Abstract
By consideration of the compact object HESS J1731-347 as a hybrid twin compact star, i.e., a more compact star than its hadronic twin of the same mass, its stellar properties are derived. In addition to showing that the properties of compact stars in this work are in good agreement with state-of-the-art constraints both from measurements carried out in laboratory experiments as well as by multi-messenger astronomy observations, the realization of an early strong hadron–quark first-order phase transition as implied by the twins is discussed.
1. Introduction
Neutron stars are massive and small stellar objects, therefore, matter in their interiors can be as dense as several times nuclear saturation density , the typical density value in atomic nuclei. There are several possibilities for the state of matter at extreme densities, like hyperon-rich matter, meson condensates, or deconfined quark matter (QM). The latter considers deconfined quarks interacting with gluons in a plasma-like state as opposed to hadronic matter where quarks are confined inside nucleons or mesons. This fact has motivated various studies that regard the equation of state (EoS) of compact stars from theoretical, experimental and astrophysical grounds. On the one hand, laboratory experiments can probe nuclear properties of isospin symmetric matter most precisely at nuclear saturation density, whereas observations of neutron stars provide information about integral quantities like stellar mass, radius, moment of inertia, etc.
The nuclear symmetry energy function, which is related to the deviation in the symmetry between the number of neutrons and protons is an important quantity in the description of neutron star matter; therefore, it has been object of studies in nuclear experiments as well as an input for EoS models. The value of the symmetry energy saturation density has been estimated to be around 30 MeV by an analysis that takes into consideration diverse measurements like neutron skin thicknesses and dipole polarizabilities, the symmetry energy at saturation falling within the range 30 MeV < S < 32 MeV [1]. Its slope also at saturation is characterized by the parameter L, which is quite uncertain due to discrepancies between different measurements and analyses, roughly falling within a range of 40 MeV < L < 80 MeV when taking into account different analyses; for example, it has been particularly reported by the aforementioned analysis [1] that MeV. In fact, the uncertainty in the estimation of symmetry energy parameters stems from the different empirical approaches. In [2], the authors implement relativistic mean field and nonrelativistic Skyrme-type interactions to reproduce the ground state binding energies, the charge radii, and the giant monopole resonances of a set of spherical nuclei in order to assess how well they can reproduce the observed properties of compact stars. They obtain the best values of MeV and MeV. It is important to note that in their analysis they do not consider phase transitions in dense matter, which we do specially consider in this work. Another estimate comes from the second Lead Radius EXperiment (PREX-II), the focus of which is to measure the neutron skin thickness of the 208Pb nucleus by means of parity-violating electron scattering, in order to determine how much the neutrons in the nucleus extend beyond the protons. Using PREX-II data, ref. [3] reports MeV and MeV, which are remarkably high.
Matter inside compact stars is indeed very different from that produced in relativistic heavy ion collisions (RHICs). Matter in the core of a compact star is homogeneous, contains leptons, is electrically charge neutral, and most importantly is in full thermodynamic equilibrium—conditions that are very different from those encountered in colliding nuclei. Matter in RHICs is extremely hot, temperatures reach K MeV), the baryon chemical potential is small and this regime corresponds to the quark–gluon plasma (QGP) phase, where quarks and gluons are deconfined. Neutron star matter is extremely dense, central densities can be several times nuclear saturation density (∼), the temperature is relatively low compared to QCD scales (T K), and it is essentially treated as zero-temperature matter in most models. In addition, this matter is composed of degenerate, confined hadronic or possibly deconfined quark matter in a strongly interacting, high-, low-T regime. When it comes to equilibrium and timescales, in RHICs, the system is far from equilibrium initially and rapidly evolves over ∼ s, with only a small, transient droplet of hot QCD matter created. Therefore, it is difficult for the system to achieve full thermodynamic equilibrium. The theoretical descriptions often rely on hydrodynamics, kinetic theory, or statistical models. Conversely, neutron star matter is in long-term equilibrium, both thermal and chemical (especially in the core). The system is static or quasi-static on astrophysical timescales (thousands to millions of years). In RHICs, matter is dominated by deconfined quarks and gluons, and usually the system exhibits chiral symmetry restoration and deconfinement. In compact stars, matter is typically dominated by confined hadrons (mostly neutrons, some protons, electrons, and muons), though inner cores may contain hyperons (strange baryons), deconfined quark matter (e.g., 2SC, CFL phases), pion/kaon condensates, or other exotic phases.
The most recent multi-messenger astronomical observations of compact stars include gravitational wave (GW) detections, as has been the case with GW170817 [4], involving two compact stars, or GW190814, possibly containing at least one compact star and a black hole [5]. Radio detection of pulsars has allowed the most accurate measurements of compact star masses, which include massive objects like J0740+6620 [6]. In addition, for this particular object, the Neutron Star Composition Explorer (NICER) has successfully provided an additional mass-radius measurement. NICER is focused on X-ray pulsating objects, and in this case, a joint radio and X-ray study has narrowed the uncertainties in the compact star mass and radius determination, commonly presented as a region in the so called mass-radius diagram, where sequences of compact stars are displayed. The most massive star of a sequence is determined by the EoS and is a quantity that is sought to be measured; for instance, a recent combined analysis with multi-messenger data of neutron stars has inferred it to be M⊙ at about 3% precision [7]. A useful reference [8] is a recent and complete review of multi-messenger observations of compact stars. It is expected that the next generation of interferometers used as gravitational waves detectors will considerably advance our knowledge on the compact star EoS; see also the recent blue paper on the Einstein telescope collaboration for the big picture and concept [9].
The twin compact stars scenario, in which there exists two compact stars of the same mass but of different sizes due to their different internal composition, provides a way to study the properties of dense nuclear matter by means of astrophysical observations. Within this realization, a strong first-order phase transition inside compact stars will give rise to a disconnected branch in their mass-radius diagram. The concept of compact star twins was introduced in seminal works like [10,11,12,13] followed by a period of low activity perhaps due to the lack of observational constraints. The phenomenon started to gain more interest as shown in [14,15,16,17,18,19,20] up to the multi-messenger era. The deconfinement transition could be located in the low-temperature, high-density axis of the isospin asymmetric Quantum Chromodynamics (QCD) phase diagram. Furthermore, the strong first-order phase transition could also be located at finite temperatures, implying that thermal twins might exist [21] and be formed during core-collapse supernovae explosions or in the process of binary star mergers that comprise at least one compact star. Recently, the estimated values of the millisecond pulsars PSR J0740+6620, PSR J0437-4715, J0030+0451, and PSR J1231-1411 have been re-analyzed under geometrical considerations of the topology of the X-ray stellar emitting area [22,23,24,25]. Importantly, the study presented in [26] has found the emission configurations that best favor compact star twins.
The object HESS J1731-347 has been reported to be a very light compact star with a mass of 0.77 M⊙ and a radius of 10.4 km [27]. Understanding the EoS is, therefore, challenging, with many propositions for explanation available. These ideas range from models considering pure hadronic compact stars [28,29,30], kaon condensation inside the compact stars [31], strange quark stars [32,33,34,35,36,37], hybrid compact stars [38,39,40,41], slow stable compact stars [42], modifications arising from the existence of dark matter [43,44], or alternative theories of gravity like in the work of [45], which considers the quadratic Rastall gravity. Bayesian results comparing some of the above possibilities for this stellar object are presented in [46].
The purpose of this study is to highlight the astrophysical properties of HESS J1731-347 as a hybrid star, namely, a twin compact star. This scenario could be indeed corroborated with upcoming multi-messenger observations. Without a loss of generalities, the most characteristic properties of compact star twins are shared with any other observed neutron star that are in order with current the state-of-the-art constraints.
The rest of this manuscript is organized follows. In Section 2, the equations of state under consideration describing the HESS pulsar are introduced. In Section 3, all the astrophysical properties are derived together with the computation methodologies. Finally, the summary, conclusions, and outlook are presented.
2. Equations of State for Compact Star Twins Describing HESS J1731-347
2.1. Hadronic EoS
In this work, two equations of state models are considered, resulting in three realizations of compact stars sequences. The resulting compact stars are described by a hadronic mantle that surrounds a quark matter core. The hadronic EoS is the density dependent relativistic mean field (RMF) model DD2 in its original version as well as the DD2F, whose stiffness is adjusted above saturation density to reproduce the pressure constraint by the matter flow in relativistic heavy ion collisions [47]. Moreover, both approached are equipped with the excluded volume correction that takes into account the stiffness of matter above saturation density from the interactions between the quarks inside nucleons [48]. The DD2MEVp80 and DD2FMEVp80 EoSs feature this effect by considering the available volume fraction for the motion of nucleons as density dependent in a Gaussian form
and if . Here, is the van der Waals excluded volume for a nucleon with a hard-core radius , and fm3 is the saturation density of infinite, symmetric nuclear matter. The index “p80” with the DD2 and DD2F parametrizations denotes a positive excluded volume parameter of fm3. In order to describe compact stars, the matter in their interiors described by these hadronic excluded volume EoSs should undergo a phase transition at a lower density value than the one breaching causality , which happens at energy density values of = 277.963 MeV/fm3 for DD2FMEVp80, and = 272.77 MeV/fm3 for DD2MEVp80. These nuclear EoSs have been extensively used in systematic studies of hybrid stars, see for instance, [15,49,50].
2.2. Quark Matter EoS
2.2.1. CSS Model
Furthermore, the cores of compact stars in this work are expected to be comprised of deconfined quark matter; therefore, they are either described by the constant speed of sound (CSS) parameterization [51,52,53] or the non-local NJL model (nlNJL), as first introduced in [54] or recently extended to include three quark flavors in [55]. The CSS parameterization has been found to successfully describe quark matter equations of state [56,57], whereas the latter is an effective model that explicitly incorporates all the effects of the quark interactions and is regulated by several parameters. Hadronic EoSs are connected to QM EoSs via a Maxwell construction. The CSS parametrization is given by:
Here, corresponds to hadronic matter, is the pressure value at the phase transition, is the speed of sound in quark matter, and Δϵ is the energy density jump typical of a Maxwell-constructed first-order phase transition. Table 1 shows the choice of parameters for the description of the HESS J1731-347 star within this approach.
Table 1.
EoS parameters for CSS EoS labeled as DD2MEVp80-CSS (cs = 0.9), characterized by the speed of sound cs.
