Sign in to use this feature.

Years

Between: -

Subjects

remove_circle_outline
remove_circle_outline
remove_circle_outline
remove_circle_outline
remove_circle_outline
remove_circle_outline
remove_circle_outline
remove_circle_outline
remove_circle_outline

Journals

remove_circle_outline
remove_circle_outline
remove_circle_outline
remove_circle_outline
remove_circle_outline
remove_circle_outline
remove_circle_outline
remove_circle_outline
remove_circle_outline
remove_circle_outline
remove_circle_outline
remove_circle_outline
remove_circle_outline
remove_circle_outline

Article Types

Countries / Regions

remove_circle_outline
remove_circle_outline
remove_circle_outline
remove_circle_outline
remove_circle_outline
remove_circle_outline

Search Results (266)

Search Parameters:
Keywords = medical service satisfaction

Order results
Result details
Results per page
Select all
Export citation of selected articles as:
14 pages, 1938 KB  
Article
Impact of Hospitalist-Led Care on Glycemic Control Among Hospitalized Adults with Diabetes in Korea
by Soohyun Lee, Jaewoong Kim, Areum Shin, Sunhee Jo, Chul Sik Kim and Taeyoung Kyong
J. Clin. Med. 2026, 15(2), 406; https://doi.org/10.3390/jcm15020406 - 6 Jan 2026
Viewed by 96
Abstract
Background/Objectives: Hyperglycemia in hospitalized patients is associated with an increased risk of complications, morbidity, mortality, and healthcare costs, regardless of a prior diagnosis of diabetes. The hospitalist system can improve various outcomes, including length of stay, medical costs, patient satisfaction, and mortality [...] Read more.
Background/Objectives: Hyperglycemia in hospitalized patients is associated with an increased risk of complications, morbidity, mortality, and healthcare costs, regardless of a prior diagnosis of diabetes. The hospitalist system can improve various outcomes, including length of stay, medical costs, patient satisfaction, and mortality rates. However, the effects of hospitalist care on blood glucose control in hospitalized patients remain unclear. This study aimed to assess the specific effects of hospitalist services on blood glucose control in hospitalized patients, with a focus on hyperglycemia management and patient outcomes. Methods: This retrospective study reviewed the electronic medical records of patients diagnosed with diabetes at Yonsei Severance Hospital in Yongin, between March 2020 and February 2022. It included adults aged ≥20 years who were hospitalized and had undergone blood glucose measurements during hospitalization. Glycemic control was assessed using hemoglobin A1c, and the blood glucose levels were measured four times daily during hospitalization. Variability was quantified using the coefficient of variation and compared between hospitalist-led and traditional specialty care groups, over a 14-day hospitalization period. Results: Despite a higher baseline risk profile, patients receiving hospitalist-led care experienced significantly more stable glycemic variability over time (p = 0.002), suggesting better inpatient glucose management than those receiving traditional specialty care. Conclusions: Hospitalist-led care was associated with more stable glycemic variability over time in hospitalized patients with diabetes, despite a higher baseline burden of comorbidities and poorer glycemic control at admission. Full article
(This article belongs to the Section Clinical Nutrition & Dietetics)
Show Figures

Figure 1

15 pages, 4105 KB  
Article
Six-Month Home-Based Telemedicine Program for Heart Failure and Type 2 Diabetes Patients: Applicability, Usability of Telemonitoring Devices and Apps, and Patient Satisfaction
by Palmira Bernocchi, Gloria Fiorini Aloisi, Marilisa Serlini, Elisa Pasotti, Laura Comini and Simonetta Scalvini
Healthcare 2026, 14(1), 90; https://doi.org/10.3390/healthcare14010090 - 30 Dec 2025
Viewed by 154
Abstract
Background: Telemedicine can improve early symptom detection using medical devices and applications. It can also help identify barriers to patient adherence and enhance communication with healthcare professionals. This study aimed to evaluate the applicability, usability, and patient satisfaction with telemonitoring devices and apps [...] Read more.
Background: Telemedicine can improve early symptom detection using medical devices and applications. It can also help identify barriers to patient adherence and enhance communication with healthcare professionals. This study aimed to evaluate the applicability, usability, and patient satisfaction with telemonitoring devices and apps for individuals with heart failure and type 2 diabetes. Methods: In a randomized study, patients in the Intervention Group received six months of nursing teleassistance and telemonitoring using a wearable electrocardiograph, a step tracker, and an App for recording clinical information and conducting video calls. Usability was measured using the System Usability Scale (SUS) and satisfaction with a six-item questionnaire. Results: A total of 43 patients (71 ± 8 years) were enrolled in the intervention group. A total of 41 (95%) of patients utilized the App daily, entering 13,048 information, 53 ± 59 per patient. The nurses performed 896 video-calls, 22 ± 21 per patient. The mean number of walking sessions recorded was 6.1 ± 0.9 per week (159 ± 24 per patient). Thirty-five patients (81%) used a 3-lead ECG and recorded 942 traces, 27 ± 14 per patient. At the end, 40 SUS were collected from patients: 15 (38%, 71 ± 7 years) considered the system excellent or good, 20 (50%, 71 ± 8 years) thought it fair, and 5 (13%, 74 ± 7 years) considered the system offered poor. The overall assessment of patient satisfaction with the service was 22 ± 3.3. Conclusions: This study provides evidence that, although technology can be complex for older adults, it is broadly accepted by most patients, especially when the benefits are understood. The support offered by nurses is essential for significantly enhancing the overall patient experience. Full article
Show Figures

