Sign in to use this feature.

Years

Between: -

Subjects

remove_circle_outline
remove_circle_outline
remove_circle_outline
remove_circle_outline
remove_circle_outline
remove_circle_outline
remove_circle_outline
remove_circle_outline
remove_circle_outline

Journals

remove_circle_outline
remove_circle_outline
remove_circle_outline
remove_circle_outline
remove_circle_outline
remove_circle_outline
remove_circle_outline
remove_circle_outline
remove_circle_outline
remove_circle_outline
remove_circle_outline

Article Types

Countries / Regions

remove_circle_outline
remove_circle_outline
remove_circle_outline
remove_circle_outline
remove_circle_outline

Search Results (699)

Search Parameters:
Keywords = mechanical behavior laws

Order results
Result details
Results per page
Select all
Export citation of selected articles as:
28 pages, 18752 KB  
Article
Hydraulic Fracture Propagation in Topological Fractured Rock Masses: Insights from Visualized Experiments and Discrete Element Simulation
by Xin Gong, Jinquan Xing, Cheng Zhao, Haoyu Pan, Huiguan Chen, Jialun Niu and Yimeng Zhou
Materials 2026, 19(1), 25; https://doi.org/10.3390/ma19010025 - 20 Dec 2025
Viewed by 38
Abstract
The topological structure of fracture networks fundamentally controls the mechanical behavior and fluid-driven failure of brittle materials. However, a systematic understanding of how topology dictates hydraulic fracture propagation remains limited. This study conducted experimental investigations on granite specimens containing 10 different topological fracture [...] Read more.
The topological structure of fracture networks fundamentally controls the mechanical behavior and fluid-driven failure of brittle materials. However, a systematic understanding of how topology dictates hydraulic fracture propagation remains limited. This study conducted experimental investigations on granite specimens containing 10 different topological fracture structures using a self-developed visual hydraulic fracturing test system and an improved Digital Image Correlation (DIC) method. It systematically revealed the macroscopic control laws of topological nodes on crack initiation, propagation path, and peak pressure. The experimental results indicate that hydraulic crack initiation follows the “proximal-to-loading-end priority” rule. Macroscopically, the breakdown pressure shows a significant negative correlation with topological parameters (number of nodes, number of branches, normalized total fracture length). However, specific configurations (e.g., X-shaped nodes) can exhibit a configuration-strengthening effect due to dispersed stress concentration, leading to a higher breakdown pressure than simpler topological configurations. Discrete Element Method (DEM) simulations revealed the underlying mechanical essence at the meso-scale: the topological structure governs crack initiation behavior and initiation pressure by regulating the distribution of force chains and the mode of stress concentration within the rock mass. These findings advance the fundamental understanding of fracture–topology–property relationships in rock masses and provide insights for optimizing fluid-driven fracturing processes in engineered materials and reservoirs. Full article
24 pages, 515 KB  
Entry
Trinity Law Framework: Health Insurance Taxonomy
by David Mark Dror
Encyclopedia 2026, 6(1), 1; https://doi.org/10.3390/encyclopedia6010001 - 19 Dec 2025
Viewed by 100
Definition
Despite seven decades of international commitment—from the 1948 Universal Declaration of Human Rights through SDG 3.8—universal health coverage remains stubbornly out of reach. Two billion people, predominantly informal sector workers, lack access to sustainable health insurance. This entry explains the underlying cause: sustainable [...] Read more.
Despite seven decades of international commitment—from the 1948 Universal Declaration of Human Rights through SDG 3.8—universal health coverage remains stubbornly out of reach. Two billion people, predominantly informal sector workers, lack access to sustainable health insurance. This entry explains the underlying cause: sustainable health insurance requires specific behavioral and institutional conditions for collective action—conditions that existing health insurance models systematically fail to satisfy, thereby structurally excluding informal populations. The Trinity Law framework formalizes these conditions as three multiplicatively interacting requirements—Trust (T), Consensus (C), and Dual Benefit (DB)—expressed as S = T × C × DB. Empirical analysis of community-based health insurance schemes across 24 countries identifies a robust trust threshold (τ* ≈ 0.68) operating as a behavioral phase transition: below this level, cooperation collapses; above it, participation becomes self-sustaining. Cross-country evidence from 274 organizations across 155 countries confirms consensus thresholds (C* ≈ 0.59), while analysis of 158,763 observations validates dual benefit mechanisms. The multiplicative structure explains why partial reforms fail: weakness in any single component drives overall sustainability toward zero. Applied to health insurance, this framework distinguishes conventional systems—Bismarckian employment-based, Beveridgean tax-financed, and commercial health insurance from sustainable systems like participatory community-based microinsurance that satisfy all three Trinity Law conditions through participatory design, transparent governance, and aligned incentives. The persistent UHC gap reflects not implementation failures but fundamental design incompatibilities that the Trinity Law makes explicit. This entry has three objectives: first, it states the Trinity Law conditions; second, it summarizes the empirical evidence for each component; third, it applies the framework to classify major health insurance models. Supporting datasets and code are available in the referenced Zenodo repositories. The term ‘law’ follows the tradition of social science regularities like the ‘law of demand’: a robust empirical pattern with strong predictive validity, not a claim to physical certainty. Full article
(This article belongs to the Section Social Sciences)
Show Figures