2.2.2. Non-Local NJL Model
The non-local NJL model is a more involved approach to two light-flavored quarks matter in which matter is computed under compact star conditions, i.e., electric and color charge neutrality, as well as in beta equilibrium. The starting point is the Euclidean action [54]
Here, is the current quark mass, which is considered to be equal for u and d quarks. The non-local currents include operators introduced on a separable approximation of the effective one gluon exchange model (OGE) of QCD. These currents are
with , , and , whereas and , with , stand for Pauli and Gell-Mann matrices acting on flavor and color spaces, respectively. in Equation (6) is a covariant form factor for the nonlocality of the effective quark interactions [58]. Moreover, a dimensionless vector coupling strength is defined as , which is treated as a free parameter responsible for the stiffness of quark matter EoS at nonzero densities. Further steps on the EoS computation include bosonization of the theory under the framework of the mean field approximation (MFA) and consideration of the Euclidean action at zero temperature and finite baryon chemical potential . Eventually, one arrives to the gap equations of the theory, which involves derivatives of the mean field grand canonical thermodynamic potential per unit volume with respect to the mean field values of isospin zero fields and diquark mean fields. After imposing the compact star matter conditions, one arrives to the QM pressure as a function of baryon chemical potential:
where a chemical potential-dependent bag pressure shift stemming, for instance, from a medium dependence of the gluon sector is allowed, with both parameters and B also dependent on the baryon chemical potential. Motivated by the fact that the value of the vector coupling strength parameter may actually vary as a function of the chemical potential [59], an interpolating function is introduced within the QM description in order to model the EoS in a certain range of chemical potentials. The interpolation allows (a) the modeling of the unknown density dependence of the quark confinement by interpolating the bag pressure contribution between zero and a finite value B at low densities near the hadron-to-quark matter transition, and (b) modeling the density dependent stiffening of quark matter at high density by interpolating between QM for two values of the vector coupling strength. This is achieved by utilizing two smooth switch-off functions, one that changes from 1 to 0 at a lower chemical potential related to a width ,
and one that does the same at a higher chemical potential with a width ,
These functions are complemented with the corresponding switch-on expressions,
which help to define the doubly interpolated QM pressure:
Alternatively, the above expression can be equivalently written in terms of a chemical potential-dependent vector mean-field coupling and a chemical potential-dependent bag pressure . In the highest density region, the non-local NJL model is substituted by the CSS parametrization in order to avoid an EoS causality violation. The CSS formulation in terms of the chemical baryon potential is as follows:
where is the matching chemical potential to the CSS QM description. The squared speed of sound is given in terms of the exponent:
or equivalently,
Thus, the condition that implies that . The coefficients and in Equation (14) are defined as:
with and . For the CSS EoS segments supplementing the nlNJL QM in this work, . Other parameters of this hybrid star EoS model are listed in Table 2. Further details on the full derivation of the nlNJL QM model can be found in [60,61].
Table 2.
Properties of the DD2MEVp80-nlNJL models, set 2 successfully describes the HESS J1731-347 compact object as a twin compact star. The EoS share all the parameter values but which is equal to 860 MeV for set 1 and 955 MeV for set 2. The resulting critical values for physical quantities at the onset of the first-order phase transition density like the the critical chemical potential , critical baryon density , critical energy density , and critical pressure and compact star mass , are also presented.
2.2.3. Maxwell Construction and Seidov Criterion for Stellar Stability
The EoSs of hybrid stars in this work feature a Maxwell construction from hadronic to quark matter. In turn, the Maxwell construction features a plateau of constant energy density in the EoS pressure–energy diagram, see Figure 1. As discussed below, it turns out that the length of this plateau plays an important role in the determination of the existence of compact star twins. A very important relation is the Seidov condition crit [62], which ensures the appearance of a disconnected branch in the mass-radius relation of compact stars. The critical values at the transition are related by
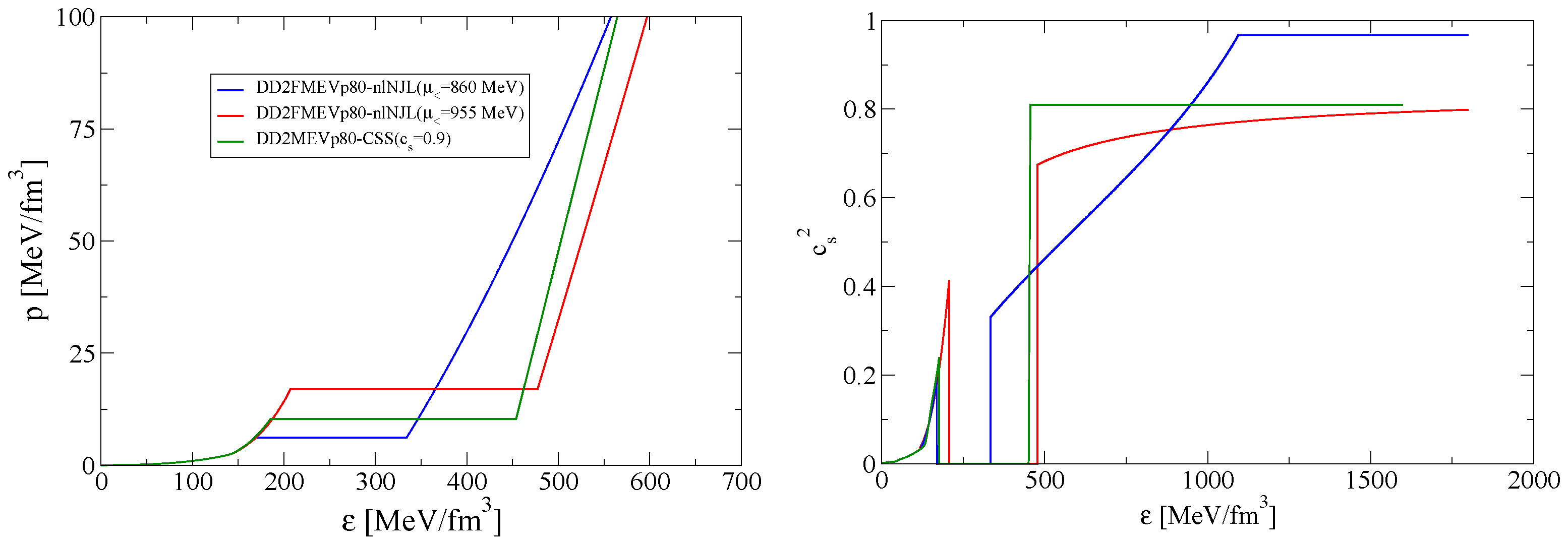
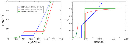
Figure 1.
(Left panel): Hybrid star equations of state with the hadronic branch from the RMF model DD2MEVp80 with a quark branch described by the CSS EoS with and the hadronic DD2FMeVp80t with quark matter branch from the nonlocal chiral quark model nlNJL with a different onset of deconfinement and charaterized by MeV and MeV, see the text for details. The first-order phase transition from hadronic to deconfined quark matter is implemented by a Maxwell construction. (Right panel): The square of the speed of sound as a function of the energy density for the EoS models on the left.
Of the EoSs chosen to describe the HESS J1731-347 object as a twin compact start, one is described by the nlNJL QM+CSS model, whereas the second is fully described by the CSS approach. Those with nlNJL QM have a DD2FMEV hadronic component in contrast to the CSS QM bearing a hadronic DD2MEV description. Naming these EoSs by their most representative parameters, they are introduced as DD2FMEVp80-nlNJL ( = 855), DD2FMEVp80-nlNJL ( = 955), and DD2MEVp80-CSS ( = 0.9), respectively. Figure 1 on its left panel shows the EoS as a relation between energy density and pressure p. The plateau is characteristic of a first-order phase transition that, in this case, marks the border between hadronic and deconfined quark matter. The right panel shows the squared speed of sound, which is related to the left panel by . In addition, Figure 2 shows the pressure–energy density relation for the twins’ EoS together with modern constraints. Those constraints include, on the one hand, Chiral Effective Theory predictions for the low density region derived from the many-body forces among nucleons [63] for the low density region, see [64] for the extension towards higher density as well. On the other hand, constraints that include compact star observations are presented in the intermediate region as a closed dashed region [65] and as in the green region [66]. Regarding the latter, the combined analysis of the mass and radius of PSR J0740+6620 by NICER with XMM-Newton data has resulted in a very narrow green area. It is clearly seen that the Maxwell construction region extends beyond its energy density limits. The reason for this behavior is that the corresponding Bayesian analysis based in the aforementioned data also features agnostic EoS models (in contrast to physics-informed ones, where the physical parameters are in agreement with empirical data) with not many twin configurations giving low statistical weight to the analysis. Moreover, since there are no low-mass compact star measurements and the measurements were carried out before the discovery of HESS J1731-347, which is, therefore, not included, the green area does not favor strong first-order phase transitions. In fact, it cannot be used as a strong constraint for low-mass twin models. Finally, within the figure, the purple region corresponds to the conformal limit of QCD [67].
Figure 2.
Equation of state of compact star matter in beta equilibrium for the description of the mass of the twins together estimates from various studies. The blue region near the origin corresponds to Chiral Effective Theory calculations that consider all many-body forces among nucleons [63]. The area marked by the dashed contour corresponds to the derivation, which is based on Chiral Effective Field Theory together with the mass measurement of the object J1614-2230 reported as M = () M⊙ [65]. The green area is derived from a combined analysis of the NICER measurement of PSR J0740+6620 and XMM-Newton data [66], see the text for a discussion on its derivation and constraining power on the twins. At the far end of the plot, in the upper right corner, the constraint from perturbative QCD related to its conformal limit at very large density is shown [67].
