Sign in to use this feature.

Years

Between: -

Subjects

remove_circle_outline
remove_circle_outline
remove_circle_outline
remove_circle_outline
remove_circle_outline
remove_circle_outline
remove_circle_outline
remove_circle_outline
remove_circle_outline

Journals

remove_circle_outline
remove_circle_outline
remove_circle_outline
remove_circle_outline
remove_circle_outline
remove_circle_outline
remove_circle_outline
remove_circle_outline
remove_circle_outline
remove_circle_outline
remove_circle_outline
remove_circle_outline

Article Types

Countries / Regions

remove_circle_outline
remove_circle_outline
remove_circle_outline
remove_circle_outline
remove_circle_outline

Search Results (606)

Search Parameters:
Keywords = matter wave

Order results
Result details
Results per page
Select all
Export citation of selected articles as:
18 pages, 1467 KB  
Article
A Possible Connection Between Quantum Mechanics and Spacetime
by Hong Wang and Jin Wang
Quantum Rep. 2026, 8(1), 21; https://doi.org/10.3390/quantum8010021 - 11 Mar 2026
Abstract
Recent developments in holographic gravity suggest that spacetime structure may be deeply related to quantum mechanics. In this work, from a different perspective, we demonstrate that wave–particle duality can be interpreted as the uncertainty of spacetime for the particle. Summarizing all possible trajectories [...] Read more.
Recent developments in holographic gravity suggest that spacetime structure may be deeply related to quantum mechanics. In this work, from a different perspective, we demonstrate that wave–particle duality can be interpreted as the uncertainty of spacetime for the particle. Summarizing all possible trajectories in conventional path integral quantum mechanics can be transformed into the summation of all possible spacetime metrics. Furthermore, we emphasize that in conventional quantum gravity, it is possible that the classical matter fields correspond to quantum spacetime. We argue that this is not quite reasonable and propose a new path integral quantum gravity model based on the new interpretation of wave–particle duality. In this model, the aforementioned drawback of conventional quantum gravity naturally disappears. Full article
Show Figures

Figure 1

18 pages, 708 KB  
Review
Numerical Tools for Electroweak Phase Transition
by Xinran Zeng and Yang Zhang
Universe 2026, 12(3), 73; https://doi.org/10.3390/universe12030073 - 5 Mar 2026
Viewed by 165
Abstract
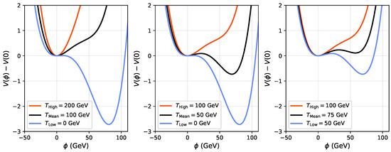
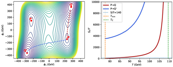
The electroweak phase transition serves as a crucial portal to explore physics beyond the Standard Model, with profound implications for gravitational waves, baryogenesis, dark matter, and vacuum stability. We review the computational workflow for analyzing cosmological phase transitions, which includes constructing the finite-temperature [...] Read more.
The electroweak phase transition serves as a crucial portal to explore physics beyond the Standard Model, with profound implications for gravitational waves, baryogenesis, dark matter, and vacuum stability. We review the computational workflow for analyzing cosmological phase transitions, which includes constructing the finite-temperature effective potential, identifying possible phases, tracing transition history, calculating transition rates, milestone temperatures, and thermal parameters, as well as the numerical tools developed for each step. We compare the functionalities, strategies, and applicable scopes of these tools, aiming to provide a practical guide that helps researchers select the most appropriate computational resources for their studies. Full article
(This article belongs to the Special Issue Search for New Physics Through Combined Approaches)
Show Figures