Figure 1

19 pages, 22904 KB  
Article
Diffusion of Nanorods with Various Lengths and Rigidities in Cross-Linked Networks
by Bin Li and Pingcuozhuoga
Polymers 2026, 18(1), 3; https://doi.org/10.3390/polym18010003 - 19 Dec 2025
Viewed by 144
Abstract
We investigated diffusion of thin and thick nanorods with varying lengths and rigidities in cross-linked polymer networks using coarse-grained molecular dynamics (CGMD) simulations. Our results show that the translational diffusion of nanorods slows down with power scaling laws as their length increases, exhibiting [...] Read more.
We investigated diffusion of thin and thick nanorods with varying lengths and rigidities in cross-linked polymer networks using coarse-grained molecular dynamics (CGMD) simulations. Our results show that the translational diffusion of nanorods slows down with power scaling laws as their length increases, exhibiting a non-monotonic dependence on rigidity of thin nanorods, and decreases with the rigidity of thick nanorods. The sub-diffusion of nanorods is observed at short time scales, which becomes more pronounced for rigid nanorods. The nanorods show anisotropic diffusion behavior with favoring motion along their major axes in cross-linked networks, and the anisotropy enhances by increasing either rigidity or length of nanorods, especially for thick nanorods. The sub-diffusion behavior of nanorods is primarily due to the strong heterogeneity of motions perpendicular to major axes of nanorods, and the time scales of this heterogeneous diffusion increase with the length and rigidity of nanorods. In rotational dynamics, nanorods with higher rigidity rotate more slowly, and the effect is more evident in longer nanorods. The rotational diffusion coefficient follows a power scaling law with the rigidity of nanorods, when the effective length of a nanorod exceeds the mesh size of cross-linked network. The rotations of nanorods also display heterogeneous dynamics, in which the time scale of heterogeneous rotation increase with rigidity, and such heterogeneity is more pronounced in softer nanorods. Overall, our work elucidates the microscopic mechanisms governing both translational and rotational diffusion of nanorods in cross-linked networks. Full article
(This article belongs to the Section Polymer Networks and Gels)
Show Figures