2.2.4. QCD Conformality and Trace Anomaly Inside Twin Compact Stars
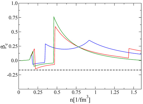
The conformality of dense nuclear matter is an extensively studied topic regarding the physics of QCD. A Conformal Quantum Field Theory (CFT) is expected to retain conformal invariance at the quantum level, implying that its energy–momentum tensor remains traceless. Even though the classical theory of QCD is conformally invariant, i.e., at the pure theoretical level with massless quarks, this symmetry is broken at the quantum level, implying the trace of the energy–momentum tensor would no longer be zero. This is the so called QCD trace anomaly. As QCD approaches asymptotic freedom, it behaves approximately like a CFT, with the square speed of sound in the medium approaching the value of 1/3. An abrupt increase in the speed of sound crossing its conformal value in dense matter entails the disappearance of the trace anomaly [68]. The vanishing of the trace anomaly is a necessary but not sufficient condition for the full restoration of conformal symmetry [69]. In order to study the conformality of matter inside compact twin stars, some characteristic quantities can be derived, all of them related to [68,70]:
where is the trace anomaly scaled by the energy density
also related to the average speed of sound computed within the interval and obeying the causality condition so that the trace anomaly and its derivative = d/dln() read [69]:
It is argued in [71] that the conformality parameter obeys
and the auxiliary parameter [72,73]
must turn negative as conformality is restored. Interestingly, is related to the compressibility of nuclear matter [74]:
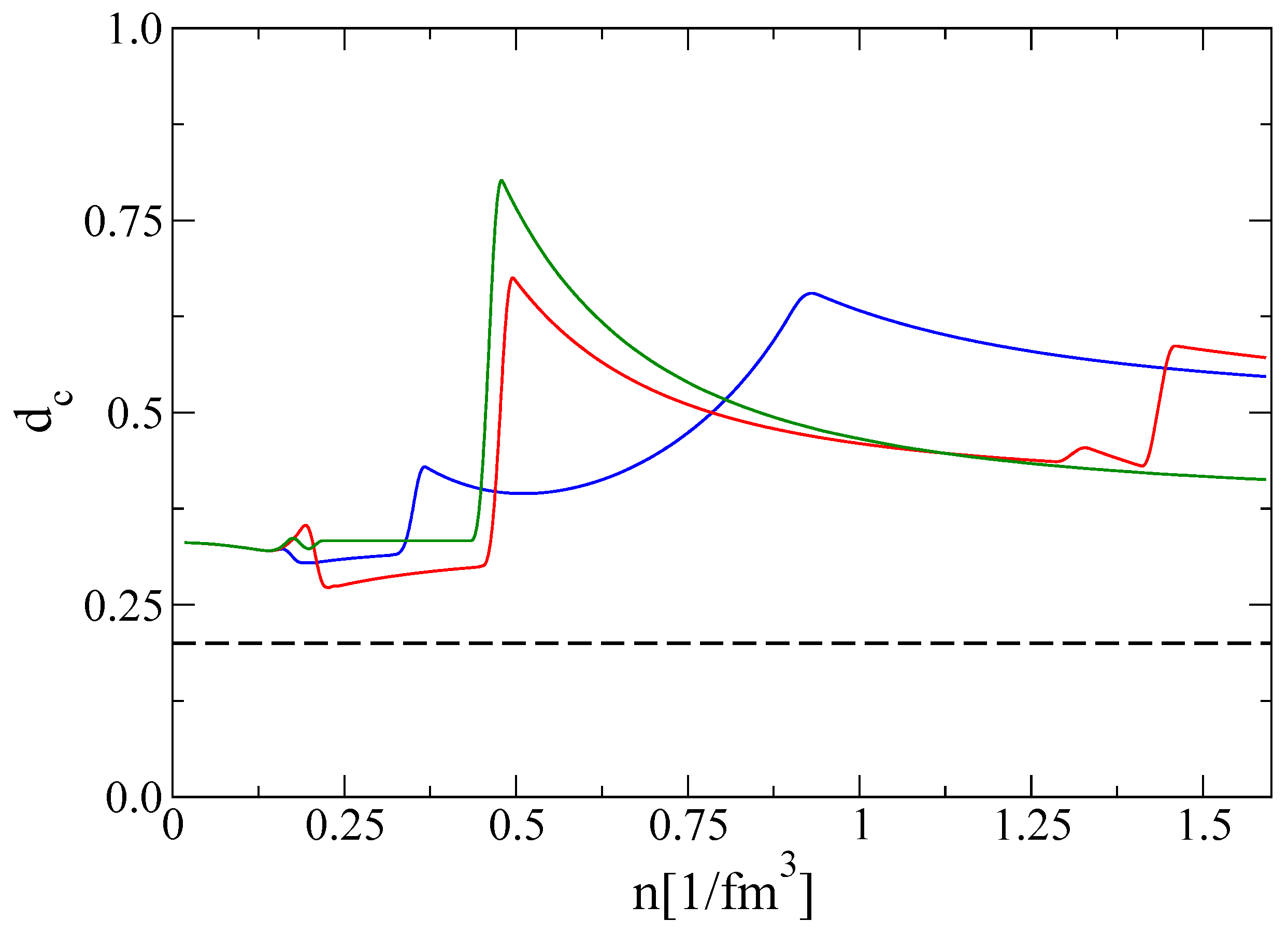
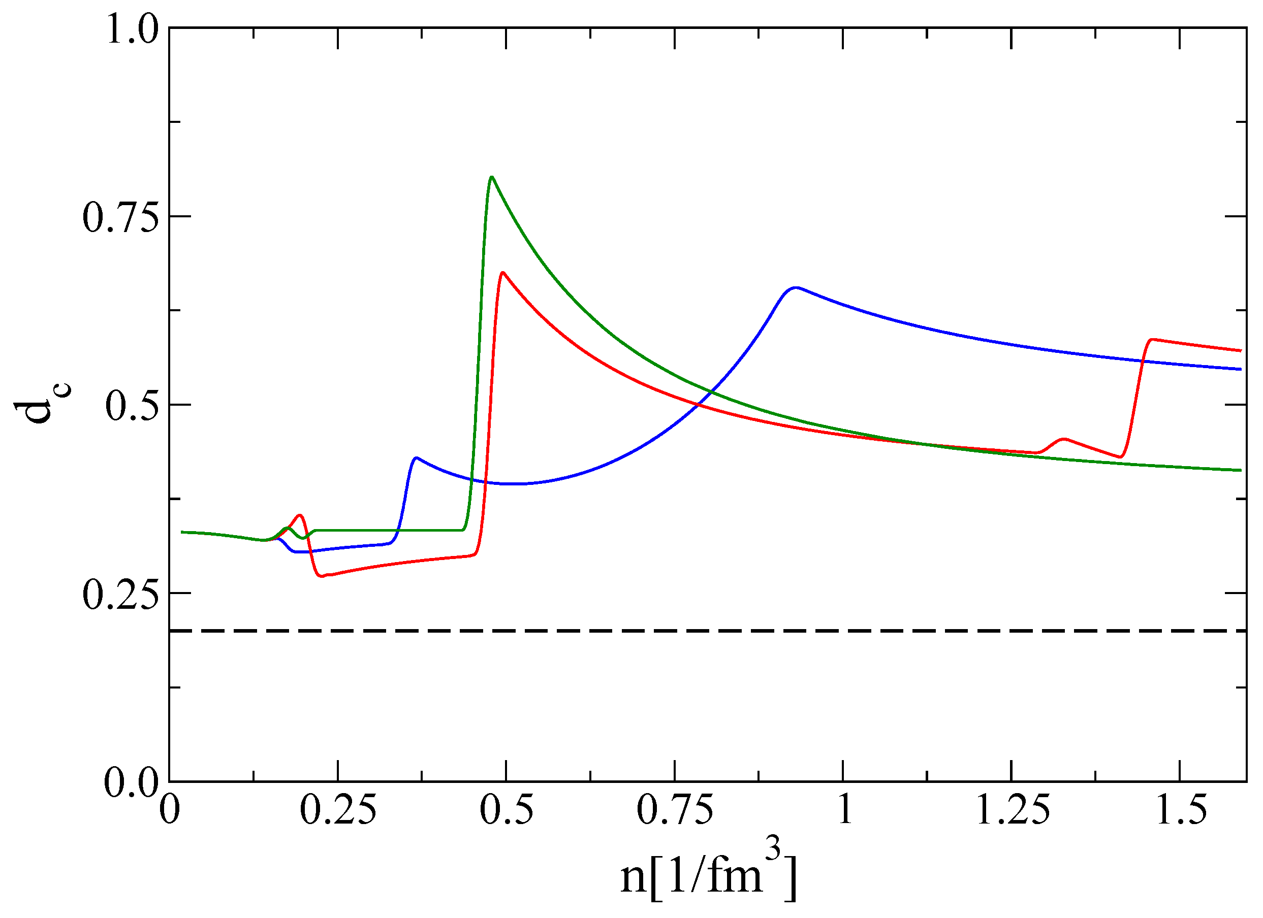
In the work of [75], the conformality parameter has been studied for different classes of compact star twins, as defined in [76]. The results presented there for the conformality of matter inside compact star twins are in agreement with those found in this work. Figure 3 shows the behavior of the conformality parameter as a function of baryon density for the three EoSs considered here. In this figure, all the curves remain above the 0.2 limit, which is displayed as a dashed line, implying non-conformality. Similarly, Figure 4 shows the parameter in the same baryon density range. It remains positive away from the phase transition region and is expected to turn negative as conformality is restored. The authors of [75] also bring up the hypothesis that the discontinuities in the trace anomaly are produced by discontinuities in the QCD running coupling and point out the fact that there are still several unknown microphysical aspects that allow the construction of appropriate twin compact star EoSs. Extreme bounds for the speed of sound related to special relativity, relativistic kinetic theory, and conformality are presented in [77]. Apart from the latter, the twin compact star EoSs presented here fall well within this bound. All in all, the speed of sound of the compact star models presented in this manuscript strongly deviate from the conformal limit. The obtained results for the low-mass twins clearly point out this fact, whereas works that employ conformality as a constraint inside neutron stars seem not to be fully justified from astrophysical measurements.
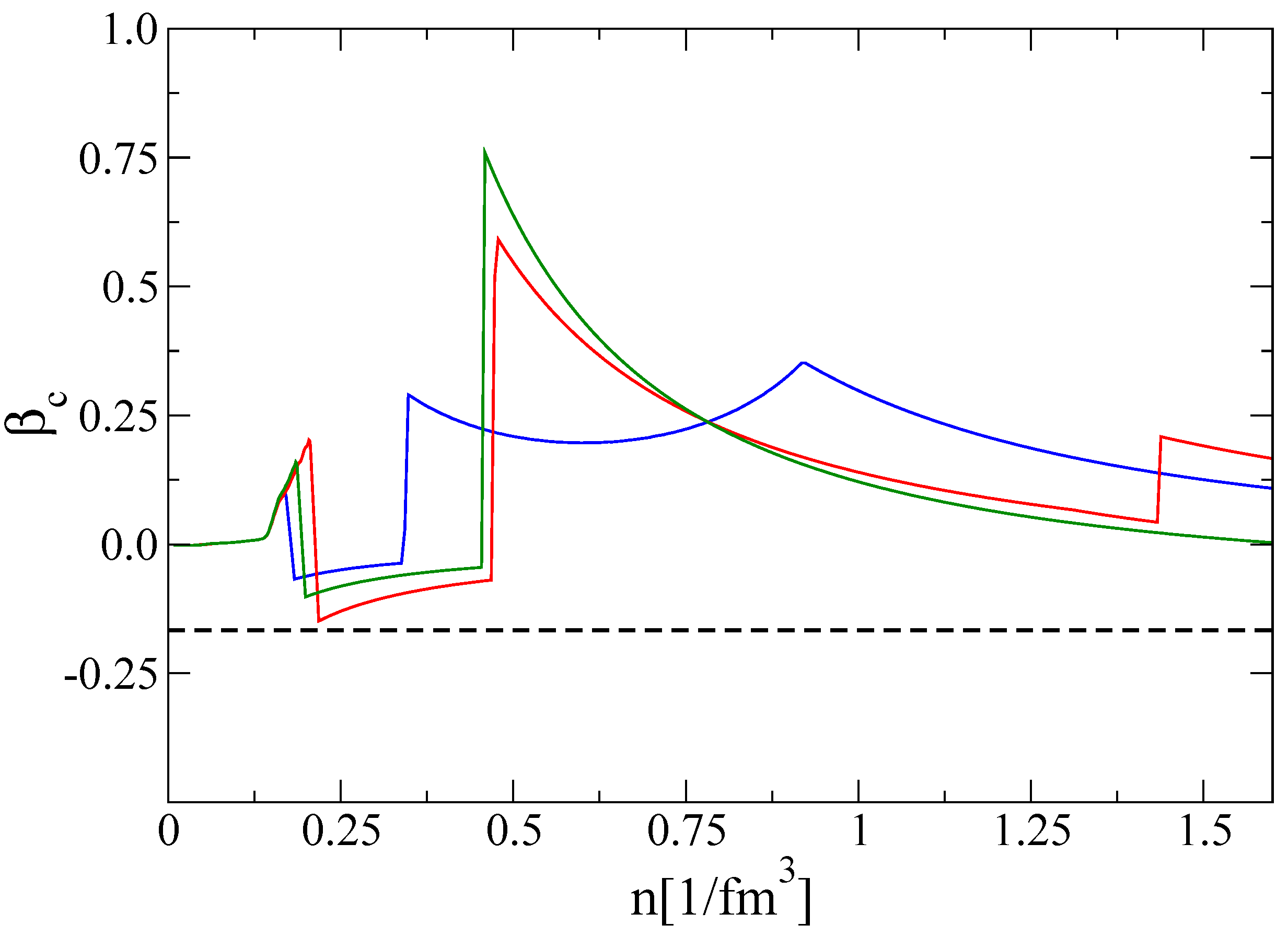
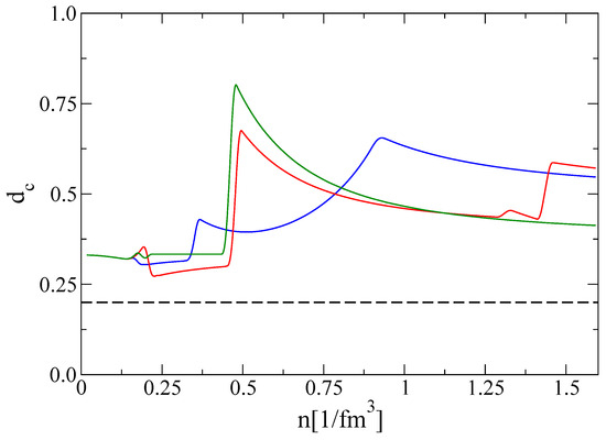
Figure 3.
