DGSR configurations show great potential for applications in radar stealth technology and transparent electromagnetic compatibility. Full article
(This article belongs to the Special Issue Photonics Metamaterials: Processing and Applications)
Show Figures

Figure 1

13 pages, 3097 KB  
Article
Reconfigurable Microwave Absorption Properties and Principles of Double-Layer Metasurface Absorbers
by Yun He, Zhiming Zhang, Qingyang Wang, Qiyuan Wang, Qin Fu and Yulu Zhang
Molecules 2025, 30(17), 3608; https://doi.org/10.3390/molecules30173608 - 3 Sep 2025
Viewed by 1631
Abstract
A reconfigurable microwave absorber based on double-layer metasurface is proposed for wide microwave band applications spanning 3 to 14 GHz. The absorber consists of two layers with two-dimensional array of four-semi-circular and square-ring metasurface patches loaded impedance devices, two spacers composed of honeycomb [...] Read more.
A reconfigurable microwave absorber based on double-layer metasurface is proposed for wide microwave band applications spanning 3 to 14 GHz. The absorber consists of two layers with two-dimensional array of four-semi-circular and square-ring metasurface patches loaded impedance devices, two spacers composed of honeycomb materials, and a bottom copper substrate. In order to break through the limitation of single-layer absorbers at finite resonant frequencies, a special double-layered metasurface structure is adopted. The layer I of metasurface is designed with two resonant peaks near the X band and transmission performance in the C band. Simultaneously, the layer II of metasurface is designed with a resonant peak near the C band and reflection performance in the X band. To achieve a reconfigurable effect, impedance adjustable device, such as PIN diodes, are connected between patterned metasurface cells of layer I. The simulation results revealed that the double-layer metasurface absorber can not only achieve broadband absorption effect, with the reflection value below −10 dB from 3.1 to 14.2 GHz, but also adjust the electromagnetic absorption rate, with the reflection value below −20 dB covers a bandwidth of 6.6–9 GHz. The good agreement between simulation and measurement validates the proposed absorber. Full article
Show Figures

Figure 1

28 pages, 14374 KB  
Article
Novel Airfoil-Shaped Radar-Absorbing Inlet Grilles on Aircraft Incorporating Metasurfaces: Multidisciplinary Design and Optimization Using EHVI–Bayesian Method
by Xufei Wang, Yongqiang Shi, Qingzhen Yang, Huimin Xiang and Saile Zhang
Sensors 2025, 25(14), 4525; https://doi.org/10.3390/s25144525 - 21 Jul 2025
Viewed by 859
Abstract
Aircraft, as electromagnetically complex targets, have radar cross-sections (RCSs) that are influenced by various factors, with the inlet duct being a critical component that often serves as a primary source of electromagnetic scattering, significantly impacting the scattering characteristics. In light of the conflict [...] Read more.
Aircraft, as electromagnetically complex targets, have radar cross-sections (RCSs) that are influenced by various factors, with the inlet duct being a critical component that often serves as a primary source of electromagnetic scattering, significantly impacting the scattering characteristics. In light of the conflict between aerodynamic performance and electromagnetic characteristics in the design of aircraft engine inlet grilles, this paper proposes a metasurface radar-absorbing inlet grille (RIG) solution based on a NACA symmetric airfoil. The RIG adopts a sandwich structure consisting of a polyethylene terephthalate (PET) dielectric substrate, a copper zigzag metal strip array, and an indium tin oxide (ITO) resistive film. By leveraging the principles of surface plasmon polaritons, electromagnetic wave absorption can be achieved. To enhance the design efficiency, a multi-objective Bayesian optimization framework driven by the expected hypervolume improvement (EHVI) is constructed. The results show that, compared with a conventional rectangular cross-section grille, an airfoil-shaped grille under the same constraints will reduce both aerodynamic losses and the absorption bandwidth. After 100-step EHVI–Bayesian optimization, the optimized balanced model attains a 57.79% reduction in aerodynamic loss relative to the rectangular-shaped grille, while its absorption bandwidth increases by 111.99%. The RCS exhibits a reduction of over 8.77 dBsm in the high-frequency band. These results confirm that the proposed optimization design process can effectively balance the conflict between aerodynamic performance and stealth performance for RIGs, reducing the signal strength of aircraft engine inlets. Full article
(This article belongs to the Section Electronic Sensors)
Show Figures