Figure 1

19 pages, 3822 KB  
Article
Comparison of Artificial Neural Network-Based Fuzzy Logic Model and Analytical Model for the Prediction of Optimum Material Parameters in a Heat-Generating, Functionally Graded Solid Cylinder
by Ali Öztürk and Mustafa Tınkır
Appl. Sci. 2025, 15(24), 13259; https://doi.org/10.3390/app152413259 - 18 Dec 2025
Viewed by 60
Abstract
This study presents an artificial intelligence-based predictive framework as an efficient alternative to conventional analytical procedures for evaluating elastic–plastic thermal stresses in long functionally graded solid cylinders (FGSCs) subjected to uniform internal heat generation. A hybrid artificial neural network-based fuzzy logic (ANNBFL) model [...] Read more.
This study presents an artificial intelligence-based predictive framework as an efficient alternative to conventional analytical procedures for evaluating elastic–plastic thermal stresses in long functionally graded solid cylinders (FGSCs) subjected to uniform internal heat generation. A hybrid artificial neural network-based fuzzy logic (ANNBFL) model is developed to estimate dimensionless thermal load parameters at both the cylinder center and outer surface by learning from validated analytical reference solutions. The material properties, including yield strength, elastic modulus, thermal conductivity, and thermal expansion coefficient, are assumed to vary radially following a parabolic gradation law. Eight influential material parameters are incorporated as input variables to describe the coupled thermo-mechanical behavior of the FGSC. Multiple ANNBFL subnetworks are trained using analytically generated datasets and subsequently integrated into a unified prediction framework, enabling rapid and accurate stress field estimation without repeated analytical calculations. Model performance is systematically assessed by direct comparison with analytical solutions, demonstrating an overall prediction consistency of approximately 98.2%. The results confirm that the proposed ANNBFL approach provides a reliable, computationally efficient surrogate modeling tool for parametric evaluation and optimum material design of functionally graded cylindrical structures under thermal loading. Full article
Show Figures

Figure 1

19 pages, 8944 KB  
Article
Research on Integration Methods for Particle Position Updating in the Discrete Element Method
by Jun Liu, Pengbo Zhang and Yue Wang
Processes 2025, 13(12), 4024; https://doi.org/10.3390/pr13124024 - 12 Dec 2025
Viewed by 282
Abstract
The discrete element method (DEM) is widely used to simulate the mechanical behavior of granular materials. Particle motion is governed by Newton’s second law, and position updates rely on numerical integration, whose accuracy and efficiency directly influence both the simulation scale and result [...] Read more.
The discrete element method (DEM) is widely used to simulate the mechanical behavior of granular materials. Particle motion is governed by Newton’s second law, and position updates rely on numerical integration, whose accuracy and efficiency directly influence both the simulation scale and result reliability. In this study, three integration schemes—Verlet, central difference, and fourth-order Runge–Kutta—were implemented within an existing DEM framework to simulate the packing behavior of particles with varying shapes. Corresponding physical packing experiments were conducted, and numerical results were compared with experimental observations to evaluate differences in packing height, morphology, and process. Results show that the fourth-order Runge–Kutta scheme achieves the highest accuracy, with a packing height error of only 5.72% for spherical particles, albeit at a computational cost roughly 2–3 times that of the central difference scheme, making it suitable for high-precision, complex contact scenarios. In contrast, Verlet and central difference schemes are highly sensitive to particle shape, leading to considerable variation in simulation errors. The central difference approach is recommended for vertical displacement predictions in simple contact conditions, while Verlet is better suited for scenarios involving large instantaneous contact forces. Full article
(This article belongs to the Special Issue Simulation of Particle Flow and Discrete Element)
Show Figures

Figure 1

16 pages, 2904 KB  
Review
A Brief Review of the Electromigration Reliability for Sn-Bi-Based Solder Joints
by Jeongheon Lee and Jae B. Kwak
Electronics 2025, 14(24), 4895; https://doi.org/10.3390/electronics14244895 - 12 Dec 2025
Viewed by 180
Abstract
Electromigration (EM) presents a major reliability challenge in advanced electronic packaging as device scaling and rising power demands lead to higher current densities in solder joints. While eutectic Sn-58Bi solder is widely adopted as a low-temperature alternative for its energy efficiency and compatibility [...] Read more.
Electromigration (EM) presents a major reliability challenge in advanced electronic packaging as device scaling and rising power demands lead to higher current densities in solder joints. While eutectic Sn-58Bi solder is widely adopted as a low-temperature alternative for its energy efficiency and compatibility with heat-sensitive substrates, its heterogeneous microstructure renders it vulnerable to EM-induced degradation. This review summarizes recent progress in understanding the EM behavior of Sn-Bi solder joints. We first introduce lifetime prediction models based on Black’s law, emphasizing the influences of current density, Joule heating, and thermomigration. Subsequently, the microstructural mechanisms accelerating degradation, including phase segregation and the coarsening of intermetallic compounds (IMCs), are examined. Various alloying strategies are evaluated for their effectiveness in strengthening the solder matrix and suppressing atomic diffusion to improve EM resistance. The critical role of substrate metallization is also discussed, comparing how different surface finishes affect interfacial reactions and joint lifetimes. Additionally, operational methods such as current polarity reversal are explored as potential pathways to mitigate degradation. Finally, we conclude that the EM reliability of Sn-Bi solder joints depends on the combined effects of alloy chemistry, interfacial reactions, and operating conditions, and we suggest future research directions in advanced modeling and material design for next-generation electronic applications. Full article
Show Figures

