Experimental Study on Suppression and Mechanism of Sloshing Impact Pressure by Vertical Slat Screens Under Broadband Horizontal and Vertical Excitation
Abstract
1. Introduction
2. Model Experimental
2.1. Experimental Setup
2.2. Key Notation
2.3. Uncertainty and Repeatability Analysis
- (1)
- Instrument calibration and system validation
- (2)
- Parametric trend consistency as a reliability indicator
2.4. Experimental Cases
3. Results and Discussion
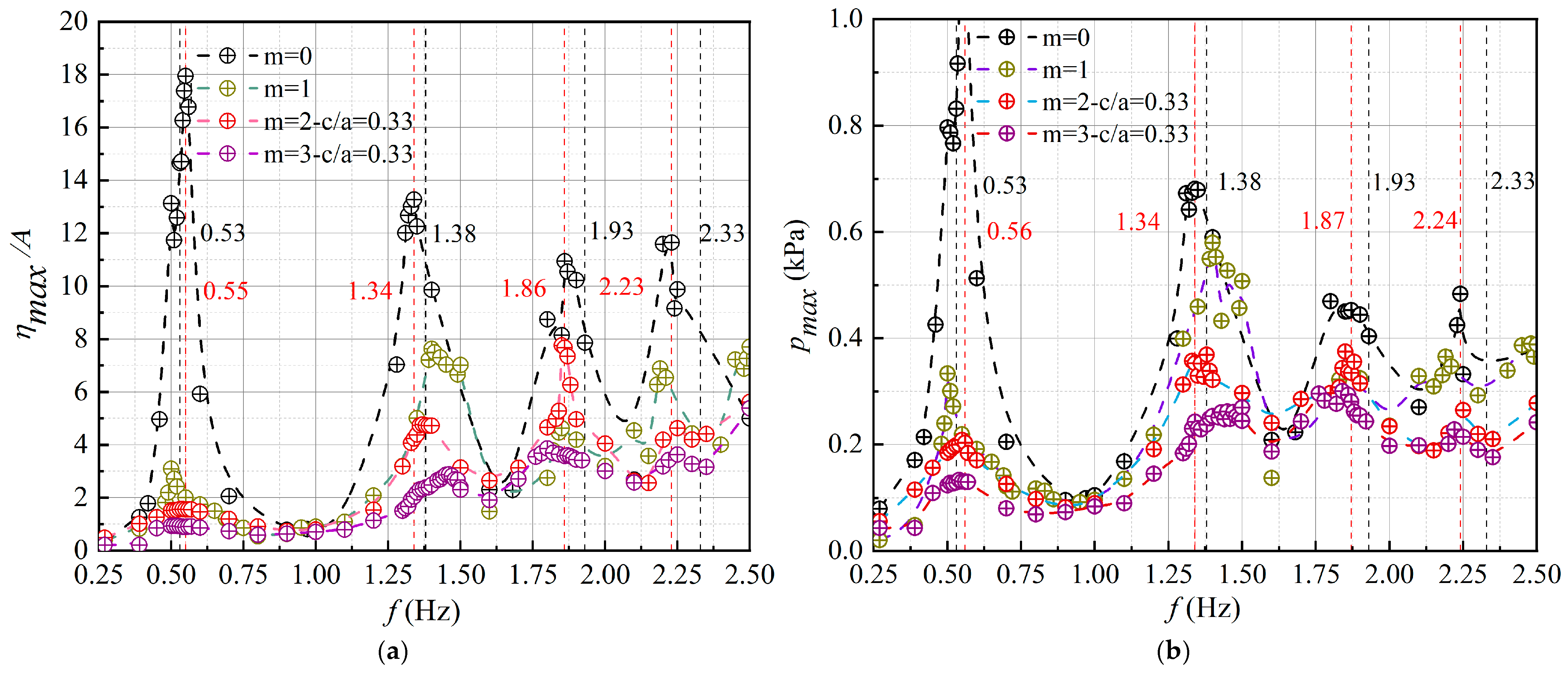
3.1. Effect of Screen Number on Sloshing Impact Pressure Under Horizontal Excitation
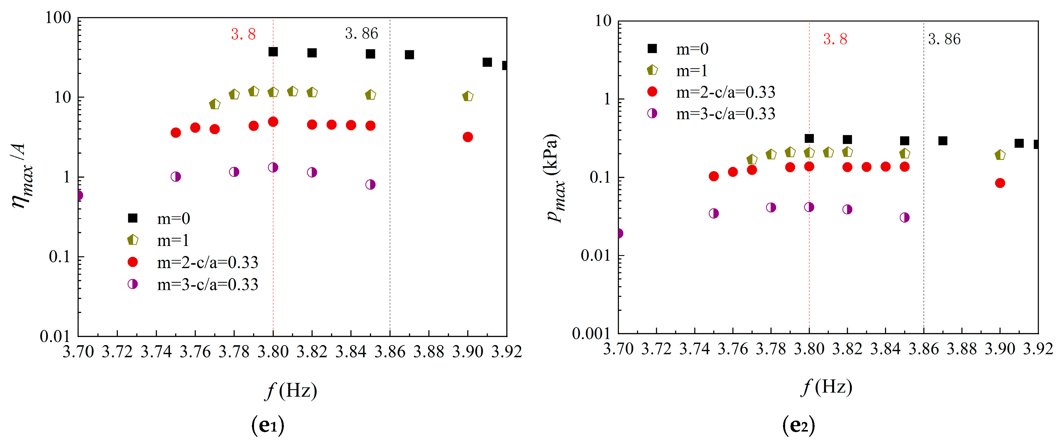
3.2. Effect of Screen Number on Sloshing Impact Pressure Under Vertical Excitation
- (i)
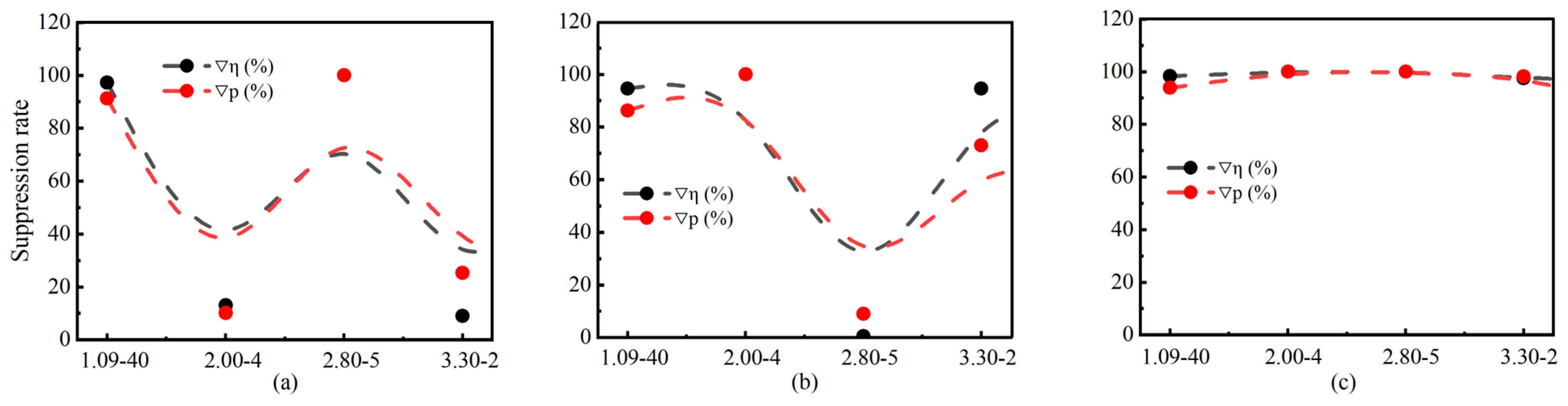
- Horizontal excitation only excites odd sloshing, and the tank center is always a modal node. A single screen placed at this location can stably disrupt the dominant mode, providing consistent suppression (>20%). Increasing the number of screens further enhances suppression by disturbing higher-order modes (increasing flow obstruction) and augmenting vortex dissipation, which particularly improves the dissipation efficiency of local kinetic energy (pressure). Since horizontal excitation (direct forcing) does not require specific frequency or amplitude thresholds to excite sloshing, the damping of screens remains effective across all conditions. In contrast, the parametric sloshing excited by vertical excitation possesses instability, and its suppression exhibits a nonlinear response tied to specific excitation frequencies and amplitude thresholds. Appropriate screen placement can significantly raise the instability threshold, achieving near-complete suppression. Inappropriate placement has minimal impact on stability, leading to near failure of the global suppression (suppression rate < 20%). This highlights the fundamental principle that screen position absolutely takes precedence over screen number in sloshing suppression;
- (ii)
