Sign in to use this feature.

Years

Between: -

Subjects

remove_circle_outline
remove_circle_outline
remove_circle_outline
remove_circle_outline
remove_circle_outline

Journals

Article Types

Countries / Regions

Search Results (14)

Search Parameters:
Keywords = metabolic chemotaxonomy

Order results
Result details
Results per page
Select all
Export citation of selected articles as:
18 pages, 1589 KB  
Article
Toward an Efficient Differentiation of Two Diaporthe Strains Through Mass Spectrometry for Fungal Biotyping
by Kathleen Hernández-Torres, Daniel Torres-Mendoza, Gesabel Navarro-Velasco and Luis Cubilla-Rios
Curr. Issues Mol. Biol. 2025, 47(1), 53; https://doi.org/10.3390/cimb47010053 - 15 Jan 2025
Cited by 1 | Viewed by 3712
Abstract
Considering that fungi display a great morphological, ecological, metabolic, and phylogenetic diversity, their taxonomic identification is extremely important because it helps us establish important information about each species and its possible biochemical and ecological roles. Traditionally, the identification of fungi at the species [...] Read more.
Considering that fungi display a great morphological, ecological, metabolic, and phylogenetic diversity, their taxonomic identification is extremely important because it helps us establish important information about each species and its possible biochemical and ecological roles. Traditionally, the identification of fungi at the species level has been carried out with molecular tools such as DNA sequencing, but it still represents a huge challenge today due to the heterogeneity of the fungal kingdom, making the task of identification a complex and difficult process. Biotyping, a type of chemotaxonomy, has been developed in the field of the identification/differentiation and classification of micro-fungi through tools such as mass spectrometry (MS). Here, two endophytic strains isolated from two different hosts were cultivated and studied regarding their morphology and molecular biology. Morphology analysis determined the strains as Diaporthe, and the molecular analysis results grouped them as D. melongenae. We sought a faster and less complex way of differentiating these fungal strains of interest through an MS chemical profile and MS/MS data using a low-resolution mass spectrometer. Additionally, we linked this information with the structure of compounds previously isolated in the genus Diaporthe. Studies conducted using this technique allowed us to propose the structure of distinctive molecules that are unique to each strain and share compounds common to this genus (13 compounds in total). In addition, this is the first report of secondary metabolites in D. melongenae. The dataset demonstrates that the two strains under investigation can be distinguished via mass spectrometry, suggesting host affinity; both exhibits pronounced differences in their chemical profiles across all culture media and incubation periods with the parameters described herein. Full article
(This article belongs to the Section Molecular Microbiology)
Show Figures