Figure 1

21 pages, 3779 KB  
Article
Modeling Aquifer Compaction and Lateral Deformation Due to Groundwater Extraction: A Comparative Study Using Terzaghi’s and Biot’s Theories
by Guojun Chen, Qingyun Huang, Hongxiu Gong and Yankun Sun
Processes 2025, 13(12), 4006; https://doi.org/10.3390/pr13124006 - 11 Dec 2025
Viewed by 177
Abstract
Land subsidence caused by groundwater withdrawal remains a significant challenge in urbanized regions, requiring robust predictive models to manage its impact effectively. In this study, a set of coupled partial differential equations is formulated using Biot’s poroelasticity theory and Darcy’s law to model [...] Read more.
Land subsidence caused by groundwater withdrawal remains a significant challenge in urbanized regions, requiring robust predictive models to manage its impact effectively. In this study, a set of coupled partial differential equations is formulated using Biot’s poroelasticity theory and Darcy’s law to model the hydro-mechanical behavior of a multi-aquifer system. The numerical models capture the coupled dynamics of fluid flow and subsurface deformation induced by groundwater table depression. Hydraulic head reductions, vertical compaction, and lateral deformation patterns over a 10-year pumping period are systematically examined. The results manifest that greater hydraulic gradients near geological discontinuities, such as bedrock steps, induce localized deformation and stress redistribution. While Terzaghi’s model effectively predicts vertical compaction in simple systems, Biot’s model accounts for lateral strain and coupled feedback mechanisms, providing a more comprehensive analyses and understanding of subsidence phenomena. This study highlights the importance of coupled hydro-mechanical modeling for accurately predicting land subsidence and offers insights into managing groundwater extraction in geologically complex regions. Full article
(This article belongs to the Section Energy Systems)
Show Figures

Figure 1

17 pages, 4780 KB  
Article
Research on Equivalent Scale Analysis for On-Orbit Assembly of Ultra-Large Space Structures
by Dayu Zhang, Xiaofei Ma, Yang Li, Zexing Yu, Ruiwen Guo, Wenjin Liu, Sicheng Wang and Yongbo Ye
Materials 2025, 18(24), 5508; https://doi.org/10.3390/ma18245508 - 8 Dec 2025
Viewed by 191
Abstract
Ultra-large structures serve as core aerospace equipment for missions such as Earth observation and deep space exploration. With dimensions reaching hundreds of meters or even kilometers, they require advanced technologies, including on-orbit assembly, modular integration, and robot-assisted construction, to achieve high-precision structural formation [...] Read more.
Ultra-large structures serve as core aerospace equipment for missions such as Earth observation and deep space exploration. With dimensions reaching hundreds of meters or even kilometers, they require advanced technologies, including on-orbit assembly, modular integration, and robot-assisted construction, to achieve high-precision structural formation and stable operation. For on-orbit assembly of these structures, critical attention must be paid to their inherent vibration characteristics to evaluate on-orbit service stiffness and stability. Additionally, the static deformation behavior during assembly must be examined to assess the impact of assembly loads on overall structural deformation and surface accuracy. To efficiently evaluate the above-mentioned characteristics, an equivalent scale analysis method for the on-orbit assembly of space-based megastructures is established. Through theoretical modelling, it establishes scaling relationships between mechanical properties—such as structural natural vibration and static deformation—and module diameter dimensions. The numerical results indicate that halving the module diameter results in the natural frequency of the assembled structure increasing by about four times and the static deformation decreasing by about eight times, in agreement with the scaling law. This method enables accurate inference of the full-scale structure’s on-orbit mechanical behavior, thereby facilitating precise evaluation of typical mechanical characteristics during ultra-large structure on-orbit assembly. Full article
(This article belongs to the Special Issue Experimental Testing and Numerical Modelling for Structural Dynamics)
Show Figures

