Sign in to use this feature.

Years

Between: -

Subjects

remove_circle_outline
remove_circle_outline
remove_circle_outline
remove_circle_outline
remove_circle_outline
remove_circle_outline
remove_circle_outline
remove_circle_outline
remove_circle_outline

Journals

remove_circle_outline
remove_circle_outline
remove_circle_outline
remove_circle_outline
remove_circle_outline
remove_circle_outline
remove_circle_outline
remove_circle_outline
remove_circle_outline

Article Types

Countries / Regions

remove_circle_outline
remove_circle_outline
remove_circle_outline
remove_circle_outline

Search Results (354)

Search Parameters:
Keywords = mass state transition

Order results
Result details
Results per page
Select all
Export citation of selected articles as:
34 pages, 6690 KB  
Article
Assessing the Effect of Mineralogy and Reaction Pathways on Geological Hydrogen (H2) Generation in Ultramafic and Mafic (Basaltic) Rocks
by Abubakar Isah, Hamidreza Samouei and Esuru Rita Okoroafor
Hydrogen 2025, 6(4), 76; https://doi.org/10.3390/hydrogen6040076 - 1 Oct 2025
Abstract
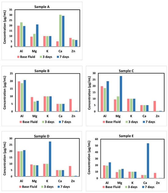
This study evaluates the impact of mineralogy, elemental composition, and reaction pathways on hydrogen (H2) generation in seven ultramafic and mafic (basaltic) rocks. Experiments were conducted under typical low-temperature hydrothermal conditions (150 °C) and captured early and evolving stages of fluid–rock [...] Read more.
This study evaluates the impact of mineralogy, elemental composition, and reaction pathways on hydrogen (H2) generation in seven ultramafic and mafic (basaltic) rocks. Experiments were conducted under typical low-temperature hydrothermal conditions (150 °C) and captured early and evolving stages of fluid–rock interaction. Pre- and post-interactions, the solid phase was analyzed using X-ray Diffraction (XRD) and X-ray Photoelectron Spectroscopy (XPS), while Inductively Coupled Plasma Mass Spectrometry (ICP-MS) was used to determine the composition of the aqueous fluids. Results show that not all geologic H2-generating reactions involving ultramafic and mafic rocks result in the formation of serpentine, brucite, or magnetite. Our observations suggest that while mineral transformation is significant and may be the predominant mechanism, there is also the contribution of surface-mediated electron transfer and redox cycling processes. The outcome suggests continuous H2 production beyond mineral phase changes, indicating active reaction pathways. Particularly, in addition to transition metal sites, some ultramafic rock minerals may promote redox reactions, thereby facilitating ongoing H2 production beyond their direct hydration. Fluid–rock interactions also regenerate reactive surfaces, such as clinochlore, zeolite, and augite, enabling sustained H2 production, even without serpentine formation. Variation in reaction rates depends on mineralogy and reaction kinetics rather than being solely controlled by Fe oxidation states. These findings suggest that ultramafic and mafic rocks may serve as dynamic, self-sustaining systems for generating H2. The potential involvement of transition metal sites (e.g., Ni, Mo, Mn, Cr, Cu) within the rock matrix may accelerate H2 production, requiring further investigation. This perspective shifts the focus from serpentine formation as the primary driver of H2 production to a more complex mechanism where mineral surfaces play a significant role. Understanding these processes will be valuable for refining experimental approaches, improving kinetic models of H2 generation, and informing the site selection and design of engineered H2 generation systems in ultramafic and mafic formations. Full article
(This article belongs to the Special Issue Advances in Hydrogen Production, Storage, and Utilization)
Show Figures

