Sign in to use this feature.

Years

Between: -

Subjects

remove_circle_outline
remove_circle_outline
remove_circle_outline
remove_circle_outline
remove_circle_outline
remove_circle_outline
remove_circle_outline
remove_circle_outline

Journals

Article Types

Countries / Regions

Search Results (16)

Search Parameters:
Keywords = measure of non-p-convexity

Order results
Result details
Results per page
Select all
Export citation of selected articles as:
22 pages, 4016 KB  
Article
Integrating VNIR–SWIR Spectroscopy and Handheld XRF for Enhanced Mineralogical Characterization of Phosphate Mine Waste Rocks in Benguerir, Morocco: Implications for Sustainable Mine Reclamation
by Abdelhak El Mansour, Ahmed Najih, Jamal-Eddine Ouzemou, Ahmed Laamrani, Abdellatif Elghali, Rachid Hakkou and Mostafa Benzaazoua
Sensors 2026, 26(1), 2; https://doi.org/10.3390/s26010002 - 19 Dec 2025
Viewed by 805
Abstract
Phosphate is a crucial non-renewable mineral resource, mainly utilized in producing fertilizers that support global agriculture. As phosphorus is an indispensable nutrient for plant growth, phosphate holds a key position in ensuring food security. While deposits are distributed worldwide, the largest reserves are [...] Read more.
Phosphate is a crucial non-renewable mineral resource, mainly utilized in producing fertilizers that support global agriculture. As phosphorus is an indispensable nutrient for plant growth, phosphate holds a key position in ensuring food security. While deposits are distributed worldwide, the largest reserves are concentrated in Morocco. The Benguerir phosphate mining in Morocco generates heterogeneous waste (i.e., including overburden, tailings, and phosphogypsum) that complicates management and valorization, which is the beneficial reuse or value recovery from waste materials (e.g., use in cover systems, buffering, or other engineered applications). Therefore, it is essential to characterize their mineralogical properties to evaluate their environmental impact and possibilities for reuse or site revegetation. To do so, we integrate VNIR–SWIR reflectance spectroscopy with HandHeld X-ray fluorescence (HHXRF) to characterize phosphate waste rock and assess its reuse potential. For this purpose, field samples (n = 104) were collected, and their spectral reflectance was measured using an ASD FieldSpec 4 spectroradiometer (350–2500 nm) under standardized laboratory conditions. Spectra were processed (Savitzky–Golay smoothing, convex-hull continuum removal) and matched to ECOSTRESS library references; across the dataset, library matching achieved mean RMSE = 0.15 ± 0.053 (median 0.145; 0.085–0.350), median SAM = 0.134 rad, median SID = 0.029, and mean R2 = 0.748 ± 0.170, with 84% of spectra yielding R2 > 0.70. In parallel, HHXRF major and trace elements were measured on all samples to corroborate spectral interpretations. Together, these analyses resolve carbonate–clay–phosphate assemblages (dolomite commonly dominant, with illite/smectite–kaolinite, quartz, and residual carbonate-fluorapatite varying across samples). Elemental ratios (e.g., Mg/Ca distinguishing dolomite from calcite; K/Al indicating illite) reinforce spectral trends, and phosphate indicators delineate localized enrichment (P2O5 up to 23.86 wt % in apatite-rich samples). Overall, the combined workflow is rapid, low-impact, and reproducible, yielding coherent mineralogical patterns that align across spectroscopic and geochemical lines of evidence and providing actionable inputs for selective screening, targeted material reuse, and more sustainable mine reclamation planning. Full article
(This article belongs to the Special Issue Feature Papers in Smart Sensing and Intelligent Sensors 2025)
Show Figures