Figure 1

23 pages, 4131 KB  
Article
Discrete Element Simulations of Fracture Mechanism and Energy Evolution Characteristics of Typical Rocks Subjected to Impact Loads
by Ding Deng, Lianjun Guo, Yuling Li, Gaofeng Liu and Jiawei Hua
Appl. Sci. 2025, 15(23), 12847; https://doi.org/10.3390/app152312847 - 4 Dec 2025
Viewed by 334
Abstract
The dynamic fracture behavior of rocks subjected to impact loading is a fundamental issue within the field of rock dynamics. This study aims to construct microstructure models of heterogeneous minerals representative of various typical rocks and establish a coupled SHPB impact simulation system [...] Read more.
The dynamic fracture behavior of rocks subjected to impact loading is a fundamental issue within the field of rock dynamics. This study aims to construct microstructure models of heterogeneous minerals representative of various typical rocks and establish a coupled SHPB impact simulation system with FLAC-PFC to examine the mechanisms of fracture, energy dissipation law, and the characteristics of acoustic emission (AE) responses in rocks acted upon by impact loads. The main results obtained reveal the following: (i) The fracture mechanisms of various lithologies under impact loading exhibit common characteristics, predominantly behaving as composite failure mechanisms. The observed distribution characteristics are mixed and interwoven with shear-tension-implosion failures, with a tendency to aggregate from the boundaries towards the interior of samples. (ii) The AE fracture strength of various lithologies predominantly ranges from −8.25 to −5.25, with peak frequencies observed between −7 to −6. The sequence of AE-based B-values, ranked from highest to lowest, is as follows: red sandstone > green sandstone > slate > granite > blue sandstone > basalt. (iii) The T-k distribution for various lithologies follows CLVD (+)-first. (iv) A significant correlation exists between the energy-time density and the B-value. Rocks exhibiting high energy dissipation capacity are characterized primarily by small-amplitude AE events and small-scale fractures, whereas those with low energy dissipation capacity are mostly marked by large-amplitude AE events and large-scale fractures. These research findings provide a fairly solid theoretical basis for understanding the fracture mechanisms and energy dissipation behaviors of rocks subjected to impact loading. Full article
Show Figures

Figure 1

12 pages, 1394 KB  
Article
Power-Law Time Exponent n and Time-to-Failure in 4H-SiC MOSFETs: Beyond Fixed Reaction–Diffusion Theory
by Mamta Dhyani, Smriti Singh, Nir Tzhayek and Joseph B. Bernstein
Micromachines 2025, 16(12), 1351; https://doi.org/10.3390/mi16121351 - 28 Nov 2025
Viewed by 541
Abstract
This work investigates bias-temperature instability (BTI) in 1700 V 4H-SiC MOSFETs under realistic 1 MHz switching conditions with simultaneous gate and drain stress. Threshold-voltage measurements reveal that the degradation does not follow the classical Reaction–Diffusion behavior typically assumed for silicon devices. Instead, the [...] Read more.
This work investigates bias-temperature instability (BTI) in 1700 V 4H-SiC MOSFETs under realistic 1 MHz switching conditions with simultaneous gate and drain stress. Threshold-voltage measurements reveal that the degradation does not follow the classical Reaction–Diffusion behavior typically assumed for silicon devices. Instead, the power-law exponent n shows a clear increase at the largest negative gate bias (−10 V), indicating a field-driven trap-generation mechanism. Temperature-dependent stress tests further show a negative activation energy (−0.466 eV), consistent with degradation accelerating at lower temperatures due to suppressed detrapping. The results demonstrate that conventional silicon BTI models cannot be directly applied to SiC technologies and that fixed-n lifetime extrapolation leads to significant errors. A bias-dependent, field-driven framework for estimating time-to-failure is proposed, offering more accurate and practical reliability prediction for high-power SiC converter applications. Full article
(This article belongs to the Collection Women in Micromachines)
Show Figures