Figure 1

25 pages, 4141 KB  
Article
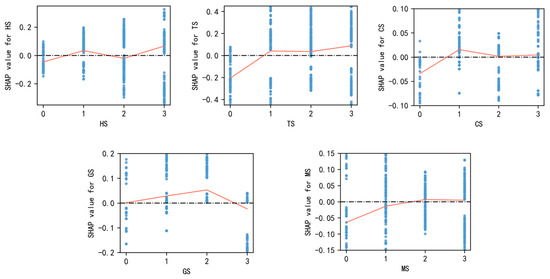
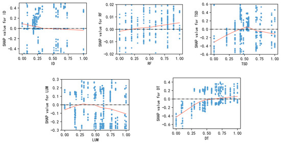
Investigating the Influence Patterns of the Built Environment on Residents’ Self-Rated Health: An Interpretable Machine Learning Approach
by Ying Ding, Hui He, Yuan Li, Xin-Yue Zhao, Han Zhang and Tong Zhang
Buildings 2026, 16(1), 66; https://doi.org/10.3390/buildings16010066 - 23 Dec 2025
Viewed by 278
Abstract
With the acceleration of urbanization, the impact of built community environments on residents’ health has emerged as a research focus in urban geography and public health. This study examines 25 representative communities in Wuhan, China, employing a combination of questionnaire surveys and multi-source [...] Read more.
With the acceleration of urbanization, the impact of built community environments on residents’ health has emerged as a research focus in urban geography and public health. This study examines 25 representative communities in Wuhan, China, employing a combination of questionnaire surveys and multi-source geospatial data. It systematically analyzes the influence patterns of built environment characteristics on residents’ self-rated health from dual perspectives: subjective perception and objective measurement. The XGBoost model was employed to achieve nonlinear fitting and prediction of residents’ self-rated health, while the SHAP method was introduced to interpret model outputs, identifying key environmental factors and their complex effect patterns. The results show that the built environment and health exhibit significant nonlinear relationships, with XGBoost outperforming other models. Residents’ health perception is jointly influenced by subjective and objective factors, with satisfaction with commercial services contributing most. Key environmental elements display threshold effects, indicating that excessive mixing may not further improve health. Furthermore, complex local interactions exist, where good transport accessibility enhances the health benefits of medical facilities and green spaces. This study demonstrates the applicability of interpretable machine learning in health geography, thus providing scientific guidance for health-oriented community planning. Full article
Show Figures

Figure 1

30 pages, 38403 KB  
Article
Satisfaction Evaluation and Typological Optimization of Traditional Village Human Settlements from the Perspective of Villager Participation: A Northeast China Case Study
by Huaizhi Qi, Hideaki Kanai and Fucun Cao
Land 2025, 14(11), 2283; https://doi.org/10.3390/land14112283 - 19 Nov 2025
Viewed by 706
Abstract
To address demand–supply mismatches in traditional village human settlements (TVHSs), this study builds on existing human settlement research by introducing cultural landscape theory and constructing a comprehensive framework that includes the hard (infrastructure, living environment, ecological environment, and environmental sanitation) and soft environment [...] Read more.
To address demand–supply mismatches in traditional village human settlements (TVHSs), this study builds on existing human settlement research by introducing cultural landscape theory and constructing a comprehensive framework that includes the hard (infrastructure, living environment, ecological environment, and environmental sanitation) and soft environment (social services, economic environment, and cultural environment). Villagers’ and experts’ perceptions of importance are integrated through a hierarchical weighting system combining AHP, CRITIC, and GRA. In addition, cluster analyses, the importance–satisfaction (IS) model, the obstacle degree model, and mediation analyses are employed to identify village classifications, determine optimization indicators, and assess mechanism effects. The findings indicate the following: (1) The overall satisfaction with TVHSs in Northeast China is moderate, with a stepwise decline from northeast to southwest, and the economic environment significantly lags behind other dimensions. (2) Four village classifications are identified—demonstration, basic-level development, potential-focused, and priority improvement. (3) The optimization indicators across classifications include toilet conditions, village cleanliness, school accessibility, and access to medical services, resulting in strategies such as “cultural landscape empowerment” and “telemedicine coverage”. (4) Mediation analyses show that improvements in the hard environment enhance overall satisfaction both directly and indirectly through social services and the economic environment. These findings highlight the close link between satisfaction and regional development, underscoring the need for dynamic monitoring and greater emphasis on the cultural dimension to support TVHS optimization and rural revitalization. Full article
Show Figures