Figure 1

20 pages, 386 KB  
Article
Measure of Non-p-Convexity in p-Seminormed Spaces
by Ghadah Albeladi and Naseer Shahzad
Mathematics 2025, 13(23), 3807; https://doi.org/10.3390/math13233807 - 27 Nov 2025
Viewed by 235
Abstract
This paper discusses two measures of non-p-convexity and aims to develop them for applications in p-normed spaces. We also extend and generalize some important properties and well-known results. Full article
(This article belongs to the Section C: Mathematical Analysis)
Show Figures

Figure 1

29 pages, 569 KB  
Article
Born’s Rule from Contextual Relative-Entropy Minimization
by Arash Zaghi
Entropy 2025, 27(9), 898; https://doi.org/10.3390/e27090898 - 25 Aug 2025
Viewed by 2379
Abstract
We give a variational characterization of the Born rule. For each measurement context, we project a quantum state ρ onto the corresponding abelian algebra by minimizing Umegaki relative entropy; Petz’s Pythagorean identity makes the dephased state the unique local minimizer, so the Born [...] Read more.
We give a variational characterization of the Born rule. For each measurement context, we project a quantum state ρ onto the corresponding abelian algebra by minimizing Umegaki relative entropy; Petz’s Pythagorean identity makes the dephased state the unique local minimizer, so the Born weights pC(i)=Tr(ρPi) arise as a consequence, not an assumption. Globally, we measure contextuality by the minimum classical Kullback–Leibler distance from the bundle {pC(ρ)} to the noncontextual polytope, yielding a convex objective Φ(ρ). Thus, Φ(ρ)=0 exactly when a sheaf-theoretic global section exists (noncontextuality), and Φ(ρ)>0 otherwise; the closest noncontextual model is the classical I-projection of the Born bundle. Assuming finite dimension, full-rank states, and rank-1 projective contexts, the construction is unique and non-circular; it extends to degenerate PVMs and POVMs (via Naimark dilation) without change to the statements. Conceptually, the work unifies information-geometric projection, the presheaf view of contextuality, and categorical classical structure into a single optimization principle. Compared with Gleason-type, decision-theoretic, or envariance approaches, our scope is narrower but more explicit about contextuality and the relational, context-dependent status of quantum probabilities. Full article
(This article belongs to the Special Issue Quantum Foundations: 100 Years of Born’s Rule)
Show Figures

Figure 1

13 pages, 345 KB  
Article
Novel Iterative Reweighted 1 Minimization for Sparse Recovery
by Qi An, Li Wang and Nana Zhang
Mathematics 2025, 13(8), 1219; https://doi.org/10.3390/math13081219 - 8 Apr 2025
Viewed by 1247
Abstract
Data acquisition and high-dimensional signal processing often require the recovery of sparse representations of signals to minimize the resources needed for data collection. p quasi-norm minimization excels in exactly reconstructing sparse signals from fewer measurements, but it is NP-hard and challenging to [...] Read more.
Data acquisition and high-dimensional signal processing often require the recovery of sparse representations of signals to minimize the resources needed for data collection. p quasi-norm minimization excels in exactly reconstructing sparse signals from fewer measurements, but it is NP-hard and challenging to solve. In this paper, we propose two distinct Iteratively Re-weighted 1 Minimization (IR1) formulations for solving this non-convex sparse recovery problem by introducing two novel reweighting strategies. These strategies ensure that the ϵ-regularizations adjust dynamically based on the magnitudes of the solution components, leading to more effective approximations of the non-convex sparsity penalty. The resulting IR1 formulations provide first-order approximations of tighter surrogates for the original p quasi-norm objective. We prove that both algorithms converge to the true sparse solution under appropriate conditions on the sensing matrix. Our numerical experiments demonstrate that the proposed IR1 algorithms outperform the conventional approach in enhancing recovery success rate and computational efficiency, especially in cases with small values of p. Full article
Show Figures