Figure 1

26 pages, 51773 KB  
Article
Soliton Genesis in a Novel Gross–Pitaevskii System: Analytical Construction and Dynamical Control
by Khaled Aldwoah, L. M. Abdalgadir, Shafqat Ur Rehman, Muhammad Bilal, Faez A. Alqarni, Ria Egami and M. M. Rashed
Symmetry 2026, 18(2), 375; https://doi.org/10.3390/sym18020375 - 18 Feb 2026
Viewed by 282
Abstract
The purpose of this study is to construct diverse forms of exact soliton solutions and conduct a comprehensive qualitative analysis. For this aim, we use the Gross–Pitaevskii system, which belongs to the family of nonlinear Schrödinger equations. This model is considered to be [...] Read more.
The purpose of this study is to construct diverse forms of exact soliton solutions and conduct a comprehensive qualitative analysis. For this aim, we use the Gross–Pitaevskii system, which belongs to the family of nonlinear Schrödinger equations. This model is considered to be iconic and significant because it has potential applications in applied sciences, such as in physics, where it is used to exemplify quantum systems like Bose–Einstein condensates and illustrate the propagation of waves in optical fibers. Employing analytical techniques, the modified sine–cosine/sinh–cosh and extended rational sinh–Gordon expansion methods, we extract several waves from solutions in the shape of trigonometric, hyperbolic, and rational forms. To further deepen our insights related to the system’s behavior, we execute a detailed dynamical analysis, including sensitivity, bifurcation, and chaos, using the corresponding Hamiltonian structure. We also derive the instability modulation using linear stability theory. Using Mathematica, we systematically simulate and verify all constructed results and present some solutions for appropriate parameter values using 2D, 3D, and contour plots. The outcomes provide fruitful insights relevant to multiple scientific domains, including optical fiber technology, plasma, and condensed matter physics. This work contributes to the ongoing study of nonlinear models by applying novel solution techniques and offering a broader perspective on the complex behavior of such systems. The novelty of this study lies in the fact that the proposed model has not been previously explored using the aforementioned advanced methods and comprehensive dynamical analyses. Full article
(This article belongs to the Section Physics)
Show Figures

Figure 1

13 pages, 349 KB  
Article
Quasibound States of Massive Charged Scalars Around Dilaton Black Holes in 2+1 Dimensions: Exact Frequencies
by Horacio Santana Vieira
Universe 2026, 12(2), 49; https://doi.org/10.3390/universe12020049 - 12 Feb 2026
Viewed by 244
Abstract
In this work, we investigate massive charged scalar perturbations in the background of three-dimensional dilaton black holes with a cosmological constant. We demonstrate that the wave equations governing the dynamics of these perturbations are exactly solvable, with the radial part expressible in terms [...] Read more.
In this work, we investigate massive charged scalar perturbations in the background of three-dimensional dilaton black holes with a cosmological constant. We demonstrate that the wave equations governing the dynamics of these perturbations are exactly solvable, with the radial part expressible in terms of confluent Heun functions. The quasibound state frequencies are computed analytically, and we examine their dependence on the scalar field’s mass and charge, as well as on the black hole’s mass and electric charge. Our analysis also underscores the crucial role played by the cosmological constant in shaping the behavior of these perturbations. This specific black hole metric arises as a solution to the low-energy effective action of string theory in 2+1 dimensions, and it holds potential for experimental realization in analog gravity systems due to the similarity between its surface gravity and that of acoustic analogs. Moreover, the analytic tractability of this system offers a valuable testing ground for exploring aspects of black hole spectroscopy, stability, and quantum field theory in curved spacetime. The exact solvability facilitates deeper insights into the interplay between geometry and matter fields in lower-dimensional gravity, where quantum gravitational effects can be more pronounced. Such studies not only enrich our understanding of dilaton gravity and its string-theoretic implications but also pave the way for potential applications in simulating black hole phenomena in laboratory settings using analog models. Full article
Show Figures

Figure 1

29 pages, 767 KB  
Review
The Impact of Dark Matter on Gravitational Wave Detection by Space-Based Interferometers
by Yuezhe Chen, Pan-Pan Wang, Bo Wang, Rui Luo and Cheng-Gang Shao
Universe 2026, 12(2), 48; https://doi.org/10.3390/universe12020048 - 11 Feb 2026
Viewed by 359
Abstract
The existence of dark matter is supported by multiple astrophysical observations, yet its particle nature remains unknown. The development of gravitational wave astronomy, especially with future space-based detectors such as LISA, provides new opportunities to study the interactions between dark matter and compact-object [...] Read more.
The existence of dark matter is supported by multiple astrophysical observations, yet its particle nature remains unknown. The development of gravitational wave astronomy, especially with future space-based detectors such as LISA, provides new opportunities to study the interactions between dark matter and compact-object systems. This review summarizes the main dark matter candidates and their macroscopic distributions, and highlights three mechanisms through which dark matter can affect gravitational wave observations: (1) modifications to compact-object orbits and the dynamics of systems such as extreme mass-ratio inspirals, including dark matter spikes, dynamical friction, and potential perturbations; (2) gravitational lensing effects induced by the spatial distribution of dark matter, altering waveform amplitudes and phases; and (3) direct couplings between ultralight dark matter fields and detectors. As low-frequency gravitational wave detection techniques are proposed and continue to develop, these effects may offer a novel avenue for probing the properties of dark matter, and combining precise waveform modeling with multi-messenger observations could reveal insights into its microscopic structure. Full article
(This article belongs to the Topic Dark Matter, Dark Energy and Cosmological Anisotropy)
Show Figures