Graphical abstract

27 pages, 3169 KB  
Article
GC/MS Fatty Acid Profile of Marine-Derived Actinomycetes from Extreme Environments: Chemotaxonomic Insights and Biotechnological Potential
by Marlene B. Cunha, André F. Jorge, Maria João Nunes, Joana R. Sousa, Maria João Lança, Marco Gomes da Silva and Susana P. Gaudêncio
Mar. Drugs 2025, 23(1), 1; https://doi.org/10.3390/md23010001 - 24 Dec 2024
Cited by 5 | Viewed by 2404
Abstract
This study investigated the fatty acids (FA) profile of 54 actinomycete strains isolated from marine sediments collected off the Portugal continental coast, specifically from the Estremadura Spur pockmarks field, by GC/MS. Fatty acid methyl esters (FAMEs) were prepared from the ethyl acetate lipidic [...] Read more.
This study investigated the fatty acids (FA) profile of 54 actinomycete strains isolated from marine sediments collected off the Portugal continental coast, specifically from the Estremadura Spur pockmarks field, by GC/MS. Fatty acid methyl esters (FAMEs) were prepared from the ethyl acetate lipidic extracts of these strains and analyzed by gas chromatography–mass spectrometry (GC/MS), with FA identification performed using the NIST library. The identified FAs varied from C12:0 to C20:0, where 32 distinct FAs were identified, including 7 branched-chain fatty acids (BCFAs), 9 odd-chain fatty acids (OCFAs), 8 monounsaturated fatty acids (MUFAs), 6 saturated fatty acids (SFAs), 1 polyunsaturated fatty acid (PUFA), and 1 cyclic chain fatty acid (CCFA). The average expressed content was BCFA (47.54%), MUFA (28.49%), OCFA (26.93%), and SFA (22.16%), of which i-C16:0, C18:1ω9, and C16:0 were predominant, while PUFA (3.58%) and CCFA (0.41%) were identified as minor components. The identified BCFA were i-C16:0, a-C15:0, i-C15:0, i-C15:1ω6, a-C16:0, a-C14:0, and i-C17:0, which include combined branching and unsaturation and branching and odd. SFAs were present in all species, with C16:0 and C18:0 being the most representative. Rare OCFAs C19:1ω9, C17:1ω7, C15:0, and C17:0 were expressed. PUFA C18:1ω9 was detected; within this class, omega families ω9, ω7, ω6, and ω5 were identified, and no ω3 was detected. The only CCFA was benzene-butanoic acid (benzene-C4:0). These findings highlight the metabolic versatility of actinomycetes, providing valuable insights into microbial chemotaxonomy and offering promising biochemical leads for the development of biofuel, nutraceutical, and antifungal agents. Furthermore, these results underline the diversity and biotechnological potential of FAs in actinomycetes, uncovering their potential to be used as microbial cell factories, and paving the way for innovations in biofuels, pharmaceuticals, and eco-friendly industrial products. Full article
(This article belongs to the Special Issue Marine Omics for Drug Discovery and Development)
Show Figures

Graphical abstract

16 pages, 3798 KB  
Article
A GC-MS Metabolic Study on Lipophilic Compounds in the Leaves of Common Wheat Triticum aestivum L.
by Asya R. Vasilieva, Nikolay M. Slynko, Nikolay P. Goncharov, Ljudmila E. Tatarova, Leonid V. Kuibida and Sergey E. Peltek
Metabolites 2024, 14(8), 426; https://doi.org/10.3390/metabo14080426 - 1 Aug 2024
Cited by 1 | Viewed by 2240
Abstract
Common wheat (Triticum aestivum L.) is one of the most valuable cereal crops worldwide. This study examined leaf extracts of 30 accessions of T. aestivum and its subspecies using 48 h maceration with methanol by GC-MS and GCxGC-MS. The plants were grown [...] Read more.
Common wheat (Triticum aestivum L.) is one of the most valuable cereal crops worldwide. This study examined leaf extracts of 30 accessions of T. aestivum and its subspecies using 48 h maceration with methanol by GC-MS and GCxGC-MS. The plants were grown from seeds of the wheat genetics collection of the Wheat Genetics Sector of the Institute of Cytology and Genetics, SB RAS. The analysis revealed 263 components of epicuticular waxes, including linear and branched alkanes, aliphatic alcohols, aldehydes, ketones, β-diketones, carboxylic acids and their derivatives, mono- and diterpenes, phytosterols, and tocopherols. Hierarchical cluster analysis and principal component analysis were used to identify and visualize the differences between the leaf extracts of different wheat cultivars. Three clusters were identified, with the leading components being (1) octacosan-1-ol, (2) esters of saturated and unsaturated alcohols, and (3) fatty acid alkylamides, which were found for the first time in plant extracts. The results highlight the importance of metabolic studies in understanding the adaptive mechanisms and increasing wheat resistance to stress factors. These are crucial for breeding new-generation cultivars with improved traits. Full article
(This article belongs to the Special Issue Metabolic Responses of Seeds Development and Germination)
Show Figures