- The screens suppress the total mechanical energy by modal disturbance, which is the efficient primary mechanism. Additionally, screens also suppress the impact kinetic energy by generating vortex dissipation, which is a relatively inefficient mechanism. Under vertical excitation, sloshing suppression by screens may exhibit a near-complete failure where the wave-height suppression rate is below 20%. At this time, the screens are far away from the mode nodes, and sloshing can still develop to a maximum wave height similar to that without screens. However, screens can still dissipate part of the impact kinetic energy through vortices. Therefore, against the backdrop of the failure of the global mechanism, the contribution of the local mechanism becomes apparent, leading to the observed phenomenon where pressure suppression exceeds wave-height suppression.
4. Conclusions
4.1. Pressure Suppression by Screens
- (1)
- Influence of screen number on pressure suppression effectiveness
- (2)
- Influence of excitation frequency on pressure suppression effectiveness
4.2. Difference of Pressure Suppression Between Pressure and Wave Height by Screen
- (1)
- Mechanism of suppression difference between horizontal and vertical excitation
- (2)
- Mechanism of the general rule (wave-height suppression > pressure suppression)
- (3)
- Mechanism of the exception (pressure suppression > wave-height suppression)
Author Contributions
Funding
Data Availability Statement
Conflicts of Interest
References
- Xue, M.A.; Zheng, J.H.; Lin, P.Z.; Yuan, X.L. Experimental Study on Vertical Baffles of Different Configurations in Suppressing Sloshing Pressure. Ocean Eng. 2017, 136, 178–189. [Google Scholar] [CrossRef]
- Jung, J.H.; Yoon, H.S.; Lee, C.Y.; Shin, S.C. Effect of the Vertical Baffle Height on the Liquid Sloshing in a Three-Dimensional Rectangular Tank. Ocean Eng. 2012, 44, 79–89. [Google Scholar] [CrossRef]
- Liu, D.; Lin, P. Three-Dimensional Liquid Sloshing in a Tank with Baffles. Ocean Eng. 2009, 36, 202–212. [Google Scholar] [CrossRef]
- Sanapala, V.S.; Rajkumar, M.; Velusamy, K.; Patnaik, B.S.V. Numerical Simulation of Parametric Liquid Sloshing in a Horizontally Baffled Rectangular Container. J. Fluids Struct. 2018, 76, 229–250. [Google Scholar] [CrossRef]