Figure 1

34 pages, 489 KB  
Article
Gauge-Invariant Gravitational Wave Polarization in Metric f(R) Gravity with Cosmological Implications
by Ramesh Radhakrishnan, David McNutt, Delaram Mirfendereski, Alejandro Pinero, Eric Davis, William Julius and Gerald Cleaver
Universe 2026, 12(2), 44; https://doi.org/10.3390/universe12020044 - 5 Feb 2026
Viewed by 673
Abstract
We develop a fully gauge-invariant analysis of gravitational-wave polarizations in metric f(R) gravity with a particular focus on the modified Starobinsky model f(R)=R+αR22Λ, whose constant-curvature solution [...] Read more.
We develop a fully gauge-invariant analysis of gravitational-wave polarizations in metric f(R) gravity with a particular focus on the modified Starobinsky model f(R)=R+αR22Λ, whose constant-curvature solution Rd=4Λ provides a natural de Sitter background for both early- and late-time cosmology. Linearizing the field equations around this background, we derive the Klein–Gordon equation for the curvature perturbation δR and show that the scalar propagating mode acquires a mass mψ2=1/(6α), highlighting how the same scalar degree of freedom governs inflationary dynamics at high curvature and the propagation of gravitational waves in the current accelerating Universe. Using the scalar–vector–tensor decomposition and a decomposition of the perturbed Ricci tensor, we obtain a set of fully gauge-invariant propagation equations that isolate the contributions of the scalar, vector, and tensor modes in the presence of matter. We find that the tensor sector retains the two transverse–traceless polarizations of General Relativity, while the scalar sector contains an additional massive scalar propagating degree of freedom, which manifests through breathing and longitudinal tidal responses depending on the wave regime and detector frame. Through the geodesic deviation equation—computed both in a local Minkowski patch and in fully covariant de Sitter form—we independently recover the same polarization content and identify its tidal signatures. The resulting framework connects the extra scalar polarization to cosmological observables: the massive scalar propagating mode sets the range of the fifth force, influences the time evolution of gravitational potentials, and affects the propagation and dispersion of gravitational waves on cosmological scales. This provides a unified, gauge-invariant link between gravitational-wave phenomenology and the cosmological implications of metric f(R) gravity. Full article
(This article belongs to the Section Gravitation)
Show Figures

Figure 1

77 pages, 10681 KB  
Review
Robust and Integrable Time-Varying Metamaterials: A Systematic Survey and Coherent Mapping
by Ioannis Koutzoglou, Stamatios Amanatiadis and Nikolaos V. Kantartzis
Nanomaterials 2026, 16(3), 195; https://doi.org/10.3390/nano16030195 - 31 Jan 2026
Viewed by 542
Abstract
Time-varying or temporal metamaterials and metasurfaces, in which electromagnetic parameters are deliberately modulated in time, have emerged as a powerful route to engineer wave–matter interaction beyond what is possible in static media. By enabling the controlled exchange of energy and momentum with the [...] Read more.
Time-varying or temporal metamaterials and metasurfaces, in which electromagnetic parameters are deliberately modulated in time, have emerged as a powerful route to engineer wave–matter interaction beyond what is possible in static media. By enabling the controlled exchange of energy and momentum with the fields, they underpin magnet-free nonreciprocity, low-loss frequency conversion, temporal impedance matching beyond Bode-Fano limit, and unconventional parametric gain and noise control. This survey provides a coherent framework that unifies the main theoretical and experimental developments in the area, from early analyses of velocity-modulated dielectrics to recent demonstrations of temporal photonic crystals, non-Foster temporal boundaries, and spatiotemporally driven metasurfaces relevant to nanophotonic platforms. We systematically compare time-varying permittivity, joint ε-μ modulation, time-varying conductivity, plasmas, and circuit-equivalent implementations, including stochastic and rapidly sign-switching regimes, and relate them to acoustic and quantum analogs using common figures of merit, such as conversion efficiency, isolation versus insertion loss, modulation depth and speed, dynamic range, and stability. Our work concludes by outlining key challenges, loss and pump efficiency, high-speed modulation at the nanoscale, dispersion engineering for broadband operation, and fair benchmarking, which must be addressed for robust, integrable temporal metasurfaces. Full article
(This article belongs to the Special Issue Transformation Optics and Metamaterials)
Show Figures