Figure 1

18 pages, 9682 KB  
Article
Multifunctional Metasurface with PIN Diode Application Featuring Absorption, Polarization Conversion, and Transmission Functions
by Francisco D. M. Nobre, Thayana M. L. de Sousa, Antônio L. P. S. Campos and Maurício W. B. da Silva
Micromachines 2024, 15(11), 1344; https://doi.org/10.3390/mi15111344 - 31 Oct 2024
Cited by 2 | Viewed by 3131
Abstract
The objective of this paper is to explore the potential of integrating three distinct functionalities into a thin, single-layer metasurface. Specifically, the study introduces a metasurface design that combines absorption, polarization conversion, and transmission capabilities. The proposed structure consists of a double square [...] Read more.
The objective of this paper is to explore the potential of integrating three distinct functionalities into a thin, single-layer metasurface. Specifically, the study introduces a metasurface design that combines absorption, polarization conversion, and transmission capabilities. The proposed structure consists of a double square loop disposed on a dielectric substrate, which is covered by a superstrate. In this study, the traditional ground plane was replaced with a periodic array, selectively reflecting frequencies of interest. Then, the absorption and polarization conversion characteristics were achieved by introducing the resonators in the front layer. By introducing asymmetry to the resonators and integrating PIN diodes for control, we demonstrated that the metasurface could efficiently absorb electromagnetic waves (with PIN diodes in the ON state), convert polarization (with PIN diodes in the OFF state), and enable signal transmission in a different frequency range. The numerical results indicated excellent performance in both absorption and polarization conversion. At a frequency of 3.05 GHz, the absorption rate reached 97%, while a polarization conversion rate of 98% was achieved at the resonance frequency of 4.37 GHz. Moreover, the proposed structure exhibited a thickness of λ/30.7 at the absorption peak. Full article
(This article belongs to the Special Issue Microwave Passive Components, 2nd Edition)
Show Figures

Figure 1

16 pages, 5818 KB  
Article
The Combined Spectral Response of a MEMS Metamaterial Absorber for the Mid-IR and Its Sub-Wavelength Fabrication Residual Array of Holes
by Reinoud F. Wolffenbuttel and M. Amir Ghaderi
Materials 2023, 16(12), 4278; https://doi.org/10.3390/ma16124278 - 9 Jun 2023
Cited by 1 | Viewed by 2051
Abstract
Metasurface coatings on a free-standing SiN thin film membrane are fabricated on a Si substrate using masked lithography and CMOS-compatible surface micromachining. The result is a band-limited absorber for the mid-IR, which is part of a microstructure that is attached to the substrate [...] Read more.
Metasurface coatings on a free-standing SiN thin film membrane are fabricated on a Si substrate using masked lithography and CMOS-compatible surface micromachining. The result is a band-limited absorber for the mid-IR, which is part of a microstructure that is attached to the substrate by long and slender suspension beams to provide thermal isolation. As a residual of the fabrication, the regular pattern of sub-wavelength unit cells of 2.6 μm side length, which defines the metasurface, is interrupted by an equally regular array of sub-wavelength holes of 1–2 μm diameter and at 7.8–15.6 μm of pitch. This array of holes is essential for enabling access of the etchant and attack of the underlying layer during fabrication, which ultimately results in the sacrificial release of the membrane from the underlying substrate. As the plasmonic responses of the two patterns interfere, a maximum is imposed on the hole diameter and a minimum on the hole-to-hole pitch. However, the hole diameter should be sufficiently large to allow access of the etchant, while the maximum spacing between holes is set by the limited selectivity of the different materials to the etchant during sacrificial release. The effect of the parasitic hole pattern on the spectral absorption of a metasurface design is analyzed by simulations of the responses of combined holes–metasurface structures. Arrays of 300 × 180 μm2 Al-Al2O3-Al MIM structures are mask-fabricated on suspended SiN beams. The results show that the effect of the array of holes can be disregarded for a hole-to-hole pitch larger than 6 times the side length of the metamaterial until cell, while the diameter of the hole should remain smaller than about 1.5 μm, and their alignment is critical. Full article
(This article belongs to the Special Issue Theory and Applications of Metamaterials)
Show Figures