- Gavrilyuk, I.; Lukovsky, I.; Trotsenko, Y.; Timokha, A. Sloshing in a Vertical Circular Cylindrical Tank with an Annular Baffle. Part 1. Linear Fundamental Solutions. J. Eng. Math. 2006, 54, 71–88. [Google Scholar] [CrossRef]
- Ünal, U.O.; Bilici, G.; Akyıldız, H. Liquid Sloshing in a Two-Dimensional Rectangular Tank: A Numerical Investigation with a T-Shaped Baffle. Ocean Eng. 2019, 187, 106183. [Google Scholar] [CrossRef]
- Koh, C.G.; Luo, M.; Gao, M.; Bai, W. Modelling of Liquid Sloshing with Constrained Floating Baffle. Comput. Struct. 2013, 122, 270–279. [Google Scholar] [CrossRef]
- Abramson, H.N.; Chu, W.; Garza, L.R. Liquid Sloshing in Spherical Tanks. AIAA J. 1963, 1, 384–389. [Google Scholar] [CrossRef]
- Kareem, A. Reduction of Wind Induced Motion Utilizing a Tuned Sloshing Damper. J. Wind Eng. Ind. Aerodyn. 1990, 36, 725–737. [Google Scholar] [CrossRef]
- Kareem, A.; Yalla, S.; McCullough, M. Sloshing-Slamming Dynamics–S 2–Analogy for Tuned Liquid Dampers. In Vibro-Impact Dynamics of Ocean Systems and Related Problems; Springer: Berlin/Heidelberg, Germany, 2009; pp. 123–133. [Google Scholar]
- Faltinsen, O.M.; Timokha, A.N. Natural Sloshing Frequencies and Modes in a Rectangular Tank with a Slat-Type Screen. J. Sound Vib. 2011, 330, 1490–1503. [Google Scholar] [CrossRef]
- Kobayashi, N.; Watanabe, M.; Honda, T. Suppression Characteristics of Sloshing in Vessels by a Bulkhead. In Proceedings of the ASME 2006 Pressure Vessels and Piping/ICPVT-11 Conference; ASME: New York, NY, USA, 2006. [Google Scholar]
- Pourahmadi Laleh, A.; Svrcek, W.Y.; Monnery, W. Computational Fluid Dynamics-Based Study of an Oilfield Separator—Part I: A Realistic Simulation. Oil Gas Facil. 2012, 1, 57–68. [Google Scholar] [CrossRef]
- Sanapala, V.S.; Velusamy, K.; Patnaik, B.S.V. CFD Simulations on the Dynamics of Liquid Sloshing and Its Control in a Storage Tank for Spent Fuel Applications. Ann. Nucl. Energy 2016, 94, 494–509. [Google Scholar] [CrossRef]
- Wei, Z.J. Study on Sloshing and Slamming Loads in the Design of FLNG Storage Tanks. Ph.D. Thesis, Dalian University of Technology, Dalian, China, 2015. (In Chinese) [Google Scholar]