Figure 1

14 pages, 3979 KB  
Article
Spatial-Multiplexed Four-Channel Optical Amplification via Multiple Four-Wave Mixing in a Double-Λ Atomic System
by Xin Li, Dan Song, Yu-Xia Fan, Rong Miao, Dan Wang, Bao-Dong Yang, Hai-Tao Zhou and Jun-Xiang Zhang
Nanomaterials 2026, 16(3), 184; https://doi.org/10.3390/nano16030184 - 29 Jan 2026
Cited by 1 | Viewed by 459
Abstract
Optical amplification and spatial multiplexing technologies have important applications in quantum communication, quantum networks, and optical information processing. In this paper, based on the non-reciprocal amplification of a pair of co-propagating conjugate four-wave mixing (FWM) signals induced by a one-way pump field in [...] Read more.
Optical amplification and spatial multiplexing technologies have important applications in quantum communication, quantum networks, and optical information processing. In this paper, based on the non-reciprocal amplification of a pair of co-propagating conjugate four-wave mixing (FWM) signals induced by a one-way pump field in a double-Λ-type hot atomic system, we demonstrate spatially multiplexed multiple FWM processes by introducing a counter-propagating collinear pump field. This configuration enables simultaneous amplification of bidirectional four-channel FWM signals. Furthermore, when the injected signal and pump beams are modulated to Laguerre–Gaussian beams carrying different optical orbital angular momentum (OAM), the OAM of the pump beam is transferred to each amplified field. Through the tilted lens method, we experimentally demonstrate that the OAM of the amplified signal light remains identical to that of the original injected signal light. In contrast, the OAM of the other three newly generated FWM fields is governed by the angular momentum conservation law of their respective FWM processes, which enables the precise manipulation of the OAM for the other generated amplified fields. Theoretical analysis of the dynamical transport equation for the density operator in light–matter interaction processes fully corroborates the experimental results. These findings establish a robust framework for developing OAM-compatible optical non-reciprocal devices based on complex structured light. Full article
(This article belongs to the Special Issue Optical Properties of Nanomaterials: Linear and Nonlinear Behavior)
Show Figures

Graphical abstract

18 pages, 780 KB  
Article
Equation of State of Highly Asymmetric Neutron Star Matter from Liquid Drop Model and Meson Polytropes
by Elissaios Andronopoulos and Konstantinos N. Gourgouliatos
Symmetry 2026, 18(2), 225; https://doi.org/10.3390/sym18020225 - 27 Jan 2026
Viewed by 340
Abstract
We present a unified description of dense matter and neutron star structure based on simple but physically motivated models. Starting from the thermodynamics of degenerate Fermi gases, we construct an equation of state for cold, catalyzed matter by combining relativistic fermion statistics with [...] Read more.
We present a unified description of dense matter and neutron star structure based on simple but physically motivated models. Starting from the thermodynamics of degenerate Fermi gases, we construct an equation of state for cold, catalyzed matter by combining relativistic fermion statistics with the liquid drop model of nuclear binding. The internal stratification of matter in the outer crust is described by the β-equilibrium, neutron drip and a gradual transition to supranuclear matter. Short-range repulsive interactions inspired by Quantum Hadrodynamics are incorporated at high densities in order to ensure stability and causality. The resulting equation of state is used as input in the Tolman–Oppenheimer–Volkoff equations, yielding self-consistent neutron star models. We compute macroscopic stellar properties including the mass–radius relation, compactness and surface redshift that can be compared with recent observational data. Despite the simplicity of the underlying microphysics, the model produces neutron star masses and radii compatible with current observational constraints from X-ray timing and gravitational-wave measurements. This work demonstrates that physically transparent models can capture the essential features of neutron star structure and provide valuable insight into the connection between dense-matter physics and astrophysical observables; they can also be used as easy-to-handle models to test the impact of more complicated phenomena and variations in neutron stars. Full article
(This article belongs to the Special Issue Nuclear Symmetry Energy: From Finite Nuclei to Neutron Stars)
Show Figures