Figure 1

13 pages, 1913 KB  
Article
Effects of 3D Postural Correction and Abdominal Muscle Contraction on the Symmetry of the Transverse Abdominis and Spinal Alignment in Patients with Idiopathic Scoliosis
by Sung-Young Yoon and Sang-Yeol Lee
Int. J. Environ. Res. Public Health 2023, 20(6), 5016; https://doi.org/10.3390/ijerph20065016 - 12 Mar 2023
Cited by 3 | Viewed by 3585
Abstract
This study aimed to investigate the effectiveness of 3D postural correction (3DPC) using corrective cushions (CCs) and abdominal muscle contraction (AMC) on the thickness symmetry of the transversus abdominis (TrA) and spinal alignment in patients with idiopathic scoliosis (IS). In the first experiment, [...] Read more.
This study aimed to investigate the effectiveness of 3D postural correction (3DPC) using corrective cushions (CCs) and abdominal muscle contraction (AMC) on the thickness symmetry of the transversus abdominis (TrA) and spinal alignment in patients with idiopathic scoliosis (IS). In the first experiment, ultrasound measurements were taken of the TrA thickness on both the convex and concave sides of the lumbar curve in the supine position during AMC and non-AMC without 3DPC, and during AMC and non-AMC with 3DPC using CCs, in 11 IS patients. In the second experiment, 37 IS patients participated in a four-week 3DPC exercise program that aimed to maintain TrA thickness symmetry based on the results of the first experiment. The study found that TrA thickness symmetry significantly increased after 3DPC using CCs and combined with AMC (p < 0.05). Additionally, the Cobb angles and trunk rotation angles showed significant decreases, and trunk expansion showed a significant increase (p < 0.05). These results indicate that the simultaneous application of 3DPC and AMC is the most effective way to achieve TrA thickness symmetry in IS patients. Therefore, 3DPC and AMC should be considered as crucial elements in exercise interventions for IS patients. Full article
Show Figures

Figure 1

12 pages, 2281 KB  
Article
Ocular Ultrasonography in Healthy Calves with Different Transducers
by Giuliano Borriello, Flaminia Valentini, Mauro Rampinelli, Sara Ferrini, Giulia Cagnotti, Antonio D’angelo and Claudio Bellino
Animals 2023, 13(4), 742; https://doi.org/10.3390/ani13040742 - 19 Feb 2023
Viewed by 2153
Abstract
Ocular ultrasonography is seldom performed in cattle. Here, we compared three ultrasound probes (linear, convex, transrectal gynecological) for the measurement of eight eye biometry parameters on vertical and horizontal scans. The sample population was 20 healthy calves (n = 10 Holstein, n = [...] Read more.
Ocular ultrasonography is seldom performed in cattle. Here, we compared three ultrasound probes (linear, convex, transrectal gynecological) for the measurement of eight eye biometry parameters on vertical and horizontal scans. The sample population was 20 healthy calves (n = 10 Holstein, n = 10 Piedmontese breed). Intragroup (same probe for vertical vs. horizontal scanning) and intergroup (different probes measuring the same biometric parameter) comparisons were performed using Student’s t-test and the Mann–Whitney U test. Statistical significance was set at p ≤ 0.05. Intragroup comparison revealed few significant differences. Ultrasound examination with the convex transducer detected more differences than either of the two other probes on vertical (linear six out of eight; transrectal gynecological four out of eight) and horizontal (linear six out of eight; transrectal gynecological six out of eight) scans. Similar results were obtained for both breeds. More non-valuable parameters on the horizontal (77 out of 320, 24%) and the vertical (85 out of 320, 26%) (p ≤ 0.001) scans were obtained with the convex transducer. Both linear transducers were found comparable for ocular ultrasonography in field conditions. However, given its widespread application in the field, the transrectal gynecological transducer may offer veterinarians the added advantage of familiarity and ease-of-use without any additional costs. Full article
(This article belongs to the Special Issue Diagnostic Imaging Applied to the Internal Medicine of Ruminants)
Show Figures