- Jin, H.; Liu, Y.; Li, H.J. Experimental Study on Sloshing in a Tank with an Inner Horizontal Perforated Plate. Ocean Eng. 2014, 82, 75–84. [Google Scholar] [CrossRef]
- Faltinsen, O.M.; Timokha, A.N. Sloshing; Cambridge University Press: Cambridge, UK, 2009. [Google Scholar]
- Jin, X.; Liu, M.M.; Zou, Y.J.; Luo, M.; Yang, F.; Wang, L. Numerical Simulation of Faraday Waves in a Rectangular Tank and Damping Mechanism of Internal Baffles. J. Fluids Struct. 2022, 109, 103503. [Google Scholar] [CrossRef]
- Jin, X.; Wang, Y.S.; Zhang, F.G.; Chen, J.; Li, D.S.; Fan, C.Y.; Liu, M.M. Predictions of wave-height and Pressure Induced by Liquid Sloshing Based on Neural Network. J. Ship Mech. 2025, 29, 388–399. [Google Scholar]
- Zhang, C.; Wang, L.; Xu, M. Study on the Damping Effect and Mechanism of Vertical Slotted Screens Based on the BM-MPS Method. J. Mar. Sci. Eng. 2023, 11, 1270. [Google Scholar] [CrossRef]
- Ali, U.; Hu, C.; Dief, T.N.; Kamra, M.M. Enhanced Sloshing Control Using Novel Shaped Baffle. Phys. Fluids 2025, 37, 082107. [Google Scholar] [CrossRef]
- Wei, Z.J.; Faltinsen, O.M.; Lugni, C.; Yue, Q.J. Sloshing-Induced Slamming in Screen-Equipped Rectangular Tanks in Shallow-Water Conditions. Phys. Fluids 2015, 27, 032104. [Google Scholar] [CrossRef]
- Xue, M.A.; He, Y.; Yuan, X.; Cao, Z.; Odoom, J.K. Numerical and Experimental Study on Sloshing Damping Effects of the Porous Baffle. Ocean Eng. 2023, 285, 115363. [Google Scholar] [CrossRef]
- Liu, D.; Chang, F.; Chen, Y. Experimental Study of Vertical Baffle Height on Sloshing Reduction Effects in the Rectangular Tank. Ocean Eng. 2025, 335, 121674. [Google Scholar] [CrossRef]
- Liu, D.; Zhang, X.; Wang, J. Effect of a Vertical Baffle on the Resonant Steady-State Sloshing Impacts in a Square-Base Container with Longitudinal Harmonic Excitations. Phys. Fluids 2025, 37, 022105. [Google Scholar] [CrossRef]
- Yu, L.T.; Xue, M.A.; Zheng, J.H. Experimental Study of Vertical Slat Screens Effects on Reducing Shallow Water Sloshing in a Tank under Horizontal Excitation with a Wide Frequency Range. Ocean Eng. 2019, 173, 131–141. [Google Scholar] [CrossRef]