Figure 1

13 pages, 346 KB  
Review
Medically Tailored Meals: A Case for Federal Policy Action
by Catherine Macpherson, William H. Frist and Emily Gillen
Healthcare 2025, 13(22), 2899; https://doi.org/10.3390/healthcare13222899 - 13 Nov 2025
Viewed by 2648
Abstract
Background: Poor nutrition drives chronic disease, health disparities, and rising health care costs in the United States. Medically tailored meals (MTMs), designed by registered dietitians, are a Food-as-Medicine intervention with potential to improve outcomes and reduce costs. This review synthesizes evidence on the [...] Read more.
Background: Poor nutrition drives chronic disease, health disparities, and rising health care costs in the United States. Medically tailored meals (MTMs), designed by registered dietitians, are a Food-as-Medicine intervention with potential to improve outcomes and reduce costs. This review synthesizes evidence on the clinical, economic, and policy implications of MTMs. Methods: We conducted a narrative review of peer-reviewed studies, real-world program evaluations, and policy analyses. Sources included PubMed, Google Scholar, and grey literature from government, nonprofit, and industry organizations. Articles and reports were included if they examined MTMs in Medicare, Medicaid, or other high-risk populations. Results: Evidence demonstrates that MTMs improve health outcomes, reduce hospitalizations, and lower total cost of care. Case studies from Medicaid and Medicare Advantage plans, including those administered by Mom’s Meals®, report reductions in emergency department visits, hospital readmissions, and total cost of care, alongside sustained high member satisfaction. Despite these findings, gaps in coverage and limited stakeholder awareness hinder broader access and adoption. Conclusions: Federal policy action can expand MTM availability and maximize utilization of existing benefits. Opportunities include establishing a Medicare Fee-for-Service demonstration, expanding and encouraging use in Medicare Advantage, and leveraging MTMs within Center for Medicare and Medicaid Innovation models. Broader implementation and utilization could reduce the nation’s chronic disease burden, advance health equity, and promote value-based care. Full article
(This article belongs to the Special Issue Policy Interventions to Promote Health and Prevent Disease)
Show Figures

Figure 1

22 pages, 5517 KB  
Article
Medical vs. Organizational Complaints: A Machine Learning Analysis Reveals Divergent Patterns in Patient Reviews Across Russian Cities
by Irina Evgenievna Kalabikhina, Anton Vasilyevich Kolotusha and Vadim Sergeevich Moshkin
Healthcare 2025, 13(20), 2641; https://doi.org/10.3390/healthcare13202641 - 20 Oct 2025
Viewed by 824
Abstract
Background: The growth of digital patient feedback presents a new opportunity for healthcare quality monitoring. This study addresses the need to automatically classify the content of patient reviews to identify primary sources of dissatisfaction. Objective: The purpose of this study is to develop [...] Read more.
Background: The growth of digital patient feedback presents a new opportunity for healthcare quality monitoring. This study addresses the need to automatically classify the content of patient reviews to identify primary sources of dissatisfaction. Objective: The purpose of this study is to develop a machine learning algorithm for classifying negative patient reviews into two core categories: medical content (M—pertaining to diagnosis, treatment, and outcomes) and organizational support (O—pertaining to logistics, cost, and communication). We aim to identify which type of concern prevails and to analyze variations across cities, patient gender, and medical specialties. Methods: A database of 18,680 negative patient reviews (rated 1 star) was compiled from the Russian aggregator infodoctor.ru for the period from July 2012 to August 2023. A training set was created using an independent annotation procedure with three experts. A logistic regression model was trained to classify reviews into M and O categories, demonstrating an accuracy of 88.5%. Results: The analysis revealed a significant structural shift in Moscow, where since 2021, medical (M) complaints began to prevail over organizational (O) ones. This trend was not observed in St. Petersburg or other major Russian cities. Notably, in St. Petersburg, M-type reviews were more common within the most represented medical specialties, whereas O-type reviews consistently dominated in other cities. Gender differences were most pronounced in St. Petersburg, where women were more frequently authors of M reviews and men of O reviews. Conclusions: The developed algorithm provides a valuable tool for the automated monitoring of patient feedback. It enables healthcare managers to distinguish between clinical and service-related issues, facilitating targeted improvements in medical service quality and patient satisfaction. Full article
Show Figures