Figure 1

11 pages, 1765 KB  
Article
Viscosity Analysis of Electron-Beam Degraded Gellan in Dilute Aqueous Solution
by Fathi Elashhab, Lobna Sheha, Nada Elzawi and Abdelsallam E. A. Youssef
Physchem 2025, 5(4), 40; https://doi.org/10.3390/physchem5040040 - 30 Sep 2025
Abstract
Gellan gum (Gellan), a versatile polysaccharide applied in gel formation and prebiotic formulations, is often processed to tailor its molecular properties. Previous studies employed gamma irradiation and chemical hydrolysis, though without addressing systematic scaling behavior. This study investigates the structural and conformational modifications [...] Read more.
Gellan gum (Gellan), a versatile polysaccharide applied in gel formation and prebiotic formulations, is often processed to tailor its molecular properties. Previous studies employed gamma irradiation and chemical hydrolysis, though without addressing systematic scaling behavior. This study investigates the structural and conformational modifications of Gellan in dilute aqueous salt solutions using a safer and eco-friendly approach: atmospheric low-dose electron beam (e-beam) degradation coupled with viscosity analysis. Native and E-beam-treated Gellan samples (0.05 g/cm3 in 0.1 M KCl) were examined by relative viscosity at varying temperatures, with intrinsic viscosity and molar mass determined via Solomon–Ciuta and Mark–Houwink relations. Molar mass degradation followed first-order kinetics, yielding rate constants and degradation lifetimes. Structural parameters, including radius of gyration and second virial coefficient, produced scaling coefficients of 0.62 and 0.15, consistent with perturbed coil conformations in a good solvent. The shape factor confirmed preservation of an ideal random coil structure despite irradiation. Conformational flexibility was further analyzed using theoretical models. Transition state theory (TST) revealed that e-beam radiation lowered molar mass and activation energy but raised activation entropy, implying reduced flexibility alongside enhanced solvent interactions. The freely rotating chain (FRC) model estimated end-to-end distance (Rθ) and characteristic ratio (C), while the worm-like chain (WLC) model quantified persistence length (lp). Results indicated decreased Rθ, increased lp, and largely unchanged C, suggesting diminished chain flexibility without significant deviation from ideal coil behavior. Overall, this work provides new insights into Gellan’s scaling laws and flexibility under aerobic low-dose E-beam irradiation, with relevance for bioactive polysaccharide applications. Full article
(This article belongs to the Section Theoretical and Computational Chemistry)
Show Figures

Figure 1

21 pages, 1435 KB  
Article
Electromagnetically Induced Transparency in a GaAs Coupled Quantum Dot-Ring
by R. V. H. Hahn, A. S. Giraldo-Neira, J. A. Vinasco, J. A. Gil-Corrales, A. L. Morales and C. A. Duque
Nanomaterials 2025, 15(18), 1455; https://doi.org/10.3390/nano15181455 - 22 Sep 2025
Viewed by 300
Abstract
In this work, the ground and low-lying excited states in a GaAs coupled quantum dot-ring embedded in an AlGaAs cylindrical matrix are computed under the assumption of a finite confinement potential and an axisymmetric model by means of the finite element method and [...] Read more.
In this work, the ground and low-lying excited states in a GaAs coupled quantum dot-ring embedded in an AlGaAs cylindrical matrix are computed under the assumption of a finite confinement potential and an axisymmetric model by means of the finite element method and the effective mass approximation. The electron energy levels are studied as functions of the intensity of externally applied electric and magnetic fields. Electromagnetically induced transparency in the ladder configuration and linear optical absorption coefficient are calculated thereupon. Our results suggest that magnetic fields are more suitable than electric fields for controlling the optical properties of this nanostructure. Also, we found that the system’s response, however, exhibits a striking asymmetry: while the electromagnetically induced transparency is unexpectedly quenched under positive electric fields due to vanishing dipole transition matrix elements, this limitation is completely overcome by a magnetic field. Its application not only restores optical transparency across the full range of electric field values but also drives substantially larger energy level shifts and clear Aharonov–Bohm oscillations, making it a far more robust tool for controlling the optical properties of confined electrons in dot-ring coupled heterostructures. Full article
(This article belongs to the Section Nanoelectronics, Nanosensors and Devices)
Show Figures