- Yu, L.T.; Xue, M.A.; Jiang, Z.Y. Experimental Investigation of Parametric Sloshing in a Tank with Vertical Baffles. Ocean Eng. 2020, 213, 107783. [Google Scholar] [CrossRef]
- Wu, J.; Zhang, J.; Yu, Y.; Shentu, Z.; Xue, M.A. Research on Sloshing Characteristics for Liquefied Iron Ore and Size Optimization of Anti-Sloshing Baffle Based on Data-Driven Models. Appl. Ocean Res. 2025, 158, 104604. [Google Scholar] [CrossRef]
- Xue, M.A.; Lin, P.Z.; Zheng, J.H.; Ma, Y.X.; Yuan, X.L.; Nguyen, V.T. Effects of perforated baffle on reducing sloshing in rectangular tank: Experimental and numerical study. China Ocean Eng. 2013, 27, 615–628. [Google Scholar] [CrossRef]
- Lamb, H. Hydrodynamics; Cambridge University Press: Cambridge, UK, 1932. [Google Scholar]
- Faltinsen, O.M.; Rognebakke, O.F.; Lukovsky, I.A.; Timokha, A.N. Multidimensional Modal Analysis of Nonlinear Sloshing in a Rectangular Tank with Finite Water Depth. J. Fluid Mech. 2000, 407, 201–234. [Google Scholar] [CrossRef]









| Odd Modes | Value | Even Modes | Value | ||||
|---|---|---|---|---|---|---|---|
| ωn (rad/s) | fn (Hz) | 2fn (Hz) | ωn (rad/s) | fn (Hz) | 2fn (Hz) | ||
| 1st | 3.328 | 0.53 | 1.06 | 2nd | 6.2612 | 1.00 | 2.00 |
| 3rd | 8.654 | 1.38 | 2.76 | 4th | 10.563 | 1.68 | 3.36 |
| 5th | 12.114 | 1.93 | 3.86 | 6th | 13.439 | 2.14 | 4.28 |
| 7th | 14.602 | 2.33 | 4.66 | 8th | 15.652 | 2.49 | 4.98 |
| 9th | 16.523 | 2.65 | 5.30 | 10th | 17.533 | 2.79 | 5.58 |
| fn (Hz) | m = 0 | m = 1 | m = 2 and c/a = 0.33 | m = 3 and c/a = 0.33 | ||||||
|---|---|---|---|---|---|---|---|---|---|---|
| fη,max-f/ fp,max-f | ηmax/pmax | fη,max-f/ fp,max-f | ηmax/pmax | fη,max-f/ fp,max-f | ηmax/pmax | fη,max -f/ fp,max-f | ηmax/pmax | |||
| f1 = 0.53 | ηmax-f/A | ηmax-f/A | 0.55 | 17.95 | 0.50 | 3.09 | 0.53 | 1.563 | 0.51 | 0.93 |
| pmax (kPa) | 1.14 | 0.33 | 0.199 | 0.128 | ||||||
| Pmax-f (kPa) | ηmax/A | 0.56 | 16.78 | 0.50 | 3.09 | 0.55 | 1.559 | 0.54 | 0.90 | |
| pmax-f | 1.18 | 0.33 | 0.209 | 0.134 | ||||||