Figure 1

15 pages, 1881 KB  
Article
Finite-Range Scalar–Tensor Gravity: Constraints from Cosmology and Galaxy Dynamics
by Elie Almurr and Jean Claude Assaf
Galaxies 2026, 14(1), 7; https://doi.org/10.3390/galaxies14010007 - 27 Jan 2026
Viewed by 704
Abstract
Objective: We examine whether a finite-range scalar–tensor modification of gravity can be simultaneously compatible with cosmological background data, galaxy rotation curves, and local/astrophysical consistency tests, while satisfying the luminal gravitational-wave propagation constraint (cT=1) implied by GW170817 at low [...] Read more.
Objective: We examine whether a finite-range scalar–tensor modification of gravity can be simultaneously compatible with cosmological background data, galaxy rotation curves, and local/astrophysical consistency tests, while satisfying the luminal gravitational-wave propagation constraint (cT=1) implied by GW170817 at low redshifts. Methods: We formulate the model at the level of an explicit covariant action and derive the corresponding field equations; for cosmological inferences, we adopt an effective background closure in which the late-time dark-energy density is modulated by a smooth activation function characterized by a length scale λ and amplitude ϵ. We constrain this background model using Pantheon+, DESI Gaussian Baryon Acoustic Oscillations (BAOs), and a Planck acoustic-scale prior, including an explicit ΛCDM comparison. We then propagate the inferred characteristic length by fixing λ in the weak-field Yukawa kernel used to model 175 SPARC galaxy rotation curves with standard baryonic components and a controlled spherical approximation for the scalar response. Results: The joint background fit yields Ωm=0.293±0.007, λ=7.691.71+1.85Mpc, and H0=72.33±0.50kms1Mpc1. With λ fixed, the baryons + scalar model describes the SPARC sample with a median reduced chi-square of χν2=1.07; for a 14-galaxy subset, this model is moderately preferred over the standard baryons + NFW halo description in the finite-sample information criteria, with a mean ΔAICc outcome in favor of the baryons + scalar model (≈2.8). A Vainshtein-type screening completion with Λ=1.3×108 eV satisfies Cassini, Lunar Laser Ranging, and binary pulsar bounds while keeping the kpc scales effectively unscreened. For linear growth observables, we adopt a conservative General Relativity-like baseline (μ0=0) and show that current fσ8 data are consistent with μ00 for our best-fit background; the model predicts S8=0.791, consistent with representative cosmic-shear constraints. Conclusions: Within the present scope (action-level weak-field dynamics for galaxy modeling plus an explicitly stated effective closure for background inference), the results support a mutually compatible characteristic length at the Mpc scale; however, a full perturbation-level implementation of the covariant theory remains an issue for future work, and the role of cold dark matter beyond galaxy scales is not ruled out. Full article
Show Figures

Figure 1

21 pages, 4619 KB  
Article
Experimental Study on Suppression and Mechanism of Sloshing Impact Pressure by Vertical Slat Screens Under Broadband Horizontal and Vertical Excitation
by Liting Yu, Xiaoqian Luo, Jingcheng Lin, Jie Fan and Heng Jin
J. Mar. Sci. Eng. 2026, 14(2), 220; https://doi.org/10.3390/jmse14020220 - 21 Jan 2026
Viewed by 181
Abstract
Sloshing-induced impact pressure is a key damage factor for marine liquid tanks. While research aimed at overcoming screen failure in sloshing suppression under high-frequency excitation has focused on wave height, the dataset of impact pressure remains lacking. Moreover, the pattern of pressure suppression [...] Read more.
Sloshing-induced impact pressure is a key damage factor for marine liquid tanks. While research aimed at overcoming screen failure in sloshing suppression under high-frequency excitation has focused on wave height, the dataset of impact pressure remains lacking. Moreover, the pattern of pressure suppression under broadband excitation remains unclear. The primary contribution of this work is the first experimental dataset of impact pressure with vertical slat screens under broadband horizontal and vertical excitation. Second, it reveals pressure suppression patterns by screens across varying excitation frequencies and screen numbers. The results demonstrate that vertical slat screens can effectively suppress pressure. First, screen position matters more than number, proving that suppression is dominated by modal disturbance. Second, wave-height suppression does not reliably represent pressure suppression. Pressure suppression is systematically weaker. An exception occurs under vertical excitation, where pressure suppression can be stronger even when wave-height suppression fails. The results highlight the suppression mechanism dominated by modal disturbance and the instability inherent to parametric sloshing. Wave height, reflecting global potential energy, is effectively suppressed by modal disturbance. Pressure, originating from local kinetic energy, can be effectively suppressed by both modal disturbance and vortex dissipation. Full article
(This article belongs to the Special Issue Advances in Marine Engineering Hydrodynamics, 2nd Edition)
Show Figures