Figure 1

39 pages, 1469 KB  
Review
Catalytic Combustion of Fugitive Methane: Challenges and Current State of the Technology
by Robert E. Hayes, Joanna Profic-Paczkowska, Roman Jędrzejczyk and Joseph P. Mmbaga
Appl. Sci. 2025, 15(18), 10269; https://doi.org/10.3390/app151810269 - 21 Sep 2025
Viewed by 422
Abstract
This review covers the current state, challenges, and future directions of catalytic combustion technologies for mitigating fugitive methane emissions from the fossil fuel industry. Methane, a potent greenhouse gas, is released from diverse sources, including natural gas production, oil operations, coal mining, and [...] Read more.
This review covers the current state, challenges, and future directions of catalytic combustion technologies for mitigating fugitive methane emissions from the fossil fuel industry. Methane, a potent greenhouse gas, is released from diverse sources, including natural gas production, oil operations, coal mining, and natural gas engines. The paper details the primary emission sources, and addresses the technical difficulties associated with dilute and variable methane streams such as ventilation air methane (VAM) from underground coal mines and low-concentration leaks from oil and gas infrastructure. Catalytic combustion is a useful abatement solution due to its ability to destruct methane in lean and challenging conditions at lower temperatures than conventional combustion, thereby minimizing secondary pollutant formation such as NOX. The review surveys the key catalyst classes, including precious metals, transition metal oxides, hexa-aluminates, and perovskites, and underscores the crucial role of reactor internals, comparing packed beds, monoliths, and open-cell foams in terms of activity, mass transfer, and pressure drop. The paper discusses advanced reactor designs, including flow-reversal and other recuperative systems, modelling approaches, and the promise of advanced manufacturing for next-generation catalytic devices. The review highlights the research needs for catalyst durability, reactor integration, and real-world deployment to enable reliable methane abatement. Full article
(This article belongs to the Special Issue Applied Research in Combustion Technology and Heat Transfer)
Show Figures

Figure 1

20 pages, 2923 KB  
Article
Synthesis and Integration of an Fe(II) Coordination Compound into Green Resin Matrices for Multifunctional Dielectric, Piezoelectric, Energy Harvesting, and Storage Applications
by Anastasios C. Patsidis, Ioanna Th. Papageorgiou and Zoi G. Lada
Polymers 2025, 17(18), 2509; https://doi.org/10.3390/polym17182509 - 17 Sep 2025
Viewed by 320
Abstract
Polymer-based hybrid composites have emerged as promising platforms for multifunctional energy applications, combining structural versatility with tunable dielectric behavior. In this study, synthesized [Fe(bpy)3]SO4; (tris(2,2′-bipyridine)iron(II) sulfate) coordination compound was incorporated into a green epoxy resin matrix to fabricate nanocomposites [...] Read more.
Polymer-based hybrid composites have emerged as promising platforms for multifunctional energy applications, combining structural versatility with tunable dielectric behavior. In this study, synthesized [Fe(bpy)3]SO4; (tris(2,2′-bipyridine)iron(II) sulfate) coordination compound was incorporated into a green epoxy resin matrix to fabricate nanocomposites aimed at enhancing dielectric permittivity (ε′), piezoelectric coefficient (d33, pC/N), energy-storage efficiency (nrel, %), and mechanical strength (σ, MPa). The integration of the Fe(II) complex via Scanning Electron Microscopy (SEM) confirmed a homogeneous dispersion within the matrix. Broadband Dielectric Spectroscopy (BDS) revealed the presence of three relaxation processes in the spectra of the tested systems, demonstrating enhanced dielectric permittivity with increasing Fe(II) content. Under progressively shorter relaxation times (τ, s), key processes such as interfacial polarization, the polymer matrix’s transition from a glassy to a rubbery state, and the dynamic reorganization of polar side groups along the polymer backbone are activated. The ability to store and retrieve electric energy was confirmed by varying filler content under direct current (dc) conditions. The nanocomposite with 10 phr (mass parts/100 mass parts of resin) filler achieved a piezoelectric coefficient of d33 = 5.1 pC/N, an energy-storage efficiency of nrel = 44%, and a tensile strength of σ = 55.5 MPa, all of which surpass values reported for conventional epoxy-based composites. These results confirm the ability of the system to store and retrieve electric energy under direct current (dc) fields, while maintaining mechanical robustness and thermal stability due to synergistic interactions between the epoxy matrix and the Fe(II) complex. The multifunctional behavior of the composites underscores their potential as advanced materials for integrated dielectric, piezoelectric, and energy storage and harvesting applications. Full article
Show Figures