Figure 1

16 pages, 3460 KB  
Article
HS-SPME-GC–MS Profiling of Volatile Organic Compounds and Polar and Lipid Metabolites of the “Stendesto” Plum–Apricot Kernel with Reference to Its Parents
by Dasha Mihaylova, Aneta Popova, Ivayla Dincheva and Svetla Pandova
Horticulturae 2024, 10(3), 257; https://doi.org/10.3390/horticulturae10030257 - 7 Mar 2024
Cited by 4 | Viewed by 3408
Abstract
Plum–apricot hybrids are the successful backcrosses of plums and apricots. Plums and apricots are well-known and preferred by consumers because of their distinct sensory and beneficial health properties. However, kernel consumption remains limited even though kernels are easily accessible. The “Stendesto” hybrid originates [...] Read more.
Plum–apricot hybrids are the successful backcrosses of plums and apricots. Plums and apricots are well-known and preferred by consumers because of their distinct sensory and beneficial health properties. However, kernel consumption remains limited even though kernels are easily accessible. The “Stendesto” hybrid originates from the “Modesto” apricot and the “Stanley” plum. Kernal metabolites exhibited quantitative differences in terms of metabolites identified by gas chromatography–mass spectrometry (GC–MS) analysis and HS-SPME technique profiling. The results revealed a total of 55 different compounds. Phenolic acids, hydrocarbons, organic acids, fatty acids, sugar acids and alcohols, mono- and disaccharides, as well as amino acids were identified in the studied kernels. The hybrid kernel generally inherited all the metabolites present in the parental kernels. Volatile organic compounds were also investigated. Thirty-five compounds identified as aldehydes, alcohols, ketones, furans, acids, esters, and alkanes were present in the studied samples. Considering volatile organic compounds (VOCs), the hybrid kernel had more resemblance to the plum one, bearing that alkanes were only identified in the apricot kernel. The objective of this study was to investigate the volatile composition and metabolic profile of the first Bulgarian plum–apricot hybrid kernels, and to provide comparable data relevant to both parents. With the aid of principal component analysis (PCA) and hierarchical cluster analysis (HCA), differentiation and clustering of the results occurred in terms of the metabolites present in the plum–apricot hybrid kernels with reference to their parental lines. This study is the first providing information about the metabolic profile of variety-defined kernels. It is also a pioneering study on the comprehensive evaluation of fruit hybrids. Full article
(This article belongs to the Special Issue Fruits Quality and Sensory Analysis)
Show Figures

Figure 1

16 pages, 5743 KB  
Article
Comparative Analysis of the Wood Metabolites of Three Poplar Clones Using UPLC-Triple-TOF-MS
by Liping Li, Yun Liu, Xiaorui Yu, Xiaoqin Yang, Sida Xie, Guolei Zhu and Ping Zhao
Molecules 2023, 28(20), 7024; https://doi.org/10.3390/molecules28207024 - 11 Oct 2023
Cited by 2 | Viewed by 2258
Abstract
Poplar, a woody tree species, is widely used for industrial production and as a protective forest belt. Different clones of poplar exhibit clear variation in terms of morphological and physiological features, however, the impact of the genetic variation on the composition and abundance [...] Read more.
Poplar, a woody tree species, is widely used for industrial production and as a protective forest belt. Different clones of poplar exhibit clear variation in terms of morphological and physiological features, however, the impact of the genetic variation on the composition and abundance of wood metabolite have not been fully determined. In this study, ultra-high pressure liquid chromatography-triple time of flight-mass spectrometer (UPLC-Triple-TOF-MS) was used to explore the metabolite changes in poplar wood from three clones, including Populus deltoides CL. ‘55/65’, P. deltoides CL. ‘Danhong’, and P. nigra CL. ‘N179’. A total of 699 metabolites were identified. Clustering analysis and principal component analysis display that the metabolic differences of wood have allowed distinguishing different species of poplar. Meanwhile, eight significantly different metabolites were screened between P. deltoides and P. nigra, which may be considered as valuable markers for chemotaxonomy. In addition, the highly discriminant 352 metabolites were obtained among the three clones, and those may be closely related to the distinction in unique properties (e.g., growth, rigidity and tolerance) of the poplar wood cultivars. This study provides a foundation for further studies on wood metabolomics in poplar, and offers chemotaxonomic markers that will stimulate the early screening of potentially superior trees. Full article
Show Figures