Figure 1

17 pages, 953 KB  
Article
Prospective Evaluation of Children with Robin Sequence following Tübingen Palatal Plate Therapy
by Josephine Effert, Simone Uhlig, Cornelia Wiechers, Mirja Quante, Christian F. Poets, Matthias C. Schulz, Siegmar Reinert, Michael Krimmel, Bernd Koos and Christina Weise
J. Clin. Med. 2023, 12(2), 448; https://doi.org/10.3390/jcm12020448 - 5 Jan 2023
Cited by 16 | Viewed by 10744
Abstract
Background: To assess the long-term functional orthodontic outcome of the Tübingen palatal plate (TPP) in children with Robin sequence (RS) in comparison to age- and sex-matched healthy controls. Methods: Between 09/2019 and 10/2020, we performed orthodontic assessments in 41 children at our Department [...] Read more.
Background: To assess the long-term functional orthodontic outcome of the Tübingen palatal plate (TPP) in children with Robin sequence (RS) in comparison to age- and sex-matched healthy controls. Methods: Between 09/2019 and 10/2020, we performed orthodontic assessments in 41 children at our Department of Orthodontics. Included were patients with RS (17 non-syndromic; four syndromic) and healthy controls (n = 22, average age in both groups 9.9 y). Facial analyses of 2D images, digital study casts and cephalometric measurements were made. Results: The orthodontic examinations showed no statistically significant group differences regarding functional extraoral, intraoral and pharyngeal parameters, or in skeletal patterns. The relationship between the upper and lower incisors was significantly increased (overjet 4 (2–10) vs. 3 (0–9) mm; p = 0.01) with a significant deficit in the lower face proportions (Jaw Index 4.15 (1.9–9.6) vs. 2.98 (0–9); p = 0.02; Facial convexity angle 157 (149–173) vs. 159 (149–170); p = 0.01). Conclusion: Children with RS treated with the TPP showed normal long-term functional orthodontic outcomes, thanks to the functional adaption of the stomatognathic system. However, soft tissue growth did not completely match skeletal growth, resulting in a more convex facial profile. Full article
(This article belongs to the Section Dentistry, Oral Surgery and Oral Medicine)
Show Figures