Conformality factor as a function of baryon density, color codes for the lines are the same as in Figure 1. The horizontal dashed line at corresponds to the boundary between conformal and non-conformal matter as introduced in [71]. The models for compact star twins stay above this limit, implying non-conformal matter everywhere inside the twins.
Figure 4.
parameter as function of baryon density. [69] becomes negative as conformality is restored. It is also seen that it becomes negative through and around the first-order phase transition baryon density region. Color codes for the lines are the same as in Figure 1. The horizontal line corresponds to the conformal limit border.
3. Results
3.1. Compact Star Structure
In order to find compact stars configurations compatible with HESS J1731-347, the free parameters of the models have been varied, particularly the quark matter onset density, which fixes the most massive hadronic star. Three adequate sets, two of them describing the HESS object as a twin compact star, fulfill all state-of the art compact star constraints with their parameters chosen after inspection of the derived compact star configurations, which are simply static and spherical, general relativistic objects. Those configurations are computed by solving the Tolman–Oppenheimer–Volkoff Equations ([78,79]):
Integration of the above equations is carried out from the center of the star, where the pressure is at the maximum, towards the surface, where the pressure vanishes . In this way, the total mass of the compact star is defined as ) with R as the stellar radius that defines the size of the star. In order to close the system, the complementary condition must be included. In addition, the initial condition determines the mass and radius of the star, which can be either pure hadronic or hybrid depending on whether the central density of the star lies above the quark deconfinement density or not. Sequences or families of compact stars are derived by increasing such a central density of the star in consideration when integrating the TOV equations, each point in the so called mass-radius diagram representing a single star. The process is iterative and is stopped once the maximum compact star is reached, in the case of the EoS, meaning the iteration is stopped once the most massive hybrid compact star is found. This is because stars above the central density of the maximum hybrid compact star will become unstable, the instability being dictated by the condition [80].
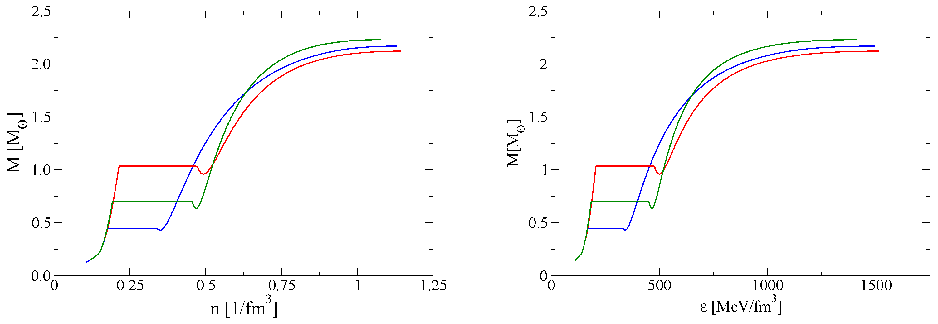
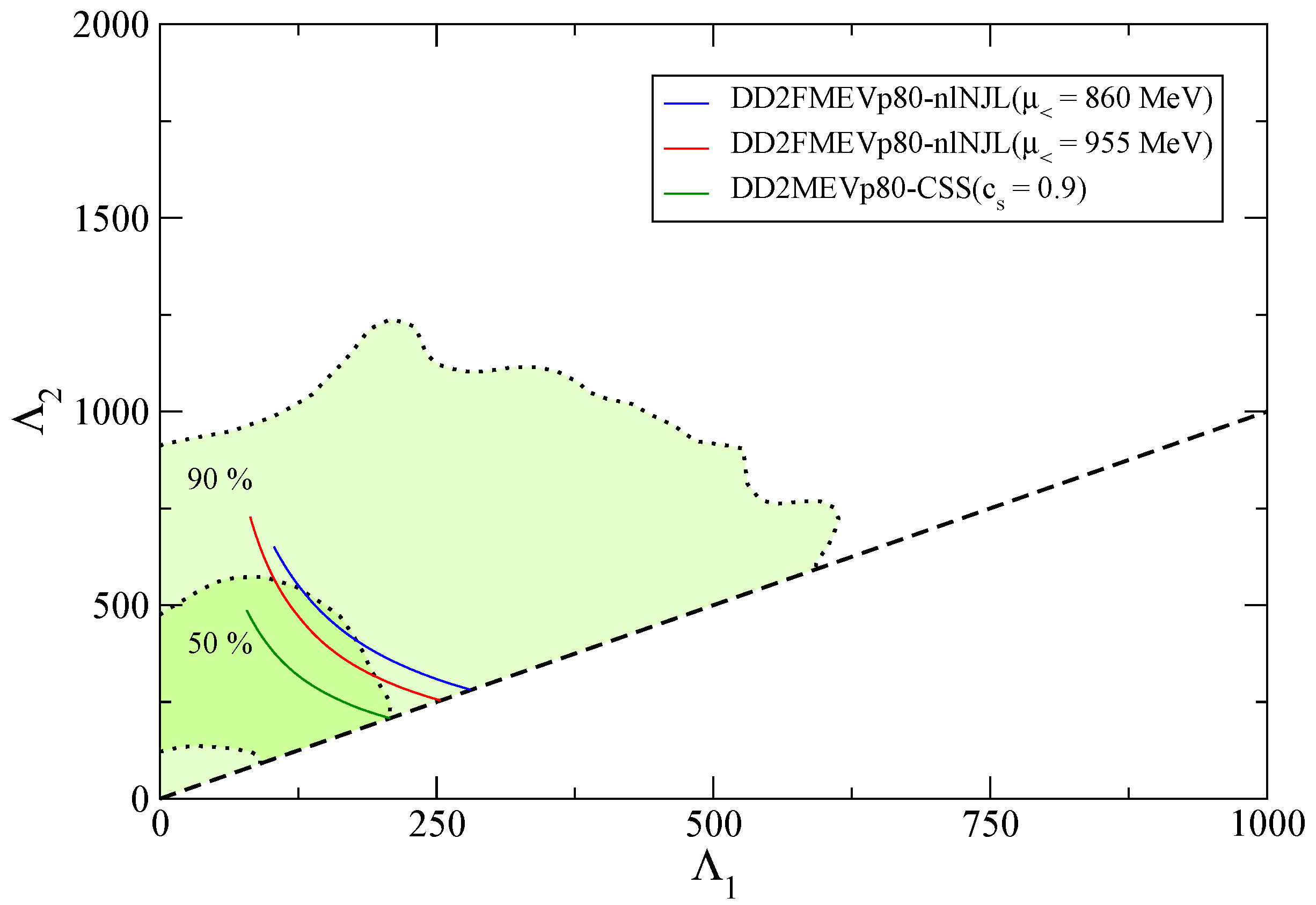
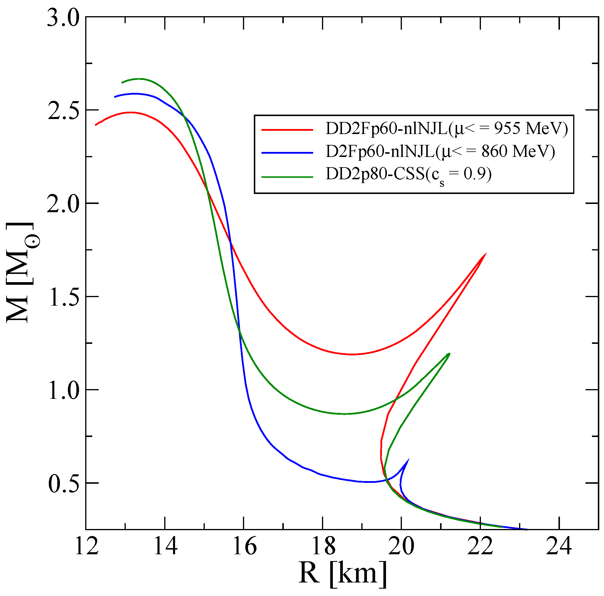
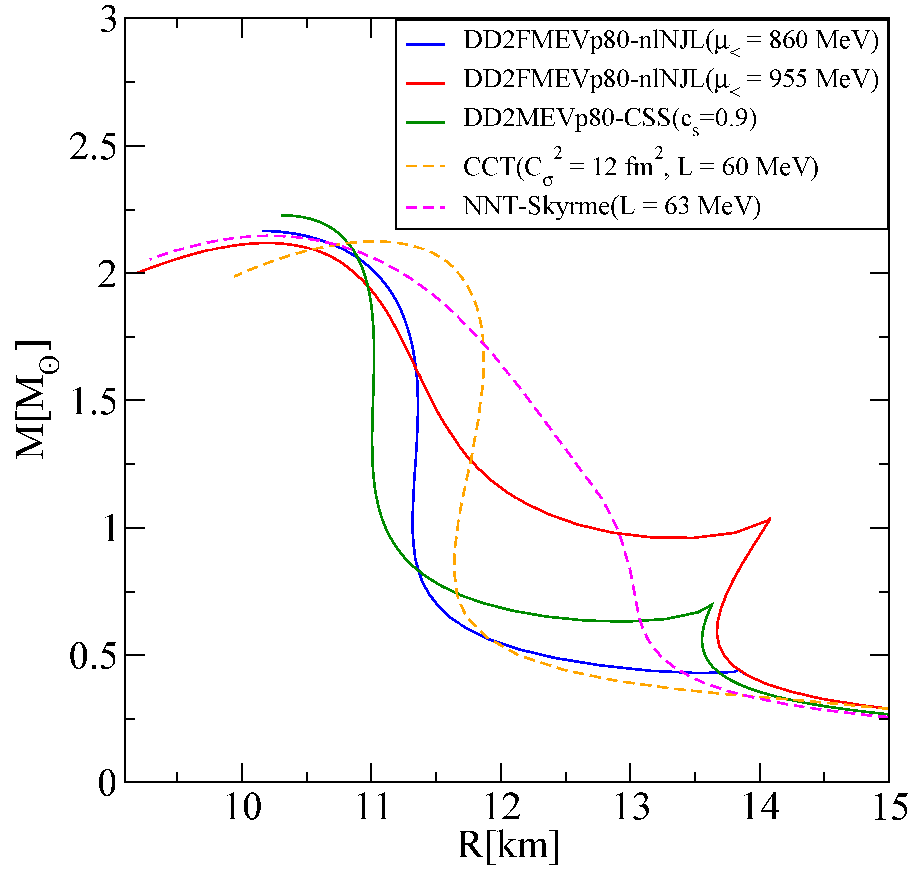
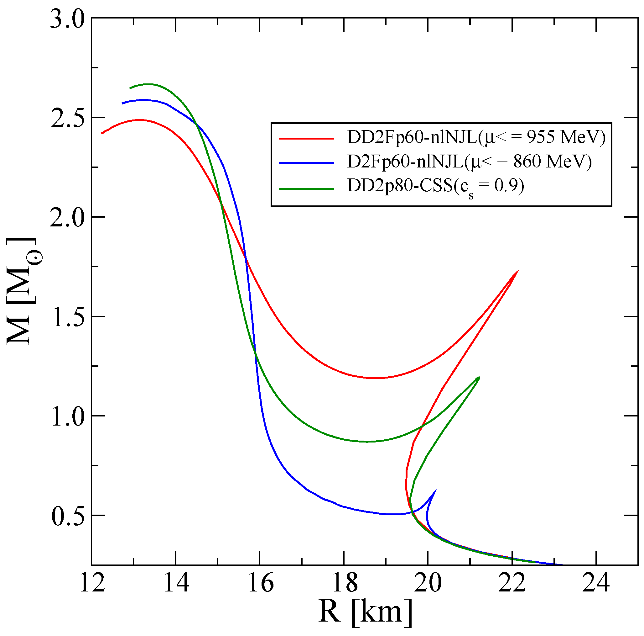
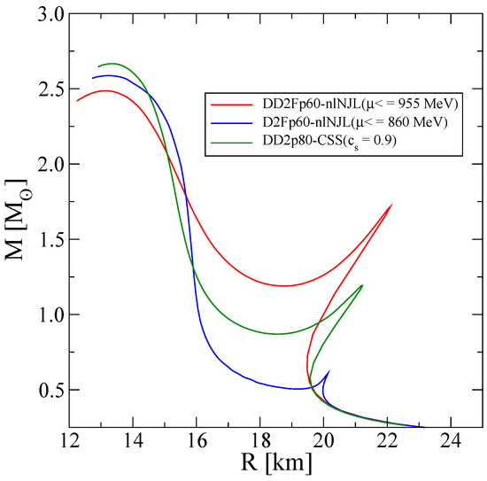
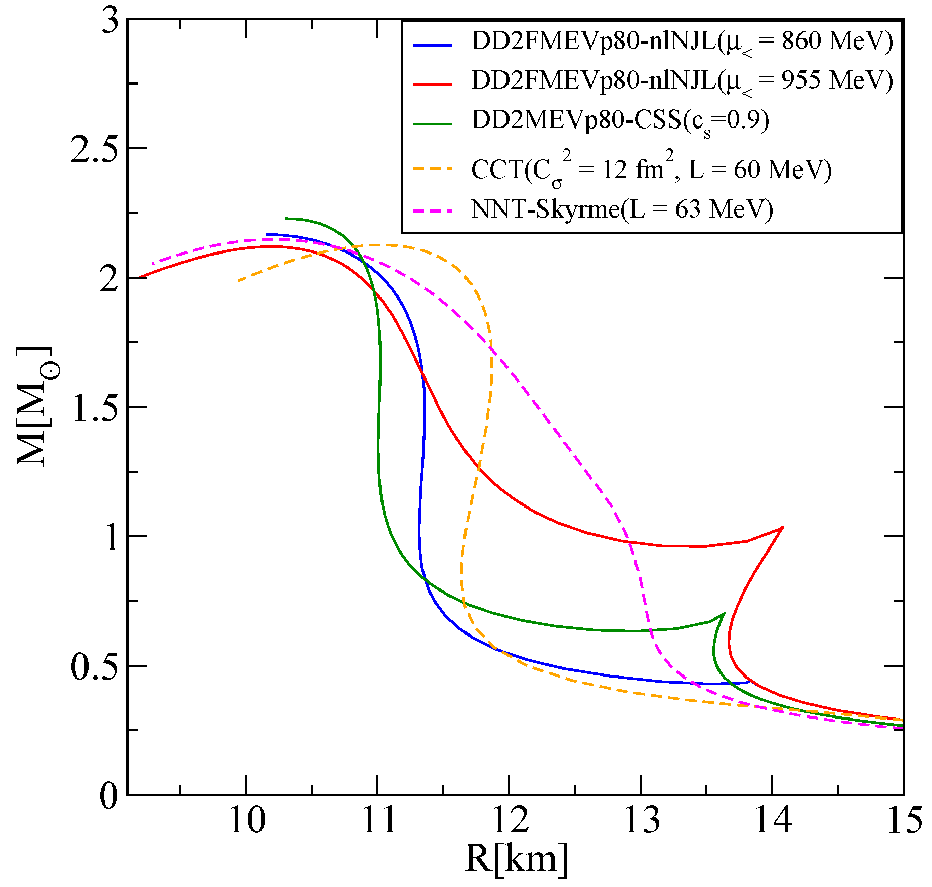
Figure 5 shows the mass-radius diagram, which display sequences of compact stars as continuous lines for each of the chosen parameters of models considered in this work. It also includes multi-messenger astronomy compact star measurements and derived constraints which are described in the figure caption. In addition, Figure 6 shows the masses of the compact stars as function of their corresponding central baryon densities (left panel) and of their corresponding central energy densities (right panel).
Figure 5.