Figure 1

16 pages, 875 KB  
Article
Pharmacist Review of Medicines Following Ambulance-Attended Falls—A Multi-Methods Evaluation of a Quality Improvement Initiative
by William Mulrooney, Caitlin Wilson, Richard Pilbery, Ruth Fisher, Sarah Whiterod, Heather Smith, Emily Turner, Heather Edmonds, Peter Webster, Graham Prestwich, Fiona Bell and Rebecca McLaren
Emerg. Care Med. 2025, 2(4), 49; https://doi.org/10.3390/ecm2040049 - 18 Oct 2025
Viewed by 518
Abstract
Background: Falls in older adults are a leading cause of morbidity, particularly when compounded by polypharmacy. There is mixed evidence of the efficacy of medicine reviews, but there is little work exploring this in the ambulance setting. A new referral pathway enabling ambulance [...] Read more.
Background: Falls in older adults are a leading cause of morbidity, particularly when compounded by polypharmacy. There is mixed evidence of the efficacy of medicine reviews, but there is little work exploring this in the ambulance setting. A new referral pathway enabling ambulance staff to connect patients to primary care pharmacists aimed to address this. This study explored staff and patient experiences with the pathway and its potential to improve medication safety after a fall. Methods: A mixed-method service evaluation was conducted to assess the implementation and impact of this pathway. Routine data from an ambulance trust and pharmacist proformas were used to address objectives relating to referral rates, clinical appropriateness, and fall recurrence. Patient and staff stakeholder perspectives were gathered through two cross-sectional surveys designed to explore emotional, behavioral, and practical responses to the intervention. Quantitative data were analyzed descriptively and using ordinal logistic regression where appropriate. Free-text responses were analyzed thematically. Results: Between May 2019 and March 2020, referrals were initiated for 775 older adults after ambulance attendance for a fall, with pharmacists completing medicine reviews on 340 patients. Survey data revealed improvements in patients’ emotional responses to their medicines. Ambulance clinicians identified patient disclosure, stockpiling, and the presence of expired medicines as key indicators of poor medicines management and valued the ability to refer patients. Conclusions: Overall, referral to the pathway demonstrates a marginal improvement in recontact rates in the short-term but does not necessarily represent an improvement in overall patient safety. The cost of such an intervention and patient expectations need further exploration to prove efficacy and patient satisfaction. Full article
Show Figures

Figure 1

22 pages, 1438 KB  
Article
Exploring Pharmacists’ Perceptions of Their Current Role in Mental Health Trusts in England: A Qualitative Study
by Atta Abbas Naqvi, Muhammad Umair Khan, Hung Nguyen, Lee Karim, Asha Said and Adaora Nnadi
Healthcare 2025, 13(20), 2602; https://doi.org/10.3390/healthcare13202602 - 16 Oct 2025
Viewed by 1107
Abstract
Aim: This study assessed how pharmacists perceive the impact of their role in the mental health (MH) services in two National Health Service (NHS) Trusts in England and their views on this service. Methods: An interview-based study was conducted from September to December [...] Read more.
Aim: This study assessed how pharmacists perceive the impact of their role in the mental health (MH) services in two National Health Service (NHS) Trusts in England and their views on this service. Methods: An interview-based study was conducted from September to December 2023 on Microsoft Teams® by interviewing the pharmacists involved in MH services in Berkshire Healthcare NHS Foundation Trust & the Birmingham and Solihull Mental Health Trust (BSMHFT) in England. Interviews were conducted using a semi-structured interview guide containing questions related to pharmacists’ roles, activities, perceptions about the service, and future recommendations. Transcripts were prepared and analysed using thematic analysis. The study was approved by the ethics committee of the School of Pharmacy at the University of Reading and was registered as a service evaluation with both Trusts. Results: A total of 11 participants attended the interviews. Most of the participants self-identified as women (n = 9), worked between 25 and 40 h on average weekly (n = 8), and had training in MH (n = 7). Few (n = 4) had work experience >20 years. Four themes emerged: (1) Roles and responsibilities—pharmacists play a vital role in medication management, clinical decision-making, and patient counselling; (2) satisfaction and positive impacts—a high job satisfaction derived from improved patient outcomes and effective multidisciplinary collaboration was reported; (3) challenges and barriers—stigma, role ambiguity, limited training in mental health, and institutional challenges (workload, funding, etc.), were identified; participants also expressed scepticism about the readiness of newly qualified prescriber pharmacists; (4) recommendations—participants advocated for enhanced MH content in pharmacy curricula, societal awareness and de-stigmatisation. Conclusions: Pharmacists viewed their role as integral to providing MH services; however, progress is impeded by challenges such as stigma, fragmented care, training gaps, and staffing shortages. It seemed unclear at the moment how the new prescriber-ready pharmacists will contribute to services. Additional findings from primary-care settings would provide a collective account of the current roles of pharmacists and their potential in MH. Full article
Show Figures