Figure 1

11 pages, 1111 KB  
Article
Non-Invasive Evaluation of Kidney Elasticity and Viscosity in a Healthy Cohort
by Felix-Mihai Maralescu, Felix Bende, Ioan Sporea, Alina Popescu, Roxana Sirli, Adalbert Schiller, Ligia Petrica, Bogdan Miutescu, Andreea Borlea, Alexandru Popa, Madalina Bodea and Flaviu Bob
Biomedicines 2022, 10(11), 2859; https://doi.org/10.3390/biomedicines10112859 - 8 Nov 2022
Cited by 10 | Viewed by 2728
Abstract
Introduction: There is currently a lack of published data on kidney elasticity and viscosity. Non-invasive techniques, such as two-dimensional shear-wave elastography (2D-SWE PLUS) and viscosity plane-wave ultrasound (Vi PLUS), have surfaced as new detection methods, which, thanks to efficient processing software, are [...] Read more.
Introduction: There is currently a lack of published data on kidney elasticity and viscosity. Non-invasive techniques, such as two-dimensional shear-wave elastography (2D-SWE PLUS) and viscosity plane-wave ultrasound (Vi PLUS), have surfaced as new detection methods, which, thanks to efficient processing software, are expected to improve renal stiffness and viscosity measurements. This study aims to be the first one to assess the normal range values in normal renal function subjects and to investigate the factors that impact them. Methods: We conducted a cross-sectional study employing 50 participants (29 women and 21 men) with a mean age of 42.22 ± 13.17, a mean estimated glomerular filtration rate (eGFR) of 97.12 ± 11 mL/min/1.73 m2, a mean kidney length of 10.16 ± 0.66 cm, and a mean body mass index (BMI) of 24.24 ± 3.98. With a C6-1X convex transducer and the Ultra-FastTM software available on the Hologic Aixplorer Mach 30 ultrasound system, we acquired five measurements of renal cortical stiffness and viscosity (achieved from five distinct images in the middle part of the subcapsular cortex) from each kidney. The ten measurements’ median values correlated with the participant’s demographical, biological, and clinical parameters. Results: The mean kidney elasticity was 31.88 ± 2.89 kiloPascal (kPa), and the mean viscosity was 2.44 ± 0.57 Pascal.second (Pa.s) for a mean measurement depth 4.58 ± 1.02 cm. Renal stiffness seemed to be influenced by age (r = −0.7047, p < 0.0001), the measurement depth (r = −0.3776, p = 0.0075), and eGFR (r = 0.6101, p < 0.0001) but not by BMI (r = −0.2150, p = 0.1338), while viscosity appeared to be impacted by age (r = −0.4251, p = 0.0021), eGFR (r = 0.4057, p = 0.0038), the measurement depth (r = −0.4642, p = 0.0008), and BMI (r = −0.3676, p = 0.0086). The results of the one-way ANOVA used to test the differences in the variables among the three age sub-groups are statistically significant for both 2D-SWE PLUS (p < 0.001) and Vi PLUS (p = 0.015). The method found good intra-operator reproducibility for the 2D-SWE PLUS measurements, with an ICC of 0.8365 and a 95% CI of 0.7512 to 0.8990, and for the Vi PLUS measurements, with an ICC of 0.9 and a 95% CI of 0.8515 to 0.9397. Conclusions: Renal stiffness and viscosity screening may become an efficacious, low-cost way to gather supplemental diagnostic data from patients with chronic kidney disease (CKD). The findings demonstrate that these non-invasive methods are highly feasible and not influenced by gender and that their values correlate with renal function and decrease with age progression. Nevertheless, more research is required to ascertain their place in clinical practice. Full article
Show Figures

Figure 1

24 pages, 4125 KB  
Article
Phenotypic Variability of Root System Architecture Traits for Drought Tolerance among Accessions of Citron Watermelon (Citrullus lanatus var. citroides (L.H. Bailey)
by Takudzwa Mandizvo, Alfred Oduor Odindo, Jacob Mashilo, Julia Sibiya and Sascha Lynn Beck-Pay
Plants 2022, 11(19), 2522; https://doi.org/10.3390/plants11192522 - 26 Sep 2022
Cited by 7 | Viewed by 2959
Abstract
Citron watermelon (Citrullus lanatus var. citroides) is a drought-tolerant cucurbit crop widely grown in sub-Saharan Africa in arid and semi-arid environments. The species is a C3 xerophyte used for multiple purposes, including intercropping with maize, and has a deep taproot system. [...] Read more.
Citron watermelon (Citrullus lanatus var. citroides) is a drought-tolerant cucurbit crop widely grown in sub-Saharan Africa in arid and semi-arid environments. The species is a C3 xerophyte used for multiple purposes, including intercropping with maize, and has a deep taproot system. The deep taproot system plays a key role in the species’ adaptation to dry conditions. Understanding the root system development of this crop could be useful to identify traits for breeding water-use efficient and drought-tolerant varieties. This study compared the root system architecture of citron watermelon accessions under water-stress conditions. Nine selected and drought-tolerant citron watermelon accessions were grown under non-stress (NS) and water stress (WS) conditions using the root rhizotron procedure in a glasshouse. The following root system architecture (RSA) traits were measured: root system width (RSW), root system depth (RSD), convex hull area (CHA), total root length (TRL), root branch count (RBC), total root volume (TRV), leaf area (LA), leaf number (LN), first seminal root length (FSRL), seminal root angle (SRA), root dry mass (RDM), shoot dry mass (SDM), root–shoot mass ratio (RSM), root mass ratio (RMR), shoot mass ratio (SMR) and root tissue density (RTD). The data collected on RSA traits were subjected to an analysis of variance (ANOVA), correlation and principal component analyses. ANOVA revealed a significant (p < 0.05) accession × water stress interaction effect for studied RSA traits. Under WS, RDM exhibited significant and positive correlations with RSM (r = 0.65), RMR (r = 0.66), RSD (r = 0.66), TRL (r = 0.60), RBC (r = 0.72), FSRL (r = 0.73) and LN (r = 0.70). The principal component analysis revealed high loading scores for the following RSA traits: RSW (0.89), RSD (0.97), TRL (0.99), TRV (0.90), TRL (0.99), RMR (0.96) and RDM (0.76). In conclusion, the study has shown that the identified RSA traits could be useful in crop improvement programmes for citron watermelon genotypes with enhanced drought adaptation for improved yield performance under drought-prone environments. Full article
(This article belongs to the Special Issue Structure and Function of Roots)
Show Figures