Figure 1

24 pages, 3431 KB  
Article
An Elastoplastic Theory-Based Load-Transfer Model for Axially Loaded Pile in Soft Soils
by Yijun Xiu, Haoyu Liu, Denghong Zhang, Xingbo Han and Lin Li
Buildings 2025, 15(23), 4300; https://doi.org/10.3390/buildings15234300 - 27 Nov 2025
Viewed by 287
Abstract
This study proposes the insufficient prediction accuracy of load–displacement behavior for pile foundations in soft soil regions by proposing an elastoplastic load-transfer model applicable to axially loaded piles in soft clay, aiming to enhance the prediction capability of shaft resistance mobilization. The model [...] Read more.
This study proposes the insufficient prediction accuracy of load–displacement behavior for pile foundations in soft soil regions by proposing an elastoplastic load-transfer model applicable to axially loaded piles in soft clay, aiming to enhance the prediction capability of shaft resistance mobilization. The model systematically incorporates the elastoplastic shear deformation of the soil within the plastic zone adjacent to the pile shaft and the small-strain stiffness degradation of the soil in the elastic zone. The elastoplastic constitutive relationship in the plastic zone is formulated using critical state theory, plastic potential theory, and the associated flow rule, whereas the nonlinear elastic shear deformation in the elastic zone is described based on Hooke’s law combined with a small-strain stiffness degradation model. The developed load-transfer function is embedded into an iterative computational framework to obtain the load–displacement response of piles in multilayered soft soils. The model is validated using field pile test data from Louisiana and Shanghai. The results show that the proposed model can reasonably reproduce the elastoplastic τz evolution along the pile shaft and provides a theoretically robust and practically applicable method for predicting the settlement behavior of piles in clayey soils. This approach offers significant engineering value for optimizing pile design, evaluating bearing capacity, and developing cost-efficient foundation solutions in soft soil regions. Nevertheless, the current applicability of the model is primarily limited to short and medium-length piles in saturated normally consolidated clay. Future work will focus on incorporating strain-softening mechanisms and extending the model to a wider range of soil types. Full article
Show Figures

Figure 1

23 pages, 3838 KB  
Article
Investigating the Role of Plastic and Poroelastoplastic Effects in Wellbore Strengthening Using a Fully Coupled Hydro-Mechanical Model
by Ernestos N. Sarris and Elias Gravanis
Appl. Sci. 2025, 15(23), 12556; https://doi.org/10.3390/app152312556 - 26 Nov 2025
Viewed by 229
Abstract
Wellbore instability during drilling in soft formations often leads to unwanted hydraulic fractures and lost circulation, resulting in non-productive time and elevated costs. The fracture initiation pressure (FIP) and fracture propagation pressure (FPP) are critical for managing these risks, particularly in narrow mud [...] Read more.
Wellbore instability during drilling in soft formations often leads to unwanted hydraulic fractures and lost circulation, resulting in non-productive time and elevated costs. The fracture initiation pressure (FIP) and fracture propagation pressure (FPP) are critical for managing these risks, particularly in narrow mud weight windows, yet industrial models overlook post-plugging stress behaviors at plug locations, where changes in stress concentration may initiate secondary fractures. This study introduces a fully coupled hydro-mechanical plane-strain (KGD) finite element model to examine fluid diffusion and deformation in fractured formations, emphasizing plastic and poroelastoplastic effects for wellbore strengthening. Fluid flow in the fracture follows lubrication theory for incompressible Newtonian fluids, while Darcy’s law governs porous media diffusion. Rock deformation adheres to Biot’s effective stress principle, extended to poroelastoplasticity via the Mohr–Coulomb criterion with associative flow. Simulations yield fracture dimensions, fluid pressures, in situ stress changes, and principal stresses during propagation and plugging, for both plastic and poroplastic cases. A new yield factor is proposed, derived from the Mohr–Coulomb criterion, that quantifies the risk of failure and reveals that fracture tips resist propagation through plastic and poroelastoplastic deformation, with the poroelastoplastic coupling amplifying back-stresses and dilation after plugging. Pore pressure evolution critically influences the fracture growth and plugging efficiency. These findings advance wellbore strengthening by optimizing lost circulation material plugs, bridging the gaps from elastic and poroelastic models, and offer practical tools for safer and more efficient plugging in soft rocks through modeling. Full article
(This article belongs to the Special Issue Rock Fracture Mechanics: From Theories to Practices)
Show Figures