Graphical abstract

22 pages, 1725 KB  
Article
Stochastic Model Predictive Control for Parafoil System via Markov-Based Multi-Scenario Optimization
by Qi Feng, Qingbin Zhang, Zhiwei Feng, Jianquan Ge, Qingquan Chen, Linhong Li and Yujiao Huang
Aerospace 2025, 12(9), 810; https://doi.org/10.3390/aerospace12090810 - 8 Sep 2025
Viewed by 343
Abstract
As an essential technology for precision airdrop missions, parafoil systems have gained widespread adoption in military and civilian applications due to their superior glide performance and maneuverability compared to conventional parachutes. Addressing the trajectory-tracking control challenges of the parafoil system under significant wind [...] Read more.
As an essential technology for precision airdrop missions, parafoil systems have gained widespread adoption in military and civilian applications due to their superior glide performance and maneuverability compared to conventional parachutes. Addressing the trajectory-tracking control challenges of the parafoil system under significant wind disturbances, characterized by wind uncertainty and system underactuation, this paper proposes a stochastic model predictive control (SMPC) framework based on Markov-based multi-scenario optimization. Traditional deterministic model predictive control (MPC) methods often exhibit excessive conservatism due to reliance on worst-case assumptions and fail to capture the time-varying nature of real-world wind fields. To address these limitations, a high-fidelity dynamic model is developed to accurately characterize aerodynamic coupling effects, overcoming the oversimplifications of conventional three-degree-of-freedom point-mass models. Leveraging Markov state transitions, multiple wind-disturbance scenarios are dynamically generated, effectively overcoming the limitations of independent and identically distributed hypotheses in modeling realistic wind variations. A probabilistic constraint-reconstruction strategy combined with a rolling time-domain covariance update mechanism mitigates uncertainties and enables cooperative optimization of inner-loop attitude stabilization and outer-loop trajectory tracking. The simulation results demonstrate that the SMPC framework achieves superior comprehensive performance compared to deterministic MPC, evidenced by significant reductions in maximum position error, average position error, and control effort variation rate, along with a 94% tracking success rate. By balancing robustness, tracking precision, and computational efficiency, the method provides a theoretical foundation and a promising simulation-validated solution for airdrop missions. Full article
(This article belongs to the Special Issue Advances in Landing Systems Engineering)
Show Figures

Figure 1

13 pages, 2080 KB  
Article
First-Principles Study on the Photocatalytic Performance of K(Ta0.5Nb0.5)O3 Doped with Metals (Cd, Sn, Hf)
by Can Zhao, Qiao-Yue Chen, Xin-Yuan Zhou, Xu-Cai Zhao, Bo-Cheng Lei, Li-Li Zhang, Jing Zhao and Yi-Neng Huang
Nanomaterials 2025, 15(17), 1322; https://doi.org/10.3390/nano15171322 - 28 Aug 2025
Viewed by 629
Abstract
Based on the excellent performance of the K(Ta0.5Nb0.5)O3 (KTN) system, this study systematically investigated the mechanism of the influence of metal element (Cd, Sn, Hf) doping on the photocatalytic performance of KTN ferroelectric materials using the density functional [...] Read more.
Based on the excellent performance of the K(Ta0.5Nb0.5)O3 (KTN) system, this study systematically investigated the mechanism of the influence of metal element (Cd, Sn, Hf) doping on the photocatalytic performance of KTN ferroelectric materials using the density functional theory (DFT) based on first principles. The findings indicate that after metal atom doping, the tolerance factor of doping systems is similar to that of pure KTN crystals, confirming that doping does not compromise its structural stability. However, the ion radius differences caused by doping lead to lattice distortion, significantly reducing the bandgap width. Because the impurity element substituting the Ta site exhibits a lower valence state compared to Ta, holes become the majority carriers, thereby endowing the semiconductor with p-type characteristics. These characteristics effectively suppress electron–hole recombination while enhancing electron transitions. Furthermore, the increase in the dielectric constant of the doped system indicates an enhancement in its polarization capability, which is accompanied by a significant improvement in carrier mobility. The peak of the imaginary part of the dielectric function and the peak of the absorption spectrum both shift towards the low-energy region, indicating that doping has expanded the light response range of the system. Moreover, the effective mass of the holes in all doped systems is significantly higher than that of the electrons, further demonstrating that the introduction of impurities is conducive to hindering the separation of photogenerated electron–hole pairs. These modifications significantly enhance the photocatalytic performance of the systems. Full article
Show Figures