Mass-radius diagram with constraints derived from observations of compact stars. In the left upper corner there is a gray region where compact stars cannot be populated because of causality violation in the EoS describing them. The horizontal bands above 2 M⊙ correspond to mass measurements of PSR J0740+6620 [6] and to PSR J0952-0607 [81], which falls within the category of black widow compact star and is one of the most massive objects of this type detected. The horizontal dash lines define a band around 2.08 M⊙, which is a lower bound on the maximum mass derived from GW190814 under the assumption that one of the compact objects was a fast rotating neutron star involved in the corresponding merger [82]. The blue ellipses correspond to the 2 confidence level measurements of PSR J0030+0451 [83] and PSR J0740+6620 by NICER [66], and the black, dashed ellipses to an alternative analysis of the same objects [84,85]. Similarly, the dashed, blue ellipse with mass measurement around M⊙ corresponds to the most recent NICER measurement of PSR J0614-3329 [86]. Furthermore, from the GW170817 event, an estimate of the properties of both components of the merger, labeled as M1 and M2 in the gray regions, was derived from the analysis of the GW signal emitted during the inspiral phase [87]. The small green region at the 2 confidence level that overlaps with the GW170817 components is another NICER measurement, this one of the object PSR J0437-4715 [25]. Red bands are forbidden regions derived also from GW170817 by [88,89]. Hybrid compact stars including the hybrid twins within this work satisfy the measurement of the very compact object HESS J1731-347 as reported in [27] and are displayed in orange for the 1 and 2 confidence levels. The polygonal area above 2 M⊙ in the left upper corner corresponds to allowed configurations if the remnant of GW170817 was short-lived, implying that those outside this region should be ruled out [90].
Figure 6.
Compact star mass dependence on densities at the center of the star. The lines end at the value of the maximum hybrid star mass, their color codes corresponds to the ones of the EoS in Figure 1. (Left panel): mass dependence on central baryonic density. (Right panel): mass dependence on energy density.
Moment of Inertia and Tidal Deformabilities
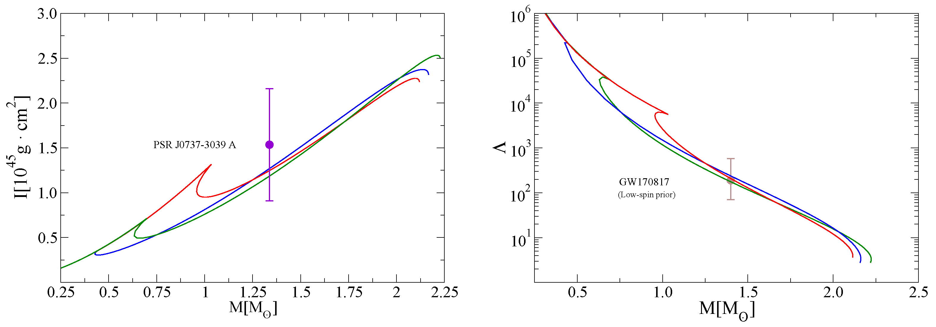
The moment of inertia (MoI) is an important quantity that can potentially be estimated with observations of binary systems of pulsars. The work of [91], which consists of the analysis of 16 years of data from the object PSR J0737-3039 A, has resulted in a constraint for the MoI of the 1.338 M⊙ star of the system, g cm2. By using data from other multi-messenger observations of compact stars like the measurement of LIGO/Virgo and NICER into universal relations insensitive to the EoS [92,93,94], derived estimations fall within g cm2 g cm2, which is shown as an error bar in the left panel of Figure 7 together with computed MoI values for the EoSs in this work. Thus, the relativistic moment of inertia is computed based on the approach presented in [95]
For a detailed discussion of the moment of inertia in the slow-rotation approximation, and for the hybrid star case, see, e.g., [51,96,97], and references therein. Interestingly, the system of PSR J0737-3039 suffers precession, which changes the direction of the pulsar beam; therefore, the effect is the appearance and disappearance of the pulsar as seen from Earth [98], which, in turn, provides the possibility of the first direct detection of a compact star moment of inertia [99]. By looking at the left panel of Figure 7, which shows the moments of inertia for the hybrid compact stars in this work, it is clear that the aforementioned constraint for PSR J0737-3039 A is fulfilled. See also [26] for similar results and discussion.
Figure 7.