Figure 1

13 pages, 1948 KB  
Article
Photothermal Effect and Phase Transition in VO2 Enhanced by Plasmonic Particles
by Vladimir Kaydashev, Boris Khlebtsov, Maxim Kutepov, Anatoliy Nikolskiy, Alexey Kozakov, Alexey Konstantinov, Alexey Mikheykin, Gevork Karapetyan and Evgeni Kaidashev
Materials 2023, 16(7), 2579; https://doi.org/10.3390/ma16072579 - 24 Mar 2023
Cited by 3 | Viewed by 3491
Abstract
Phase change metasurfaces based on VO2, which are pre-heated with electric current and optically addressed by projected structured light hologram, are considered to become a new paradigm in programmed THz/middle IR flat optics. Macroscopic quasi-homogeneous arrays of Au nanoparticles show large [...] Read more.
Phase change metasurfaces based on VO2, which are pre-heated with electric current and optically addressed by projected structured light hologram, are considered to become a new paradigm in programmed THz/middle IR flat optics. Macroscopic quasi-homogeneous arrays of Au nanoparticles show large near IR absorption and a significant photothermal effect capable of boosting a light-triggered switching of VO2 and are to be carefully examined. We propose a new approach to simultaneously probe the altered temperature and electric conductivity of a hybrid Au particle-VO2 film composite by monitoring a phase shift and attenuating a surface acoustic wave in a YX128° cut LiNbO3 substrate. The method shows a temperature resolution of 0.1 °C comparable with the best existing techniques for studying nanoobjects and surfaces. The laser-induced photothermal effects were characterized in a macroscopic array of Au nanostars (AuNSts) with different surface coverage. In a monolayer of 10 nm Au, coupled plasmonic nanoparticles were deposited on the LiNbO3 substrate. An optically triggered insulator-metal transition assisted by photothermal effect in AuNSts/VO2/TiO2/LiNbO3 composites was studied at varied light power. We believe that the proposed SAW-based method is of significant importance for the characterization and optimization of radiation absorbing or/and electrically heated elements of metasurfaces and other devices for lab-on-chip and optical communication/processor technology. Full article
Show Figures

Figure 1

24 pages, 7534 KB  
Review
Recent Development in Metasurfaces: A Focus on Sensing Applications
by Nikolay L. Kazanskiy, Svetlana N. Khonina and Muhammad A. Butt
Nanomaterials 2023, 13(1), 118; https://doi.org/10.3390/nano13010118 - 26 Dec 2022
Cited by 59 | Viewed by 8075
Abstract
One of the fastest-expanding study areas in optics over the past decade has been metasurfaces (MSs). These subwavelength meta-atom-based ultrathin arrays have been developed for a broad range of functions, including lenses, polarization control, holography, coloring, spectroscopy, sensors, and many more. They allow [...] Read more.
One of the fastest-expanding study areas in optics over the past decade has been metasurfaces (MSs). These subwavelength meta-atom-based ultrathin arrays have been developed for a broad range of functions, including lenses, polarization control, holography, coloring, spectroscopy, sensors, and many more. They allow exact control of the many properties of electromagnetic waves. The performance of MSs has dramatically improved because of recent developments in nanofabrication methods, and this concept has developed to the point that it may be used in commercial applications. In this review, a vital topic of sensing has been considered and an up-to-date study has been carried out. Three different kinds of MS absorber sensor formations, all-dielectric, all-metallic, and hybrid configurations, are presented for biochemical sensing applications. We believe that this review paper will provide current knowledge on state-of-the-art sensing devices based on MSs. Full article
(This article belongs to the Special Issue Research of Photonics at the Nanometer Scale)
Show Figures