Figure 1

28 pages, 8198 KB  
Article
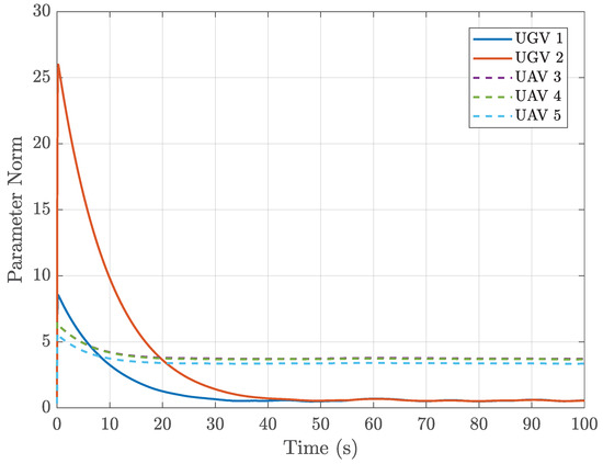
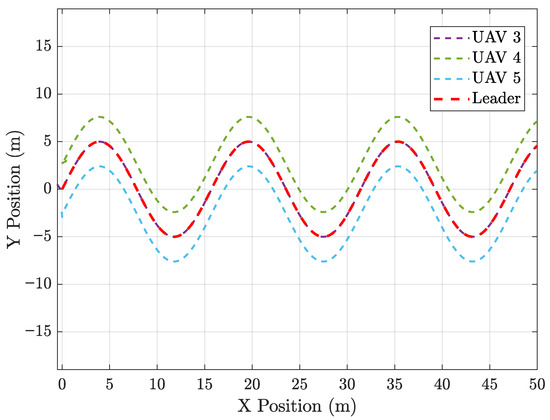
Prescribed-Time, Event-Triggered, Adaptive, Fault-Tolerant Formation Control of Heterogeneous Air–Ground Multi-Agent Systems Under Deception Attacks and Actuator Faults
by Jingli Huang, Junjiang Xie, Jie Huang and Shangkun Liu
Actuators 2025, 14(12), 575; https://doi.org/10.3390/act14120575 - 26 Nov 2025
Viewed by 281
Abstract
This paper investigates a distributed robust tracking control method with prescribed convergence time for heterogeneous air–ground multi-agent systems under the combined effects of deception attacks and actuator faults. Considering the corruption of state information caused by attacks, a time-varying constraint function is first [...] Read more.
This paper investigates a distributed robust tracking control method with prescribed convergence time for heterogeneous air–ground multi-agent systems under the combined effects of deception attacks and actuator faults. Considering the corruption of state information caused by attacks, a time-varying constraint function is first designed, and a command filtering mechanism is introduced. Through coordinate transformation, the disturbed state is indirectly estimated and safely fed back. To cope with actuator malfunctions leading to uncertain control effectiveness, a rationally designed adaptive law is developed for real-time identification and compensation of such uncertainties. Furthermore, within the backstepping control framework, the concept of time-varying constraints is integrated to propose an adaptive prescribed-time controller, transforming the tracking control problem into an error constraint form, thereby ensuring the system error converges within a specified range within a given time. To reduce communication load, the controller is implemented with an event-triggered mechanism, where control signals are updated only at trigger times, effectively avoiding Zeno behavior. Finally, the boundedness and stability of the closed-loop system are proven using Lyapunov methods. Simulation results demonstrate that this control strategy maintains stable and rapid heterogeneous formation tracking performance even in the presence of deception attacks and actuator faults. Full article
(This article belongs to the Section Control Systems)
Show Figures