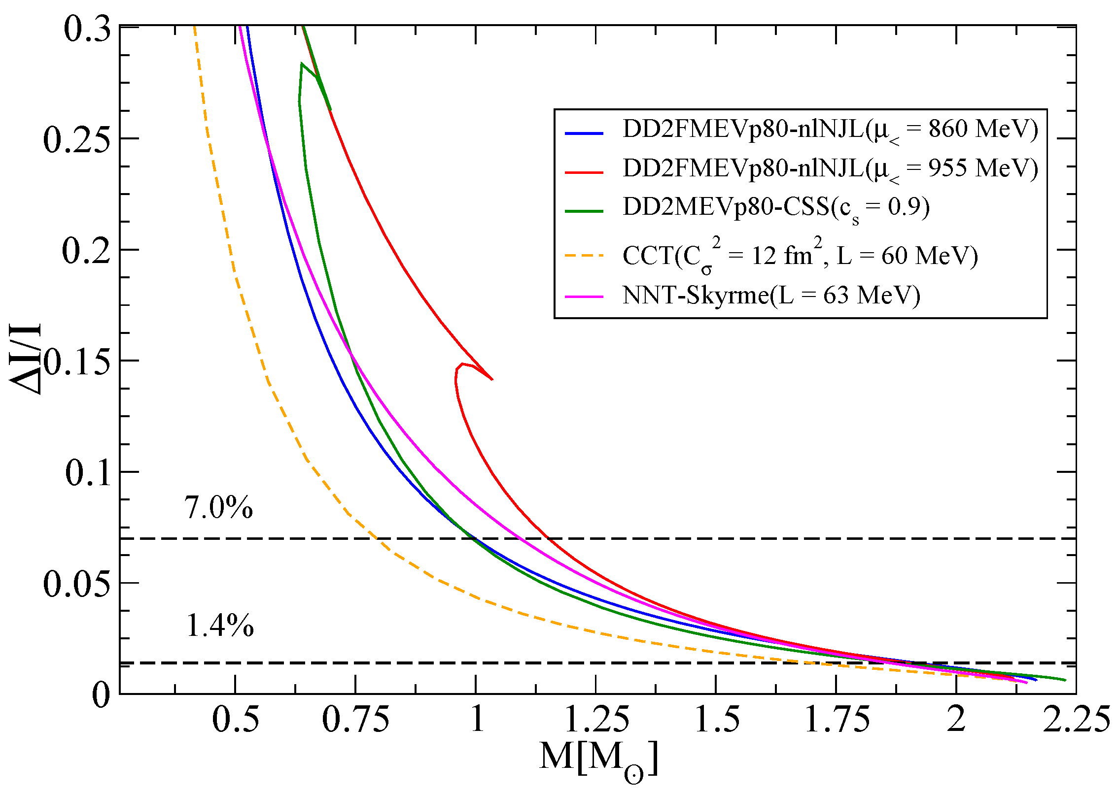
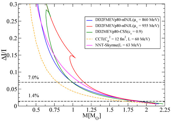
Compact star measurements within the 2 confidence level. (Left panel): Moments of inertia for compact stars together with the measurement of PSR J0737-3039 A [92,93,94]. (Right panel): Computed dimensionless tidal deformabilities for the equations of state in this work. The vertical error bar is an estimation from the GW170817 event under the assumption of stellar low-spin dynamics right before occurrence of the merger [87].
The tidal deformability (TD) of a compact star measures the effect of the deformation from the spherical shape of the star caused by an external gravitational field, which in the case of a binary system, is caused by its companion star. The level of deformation of the stars that merged in the GW170817 event has been derived from an analysis of the detected gravitational wave signal before the fusion of the stars; therefore, it has been taken as a constraint for neutron star matter. For a compact star described by a given EoS, the TD can be computed following the prescription derived in [100,101,102,103,104]. The dimensionless TD depends on the stellar TD and the stellar mass M, and , and is computed for small tidal deformabilities. Moreover, is related to the Love number
The TD corresponds to a linear perturbation onto the spherically symmetric body representing the star,
with , and primes denote derivatives with respect to r. and are determined by
where is a function derived from the EoSs. These equations require the mass and pressure profiles derived from the TOV equations; therefore, they are to be solved simultaneously. Just like the TOV equations, the integration of the above equations starts near the center of the star towards the stellar surface with the consideration of the expansions and as . Here, is an arbitrary constant since it cancels in the expression for the Love number; however, it determines the level of stellar deformation. Using
the Love number for is computed as
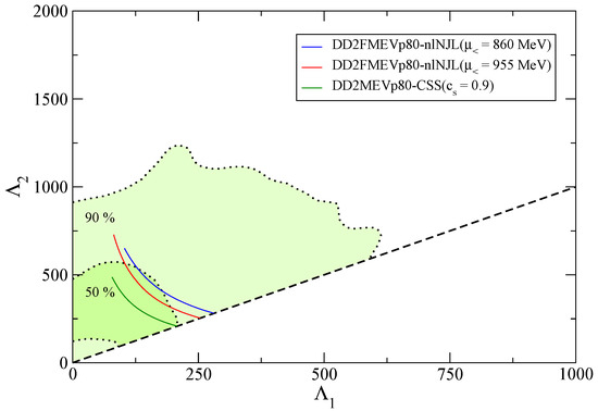
with denoting the compactness of the star. The right panel of Figure 7 shows the tidal deformabilities as a function of mass for the hybrid stars that include mass twins. The display error bar corresponds to the derived TD value from the GW170817 event. In addition, Figure 8 shows the probability confidence regions for the tidal deformabilities of each of the two components of the binary system that merged during the GW170817 event. In this plot, each colored line for the EoS is computed by using as input the posterior probabilities for the mass components of the merger and [87], which are approximately linearly correlated as
where and and . It is clear that the probability regions in this diagram tend to favor very compact stars like the ones described by the models in this work. It is interesting to see that within these models both stars can only be hybrid stars; none can be described as a pure hadronic star due to the compact star low mass onset, as can be seen in the mass-radius diagram Figure 5. An interesting discussion about the nature of the stars associated with GW170817 can be found in [61].
Figure 8.
GW170817 Tidal deformabilities diagram. The color codes for the lines are the same as in Figure 1. Green regions delimited by dotted lines correspond to 1 and 2 confidence levels for the measurement of the tidal deformabilities of the two stellar components and of of the merger [87]. The hybrid EoS describing compact stars in this work can fulfill this observation.
3.2. Energy Release at the Onset of Deconfinement Leading to the Compact Star Twins Transition
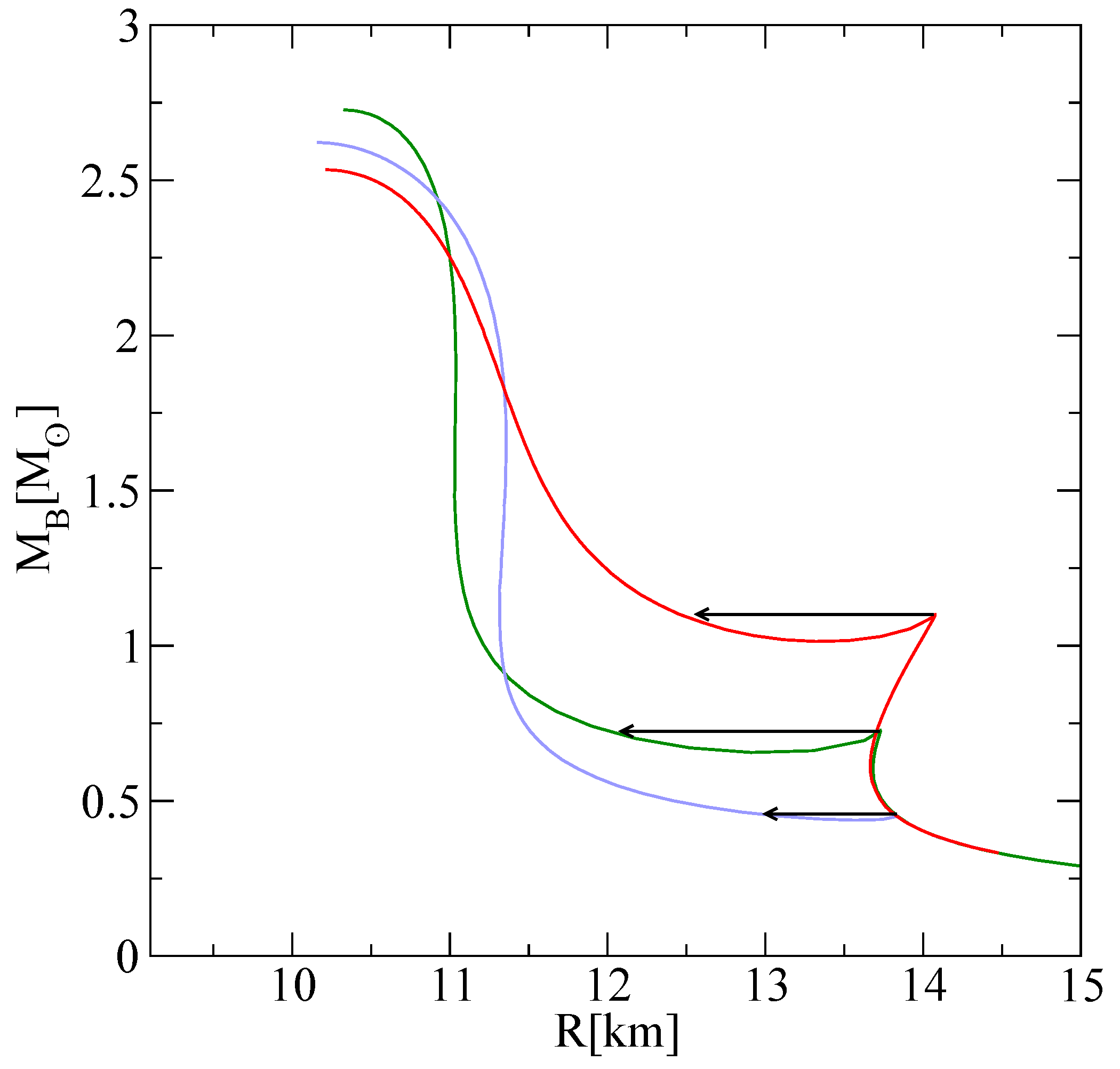
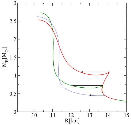
A pure hadronic compact star whose centrar density is slightly lower than the density of the deconfinement phase transition may reach such critical density value either by mass accretion from a companion or simply by slowing down its rotational frequency, which will rearrange its stellar interior density profile. In this section, the twin EoSs are used to provide a raw estimate for the release of energy from stellar compactification due to a transition between the hadronic twin star into its hybrid twin by consideration of the conservation of baryon number density and under static conditions. Figure 9 shows the transition trajectories for a twin star in a stellar baryon mass vs. radius diagram. A more extensive scan of the aforementioned transition under the same physical considerations can be found in [105], where a systematic change on the onset of deconfinement has been performed. The typical energy release values lie around ergs and depend on the radius difference between the two twin compact stars. Table 3 presents the change in radii, mass defect, and energy released following the stellar transition.
Figure 9.
Baryonic mass-radius diagram. The color codes for the lines are the same as in Figure 1. The arrows that point from right to left of between twin compact stars indicate an evolutionary path under baryon number conservation.
Table 3.
Change in the compact star properties following the twin star transition.
A more realistic study will consider the effect of the star rotation, possibly with considerations like the conservation of angular momentum. Following this philosophy, the calculations in [106,107] show that this stellar transitional evolution can explain the existence of highly eccentric binary orbits featuring a millisecond pulsar (MSP) or, in some cases, leaving an isolated MSP after disruption of the orbit. The transition is expected to occur in low-mass X-ray binaries (LMXBs) triggered by accretion, possibly coupled with secondary pulsar kicks through neutrino or electromagnetic rocket effects.