Figure 1

11 pages, 4997 KB  
Article
Sensing Performance of Triple-Band Terahertz Metamaterial Absorber Based on Snowflake-Shaped Resonators
by Limin Ma, Yuhuang Liu, Yongkai Zhu and Wenhua Gu
Photonics 2022, 9(10), 777; https://doi.org/10.3390/photonics9100777 - 19 Oct 2022
Cited by 12 | Viewed by 2967
Abstract
Terahertz metamaterial absorbers are important functional devices for liquid analyte detection. In contrast to general metamaterial absorbers with single-layer metasurfaces that possess only one resonant mode, a triple-band terahertz metamaterial absorber formed by a single layer of symmetrically arrayed snowflake-shaped resonators was proposed [...] Read more.
Terahertz metamaterial absorbers are important functional devices for liquid analyte detection. In contrast to general metamaterial absorbers with single-layer metasurfaces that possess only one resonant mode, a triple-band terahertz metamaterial absorber formed by a single layer of symmetrically arrayed snowflake-shaped resonators was proposed in this study. The simulation results showed that the absorption of the metamaterial absorber reached 97.43% at 0.550 THz, 79.22% at 1.249 THz, and 99.02% at 1.867 THz with narrow resonant peaks. The resonant frequencies were sensitive to the refractive index of the surrounding medium at a fixed analyte thickness, which would play an important role in the performance of the sensor for detecting changes in the surrounding refractive index. The maximum value of the refractive index sensitivity was 137.70 GHz/RIU, 306.25 GHz/RIU, and 473.86 GHz/RIU, with a figure of merit (FoM) of 3.14, 2.33, and 6.46, respectively, for refractive index values ranging from 1.0 to 2.2 under three resonant modes. It is worth noting that most of the liquid samples showed a refractive index ranging from 1.0 to 2.0. Furthermore, the identification of peanut oil, carbon disulfide, and turpentine was considered to verify that the proposed terahertz sensor could be used for high-sensitivity liquid detection and has broad development prospects in the field of detecting and sensing. Full article
(This article belongs to the Special Issue Micro-Nano Optics and High-End Measurement Instruments)
Show Figures

Figure 1

14 pages, 8513 KB  
Article
Scalable, Dual-Band Metasurface Array for Electromagnetic Energy Harvesting and Wireless Power Transfer
by Yiqing Wei, Junping Duan, Huihui Jing, Huimin Yang, Hao Deng, Chengwei Song, Jiayun Wang, Zeng Qu and Binzhen Zhang
Micromachines 2022, 13(10), 1712; https://doi.org/10.3390/mi13101712 - 11 Oct 2022
Cited by 22 | Viewed by 3898
Abstract
A dual-band metasurface array is presented in this paper for electromagnetic (EM) energy harvesting in the Wi-Fi band and Ku band. The array consists of metasurface unit cells, rectifiers, and load resistors. The metasurface units within each column are interconnected to establish two [...] Read more.
A dual-band metasurface array is presented in this paper for electromagnetic (EM) energy harvesting in the Wi-Fi band and Ku band. The array consists of metasurface unit cells, rectifiers, and load resistors. The metasurface units within each column are interconnected to establish two channels of energy delivery, enabling the transmission and aggregation of incident power. At the terminals of two channels, a single series diode rectifier and a voltage doubler rectifier are integrated into them to rectify the energy in the Wi-Fi band and the Ku band, respectively. A 7 × 7 prototype of the metasurface array is fabricated and tested. The measured results in the anechoic chamber show that the RF-to-dc efficiencies of the prototype at 2.4 GHz and 12.6 GHz reach 64% and 55% accordingly, when the available incident power at the surface is 3 dBm and 14 dBm, respectively. Full article
(This article belongs to the Topic Advanced Energy Harvesting Technology)
Show Figures

Figure 1

14 pages, 7091 KB  
Article
A Terahertz Optomechanical Detector Based on Metasurface and Bi-Material Micro-Cantilevers
by Hailiang Zhu, Kai Wang, Ganyu Liu, Gengchen Wang, Jinchao Mou, Weiwei Zhang and Gao Wei
Micromachines 2022, 13(5), 805; https://doi.org/10.3390/mi13050805 - 21 May 2022
Cited by 10 | Viewed by 3218
Abstract
Terahertz imaging technology has shown great potential in many fields. As the core component of terahertz imaging systems, terahertz detectors have received extensive attention. In this paper, a metasurface-based terahertz optomechanical detector is proposed, which is made of two fabrication-friendly materials: gold and [...] Read more.
Terahertz imaging technology has shown great potential in many fields. As the core component of terahertz imaging systems, terahertz detectors have received extensive attention. In this paper, a metasurface-based terahertz optomechanical detector is proposed, which is made of two fabrication-friendly materials: gold and silicon nitride. The optomechanical detector is essentially a thermal detector composed of metasurface absorber, bi-material micro-cantilevers and heat insulation pillars. Compared with traditional thermal terahertz detectors, the optomechanical detector employs a metasurface absorber as the terahertz radiation coupler and obtains an absorptivity higher than 90% from 3.24 to 3.98 THz, which is much higher than that of traditional terahertz detectors with absorbers made from natural materials. Furthermore, the detector is fabricated by MEMS process and its responsivity has been verified by a specifically designed optical read-out system; the measured optomechanical responsivity is 24.8 μm/μW, which agrees well with the multi-physics simulation. These results indicated that the detector can be employed as a pixel to form a terahertz focal plane array in the future, and further realize real-time terahertz imaging at room temperature. Full article
(This article belongs to the Special Issue Terahertz and Infrared Metamaterial Devices)
Show Figures