Figure 1

12 pages, 1899 KB  
Communication
An Adaptive Lp Norm Minimization Algorithm for Direction of Arrival Estimation
by Lutao Liu and Zejing Rao
Remote Sens. 2022, 14(3), 766; https://doi.org/10.3390/rs14030766 - 7 Feb 2022
Cited by 18 | Viewed by 3315
Abstract
In this paper, we propose a new direction of arrival (DOA) estimation algorithm, in which DOA estimation is achieved by finding the sparsest support set of multiple measurement vectors (MMV) in an over-complete dictionary. The proposed algorithm is based on p norm [...] Read more.
In this paper, we propose a new direction of arrival (DOA) estimation algorithm, in which DOA estimation is achieved by finding the sparsest support set of multiple measurement vectors (MMV) in an over-complete dictionary. The proposed algorithm is based on p norm minimization, which belongs to non-convex optimization. Therefore, the quasi-Newton method is used to converge the iterative process. There are two advantages of this algorithm: one is the higher possibility and resolution of distinguishing closely spaced sources, and the other is the adaptive regularization parameter adjustment. Moreover, an accelerating strategy is applied in the computation, and a weighted method of the proposed algorithm is also introduced to improve the accuracy. We conducted experiments to validate the effectiveness of the proposed algorithm. The performance was compared with several popular DOA estimation algorithms and the Cramer–Rao bound (CRB). Full article
(This article belongs to the Special Issue Recent Advances in Signal Processing and Radar for Remote Sensing)
Show Figures

Graphical abstract

14 pages, 669 KB  
Article
Effect of Compensatory Mechanisms on Postural Disturbances and Musculoskeletal Pain in Elite Sitting Volleyball Players: Preparation of a Compensatory Intervention
by Eliza Gaweł and Anna Zwierzchowska
Int. J. Environ. Res. Public Health 2021, 18(19), 10105; https://doi.org/10.3390/ijerph181910105 - 26 Sep 2021
Cited by 22 | Viewed by 4562
Abstract
The aim of the study was to identify the effect of compensatory mechanisms on the prevalence of sagittal spinal curvature deformity and musculoskeletal pain and to assess the interrelationships between those components in sitting volleyball players. Twenty-one elite Polish sitting volleyball players (age [...] Read more.
The aim of the study was to identify the effect of compensatory mechanisms on the prevalence of sagittal spinal curvature deformity and musculoskeletal pain and to assess the interrelationships between those components in sitting volleyball players. Twenty-one elite Polish sitting volleyball players (age = 34.1 ± 7.5, BM = 77.9 ± 16.0) participated in the study in which direct participatory systematic observation and a non-invasive method were used. Both objective (anthropometric, spinal curvature–Idiag M360) and subjective (musculoskeletal ailments–NMQ = 7) measurements were performed. The Statistica 13.3 software package was used for statistical analyses. The neck, lower back (43%), and upper back (38%) were the most frequently reported painful areas. Of all participants, 76% reported sagittal spinal deformities. In the habitual position, the results indicated moderate correlations (r = 0.5, p < 0.05) between the lumbar concavity of the back and low back pain (LBP) and between thoracic convexity and LBP (r = 0.4, p < 0.05). Internal and external compensation have an effect on the prevalence of spinal curvature deformities in the sagittal plane, with thoracic hyperkyphosis (38%) and lumbar hyperlordosis (33%) being the most common. More severe lower and upper back pain were correlated with greater angles of thoracic kyphosis and lumbar lordosis in the habitual position. Full article
(This article belongs to the Special Issue Training for Optimal Sports Performance and Health)
Show Figures