Figure 1

32 pages, 8754 KB  
Review
Plasmonics Meets Metasurfaces: A Vision for Next Generation Planar Optical Systems
by Muhammad A. Butt
Micromachines 2026, 17(1), 119; https://doi.org/10.3390/mi17010119 - 16 Jan 2026
Viewed by 766
Abstract
Plasmonics and metasurfaces (MSs) have emerged as two of the most influential platforms for manipulating light at the nanoscale, each offering complementary strengths that challenge the limits of conventional optical design. Plasmonics enables extreme subwavelength field confinement, ultrafast light–matter interaction, and strong optical [...] Read more.
Plasmonics and metasurfaces (MSs) have emerged as two of the most influential platforms for manipulating light at the nanoscale, each offering complementary strengths that challenge the limits of conventional optical design. Plasmonics enables extreme subwavelength field confinement, ultrafast light–matter interaction, and strong optical nonlinearities, while MSs provide versatile and compact control over phase, amplitude, polarization, and dispersion through planar, nanostructured interfaces. Recent advances in materials, nanofabrication, and device engineering are increasingly enabling these technologies to be combined within unified planar and hybrid optical platforms. This review surveys the physical principles, material strategies, and device architectures that underpin plasmonic, MS, and hybrid plasmonic–dielectric systems, with an emphasis on interface-mediated optical functionality rather than long-range guided-wave propagation. Key developments in modulators, detectors, nanolasers, metalenses, beam steering devices, and programmable optical surfaces are discussed, highlighting how hybrid designs can leverage strong field localization alongside low-loss wavefront control. System-level challenges including optical loss, thermal management, dispersion engineering, and large-area fabrication are critically examined. Looking forward, plasmonic and MS technologies are poised to define a new generation of flat, multifunctional, and programmable optical systems. Applications spanning imaging, sensing, communications, augmented and virtual reality, and optical information processing illustrate the transformative potential of these platforms. By consolidating recent progress and outlining future directions, this review provides a coherent perspective on how plasmonics and MSs are reshaping the design space of next-generation planar optical hardware. Full article
(This article belongs to the Special Issue Photonic and Optoelectronic Devices and Systems, 4th Edition)
Show Figures

Figure 1

31 pages, 1304 KB  
Article
The Informational Birth of the Universe: A Theory of Everything from Quantum Complexity
by Gastón Sanglier Contreras, Roberto Alonso González-Lezcano and Eduardo J. López Fernández
Quantum Rep. 2026, 8(1), 4; https://doi.org/10.3390/quantum8010004 - 12 Jan 2026
Viewed by 1263
Abstract
We propose a unified theoretical framework grounded in a Primordial Quantum Field (PQF)—a continuous, non-local informational substrate that precedes space-time and matter. The PQF is represented by a wave functional evolving in an abstract configuration space, where physical properties emerge through the self-organization [...] Read more.
We propose a unified theoretical framework grounded in a Primordial Quantum Field (PQF)—a continuous, non-local informational substrate that precedes space-time and matter. The PQF is represented by a wave functional evolving in an abstract configuration space, where physical properties emerge through the self-organization of complexity. We introduce a novel physical quantity—complexity entropy Sc[ϕ]—which quantifies the structural organization of the PQF. Unlike traditional entropy measures (Shannon, von Neumann, Kolmogorov), Sc[ϕ] captures non-trivial coherence and functional correlations. We demonstrate how complexity gradients induce an emergent geometry, from which spacetime curvature, physical constants, and the arrow of time arise. The model predicts measurable phenomena such as entanglement waves and reinterprets dark energy as informational coherence pressure, suggesting empirical pathways for testing via highly correlated quantum systems. Full article
(This article belongs to the Special Issue Exclusive Feature Papers of Quantum Reports in 2024–2025)
Show Figures