Graphical abstract

16 pages, 498 KB  
Article
Fatty Acid Profiles of Some Siberian Bryophytes and Prospects of Their Use in Chemotaxonomy
by Irina P. Filippova, Olesia N. Makhutova, Valeriya E. Guseynova and Michail I. Gladyshev
Biomolecules 2023, 13(5), 840; https://doi.org/10.3390/biom13050840 - 15 May 2023
Cited by 5 | Viewed by 2894
Abstract
The composition of fatty acids (FAs) in gametophyte samples of 20 Siberian bryophyte species from four orders of mosses and four orders of liverworts collected in relatively cold months (April and/or October) was examined. FA profiles were obtained using gas chromatography. Thirty-seven FAs [...] Read more.
The composition of fatty acids (FAs) in gametophyte samples of 20 Siberian bryophyte species from four orders of mosses and four orders of liverworts collected in relatively cold months (April and/or October) was examined. FA profiles were obtained using gas chromatography. Thirty-seven FAs were found, from 12:0 to 26:0; they included mono-, polyunsaturated (PUFAs) and rare FAs, such as 22:5n–3 and two acetylenic FAs, 6a,9,12–18:3 and 6a,9,12,15–18:4 (dicranin). Acetylenic FAs were found in all examined species of the Bryales and Dicranales orders, dicranin being the predominant FA. The role of particular PUFAs in mosses and liverworts is discussed. Multivariate discriminant analysis (MDA) was performed to determine whether FAs can be used in the chemotaxonomy of bryophytes. Based on the MDA results, FA composition is related to the taxonomic status of species. Thus, several individual FAs were identified as chemotaxonomic markers at the level of bryophyte orders. These were 18:3n–3; 18:4n–3; 6a,9,12–18:3; 6a,9,12,15–18:4; 20:4n–3 and EPA in mosses and 16:3n–3; 16:2n–6; 18:2n–6; 18:3n–3 and EPA in liverworts. These findings indicate that further research into bryophyte FA profiles can shed light on phylogenetic relationships within this group of plants and the evolution of their metabolic pathways. Full article
(This article belongs to the Special Issue Fatty Acids in Natural Ecosystems and Human Nutrition 2022–2023)
Show Figures

Figure 1

17 pages, 1335 KB  
Article
Pattern Recognition of Varieties of Peach Fruit and Pulp from Their Volatile Components and Metabolic Profile Using HS-SPME-GC/MS Combined with Multivariable Statistical Analysis
by Dasha Mihaylova, Aneta Popova and Ivayla Dincheva
Plants 2022, 11(23), 3219; https://doi.org/10.3390/plants11233219 - 24 Nov 2022
Cited by 6 | Viewed by 2937
Abstract
A fruit’s aroma profile, composed of a complex mixture of volatile organic compounds, is among the core attributes related to the overall taste and consumer preference. Prunus persica L. is a preferred summer fruit with a distinct, favorable olfactory characteristic. The volatile compositions [...] Read more.
A fruit’s aroma profile, composed of a complex mixture of volatile organic compounds, is among the core attributes related to the overall taste and consumer preference. Prunus persica L. is a preferred summer fruit with a distinct, favorable olfactory characteristic. The volatile compositions of both peach fruits and fruit pulps from eight peach cultivars (four native and four introduced) was investigated to compare their composition and assess flavor-contributing compounds. In total, 65 compounds were profiled after a HS-SPME-GC-MS analysis: 16 esters, 14 aldehydes, 5 alcohols, 7 hydrocarbons, 7 ketones, 8 acids, and 8 terpenes. The most common compounds were esters, acids, and aldehydes. Although the same compounds were identified in both fruit and pulp, their %TIC (total ion current) differed in favor of the whole fruit. Following the metabolic profiling of the whole fruit and fruit pulp, a total of 44 compounds were identified from the studied varieties. Among them, amino acids, organic acids, sugar alcohols, saccharides, fatty acids, and phenolic acids were identified as existing groups. According to the provided principal component analysis (PCA) and hierarchical cluster analysis (HCA), the relative %TIC of the identified volatile compounds fluctuated depending on the studied cultivar. No differences were visible in the PCA biplots, which suggested that the polar and lipid metabolites do not provide significant variations when considering different parts of the fruit, contrary to the volatile compounds. The obtained results could successfully be applied in the metabolic chemotaxonomy of peaches and the differentiation of the metabolites present in different parts of the peach. Full article
Show Figures