Figure 1

29 pages, 2044 KB  
Article
Gravity Wave Phase Shift in a Cold Quark Star with a Nonconvex QCD BZT Shock Wave Van Der Waals Equation of State
by Keith Andrew, Eric V. Steinfelds and Kristopher A. Andrew
Astronomy 2025, 4(3), 14; https://doi.org/10.3390/astronomy4030014 - 22 Aug 2025
Viewed by 420
Abstract
We investigate BZT shocks and the QCD phase transition in the dense core of a cold quark star in beta equilibrium subject to the multicomponent van der Waals (MvdW) equation of state (EoS) as a model of internal structure. When this system is [...] Read more.
We investigate BZT shocks and the QCD phase transition in the dense core of a cold quark star in beta equilibrium subject to the multicomponent van der Waals (MvdW) equation of state (EoS) as a model of internal structure. When this system is expressed in terms of multiple components, it can be used to explore the impact of a phase transition from a hadronic state to a quark plasma state with a complex clustering structure. The clustering can take the form of colored diquarks or triquarks and bound colorless meson, baryon, or hyperon states at the phase transition boundary. The resulting multicomponent EoS system is nonconvex, which can give rise to Bethe–Zel’dovich–Thompson (BZT) phase-changing shock waves. Using the BZT shock wave condition, we find constraints on the quark density and examine how this changes the tidal deformability of the compact core. These results are then combined with the TOV equations to find the resulting mass and radius relationship. These states are compared to recent astrophysical high-mass neutron star systems, which may provide evidence for a core that has undergone a quark gluon phase transition such as PSR 0943+10 or GW 190814. Full article
Show Figures

Figure 1

18 pages, 8498 KB  
Article
Plasma Metabolomic Profiling Reveals Systemic Alterations in a Mouse Model of Type 2 Diabetes
by Masuma Akter Brishti, Fregi Vazhappully Francis and M. Dennis Leo
Metabolites 2025, 15(9), 564; https://doi.org/10.3390/metabo15090564 - 22 Aug 2025
Viewed by 638
Abstract
Background: Type 2 diabetes (T2D), the most common form of diabetes, is associated with a significantly elevated risk of cardiovascular and cerebrovascular complications. However, circulating metabolic signatures that reliably predict the transition to insulin resistance, and are potentially linked to increased vascular risk, [...] Read more.
Background: Type 2 diabetes (T2D), the most common form of diabetes, is associated with a significantly elevated risk of cardiovascular and cerebrovascular complications. However, circulating metabolic signatures that reliably predict the transition to insulin resistance, and are potentially linked to increased vascular risk, remain incompletely characterized. Rodent models, particularly those induced by a high-fat diet (HFD) combined with low-dose streptozotocin (STZ), are widely used to study the progression of T2D. However, the systemic metabolic shifts associated with this model, especially at the plasma level, are poorly defined. Methods: In this study, we performed untargeted liquid chromatography–mass spectrometry (LC-MS)-based metabolomic profiling on plasma samples from control, HFD-only (obese, insulin-sensitive), and HFD + STZ (obese, insulin-resistant) C57BL/6 mice. Results: In the HFD + STZ cohort, plasma profiles showed a global shift toward lipid classes; depletion of aromatic and branched-chain amino acids (BCAAs); accumulation of phenylalanine-derived co-metabolites, consistent with gut–liver axis dysregulation; elevations in glucose, fructose-6-phosphate, and nucleoside catabolites, indicating impaired glucose handling and heightened nucleotide turnover; increased free fatty acids, reflecting membrane remodeling and lipotoxic stress; and higher cAMP, thyroxine, hydrocortisone, and uric acid, consistent with endocrine and redox imbalance. By contrast, HFD-only mice exhibited elevations in aromatic amino acids and BCAAs relative to controls, a pattern compatible with early obesity-associated adaptation while insulin signaling remained partially preserved. KEGG analysis revealed disturbances in carbohydrate metabolism, amino acid degradation, nucleotide turnover, and hormone-related pathways, and HMDB mapping linked these changes to T2D, obesity, heart failure, and renal dysfunction. Conclusion: Collectively, these findings delineate insulin resistance-specific plasma signatures of metabolic inflexibility and inflammatory stress in the HFD + STZ model, distinguishing it from HFD alone and supporting its utility for mechanistic studies and biomarker discovery. Importantly, this plasma metabolomics study shows that insulin-sensitive and insulin-resistant states exhibit distinct variation in circulating metabolites and cardiovascular risk factors, underscoring the translational value of plasma profiling. Full article
(This article belongs to the Topic Animal Models of Human Disease 3.0)
Show Figures