Figure 1

31 pages, 2308 KB  
Article
Digital Transformation of Medical Services in Romania: Does the Healthcare System Meet the Current Needs of Patients?
by Ioana-Marcela Păcuraru, Ancuța Năstac, Andreea Zamfir, Ștefan Sebastian Busnatu, Octavian Andronic and Andrada-Raluca Artamonov
Healthcare 2025, 13(20), 2549; https://doi.org/10.3390/healthcare13202549 - 10 Oct 2025
Viewed by 2259
Abstract
Background: The digitalization of medical services is promoted as a solution for improving access, quality, and efficiency within healthcare systems. In this context, the study investigates the extent to which digitalization in Romania meets the current needs of patients through a convergent [...] Read more.
Background: The digitalization of medical services is promoted as a solution for improving access, quality, and efficiency within healthcare systems. In this context, the study investigates the extent to which digitalization in Romania meets the current needs of patients through a convergent analysis of user perceptions and managerial perspectives. Based on the specialized literature, the research tests two hypotheses: (H1) the implementation of digital technologies significantly contributes to improving the quality of medical services and operational efficiency; (H2) digitalization has a positive impact on patient satisfaction by facilitating access to care and improving communication with medical personnel. Methods: The study adopted methodology is cross-sectional and mixed, including an online mixed-methods questionnaire for patients, distributed between 6 and 14 May 2025, and a qualitative questionnaire with open-ended questions distributed via e-mail to managers from public hospitals through The Administration of Hospitals and Medical Services of Bucharest, between 3 and 24 March 2025. Results: In total, 125 patients and 15 hospital managers participated in the study. Statistical analysis (χ2, ordinal regression) and data triangulation highlight a predominantly positive, yet heterogeneous, patient perception of digitalization, with Hypothesis H1 only partially supported (weak, inconsistent, and in some cases negative associations between technology use and perceived service quality). By contrast, H2 was robustly validated, with patient satisfaction strongly linked to tangible benefits, particularly easier access and online appointment scheduling. However, use remains limited to administrative functions, while advanced technologies such as telemedicine or electronic health records are poorly adopted. From an institutional perspective, hospitals predominantly use IT systems for internal purposes, without real patient access to their own data, no interoperability between medical units, and marginal implementation of telemedicine. This reveals a significant gap between user perception and organizational realities, emphasizing the lack of a patient-oriented digital infrastructure. Conclusions: The results highlight the potential of digitalization to enhance patient experience and service efficiency, while also pointing out structural limitations that hinder the full realization of this potential. Patient satisfaction is strongly associated with tangible benefits, particularly easier access and online scheduling, whereas the effect on perceived quality is weaker and sometimes inconsistent. There are significant disparities in digitalization levels between healthcare providers, perceived by patients as public–private differences, and gaps among public hospitals are also confirmed by managerial data. These findings suggest that a successful digital transformation of the medical system in Romania must address both technological infrastructure gaps and organizational barriers, within a coordinated national strategy that ensures interoperability, patient-centered design, and sustainable implementation. Full article
Show Figures