Figure 1

18 pages, 1684 KB  
Article
Kernel Risk-Sensitive Mean p-Power Error Algorithms for Robust Learning
by Tao Zhang, Shiyuan Wang, Haonan Zhang, Kui Xiong and Lin Wang
Entropy 2019, 21(6), 588; https://doi.org/10.3390/e21060588 - 13 Jun 2019
Cited by 10 | Viewed by 3818
Abstract
As a nonlinear similarity measure defined in the reproducing kernel Hilbert space (RKHS), the correntropic loss (C-Loss) has been widely applied in robust learning and signal processing. However, the highly non-convex nature of C-Loss results in performance degradation. To address this issue, a [...] Read more.
As a nonlinear similarity measure defined in the reproducing kernel Hilbert space (RKHS), the correntropic loss (C-Loss) has been widely applied in robust learning and signal processing. However, the highly non-convex nature of C-Loss results in performance degradation. To address this issue, a convex kernel risk-sensitive loss (KRL) is proposed to measure the similarity in RKHS, which is the risk-sensitive loss defined as the expectation of an exponential function of the squared estimation error. In this paper, a novel nonlinear similarity measure, namely kernel risk-sensitive mean p-power error (KRP), is proposed by combining the mean p-power error into the KRL, which is a generalization of the KRL measure. The KRP with p = 2 reduces to the KRL, and can outperform the KRL when an appropriate p is configured in robust learning. Some properties of KRP are presented for discussion. To improve the robustness of the kernel recursive least squares algorithm (KRLS) and reduce its network size, two robust recursive kernel adaptive filters, namely recursive minimum kernel risk-sensitive mean p-power error algorithm (RMKRP) and its quantized RMKRP (QRMKRP), are proposed in the RKHS under the minimum kernel risk-sensitive mean p-power error (MKRP) criterion, respectively. Monte Carlo simulations are conducted to confirm the superiorities of the proposed RMKRP and its quantized version. Full article
(This article belongs to the Special Issue Information Theoretic Learning and Kernel Methods)
Show Figures

Figure 1

13 pages, 821 KB  
Article
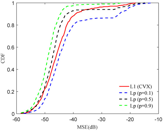
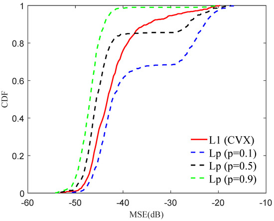
A Hybrid Non-Convex Compressed Sensing Approach for Array Diagnosis Using Sparse Promoting Norm with Perturbation Technique
by Wei Li, Weibo Deng, Qiang Yang and M.D. Migliore
Electronics 2018, 7(12), 350; https://doi.org/10.3390/electronics7120350 - 24 Nov 2018
Cited by 5 | Viewed by 2572
Abstract
The use of p ( 0 < p < 1 ) norm minimization will improve array diagnosis performance provided that the issue of local minima associated to its non-convex nature is properly handled. In order to overcome this deficiency, a hybrid method [...] Read more.
The use of p ( 0 < p < 1 ) norm minimization will improve array diagnosis performance provided that the issue of local minima associated to its non-convex nature is properly handled. In order to overcome this deficiency, a hybrid method using random perturbation and non-convex optimization is investigated in this paper. Although it acquires a higher computational time, the trade-off between an accurate diagnosis and the computational burden appears to be acceptable. Theoretical analysis and simulation results demonstrate that the proposed method overcomes this disadvantage effectively and achieves better performance compared to the standard 1 norm minimization with a smaller number of far-field measurements, suggesting that the proposed method can be used to improve the performance of array diagnosis. Full article
(This article belongs to the Section Microwave and Wireless Communications)
Show Figures