Graphical abstract

9 pages, 250 KB  
Communication
Kirchhoff’s Current Law: A Derivation from Maxwell’s Equations
by Robert S. Eisenberg
Computation 2025, 13(8), 200; https://doi.org/10.3390/computation13080200 - 19 Aug 2025
Viewed by 688
Abstract
Kirchhoff’s current law was originally derived for systems such as telegraphs that switch in 0.1 s. It is used widely today to design circuits in computers that switch in ~0.1 nanoseconds, one billion times faster. Current behaves differently in one second and one-tenth [...] Read more.
Kirchhoff’s current law was originally derived for systems such as telegraphs that switch in 0.1 s. It is used widely today to design circuits in computers that switch in ~0.1 nanoseconds, one billion times faster. Current behaves differently in one second and one-tenth of a nanosecond. A derivation of a current law from the fundamental equations of electrodynamics—the Maxwell equations—is needed. Here is a derivation in one line: div curlB/μ0=0=divJ+(εr1)ε0E/t+ε0E/t=divJtotal. Maxwell’s ‘true’ current is defined as Jtotal. The universal displacement current found everywhere is ε0E/t. The conduction current J is carried by any charge with mass, no matter how small, brief, or transient, driven by any source, e.g., diffusion. The second term (εr1)ε0E/t is the usual approximation to the polarization currents of ideal dielectrics. The dielectric constant εr  is a dimensionless real number. Real dielectrics can be very complicated. They require a complete theory of polarization to replace the (εr1)ε0E/t term. The Maxwell current law divJtotal=0 defines the solenoidal field of total current that has zero divergence, typically characterized in two dimensions by streamlines that end where they begin, flowing in loops that form circuits. Note that the conduction current J is not solenoidal. Conduction current J accumulates significantly in many chemical and biological applications. Total current Jtotal does not accumulate in any time interval or in any circumstance where the Maxwell equations are valid. Jtotal does not accumulate during the transitions of electrons from orbital to orbital within a chemical reaction, for example. Jtotal should be included in chemical reaction kinetics. The classical Kirchhoff current law div J=0 is an approximation used to analyze idealized topological circuits found in textbooks. The classical Kirchhoff current law is shown here by mathematics to be valid only when Jε0E/t, typically in the steady state. The Kirchhoff current law is often extended to much shorter times to help topological circuits approximate some of the displacement currents not found in the classical Kirchhoff current law. The original circuit is modified. Circuit elements—invented or redefined—are added to the topological circuit for that purpose. Full article
(This article belongs to the Section Computational Engineering)
33 pages, 732 KB  
Article
China’s Legal Protection System for Pangolins: Past, Present, and Future
by Da Su, Kai Wu and Anzi Nie
Animals 2025, 15(16), 2422; https://doi.org/10.3390/ani15162422 - 18 Aug 2025
Viewed by 757
Abstract
This article examines the historical evolution, contemporary dynamics, and future trajectory of China’s legal and judicial framework for pangolin protection. By reviewing over seventy years of regulatory changes, case law, and policy implementation, it outlines three distinct phases: the early emphasis on pangolins [...] Read more.
This article examines the historical evolution, contemporary dynamics, and future trajectory of China’s legal and judicial framework for pangolin protection. By reviewing over seventy years of regulatory changes, case law, and policy implementation, it outlines three distinct phases: the early emphasis on pangolins as medicinal and export resources (1949–1989); the phase of conflicted protection and utilization under regulatory expansion (1989–2020); and the post-2020 shift toward judicial activism and ecological civil litigation. We then highlight the long-standing contradiction between legislative protection and continued medicinal use, particularly the centuries-old use of pangolins and their derivatives in traditional Chinese medicine, a practice still acknowledged within certain state policies and regulatory frameworks, showing how these inconsistencies enabled persistent illegal exploitation despite regulatory controls. Through systematic analysis of public court records and case databases, the policy historical records reveal a marked increase in environmental public interest litigation since 2020. These lawsuits, often attached to criminal prosecutions, signal a transition from merely punitive approaches to restorative ones—anchored in ecological valuation of species and their services. Case studies illustrate how courts now impose not only wildlife resource loss fees, but also punitive damages and compensation for ecological service function loss. The article will elaborate in detail on the distinctions and interrelations among these types of compensation. The landmark Case No.17 also demonstrates this paradigm shift, wherein courts recognized pangolins’ role in balancing forest ecosystems. However, significant challenges persist. Valuation methodologies lack uniform standards; while the ecological value of pangolins has been recognized, their inherent value as individuals has not been emphasized within the legal system; judicial discretion varies across jurisdictions; and public interest organizations remain underutilized in litigation. Moreover, while the crackdown on organized crime succeeded in curbing mass trafficking, smaller-scale violations tied to cultural consumption for medicine use persist. The article concludes that judicial innovations, such as ecological judicial restoration bases and integration into China’s draft Ecological Environment Code, offer promising pathways forward. To enhance efficacy, it calls for standardization in ecological valuation, strengthened civil society participation, and nuanced differentiation in penal strategies between minor and serious offenses. This study ultimately positions judicial reform as the cornerstone of China’s evolving pangolin conservation strategy. Full article
(This article belongs to the Special Issue Wild Animal Welfare: Science, Ethics and Law)
Show Figures