| f3 = 1.38 | ηmax-f/A | ηmax-f/A | 1.34 | 13.27 | 1.40 | 7.63 | 1.37 | 4.77 | 1.45 | 2.86 |
| pmax (kPa) | 0.681 | 0.58 | 0.36 | 0.26 | ||||||
| Pmax-f (kPa) | ηmax/A | 1.34 | 13.27 | 1.40 | 7.63 | 1.38 | 4.74 | 1.45 | 2.86 | |
| pmax-f | 0.681 | 0.58 | 0.37 | 0.26 | ||||||
| f5 = 1.93 | ηmax-f/A | ηmax-f/A | 1.86 | 10.94 | 1.85 | 4.63 | 1.85 | 7.76 | 1.80 | 3.86 |
| pmax(kPa) | 0.45 | 0.29 | 0.38 | 0.28 | ||||||
| Pmax-f (kPa) | ηmax/A | 1.87 | 10.55 | 1.90 | 4.19 | 1.85 | 7.76 | 1.84 | 3.65 | |
| pmax-f | 0.45 | 0.32 | 0.38 | 0.30 | ||||||
| f7 = 2.33 | ηmax-f/A | ηmax-f/A | 2.23 | 11.65 | 2.19 | 6.86 | 2.25 | 4.63 | 2.25 | 3.63 |
| pmax(kPa) | 0.42 | 0.37 | 0.26 | 0.21 | ||||||
| Pmax-f (kPa) | ηmax/A | 2.24 | 9.16 | 2.19 | 6.86 | 2.25 | 4.63 | 2.22 | 3.43 | |
| pmax-f | 0.48 | 0.37 | 0.26 | 0.23 | ||||||
| f = 0.50 Hz | f = 1.40 Hz | f = 1.90 Hz | f = 2.20 Hz | |||||
|---|---|---|---|---|---|---|---|---|
| ηmax/A | ▽η (%) | ηmax/A | ▽η (%) | ηmax/A | ▽η (%) | ηmax/A | ▽η (%) | |
| m = 0 | 13.13 | / | 9.86 | / | 10.23 | / | 11.59 | / |
| m = 1 | 3.09 | 76.46 | 7.63 | 22.62 | 4.19 | 59 | 6.72 | 45.9 |
| m = 2 and c/a = 0.33 | 1.51 | 88.5 | 4.72 | 52.13 | 4.97 | 51.43 | 4.18 | 63.93 |
| m = 3 and c/a = 0.33 | 0.93 | 92.92 | 2.48 | 74.85 | 3.44 | 66.38 | 3.18 | 72.56 |
| Pmax | ▽p (%) | Pmax | ▽p (%) | Pmax | ▽p (%) | Pmax | ▽p (%) | |
| m = 0 | 0.797 | / | 0.59 | / | 0.445 | / | 0.35 | / |
| m = 1 | 0.334 | 58.061 | 0.58 | 1.684 | 0.325 | 26.955 | 0.365 | −4.443 |
| m = 2 and c/a = 0.33 | 0.185 | 76.817 | 0.321 | 45.507 | 0.315 | 29.087 | 0.222 | 36.626 |
| m = 3 and c/a = 0.33 | 0.123 | 84.545 | 0.254 | 56.944 | 0.255 | 42.728 | 0.201 | 42.504 |
| fn (Hz) | m = 0 | m = 1 | m = 2 and c/a = 0.33 | m = 3 and c/a = 0.33 | ||||||
|---|---|---|---|---|---|---|---|---|---|---|
| fη,max-f-A/ fp,max-f-A | ηmax/pmax | fη,max-f-A/ fp,max-f-A | ηmax/pmax | fη,max-f-A/ fp,max-f-A | ηmax/pmax | fη,max-f-A/ fp,max-f-A | ηmax/pmax | |||
| f1 = 0.53 2f1 = 1.06 | ηmax-f/A | ηmax-f/A | 1.10–40 | 3.915 | 1.03–40 | 0.133 | 1.08–40 | 0.196 | 1.07–40 | 0.068 |
| pmax(kPa) | 0.917 | 0.062 | 0.115 | 0.059 | ||||||