Figure 1

9 pages, 4239 KB  
Article
A Distributed Terahertz Metasurface with Cold-Electron Bolometers for Cosmology Missions
by Behrokh Beiranvand, Alexander S. Sobolev, Michael Yu. Larionov and Leonid S. Kuzmin
Appl. Sci. 2021, 11(10), 4459; https://doi.org/10.3390/app11104459 - 14 May 2021
Cited by 8 | Viewed by 3115
Abstract
We developed and tested a 2D periodic array of cold-electron bolometers arranged into a wideband frequency selective metasurface that absorbs more than 70% of the incident power in the frequency range 100–800 GHz. The array had 10 × 10 unit cells, each containing [...] Read more.
We developed and tested a 2D periodic array of cold-electron bolometers arranged into a wideband frequency selective metasurface that absorbs more than 70% of the incident power in the frequency range 100–800 GHz. The array had 10 × 10 unit cells, each containing four bolometers incorporated into a ring. The chip with bolometers was mounted on the back side of the silicon lens without a back-reflector. Preliminary experiments demonstrated voltage responsivity as high as 109 V/W for the current-biased series array. Simulation of the noise performance shows realization of background noise-limited performance with NEPtot < NEPphot for the optical power load P0 > 15 pW. Results of numerical simulation made for the unit cell of the array are presented together with the equivalent diagram based on lumped network elements. The unit cell also was developed numerically to operate in two radiation modes. Full article
(This article belongs to the Special Issue Design and Application of Cold-Electron Bolometers)
Show Figures

Figure 1

11 pages, 1631 KB  
Article
Broadband Absorption Based on Thin Refractory Titanium Nitride Patterned Film Metasurface
by Dewang Huo, Xinyan Ma, Hang Su, Chao Wang and Hua Zhao
Nanomaterials 2021, 11(5), 1092; https://doi.org/10.3390/nano11051092 - 23 Apr 2021
Cited by 11 | Viewed by 3380
Abstract
In this paper, a thin metasurface perfect absorber based on refractory titanium nitride (TiN) is proposed. The size parameter of the metasurface is investigated based on the finite difference time domain method and transfer matrix method. With only a 15-nm-thick TiN layer inside [...] Read more.
In this paper, a thin metasurface perfect absorber based on refractory titanium nitride (TiN) is proposed. The size parameter of the metasurface is investigated based on the finite difference time domain method and transfer matrix method. With only a 15-nm-thick TiN layer inside the silica/TiN/silica stacks standing on the TiN substrate, the near-perfect absorption throughout the visible regime is realized. The cross-talk between the upper and lower dielectric layers enables the broadening of the absorption peak. After patterning the thin film into a nanodisk array, the resonances from the nanodisk array emerge to broaden the high absorption bandwidth. As a result, the proposed metasurface achieves perfect absorption in the waveband from 400 to 2000 nm with an average absorption of 95% and polarization-insensitivity under the normal incidence. The proposed metasurface maintains average absorbance of 90% up to 50-degree oblique incidence for unpolarized light. Our work shows promising potential in the application of solar energy harvesting and other applications requiring refractory metasurfaces. Full article
(This article belongs to the Special Issue Nanostructures for Photonics and Optoelectronics)
Show Figures