Figure 1

20 pages, 1541 KB  
Article
Implementing a Mixed Health Service Model as an Informed Modality to Enhance Prevention and Promote Workplace Health in the Greek Regional Public Sector: A Pilot Study in Crete
by Nikos Frantzeskakis, Maria Tziraki, Marios Spanakis, Spyridoula D. Katsarou, Nikolaos Papadopoulos, Manolis Linardakis, Charikleia Vova-Chatzi, Apostolos Kamekis, George Pitsoulis, Antonios Papadakis and Emmanouil K. Symvoulakis
Healthcare 2025, 13(18), 2337; https://doi.org/10.3390/healthcare13182337 - 17 Sep 2025
Viewed by 859
Abstract
Background/Objectives: Preventive care in Greece remains underdeveloped, especially in workplace settings. To address this, a mixed service model was piloted to integrate preventive and occupational health for public sector employees in Region of Crete. Methods: Between January and July 2025, 180 [...] Read more.
Background/Objectives: Preventive care in Greece remains underdeveloped, especially in workplace settings. To address this, a mixed service model was piloted to integrate preventive and occupational health for public sector employees in Region of Crete. Methods: Between January and July 2025, 180 employees enrolled for a 30 min consultation including medical history review, lifestyle assessment, and evaluation of vaccination and screening status according to age, risk factors, and national guidelines. Standardized tools (PSS-14, PHQ-9) assessed perceived stress and mental well-being. Participants rated satisfaction and perceived care quality on a 10-point Likert scale. Results: Of 180 enrolled, 154 completed the evaluation. The majority of participants were female (68.8%), with a mean age of 54 years, and 42.9% held a higher education degree. Common lifestyle characteristics included current smoking (24.7%), regular alcohol consumption (9.8%), and insufficient sleep (mean 6.5 h/night). Overweight (40.3%) and obesity (29.2%) were prevalent. Chronic conditions were reported in 87.0% of participants, with dyslipidemia (54.5%), allergies (35.8%), and hypertension (26.9%) being the most frequent. Criteria for metabolic syndrome were found in 33.1% of participants with a higher prevalence in men (50.0% vs. 25.0%; p = 0.029). Mental health assessments revealed moderate stress levels (mean PSS-14: 23.7) and mostly minimal depressive symptoms (mean PHQ-9: 4.3). Preventive screening was variable, with higher adherence for mammography (79.2%) and lower for colonoscopy (40.2%). Service satisfaction was high, with significant increases in perceived usefulness (8.96 to 9.80, p < 0.001) and satisfaction (9.08 to 9.87, p < 0.001) after the intervention. Conclusions: This pilot revealed critical gaps in vaccination, cardiometabolic risk, and stress management among public employees. It was also shown that integrated workplace-based health models are both feasible and acceptable. These models can effectively deliver preventive actions on a scale and represent a promising strategy for strengthening occupational health in employed adult population. Full article
(This article belongs to the Special Issue Healthcare Management: Improving Patient Outcomes and Service Quality)
Show Figures

Figure 1

19 pages, 1036 KB  
Review
A Scoping Review of Contextual and Individual Factors for Hospital-Acquired Malnutrition Development in Adult Hospital Inpatients: Guiding a Proactive Preventative Approach
by Vivien Hui In Cheung and Ching Shan Wan
Nutrients 2025, 17(18), 2970; https://doi.org/10.3390/nu17182970 - 16 Sep 2025
Cited by 1 | Viewed by 2277
Abstract
Background: Preventing nutritional decline during hospitalisation is imperative in reducing the development of complications such as malnutrition and pressure injuries. However, existing malnutrition screening and assessment tools employ a reactive rather than proactive approach, using predictors to identify inpatients who are already malnourished [...] Read more.
Background: Preventing nutritional decline during hospitalisation is imperative in reducing the development of complications such as malnutrition and pressure injuries. However, existing malnutrition screening and assessment tools employ a reactive rather than proactive approach, using predictors to identify inpatients who are already malnourished instead of those at risk of developing hospital-acquired malnutrition. Therefore, this review aimed to identify key contextual and individual factors contributing to nutritional deterioration and their interrelatedness, and to inform strategies for preventing hospital-acquired malnutrition. Methods: A scoping review of five databases (Medline, CINAHL, Embase, All EBM Reviews and PsycINFO) up to June 2024 was conducted to include English-language studies that reported statistically significant risk factors for changes in nutritional status during hospitalisation. A directed acyclic graphing method was used to visualise the interlinkage between contextual and individual risk factors identified. PRISMA Extension for Scoping Reviews was followed in reporting. Results: Of 8215 retrieved abstracts, 51 studies were included. Four contextual (ward type; food service satisfaction; medical-related mealtime interruption; nutrition care collaboration) and four individual factors (nutritional status prior admission; hospital length of stay; multimorbidity; disease acuity) were found to significantly predict nutritional decline during hospitalisation and were closely interrelated. Conclusions: More contextual risk factors are modifiable, suggesting a need for organisational strategies to optimise collaborative nutrition care and improve patient satisfaction with hospital food services to promote early nutritional intervention, particularly within the first three days of admission and for inpatients with multimorbidity, high disease acuity, or pre-existing malnourishment. Full article
Show Figures