Figure 1

29 pages, 4362 KB  
Review
Therapeutic Potential and Mechanisms of Novel Simple O-Substituted Isoflavones against Cerebral Ischemia Reperfusion
by Shu-Er Yang, Jin-Cherng Lien, Chia-Wen Tsai and Chi-Rei Wu
Int. J. Mol. Sci. 2022, 23(18), 10394; https://doi.org/10.3390/ijms231810394 - 8 Sep 2022
Cited by 21 | Viewed by 4650
Abstract
Isoflavones have been widely studied and have attracted extensive attention in fields ranging from chemotaxonomy and plant physiology to human nutrition and medicine. Isoflavones are often divided into three subgroups: simple O-substituted derivatives, prenylated derivatives, and glycosides. Simple O-substituted isoflavones and their glycosides, [...] Read more.
Isoflavones have been widely studied and have attracted extensive attention in fields ranging from chemotaxonomy and plant physiology to human nutrition and medicine. Isoflavones are often divided into three subgroups: simple O-substituted derivatives, prenylated derivatives, and glycosides. Simple O-substituted isoflavones and their glycosides, such as daidzein (daidzin), genistein (genistin), glycitein (glycitin), biochanin A (astroside), and formononetin (ononin), are the most common ingredients in legumes and are considered as phytoestrogens for daily dietary hormone replacement therapy due to their structural similarity to 17-β-estradiol. On the basis of the known estrogen-like potency, these above isoflavones possess multiple pharmacological activities such as antioxidant, anti-inflammatory, anticancer, anti-angiogenetic, hepatoprotective, antidiabetic, antilipidemic, anti-osteoporotic, and neuroprotective activities. However, there are very few review studies on the protective effects of these novel isoflavones and their related compounds in cerebral ischemia reperfusion. This review primarily focuses on the biosynthesis, metabolism, and neuroprotective mechanism of these aforementioned novel isoflavones in cerebral ischemia reperfusion. From these published works in in vitro and in vivo studies, simple O-substituted isoflavones could serve as promising therapeutic compounds for the prevention and treatment of cerebral ischemia reperfusion via their estrogenic receptor properties and neuron-modulatory, antioxidant, anti-inflammatory, and anti-apoptotic effects. The detailed mechanism of the protective effects of simple O-substituted isoflavones against cerebral ischemia reperfusion might be related to the PI3K/AKT/ERK/mTOR or GSK-3β pathway, eNOS/Keap1/Nrf-2/HO-1 pathway, TLRs/TIRAP/MyD88/NFκ-B pathway, and Bcl-2-regulated anti-apoptotic pathway. However, clinical trials are needed to verify their potential on cerebral ischemia reperfusion because past studies were conducted with rodents and prophylactic administration. Full article
Show Figures