Figure 1

33 pages, 3464 KB  
Article
Finite Element Models on Shear Behavior of Deep Beams Prepared Using Steel Fiber-Reinforced Recycled Coarse Aggregate Concrete
by Said Elkholy, Mohamed Salem and Ahmed Godat
Fibers 2025, 13(12), 160; https://doi.org/10.3390/fib13120160 - 26 Nov 2025
Viewed by 248
Abstract
Numerous experimental and numerical studies have extensively investigated the performance of reinforced deep beams made with natural coarse aggregate concrete. However, limited research has been carried out on reinforced deep beams made of concrete with coarse aggregate from recycled materials and steel fibers. [...] Read more.
Numerous experimental and numerical studies have extensively investigated the performance of reinforced deep beams made with natural coarse aggregate concrete. However, limited research has been carried out on reinforced deep beams made of concrete with coarse aggregate from recycled materials and steel fibers. The main goal of this research is to create an accurate finite element model that can mimic the behavior of deep beams using concrete with recycled coarse aggregate and different ratios of steel fibers. The suggested model represents the pre-peak, post-peak, confinement, and concrete-to-steel fiber bond behavior of steel fiber concrete, reinforcing steel, and loading plates by incorporating the proper structural components and constitutive laws. The deep beams’ nonlinear load–deformation behavior is simulated in displacement-controlled settings. In order to verify the model’s correctness, the ultimate loading capacity, load–deflection relationships, and failure mechanisms are compared between numerical predictions and experimental findings. The comparison outcomes of the performance of the beams demonstrate that the numerical model effectively predicts the behavior of deep beams constructed with recycled coarse aggregate concrete. The findings of the experiment and the numerical analysis exhibit a high degree of convergence, affirming the model’s capability to accurately simulate the performance of such beams. In light of how accurately the numerical predictions match the experimental results, an extensive parametric study is conducted to examine the impact of parameters on the performance of deep beams with different ratios of steel fibers, concrete compressive strength, type of steel fibers (short or long), and effective span-to-effective depth ratio. The effect of each parameter is examined relative to its effect on the fracture energy. Full article
Show Figures

Figure 1

16 pages, 8765 KB  
Article
Study on Crack Propagation Law in Strength Gradient Composite Rock Mass
by Yuantong Zhang, Xiufeng Zhang, Wentao Ren, Peng Gu, Yang Chen, Bo Wang and Bing Zhou
Processes 2025, 13(12), 3795; https://doi.org/10.3390/pr13123795 - 24 Nov 2025
Viewed by 336
Abstract
The study of mechanical response and crack propagation behavior of layered composite rock mass is helpful for the efficient extraction of geological energy and the safety and stability of underground space structures. The shale is a heterogeneous rock, which is often mixed with [...] Read more.
The study of mechanical response and crack propagation behavior of layered composite rock mass is helpful for the efficient extraction of geological energy and the safety and stability of underground space structures. The shale is a heterogeneous rock, which is often mixed with mudstone and sandstone. Studying the propagation law of cracks in layered composite rock mass can better serve underground engineering. In this paper, three different strength rock materials (coarse sandstone, red sandstone, and gray sandstone) were spliced together to make three-point bending specimens with prefabricated cracks in the middle, and three-point bending experiments under different loading rates were carried out. The digital image correlation method was used to visualize the strain distribution in the three-point bending experiment, and the difference in crack propagation in different layered composite rock masses was studied. The numerical simulation is established by the cohesive element, and the correctness of the simulation is verified by the displacement-load data. Then the crack propagation speed under different conditions is studied. The results show that there are differences and similarities in the crack propagation process in different strength gradient composite rock masses. When the crack propagates from strong to weak, the crack tip receives more complex tensile shear force, which facilitates the crack crossing the interface. As the loading speed increases, the earlier the prefabricated crack initiates, the shorter the time it stays at the joint surface. When the crack propagates from strong to weak, the crack propagation is more penetrating. Full article
Show Figures

Figure 1

Back to TopTop