Figure 1

24 pages, 3598 KB  
Article
State of the Art on Empirical and Numerical Methods for Cave Stability Analysis: Application in Al-Badia Lava Tube, Harrat Al-Shaam, Jordan
by Ronald Herrera, Daniel Garcés, Abdelmadjid Benrabah, Ahmad Al-Malabeh, Rafael Jordá-Bordehore and Luis Jordá-Bordehore
Appl. Mech. 2025, 6(3), 56; https://doi.org/10.3390/applmech6030056 - 31 Jul 2025
Viewed by 497
Abstract
Empirical and numerical methodologies for the geomechanical assessment of underground excavations have evolved in recent years to adapt to the geotechnical and structural conditions of natural caves, enabling stability evaluation and ensuring safe conditions for speleological exploration. This study analyzes the evolution of [...] Read more.
Empirical and numerical methodologies for the geomechanical assessment of underground excavations have evolved in recent years to adapt to the geotechnical and structural conditions of natural caves, enabling stability evaluation and ensuring safe conditions for speleological exploration. This study analyzes the evolution of the state of the art of these techniques worldwide, assessing their reliability and application context, and identifying the most suitable methodologies for determining the stability of the Al-Badia lava tube. The research was conducted through bibliographic analysis and rock mass characterization using empirical geomechanical classifications. Subsequently, the numerical boundary element method (BEM) was applied to compare the obtained results and model the stress–strain behavior of the cavity. The results allowed the classification of the Al-Badia lava tube into stable, transition, and unstable zones, using empirical support charts and determining the safety factors of the surrounding rock mass. The study site highlights that empirical methods are rather conservative, and numerical results align better with observed conditions. Full article
Show Figures