Figure 1

14 pages, 2394 KB  
Article
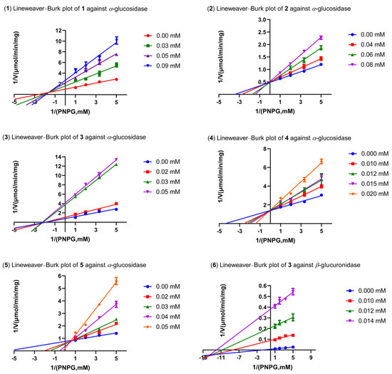
α-Glucosidase and Bacterial β-Glucuronidase Inhibitors from the Stems of Schisandra sphaerandra Staph
by Guiwei Rao, Hangfei Yu, Manlai Zhang, Yuchen Cheng, Kun Ran, Jianwei Wang, Bin Wei, Min Li, Weiguang Shan, Zhajun Zhan and Youmin Ying
Pharmaceuticals 2022, 15(3), 329; https://doi.org/10.3390/ph15030329 - 9 Mar 2022
Cited by 6 | Viewed by 3283
Abstract
α-Glucosidase (AGS) is a therapeutic target for Type 2 diabetes mellitus (T2DM) that tends to complicate with other diseases. Some medications for the treatment of T2DM complications have the risk of inducing severe adverse reactions such as diarrhea via the metabolism of intestinal [...] Read more.
α-Glucosidase (AGS) is a therapeutic target for Type 2 diabetes mellitus (T2DM) that tends to complicate with other diseases. Some medications for the treatment of T2DM complications have the risk of inducing severe adverse reactions such as diarrhea via the metabolism of intestinal bacterial β-glucuronidase (BGUS). The development of new AGS and/or BGUS inhibitors may improve the therapeutic effects of T2DM and its complications. The present work focused on the isolation and characterization of AGS and/or BGUS inhibitors from the medicinal plant Schisandra sphaerandra. A total of eight compounds were isolated and identified. Sphaerandralide A (1) was obtained as a previously undescribed triterpenoid, which may have chemotaxonomy significance in the authentication of the genus Schisandra and Kadsura. 2′-acetyl-4′,4-dimethoxybiphenyl-2-carbaldehyde (8) was obtained from a plant source for the first time, while compounds 27 were isolated from S. sphaerandra for the first time. In the in vitro assay, compounds 15 showed potent to moderate activity against AGS. Interestingly, compound 3 also exhibited significant BGUS inhibitory activity, demonstrating the potential of being developed as a bifunctional inhibitor that may find application in the therapy of T2DM and/or the diarrhea induced by medications for the treatment of T2DM complications. Full article
(This article belongs to the Section Natural Products)
Show Figures

Figure 1

16 pages, 2339 KB  
Article
HS-SPME-GC–MS Volatile Profile Characterization of Peach (Prunus persica L. Batsch) Varieties Grown in the Eastern Balkan Peninsula
by Dasha Mihaylova, Aneta Popova, Radka Vrancheva and Ivayla Dincheva
Plants 2022, 11(2), 166; https://doi.org/10.3390/plants11020166 - 8 Jan 2022
Cited by 26 | Viewed by 4337
Abstract
The volatile compounds of eight peach varieties (Prunus persica L.)—“Filina”, “Gergana”, “Ufo-4”, “July lady”, “Laskava”, “Flat Queen”, “Evmolpiya”, and “Morsiani 90”—growing in Bulgaria were analyzed for the first time. Gas chromatography–mass spectrometry (GC–MS) analysis and the HS-SPME technique revealed the presence of [...] Read more.
The volatile compounds of eight peach varieties (Prunus persica L.)—“Filina”, “Gergana”, “Ufo-4”, “July lady”, “Laskava”, “Flat Queen”, “Evmolpiya”, and “Morsiani 90”—growing in Bulgaria were analyzed for the first time. Gas chromatography–mass spectrometry (GC–MS) analysis and the HS-SPME technique revealed the presence of 65 volatile compounds; the main identified components were aldehydes, esters, and fatty acids. According to the provided principal component analysis (PCA) and hierarchical cluster analysis (HCA), the relative quantities of the identified volatile compounds depended on the studied peach variety. The results obtained could be successfully applied for the metabolic chemotaxonomy of peaches. Full article
Show Figures