| Pmax-f (kPa) | ηmax/A | 1.10–40 | 3.915 | 1.04–40 | 0.127 | 1.08–40 | 0.196 | 1.06–40 | 0.064 | |
| pmax-f | 0.917 | 0.075 | 0.115 | 0.064 | ||||||
| f2 = 1.00 2f2 = 2.00 | ηmax-f/A | ηmax-f/A | 2.00–4.0 | 46.038 | 2.0–4.0 | 40.063 | 2.0–4.0 | 0.01 | 2.0–4.0 | 0.01 |
| pmax(kPa) | 0.919 | 0.827 | 0 | 0 | ||||||
| Pmax-f (kPa) | ηmax/A | 2.00–4.0 | 46.038 | 2.0–4.0 | 40.063 | 2.0–4.0 | 0.01 | 2.0–4.0 | 0.01 | |
| pmax-f | 0.919 | 0.827 | 0 | 0 | ||||||
| f3 = 1.38 2f3 = 2.76 | ηmax-f/A | ηmax-f/A | 2.65–5.0 | 36.938 | 2.75–5.0 | 3.644 | 2.7–5.0 | 26.628 | 2.75–5.0 | 2.336 |
| pmax(kPa) | 0.933 | 0.163 | 0.631 | 0.106 | ||||||
| Pmax-f (kPa) | ηmax/A | 2.70–5.0 | 34.349 | 2.75–5.0 | 3.644 | 2.7–5.0 | 26.628 | 2.7–5.0 | 2.038 | |
| pmax-f | 0.938 | 0.163 | 0.631 | 0.121 | ||||||
| f4 = 1.68 2f4 = 3.36 | ηmax-f/A | ηmax-f/A | 3.30–2.0 | 44.065 | 3.32–2.0 | 40.13 | 3.32–2.0 | 2.745 | 3.37–2.0 | 1.775 |
| pmax(kPa) | 0.412 | 0.313 | 0.104 | 0.042 | ||||||
| Pmax-f (kPa) | ηmax/A | 3.29–2.0 | 42.275 | 3.32–2.0 | 40.13 | 3.31–2.0 | 2.605 | 3.36–2.0 | 1.755 | |
| pmax-f | 0.422 | 0.313 | 0.109 | 0.043 | ||||||
| f5 = 1.93 2f5 = 3.86 | ηmax-f/A | ηmax-f/A | 3.80–2.0 | 37.435 | 3.79–2.0 | 11.845 | 3.80–2.0 | 4.925 | 3.80–2.0 | 1.32 |
| pmax(kPa) | 0.314 | 0.208 | 0.138 | 0.041 | ||||||
| Pmax-f (kPa) | ηmax/A | 3.80–2.0 | 37.435 | 3.79–2.0 | 11.845 | 3.80–2.0 | 4.925 | 3.80–2.0 | 1.32 | |
| pmax-f | 0.314 | 0.208 | 0.138 | 0.041 | ||||||
| f (Hz)-A (mm) | 1.09-40 | 2.00-4 | 2.80-5 | 3.30-2 | 3.80-2 | |||||
|---|---|---|---|---|---|---|---|---|---|---|
| ηmax/A | ▽η (%) | ηmax/A | ▽η (%) | ηmax/A | ▽η (%) | ηmax/A | ▽η (%) | ηmax/A | ▽η (%) | |
| m = 0 | 3.54 | 46.04 | 21.83 | 44.07 | 37.44 | |||||
| m = 1 | 0.1 | 97.18 | 40.06 | 13 | Amp. = 0 | 100 | 40.13 | 8.94 | 11.56 | 69.12 |
| m = 2 and c/a = 0.33 | 0.19 | 94.6 | Amp. = 0 | 100 | 21.72 | 0.504 | 2.385 | 94.59 | 4.925 | 86.85 |
| m = 3 and c/a = 0.33 | 0.06 | 98.3 | Amp. = 0 | 100 | Amp. = 0 | 100 | 1.115 | 97.47 | 1.32 | 96.47 |
| Pmax | ▽p (%) | Pmax | ▽p (%) | Pmax | ▽p (%) | Pmax | ▽p (%) | Pmax | ▽p (%) | |
| m = 0 | 0.779 | 0.919 | 0.629 | 0.412 | 0.314 | |||||