Figure 1

18 pages, 840 KB  
Article
Centralized vs. Decentralized Black-Mass Production: A Comparative Analysis of Lithium Reverse Logistics Supply Chain Networks
by Oluwatosin S. Atitebi and Erick C. Jones
Logistics 2025, 9(3), 97; https://doi.org/10.3390/logistics9030097 - 23 Jul 2025
Viewed by 710
Abstract
Background: The transition to renewable energy is intensifying demand for lithium-ion batteries (LIBs), thereby increasing the need for sustainable lithium sourcing. Traditional mining practices pose environmental and health risks, which can be mitigated through efficient end-of-life recycling systems. Methods: This study [...] Read more.
Background: The transition to renewable energy is intensifying demand for lithium-ion batteries (LIBs), thereby increasing the need for sustainable lithium sourcing. Traditional mining practices pose environmental and health risks, which can be mitigated through efficient end-of-life recycling systems. Methods: This study proposes a modified lithium reverse logistics network that decentralizes black-mass production at distributed facilities before centralized extraction, contrasting with conventional models that transport raw LIBs directly to central processing sites. Using the United States as a case study, two mathematical optimization (mixed-integer linear programming) models were developed to compare the traditional and modified networks in terms of cost efficiency and carbon emissions. Results: The model indicates that the proposed network significantly reduces both operational costs and emissions. Conclusions: This study highlights its potential to support a greener economy and inform policy development. Full article
Show Figures

Figure 1

31 pages, 345 KB  
Article
The Limits of a Success Story: Rethinking the Shenzhen Metro “Rail Plus Property” Model for Planning Sustainable Urban Transit in China
by Congcong Li and Natacha Aveline-Dubach
Land 2025, 14(8), 1508; https://doi.org/10.3390/land14081508 - 22 Jul 2025
Viewed by 1485
Abstract
Land Value Capture (LVC) is increasingly being emphasized as a key mechanism for financing mass transit systems, promoted as a sustainability-oriented policy tool amid tightening public budgets. China has adopted a development-led approach to value capture through the “Rail plus Property (R + [...] Read more.
Land Value Capture (LVC) is increasingly being emphasized as a key mechanism for financing mass transit systems, promoted as a sustainability-oriented policy tool amid tightening public budgets. China has adopted a development-led approach to value capture through the “Rail plus Property (R + P)” model, drawing inspiration from the Hong Kong experience. The Shenzhen Metro’s “R + P” strategy has been widely acclaimed as the key to its reputation as “the only profitable transit company in mainland China without subsidies.” This paper questions this assumption and argues that the Shenzhen model is neither sustainable nor replicable, as its past performance depended on two exceptional conditions: an ascending phase of a real-estate cycle and unique institutional concessions from the central state. To substantiate this argument, we contrast Shenzhen’s value capture strategy with that of Nanjing—a provincial capital operating under routine institutional conditions, with governance and spatial structures broadly reflecting the prevailing urban development model in China. Using a comparative framework structured around three key dimensions of LVC—urban governance, risk management, and the transit company’s shift toward real estate—this paper reveals how distinct urban political economies give rise to contrasting value capture approaches: one expansionary, prioritizing short-term profit and rapid scale-up while downplaying risk management (Shenzhen); the other conservative, shaped by institutional constraints and characterized by reactive, incremental adjustments (Nanjing). These findings suggest that while LVC instruments offer valuable potential as a funding source for public transit, their long-term viability depends on early institutional embedding that aligns spatial, fiscal, and political interests, alongside well-developed project planning and capacity support in real estate expertise. Full article
35 pages, 715 KB  
Article
Properties of the Object HESS J1731-347 as a Twin Compact Star
by David E. Alvarez-Castillo
Universe 2025, 11(7), 224; https://doi.org/10.3390/universe11070224 - 5 Jul 2025
Viewed by 803
Abstract
By consideration of the compact object HESS J1731-347 as a hybrid twin compact star, i.e., a more compact star than its hadronic twin of the same mass, its stellar properties are derived. In addition to showing that the properties of compact stars in [...] Read more.
By consideration of the compact object HESS J1731-347 as a hybrid twin compact star, i.e., a more compact star than its hadronic twin of the same mass, its stellar properties are derived. In addition to showing that the properties of compact stars in this work are in good agreement with state-of-the-art constraints both from measurements carried out in laboratory experiments as well as by multi-messenger astronomy observations, the realization of an early strong hadron–quark first-order phase transition as implied by the twins is discussed. Full article
(This article belongs to the Special Issue Studies in Neutron Stars)
Show Figures

Figure 1

Back to TopTop