3.3. Rotating Compact Stars
The observed fast-rotating neutron stars represent a way of probing the extreme physics of nuclear matter. The mass-shedding frequency, the Kepler frequency, is the maximum rotational frequency that a neutron star can have before its equatorial surface begins to shed mass due to centrifugal forces. In order to reproduce fast-rotating stars, the equation of state should be stiff enough to prevent matter from flying away. In addition to constraining the EoS, the spin rate of a neutron star can also provide clues about its formation history and its interactions with companion stars. Fast-rotating neutron stars have been detected, for instance, PSR J0952-060, which is the fastest and heaviest known galactic object, spinning at a frequency of 707 Hz [108], or PSR J1748-2446ad, which is spinning at a frequency of 716 Hz [109]. Other important aspects include the interplay of rotation with the magnetic field and the test of general relativity typically carried out with radio observations of pulsars. Importantly, compact stars rotating near their Kepler frequency are potential sources of gravitational waves. The properties of rotating compact stars for the EoS considered are derived using the RNS code [110,111,112,113], which solves the Einstein equations for an axisymmetric and stationary space-time, which is described by the metric
which include the potentials , , , and , which are functions of the radial coordinate r and the polar angle . The method of solution for the rotating stellar configurations involve Green functions for these potentials, and the details can be found in the above references for the RNS code. Figure 10 shows compact stars rotating at the Kepler frequency. Typical Keplerian frequencies range roughly from s to s, the highest values being found for the most massive hybrid compact stars in the corresponding mass-radius sequence. The properties of compact stars rotating at the Kepler frequencies for the EoS models here are presented in the Appendix A. As a rule of the thumb, compact stars rotating at the Kepler frequency increase their mass by around 20% [114]. Nevertheless, a recent work [115] has found that, for hybrid stars, such mass increases can vary between 0% and 30%. For a discussion on the rotation properties of compact star twins, see [18].
Figure 10.
Compact stars rotating at the Kepler frequency. The color codes for the lines are the same as in Figure 1.
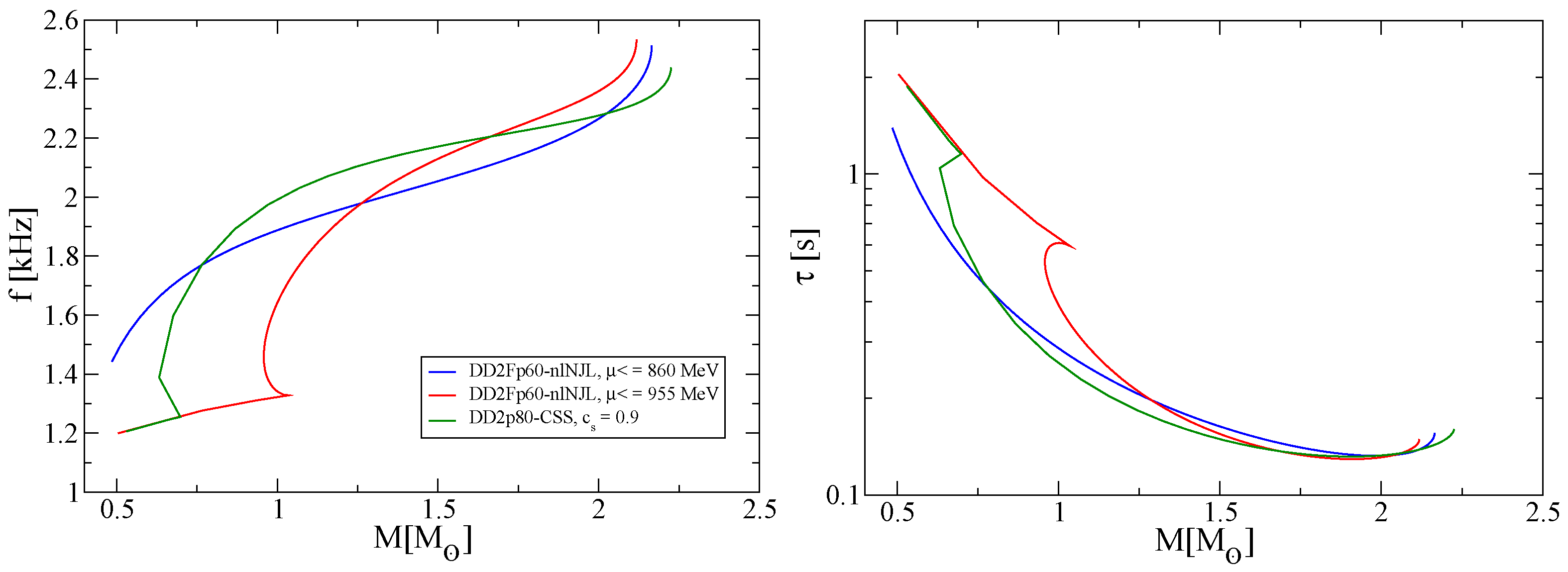
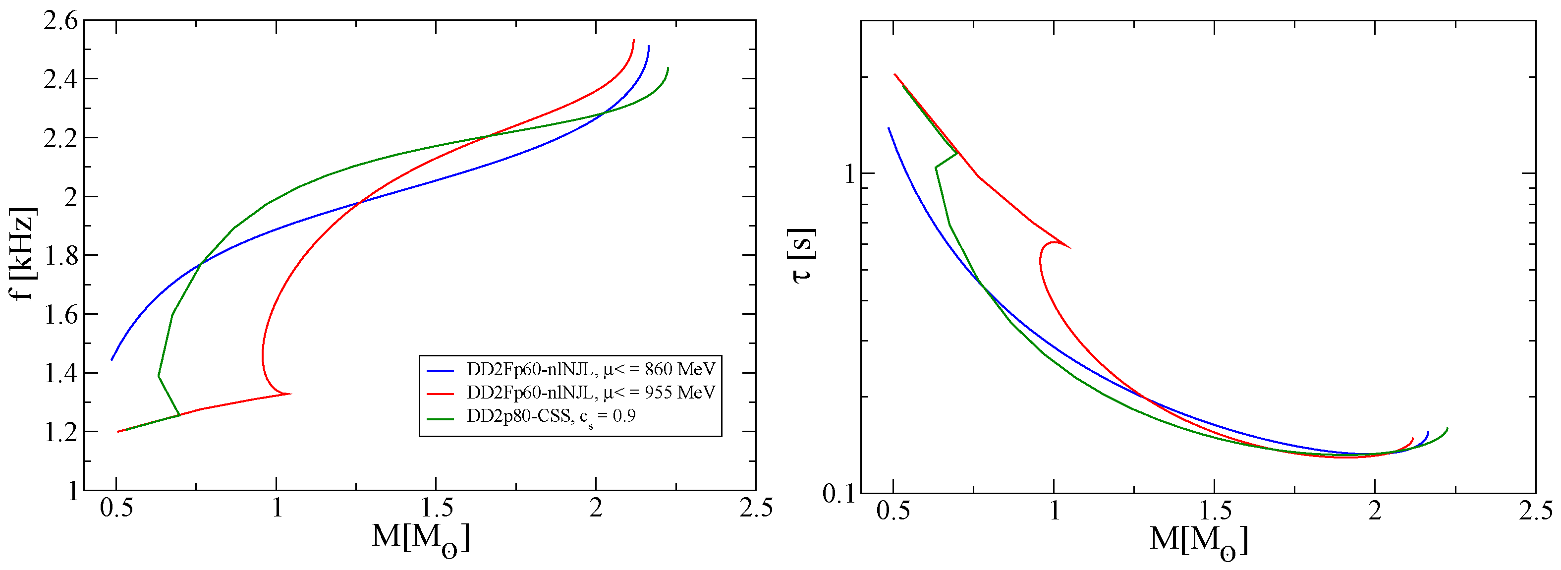
3.4. f-Modes and Damping Times
The fundamental modes of excitation of a compact star can release gravitational wave radiation and provide an imprint of the underlying EoS [116]. According to [117,118], the f-mode gravitational wave signal is given by
with
where f is the f-mode frequency, is its damping time, and d is the distance to the compact star source of the GW. The excitation of the f-mode is expected to happen during the merger of compact stars or possibly during a pulsar glitch, for instance, under the assumption that most of the energy of the glitch is transformed into gravitational waves. If this is the case [118],
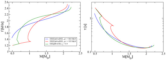
the GW energy will depend on the moments of inertia I and spin frequency of the star, and, most importantly, on , the relative change in spin frequency of the glitch. The corresponding mode parameters are derived by solving the perturbations in the full general relativistic treatment through the direct integration method developed in [119,120,121]. In this way, it is possible to find the compact star f-mode frequency, the complex f-mode frequency (), which corresponds to the outgoing wave solution to the Zerilli’s equation at infinity [122]. Thus, the real part of represents the f-mode angular frequency and the imaginary part represents the damping time . Figure 11 shows both f and for the EoSs of this work. The importance of measuring such quantities stem from the fact that thanks to universal relations insensitive to the EoS, it is possible to map f and into M and R:
The coefficients in the above equations have been derived in different studies and provide a measure of the level of accuracy. They can be read from the work of [123], where a comparison with the values of other works is presented in the Appendix of that article. Moreover, within that work we have shown that the level of accuracy of future GW interferometers like the Einstein Telescope or the Cosmic Explorer will allow to study the transition region near in the mass-radius diagram in order to identify compact star twins.
Figure 11.
Compact star f-mode parameters, which can be investigated via detection of associated gravitational waves production. (Left panel): Frequencies of the f-mode excitation for sequences of compact stars. (Right panel): Corresponding damping times of the f-modes.