Figure 1

23 pages, 1304 KB  
Article
Wellness Tourism Experiences and Tourists’ Satisfaction: A Multicriteria Analysis Approach
by Vasiliki Karagianni, Petros Kalantonis, Paris Tsartas and Despina Sdrali
Tour. Hosp. 2025, 6(4), 179; https://doi.org/10.3390/tourhosp6040179 - 15 Sep 2025
Viewed by 6144
Abstract
The present study explores the determinants of tourist satisfaction within the context of wellness tourism in Greece, an emerging segment of the tourism industry that emphasizes holistic well-being. The aim was to assess the overall satisfaction of wellness tourists, identify the relative importance [...] Read more.
The present study explores the determinants of tourist satisfaction within the context of wellness tourism in Greece, an emerging segment of the tourism industry that emphasizes holistic well-being. The aim was to assess the overall satisfaction of wellness tourists, identify the relative importance and performance of satisfaction dimensions, and offer insights for service improvement. A structured questionnaire was administered to 487 wellness tourists during the summer of 2024, and the data were analyzed using descriptive statistics and the Multicriteria Satisfaction Analysis (MUSA) method. The results revealed a high overall satisfaction level (90.4%), with physical and spiritual well-being activities contributing most significantly to the satisfaction structure. In contrast, mind well-being activities scored the lowest in satisfaction, despite being rated highly in importance, suggesting a service gap. Improvement analysis indicated that mental and spiritual well-being activities are high-impact, low-effort areas for enhancement. Demographic data further highlighted that wellness tourists are typically young, educated and economically active women. The findings suggest the need for more personalized, holistic offerings and point to the potential integration of wellness and medical tourism services. The study offers practical implications for wellness providers and destination managers and identifies future research directions related to satisfaction dynamics and health-oriented tourism strategies. Full article
(This article belongs to the Special Issue Authentic Tourist Experiences: The Value of Intangible Heritage)
Show Figures

Figure 1

17 pages, 437 KB  
Article
Local Identity and Urban Perception in an Intermediate City: Implications for Sustainable Urban Development
by Edwin Arango Espinal, Carlos Arango Pastrana and Carlos Osorio Andrade
Sustainability 2025, 17(17), 7765; https://doi.org/10.3390/su17177765 - 29 Aug 2025
Viewed by 1695
Abstract
This study analyzes the factors that influence perceptions of the urban environment and local identity, considering them as key dimensions for understanding sustainable urban development in Latin America. Based on data from a representative sample of 701 residents in the medium-sized city of [...] Read more.
This study analyzes the factors that influence perceptions of the urban environment and local identity, considering them as key dimensions for understanding sustainable urban development in Latin America. Based on data from a representative sample of 701 residents in the medium-sized city of Tuluá, Colombia, the study examines the relationships between public services, safety, mobility, healthcare, and cultural offerings and these citizen perceptions. The data were analyzed using Partial Least Squares Structural Equation Modeling (PLS-SEM), which allowed for the simultaneous evaluation of relationships between formative and reflective latent variables. The results reveal a strong positive relationship between the perception of the urban environment and local identity. Citizen security emerged as the most significant predictor in both constructs, followed by public services. In contrast, satisfaction with medical care, cultural offerings, and urban mobility did not show significant effects on the perception of the urban environment, although mobility had a moderate positive effect on local identity. These findings enrich the debate on urban dynamics in Latin American contexts and provide guidance for the design of public policies that strengthen territorial cohesion and quality of life from an integral perspective. In doing so, the study enhances the understanding of how urban sustainability can be advanced through both structural and perceptual factors. Full article
Show Figures