Figure 1

16 pages, 856 KB  
Article
Linseed Silesia, Diverse Crops for Diverse Diets. New Solutions to Increase Dietary Lipids in Crop Species
by Magdalena Zuk, Jakub Szperlik and Jan Szopa
Foods 2021, 10(11), 2675; https://doi.org/10.3390/foods10112675 - 3 Nov 2021
Cited by 9 | Viewed by 2630
Abstract
The aim of the work was to compare the new variety of oil flax (Silesia) with already cultivated varieties in terms of plant productivity, oil content, fatty acid composition and significant secondary metabolites. The analyzed linseed varieties are characterized by low (Linola), medium [...] Read more.
The aim of the work was to compare the new variety of oil flax (Silesia) with already cultivated varieties in terms of plant productivity, oil content, fatty acid composition and significant secondary metabolites. The analyzed linseed varieties are characterized by low (Linola), medium (Silesia) and high (Szafir) content of omega-3 fatty acids. Special attention was paid to the quality of the oil and the characteristics that determine its stability (reduction of susceptibility to oxidation). A number of antioxidant compounds of secondary metabolism (simple phenols, phenolic acids, flavonoids, tannins) were identified in the linseed oils. All of these compounds can affect lipid oxidation by a mechanism that attenuates initiating radicals such as hydroxyl or forms an oxidizing primary product such as peroxides. Chelation of metal ions may also be involved in lipid oxidation. We propose a mechanism that encompasses all these processes and facilitates understanding of the complex relationships between them. The general thesis is that the ratio of polyunsaturated fatty acids is associated with a better metabolic state of flaxseed, and thus with a higher nutritional value. In addition, we find a number of specialized secondary metabolites characteristic of the flax studied, which could be useful for chemotaxonomy. Full article
Show Figures

Figure 1

15 pages, 2307 KB  
Article
Characterization of Plant Volatiles Reveals Distinct Metabolic Profiles and Pathways among 12 Brassicaceae Vegetables
by Yu Liu, Hui Zhang, Shivshankar Umashankar, Xu Liang, Hui Wen Lee, Sanjay Swarup and Choon Nam Ong
Metabolites 2018, 8(4), 94; https://doi.org/10.3390/metabo8040094 - 14 Dec 2018
Cited by 40 | Viewed by 7940
Abstract
Plants emit characteristic organic volatile compounds (VOCs) with diverse biological/ecological functions. However, the links between plant species/varieties and their phytochemical emission profiles remain elusive. Here, we developed a direct headspace solid-phase microextraction (HS-SPME) technique and combined with non-targeted gas chromatography‒high-resolution mass spectrometry (GC-HRMS) [...] Read more.
Plants emit characteristic organic volatile compounds (VOCs) with diverse biological/ecological functions. However, the links between plant species/varieties and their phytochemical emission profiles remain elusive. Here, we developed a direct headspace solid-phase microextraction (HS-SPME) technique and combined with non-targeted gas chromatography‒high-resolution mass spectrometry (GC-HRMS) platform to investigate the VOCs profiles of 12 common Brassicaceae vegetables (watercress, rocket, Brussels sprouts, broccoli, kai lan, choy sum, pak choi, cabbage, Chinese cabbage, cauliflower, radish and cherry radish). The direct HS-SPME sampling approach enabled reproducible capture of the rapid-emitting VOCs upon plant tissue disruption. The results revealed extensive variation in VOCs profiles among the 12 Brassicaceae vegetables. Furthermore, principal component analysis (PCA) showed that the VOC profiles could clearly distinguish the 12 Brassicaceae vegetables, and that these profiles well reflected the classical morphological classification. After multivariate statistical analysis, 44 VOCs with significant differences among the Brassicaceae vegetables were identified. Pathway analysis showed that three secondary metabolism pathways, including the fatty acid pathway, methylerythritol phosphate (MEP) pathway and glucosinolate (GLS) pathway, behave distinctively in these vegetables. These three pathways are responsible for the generation and emission of green leaf volatiles (GLVs), terpenes and isothiocyanates (ITCs), respectively. Correlation analysis further showed that volatile metabolites formed via the common pathway had significantly positive correlations, whereas metabolites from different pathways had either non-significant or significantly negative correlations. Genetic influences on these metabolites across various vegetable types were also evaluated. These findings extend our phytochemical knowledge of the 12 edible Brassicaceae vegetables and provide useful information on their secondary metabolism. Full article
(This article belongs to the Special Issue Plant, Food and Nutritional Metabolomics for Health Enhancement)
Show Figures