Figure 1

11 pages, 2283 KB  
Article
Sparse Coding Algorithm with Negentropy and Weighted 1-Norm for Signal Reconstruction
by Yingxin Zhao, Zhiyang Liu, Yuanyuan Wang, Hong Wu and Shuxue Ding
Entropy 2017, 19(11), 599; https://doi.org/10.3390/e19110599 - 8 Nov 2017
Cited by 7 | Viewed by 4169
Abstract
Compressive sensing theory has attracted widespread attention in recent years and sparse signal reconstruction has been widely used in signal processing and communication. This paper addresses the problem of sparse signal recovery especially with non-Gaussian noise. The main contribution of this paper is [...] Read more.
Compressive sensing theory has attracted widespread attention in recent years and sparse signal reconstruction has been widely used in signal processing and communication. This paper addresses the problem of sparse signal recovery especially with non-Gaussian noise. The main contribution of this paper is the proposal of an algorithm where the negentropy and reweighted schemes represent the core of an approach to the solution of the problem. The signal reconstruction problem is formalized as a constrained minimization problem, where the objective function is the sum of a measurement of error statistical characteristic term, the negentropy, and a sparse regularization term, p-norm, for 0 < p < 1. The p-norm, however, leads to a non-convex optimization problem which is difficult to solve efficiently. Herein we treat the p -norm as a serious of weighted 1-norms so that the sub-problems become convex. We propose an optimized algorithm that combines forward-backward splitting. The algorithm is fast and succeeds in exactly recovering sparse signals with Gaussian and non-Gaussian noise. Several numerical experiments and comparisons demonstrate the superiority of the proposed algorithm. Full article
(This article belongs to the Section Information Theory, Probability and Statistics)
Show Figures

Figure 1

12 pages, 254 KB  
Article
The Solvency II Standard Formula, Linear Geometry, and Diversification
by Joachim Paulusch
J. Risk Financial Manag. 2017, 10(2), 11; https://doi.org/10.3390/jrfm10020011 - 18 May 2017
Cited by 3 | Viewed by 6563
Abstract
The core of risk aggregation in the Solvency II Standard Formula is the so-called square root formula. We argue that it should be seen as a means for the aggregation of different risks to an overall risk rather than being associated with variance-covariance [...] Read more.
The core of risk aggregation in the Solvency II Standard Formula is the so-called square root formula. We argue that it should be seen as a means for the aggregation of different risks to an overall risk rather than being associated with variance-covariance based risk analysis. Considering the Solvency II Standard Formula from the viewpoint of linear geometry, we immediately find that it defines a norm and therefore provides a homogeneous and sub-additive tool for risk aggregation. Hence, Euler’s Principle for the reallocation of risk capital applies and yields explicit formulas for capital allocation in the framework given by the Solvency II Standard Formula. This gives rise to the definition of diversification functions, which we define as monotone, subadditive, and homogeneous functions on a convex cone. Diversification functions constitute a class of models for the study of the aggregation of risk and diversification. The aggregation of risk measures using a diversification function preserves the respective properties of these risk measures. Examples of diversification functions are given by seminorms, which are monotone on the convex cone of non-negative vectors. Each L p norm has this property, and any scalar product given by a non-negative positive semidefinite matrix does as well. In particular, the Standard Formula is a diversification function and hence a risk measure that preserves homogeneity, subadditivity and convexity. Full article
Back to TopTop