Graphical abstract

25 pages, 3868 KB  
Article
From Research to Design: Enhancing Mental Well-Being Through Quality Public Green Spaces in Beirut
by Mariam Raad, Georgio Kallas, Falah Assadi, Nina Zeidan, Victoria Dawalibi and Alessio Russo
Land 2025, 14(8), 1558; https://doi.org/10.3390/land14081558 - 29 Jul 2025
Viewed by 1751
Abstract
The global rise in urban-related health issues poses significant challenges to public health, particularly in cities facing socio-economic crises. In Lebanon, 70% of the population is experiencing financial hardship, and healthcare costs have surged by 172%, exacerbating the strain on medical services. Given [...] Read more.
The global rise in urban-related health issues poses significant challenges to public health, particularly in cities facing socio-economic crises. In Lebanon, 70% of the population is experiencing financial hardship, and healthcare costs have surged by 172%, exacerbating the strain on medical services. Given these conditions, improving the quality and accessibility of green spaces offers a promising avenue for alleviating mental health issues in urban areas. This study investigates the psychological impact of nine urban public spaces in Beirut through a comprehensive survey methodology, involving 297 participants (locals and tourists) who rated these spaces using Likert-scale measures. The findings reveal location-specific barriers, with Saanayeh Park rated highest in quality and Martyr’s Square rated lowest. The analysis identifies facility quality as the most significant factor influencing space quality, contributing 73.6% to the overall assessment, while activity factors have a lesser impact. The study further highlights a moderate positive association (Spearman’s rho = 0.30) between public space quality and mental well-being in Beirut. This study employs a hybrid methodology combining Research for Design (RfD) and Research Through Designing (RTD). Empirical data informed spatial strategies, while iterative design served as a tool for generating context-specific knowledge. Design enhancements—such as sensory plantings, shading systems, and social nodes—aim to improve well-being through better public space quality. The proposed interventions support mental health, life satisfaction, climate resilience, and urban inclusivity. The findings offer actionable insights for cities facing public health and spatial equity challenges in crisis contexts. Full article
Show Figures

Figure 1

16 pages, 1441 KB  
Article
Adherence Barriers, Patient Satisfaction, and Depression in Albanian Ambulatory Patients
by Sonila Qirko, Vasilika Prifti, Emirjona Kicaj, Rudina Cercizaj and Liliana Rogozea
Healthcare 2025, 13(14), 1707; https://doi.org/10.3390/healthcare13141707 - 15 Jul 2025
Cited by 2 | Viewed by 1266
Abstract
Background: Medication adherence is essential for managing chronic conditions, while non-adherence remains a widespread issue, leading to poorer health outcomes and higher healthcare costs. This study aimed to identify key adherence barriers, explore their relationship with patient satisfaction, and assess their impact on [...] Read more.
Background: Medication adherence is essential for managing chronic conditions, while non-adherence remains a widespread issue, leading to poorer health outcomes and higher healthcare costs. This study aimed to identify key adherence barriers, explore their relationship with patient satisfaction, and assess their impact on overall well-being among ambulatory patients in Albania. Methods: A cross-sectional study was conducted in three public urban health centers in Vlora, Albania, between November 2024 and January 2025. A total of 80 ambulatory patients were recruited using convenience sampling. Data were collected through face-to-face interviews using validated questionnaires, including the Adherence Barriers Questionnaire (ABQ), the Patient Satisfaction with Nursing Care Quality Questionnaire (PSNCQQ), and the Patient Health Questionnaire (PHQ-9) for depression screening. Results: The study included 80 ambulatory patients (mean age 66.7 years; 48.7% female), predominantly diagnosed with diabetes (42.5%) and rheumatic diseases (36.3%). All participants reported at least one adherence barrier, with 92.5% experiencing multiple barriers. The most common were financial burden (91.3%) and fear of side effects (77.5%). A significant positive correlation was found between adherence barriers and depression severity (ρ = 0.518, p < 0.0001), while patient satisfaction did not significantly influence adherence barriers (ρ = −0.217, p = 0.053) or depression severity (ρ = −0.004, p = 0.969). Multiple regression analysis showed that higher depression severity (p = 0.0049) was significantly associated with greater adherence barriers, while postgraduate education was associated with fewer barriers (p = 0.0175). Conclusions: Financial burden, fear of side effects, and psychological distress are key barriers to adherence among Albanian ambulatory patients. Although there are limitations inherent to the cross-sectional design and modest sample size, our findings highlight the potential benefit of routine mental health screening, targeted financial support, and improved patient education on medication management within primary care. These insights may help inform future research and interventions aimed at enhancing adherence and overall well-being. Patient satisfaction did not significantly impact adherence or depression. Targeted interventions focusing on financial support, mental health care, and patient education are needed to improve adherence and patient well-being. These findings underscore the need for integrated mental health and adherence support strategies within routine primary care services. Full article
(This article belongs to the Special Issue Medication Therapy Management in Healthcare)
Show Figures

Figure 1

Back to TopTop