| m = 1 | 0.068 | 91.269 | 0.827 | 10.081 | Amp. = 0 | 100 | 0.308 | 25.244 | 0.205 | 34.507 |
| m = 2 and c/a = 0.33 | 0.107 | 86.262 | Amp. = 0 | 100 | 0.572 | 9.001 | 0.112 | 72.94 | 0.138 | 56.174 |
| m = 3 and c/a = 0.33 | 0.048 | 93.837 | Amp. = 0 | 100 | Amp. = 0 | 100 | 0.008 | 98.158 | 0.041 | 86.802 |
Disclaimer/Publisher’s Note: The statements, opinions and data contained in all publications are solely those of the individual author(s) and contributor(s) and not of MDPI and/or the editor(s). MDPI and/or the editor(s) disclaim responsibility for any injury to people or property resulting from any ideas, methods, instructions or products referred to in the content. |
© 2026 by the authors. Licensee MDPI, Basel, Switzerland. This article is an open access article distributed under the terms and conditions of the Creative Commons Attribution (CC BY) license.
Share and Cite
Yu, L.; Luo, X.; Lin, J.; Fan, J.; Jin, H. Experimental Study on Suppression and Mechanism of Sloshing Impact Pressure by Vertical Slat Screens Under Broadband Horizontal and Vertical Excitation. J. Mar. Sci. Eng. 2026, 14, 220. https://doi.org/10.3390/jmse14020220
Yu L, Luo X, Lin J, Fan J, Jin H. Experimental Study on Suppression and Mechanism of Sloshing Impact Pressure by Vertical Slat Screens Under Broadband Horizontal and Vertical Excitation. Journal of Marine Science and Engineering. 2026; 14(2):220. https://doi.org/10.3390/jmse14020220
Chicago/Turabian StyleYu, Liting, Xiaoqian Luo, Jingcheng Lin, Jie Fan, and Heng Jin. 2026. "Experimental Study on Suppression and Mechanism of Sloshing Impact Pressure by Vertical Slat Screens Under Broadband Horizontal and Vertical Excitation" Journal of Marine Science and Engineering 14, no. 2: 220. https://doi.org/10.3390/jmse14020220
APA StyleYu, L., Luo, X., Lin, J., Fan, J., & Jin, H. (2026). Experimental Study on Suppression and Mechanism of Sloshing Impact Pressure by Vertical Slat Screens Under Broadband Horizontal and Vertical Excitation. Journal of Marine Science and Engineering, 14(2), 220. https://doi.org/10.3390/jmse14020220