Figure 1

10 pages, 1688 KB  
Article
Highly Efficient Near-Infrared Detector Based on Optically Resonant Dielectric Nanodisks
by Reza Masoudian Saadabad, Christian Pauly, Norbert Herschbach, Dragomir N. Neshev, Haroldo T. Hattori and Andrey E. Miroshnichenko
Nanomaterials 2021, 11(2), 428; https://doi.org/10.3390/nano11020428 - 8 Feb 2021
Cited by 18 | Viewed by 3807
Abstract
Fast detection of near-infrared (NIR) photons with high responsivity remains a challenge for photodetectors. Germanium (Ge) photodetectors are widely used for near-infrared wavelengths but suffer from a trade-off between the speed of photodetection and quantum efficiency (or responsivity). To realize a high-speed detector [...] Read more.
Fast detection of near-infrared (NIR) photons with high responsivity remains a challenge for photodetectors. Germanium (Ge) photodetectors are widely used for near-infrared wavelengths but suffer from a trade-off between the speed of photodetection and quantum efficiency (or responsivity). To realize a high-speed detector with high quantum efficiency, a small-sized photodetector efficiently absorbing light is required. In this paper, we suggest a realization of a dielectric metasurface made of an array of subwavelength germanium PIN photodetectors. Due to the subwavelength size of each pixel, a high-speed photodetector with a bandwidth of 65 GHz has been achieved. At the same time, high quantum efficiency for near-infrared illumination can be obtained by the engineering of optical resonant modes to localize optical energy inside the intrinsic Ge disks. Furthermore, small junction capacitance and the possibility of zero/low bias operation have been shown. Our results show that all-dielectric metasurfaces can improve the performance of photodetectors. Full article
(This article belongs to the Special Issue Electronic and Optical Properties of Nanostructures)
Show Figures

Figure 1

9 pages, 2206 KB  
Article
Polarization-Selective Bidirectional Absorption Based on a Bilayer Plasmonic Metasurface
by Tong Li, Bin-Quan Chen, Qian He, Li-An Bian, Xiong-Jun Shang and Guo-Feng Song
Materials 2020, 13(22), 5298; https://doi.org/10.3390/ma13225298 - 23 Nov 2020
Cited by 7 | Viewed by 3254
Abstract
We propose an alignment-free and polarization-selective bidirectional absorber composed of a one-dimensional bilayer Au grating array buried in a silicon nitride spacer. The absorptivity of the designed structure is more than 95% (77%) under normal forward (backward) TM-polarized light incidence, and is more [...] Read more.
We propose an alignment-free and polarization-selective bidirectional absorber composed of a one-dimensional bilayer Au grating array buried in a silicon nitride spacer. The absorptivity of the designed structure is more than 95% (77%) under normal forward (backward) TM-polarized light incidence, and is more than 80% (70%) within a forward (backward) incident angle up to 30°. The great bidirectional absorption performance is illustrated by the resonance coupling of the surface plasmon polaritons (SPPs) resonance, the propagating surface plasmon (PSP) resonance and the localized surface plasmon (LSP) resonance under TM-polarized wave illumination. Moreover, the excitation of the Fano-like resonance mode of the proposed metasurface can produce two significantly different peaks in the absorption spectrum under the oblique TM-polarized incidence, which is beneficial for the plasmon-sensing application. Therefore, the proposed bidirectional metasurface absorber can be a candidate in the application of optical camouflage, thermal radiation, solar cells and optical sensing. Full article
(This article belongs to the Special Issue Advanced Materials for Optical Applications and Devices)
Show Figures

Figure 1

9 pages, 1437 KB  
Article
Design of Dual-Band Terahertz Perfect Metamaterial Absorber Based on Circuit Theory
by Zhongmin Liu, Liang Guo and Qingmao Zhang
Molecules 2020, 25(18), 4104; https://doi.org/10.3390/molecules25184104 - 8 Sep 2020
Cited by 13 | Viewed by 3545
Abstract
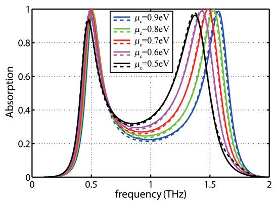
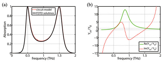
We present a novel strategy for designing a dual-band absorber based on graphene metasurface for terahertz frequencies. The absorber consists of a two-dimensional array of patches deposited on a metal-backed dielectric layer. Using an analytical circuit model, we obtain closed-form relatinos for the [...] Read more.
We present a novel strategy for designing a dual-band absorber based on graphene metasurface for terahertz frequencies. The absorber consists of a two-dimensional array of patches deposited on a metal-backed dielectric layer. Using an analytical circuit model, we obtain closed-form relatinos for the geometrical parameters of the absorber and the properties of the applied materials to achieve the dual-band absorber. Two absorption bands with perfect absorption at the preset frequencies of 0.5 and 1.5 THz are achieved. The results obtained by the analytical circuit model are compared to the simulations carried out by full-wave electromagnetic field analysis. The agreement between results is very good. We demonstrate that the graphene absorber remains as the dual band for a wide range of the chemical potential. Furthermore, the recommended dual band absorber is insensitive in terms of polarization and remain within various incident angles. Full article
Show Figures

Figure 1

Back to TopTop