Graphical abstract

12 pages, 3446 KB  
Article
GC-MS Analysis of the Volatile Constituents in the Leaves of 14 Compositae Plants
by Yiguang Wang, Xiran Li, Qinjie Jiang, Hainan Sun, Jiafu Jiang, Sumei Chen, Zhiyong Guan, Weimin Fang and Fadi Chen
Molecules 2018, 23(1), 166; https://doi.org/10.3390/molecules23010166 - 18 Jan 2018
Cited by 67 | Viewed by 12485
Abstract
The green organs, especially the leaves, of many Compositae plants possess characteristic aromas. To exploit the utility value of these germplasm resources, the constituents, mainly volatile compounds, in the leaves of 14 scented plant materials were qualitatively and quantitatively compared via gas chromatography-mass [...] Read more.
The green organs, especially the leaves, of many Compositae plants possess characteristic aromas. To exploit the utility value of these germplasm resources, the constituents, mainly volatile compounds, in the leaves of 14 scented plant materials were qualitatively and quantitatively compared via gas chromatography-mass spectrometry (GC-MS). A total of 213 constituents were detected and tentatively identified in the leaf extracts, and terpenoids (especially monoterpene and sesquiterpene derivatives), accounting for 40.45–90.38% of the total compounds, were the main components. The quantitative results revealed diverse concentrations and compositions of the chemical constituents between species. Principal component analysis (PCA) showed that different groups of these Compositae plants were characterized by main components of α-thujone, germacrene D, eucalyptol, β-caryophyllene, and camphor, for example. On the other hand, cluster memberships corresponding to the molecular phylogenetic framework, were found by hierarchical cluster analysis (HCA) based on the terpenoid composition of the tested species. These results provide a phytochemical foundation for the use of these scented Compositae plants, and for the further study of the chemotaxonomy and differential metabolism of Compositae species. Full article
(This article belongs to the Special Issue Diversity of Terpenoids)
Show Figures

Graphical abstract

19 pages, 2785 KB  
Article
Metabolic Profiling of Alpine and Ecuadorian Lichens
by Verena K. Mittermeier, Nicola Schmitt, Lukas P. M. Volk, Juan Pablo Suárez, Andreas Beck and Wolfgang Eisenreich
Molecules 2015, 20(10), 18047-18065; https://doi.org/10.3390/molecules201018047 - 1 Oct 2015
Cited by 15 | Viewed by 7625
Abstract
Non-targeted 1H-NMR methods were used to determine metabolite profiles from crude extracts of Alpine and Ecuadorian lichens collected from their natural habitats. In control experiments, the robustness of metabolite detection and quantification was estimated using replicate measurements of Stereocaulon alpinum extracts. The [...] Read more.
Non-targeted 1H-NMR methods were used to determine metabolite profiles from crude extracts of Alpine and Ecuadorian lichens collected from their natural habitats. In control experiments, the robustness of metabolite detection and quantification was estimated using replicate measurements of Stereocaulon alpinum extracts. The deviations in the overall metabolite fingerprints were low when analyzing S. alpinum collections from different locations or during different annual and seasonal periods. In contrast, metabolite profiles observed from extracts of different Alpine and Ecuadorian lichens clearly revealed genus- and species-specific profiles. The discriminating functions determining cluster formation in principle component analysis (PCA) were due to differences in the amounts of genus-specific compounds such as sticticin from the Sticta species, but also in the amounts of ubiquitous metabolites, such as sugar alcohols or trehalose. However, varying concentrations of these metabolites from the same lichen species e.g., due to different environmental conditions appeared of minor relevance for the overall cluster formation in PCA. The metabolic clusters matched phylogenetic analyses using nuclear ribosomal DNA (nrDNA) internal transcribed spacer (ITS) sequences of lichen mycobionts, as exemplified for the genus Sticta. It can be concluded that NMR-based non-targeted metabolic profiling is a useful tool in the chemo-taxonomy of lichens. The same approach could also facilitate the discovery of novel lichen metabolites on a rapid and systematical basis. Full article
(This article belongs to the Section Natural Products Chemistry)
Show Figures

Figure 1

Back to TopTop