Figure 1

34 pages, 549 KB  
Article
Primordial Gravitational Wave Birefringence in a de Sitter Background with Chern–Simons Coupling
by Abhishek Rout and Brett Altschul
Universe 2026, 12(1), 6; https://doi.org/10.3390/universe12010006 - 26 Dec 2025
Viewed by 342
Abstract
In this work, we investigate tensor perturbations in a de Sitter background within the framework of Chern–Simons modified gravity. We introduce transverse-traceless perturbations and analyze how the Chern–Simons Cotton tensor induces parity-violating modifications to gravitational wave propagation, while the Pontryagin density vanishes at [...] Read more.
In this work, we investigate tensor perturbations in a de Sitter background within the framework of Chern–Simons modified gravity. We introduce transverse-traceless perturbations and analyze how the Chern–Simons Cotton tensor induces parity-violating modifications to gravitational wave propagation, while the Pontryagin density vanishes at linear order. Using a mode decomposition of the scalar background field, we derive the sub- and super-horizon limits of the wave equations and uncover chiral corrections in the dispersion relations of tensor modes. The resulting birefringence exhibits both amplitude and velocity components, alternating with the phase of the scalar field. Particular solutions sourced by the scalar background show helicity-dependent amplification and a characteristic scaling of the radiated flux that reduces smoothly to the Minkowski limit. The accumulated phase difference between right- and left-handed modes grows quadratically inside the horizon and becomes frozen outside, leaving a permanent parity-violating imprint in the primordial tensor spectrum. Finally, by promoting the Chern–Simons field to a massive dark matter candidate, we demonstrate how its mass-dependent dynamics connect gravitational birefringence to axion-like dark matter phenomenology. Full article
(This article belongs to the Section Gravitation)
Show Figures

Figure 1

11 pages, 1761 KB  
Article
Excitons in Shallow GaAs/Al0.03Ga0.97As Quantum Wells
by Roman S. Nazarov, Matthew A. Maksimov, Yurii P. Efimov, Sergei A. Eliseev, Vyacheslav A. Lovcjus and Yury V. Kapitonov
Photonics 2026, 13(1), 19; https://doi.org/10.3390/photonics13010019 - 26 Dec 2025
Viewed by 430
Abstract
We report a comprehensive study of heavy-hole (HH) and light-hole (LH) excitons in a shallow GaAs/Al0.03Ga0.97As single quantum well (QW) using two-dimensional photoluminescence excitation (PLE) spectroscopy, reflectivity in Brewster geometry, and time-resolved four-wave mixing (FWM) with polarization-resolved photon echo [...] Read more.
We report a comprehensive study of heavy-hole (HH) and light-hole (LH) excitons in a shallow GaAs/Al0.03Ga0.97As single quantum well (QW) using two-dimensional photoluminescence excitation (PLE) spectroscopy, reflectivity in Brewster geometry, and time-resolved four-wave mixing (FWM) with polarization-resolved photon echo (PE) detection. The PLE measurements reveal well-resolved HH and LH exciton states with minimal inhomogeneous broadening, while reflectivity spectra indicate strong light–matter coupling and narrow exciton linewidths, reflecting the high structural quality of the QW. FWM experiments demonstrate two-pulse photon echoes with coherence times of T239.5 ps for HH and T216.2 ps for LH excitons. Polarization-resolved PE confirms that the observed signals originate from pure three-level excitonic systems without contributions from trions or donor-bound excitons. Compared to conventional GaAs/Al0.3Ga0.7As QWs, the shallow QW exhibits reduced HH-LH splitting, enhanced optical homogeneity, and robustness against above-barrier illumination, making it a promising platform for coherent optical control and information photonics applications. Full article
(This article belongs to the Section Quantum Photonics and Technologies)
Show Figures

Figure 1

Back to TopTop