3.5. The Crust of Twin Compact Stars
The crust of compact stars is composed of atomic nuclei in a crystallized structure and can be estimated to have a thickness of a few kilometers. As the pressure increases toward the center of the star, the bottom of the crust suffers a phase transition into a nuclear fluid, which defines the compact star core. Because of different internal density profiles of a compact star due the to the EoS model, hybrid neutron stars will posses crusts with different masses and thicknesses than those of pure hadronic stars. The crust–core transition can be defined in different ways depending on the criterion under consideration for the crust dissolution. For instance, the approach introduced in [124] considers the limit stability of nuclear structures by a thermodynamic method, i.e., the stability of homogeneous beta-equilibrated nuclear matter defined by the compressibility under constant chemical potential, which should obey the condition for matter to be stable
where is the symmetry energy, V is the energy of symmetric nuclear matter, and is the isospin asymmetry with x as the proton fraction. All these quantities are functions that depend on the baryon density n with the primes denoting derivatives with respect to it. Alternatively, it is possible to also consider finite size effects like Coulomb and surface contributions of the nuclei. As shown in [125]
is the minimal value of stable density modulations for the momentum Q, being the Thomas–Fermi momentum and being a quantity that is related to the baryon number and chemical potential of the particle species i in nuclear matter. Similarly to the thermodynamic method, the condition defines the stability of matter. The following relation between the above quantities hold [125]
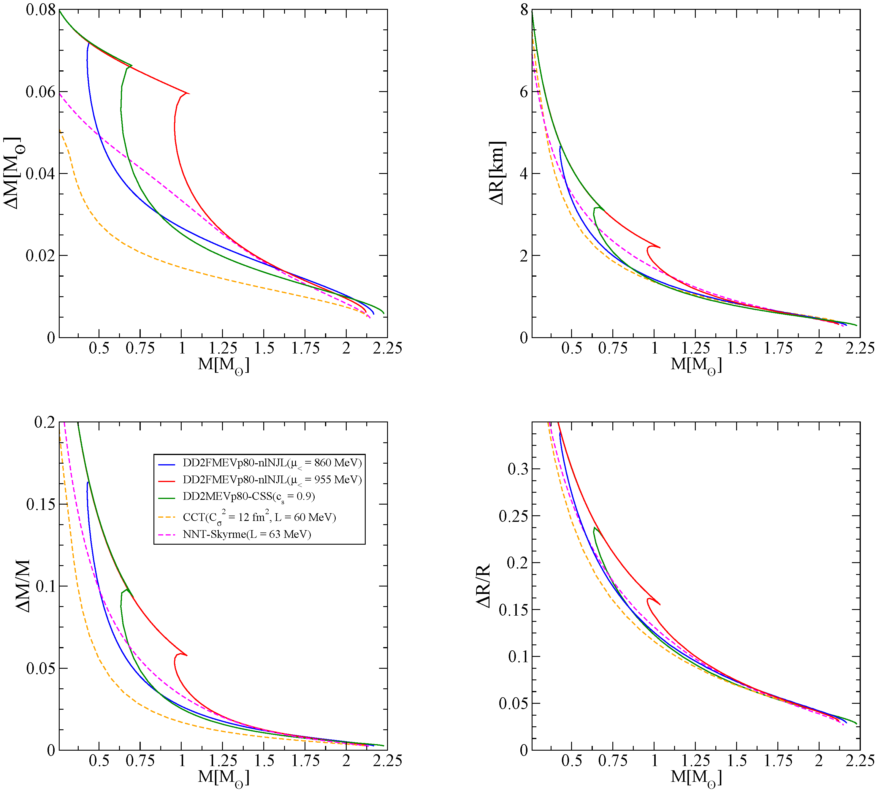
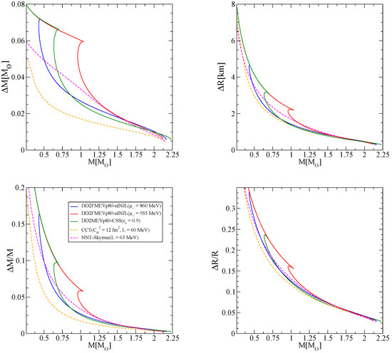
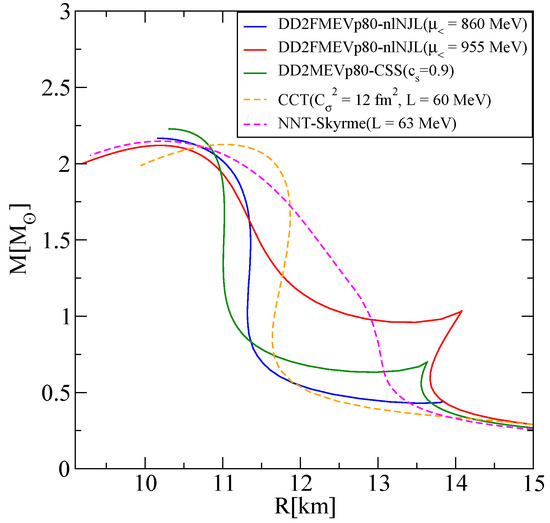
Thus, both of the above approaches consider stability of a one-phase system against density fluctuations. The general result is that the latter approach for determination of gives lower values. Furthermore, in other works like [126], a prescription for has been derived taking optimal values in order to handle uncertainties on the variations of the value of L that affect the stellar radius determination for non-unified EoS, or in [127], the authors introduce a thermodynamically and causally consistent formalism through an interpolation function. Nevertheless, values must be the same for hybrid and pure hadronic stars with the same EoS for the hadronic mantle, because the case is that matter is described for the same model at such low densities. Importantly, the thickness of the crust for those two cases will be different, due to the distribution of matter, i.e., the density profile inside either the hadronic or hybrid star. Thus, the mass twins are perfect example of crust differences for two stars with the same mass M. Interestingly, the symmetry energy plays an important role in the determination of ; therefore, in the figures of this section, two more EoSs of pure hadronic character bearing similar slopes of the symmetry energy parameter L have been introduced to serve as a reference. Table 4 shows the symmetry energy values at saturation density together with . The three twin star models in this work share the same equation of state at low densities up to saturation; therefore, they are listed only once. The two extra entries in the table below the DD2 models correspond to pure hadronic EoSs with similar S and L values to the rest. It can be seen that their lie either below or above than that for the DD2 models, a result that depends of the symmetry energy parameters. Those hadronic EoSs are the CCT-C2σ12-L60 [28], which, for its chosen parameters, is soft enough within an intermediate density region in order to produce compact stars inside the HESS J1731-347 mass-radius region, as well as the NNT-SKyrme-L63 EoS described in [128], which, conversely, does not describe HESS J1731-347. Figure 12 shows the mass-radius diagram for the five EoSs considered in this section. In it, it can be seen that compact stars near the maximum mass have more or less the same properties, implying similar crust properties, as will be discussed below. Figure 13 shows a set of diagrams for all the EoSs that fully describe the derived properties of the crust of compact stars as a function of the total stellar mass M, the crust thickness , and the mass of the crust . Furthermore, as presented in the mass-radius plot, the change in values following the phase transition is clearly visible. Conversely, for the most massive compact stars near the maximum mass, all the equations of state that, in this case, share similar symmetry energy values at saturation display negligible differences in their crust properties in comparison to stars near the onset of deconfinement.
Table 4.
Parameters of a selection of hadronic EoSs that include those describing the mantle of twin stars in this work. The right-most column displays the crust–core transition density , which allows an estimation of the properties of the crust of both pure hadronic and twin hybrid stars, see the text for discussion.
Figure 12.
Compact star sequences, which include pure hadronic (dashed) and hybrid stars (solid) with similar symmetry energy values at saturation density , see the text and Table 3.
Figure 13.
Properties of the crusts of compact stars for the EoS models in consideration. The upper figures show the mass and radius values for compact stars as a function of their total mass M, whereas the same quantities relative to either the total stellar mass M or total stellar radius R are displayed in the figures below.
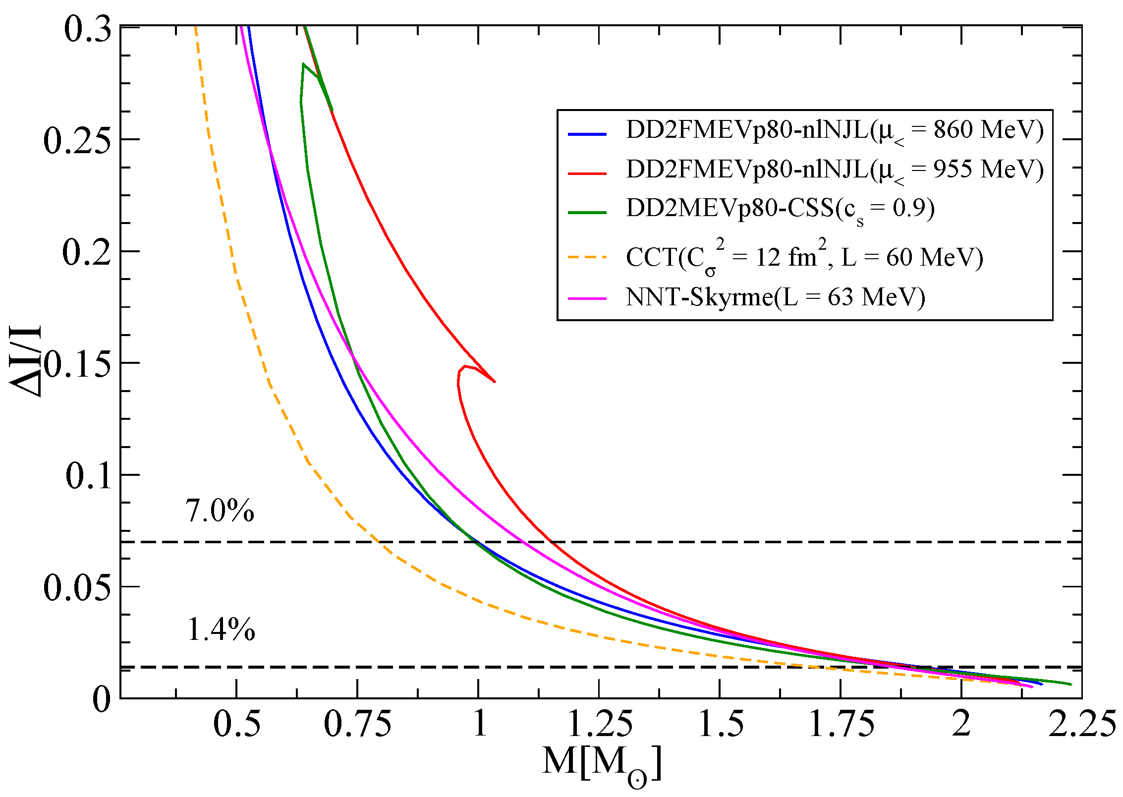
In addition, Figure 14 shows fraction of the moment of inertia carried by the crust together with some estimations of limiting values from the analysis of pulsar glitches. A pulsar glitch is defined as a sudden change in the rotation frequency of the star leading to a spin-up that is observed in the pulsar radio signal [129]. The line at 1.4% excludes the region below it and has been derived by an analysis of the Vela pulsar together with six other glitchers with the characteristic that it is independent of the pulsar mass [130], whereas a more recent study of a similar kind has lead to a constraint demanding values above 1.6% [131]. A more stringent constraint that accounts for the entrainment of superfluid neutrons in the neutron star crust correspond to the line at 7.0% [131,132]. These constraints provide an estimate of the value of the mass M of the glitcher in consideration. It can be clearly seen in the figure that the dashed lines either rule out masses above 2.0 M⊙ for the lower dashed line or above 1.2 M⊙ for the higher dashed line, with the EoS leading to more compact configurations allowing for a higher mass range than the rest. For a recent discussion regarding the role of the symmetry energy parameters on for pure hadronic compact stars, see [133]. Other recent studies also consider hybrid stars with an elastic quark core [134].
Figure 14.
Fraction of the stellar moment of inertia carried by the crust together with pulsar glitch constraints for the compact star mass M of a glitcher derived by the Vela pulsar ( > 1.4%), and from consideration of entrainment of superfluid neutrons in the crust (> 7.0%).
4. Discussion
During the last decade, the study of the nature of compact objects like pulsars and neutron stars has been intensively developed. Astrophysical observations resulting from new technologies like interferometers both for radio or gravitational wave signals as well as extraterrestrial X-rays detectors have revolutionized the understanding of the properties of compact stars.
On the theoretical side, new developments like emulators, which are fast surrogate models capable of reliably approximating high-fidelity models, have been applied to computations of the low-energy nuclear physics in order to study the hadronic EoS [135,136]. Modern data analysis techniques of observational data, sometimes in conjunction with theoretical results, have been successfully applied to estimate the EoS. Those include Bayesian analyses [49,61,137,138,139,140,141,142,143,144,145,146,147,148,149,150,151,152,153], neural networks [154], machine learning approaches [155,156,157,158,159,160], deep learning inference [161,162], analysis of correlations between the mass-radius relation and the dense matter EoS [163], quantification of the uncertainties when inverting the TOV Equations [164], and emulators of the TOV Equations [165], among others. Furthermore, an engine for building neutrons called MUSES has been recently developed [166,167]. It consists of a collection of software modules that calculate equations of state using algorithms employing three different theories: Crust Density Functional Theory, Chiral Effective Field Theory, and the Chiral Mean Field Model, each of them applied at densities below, around, and above saturation density, respectively.
Because of its relevance in the understanding of dense nuclear matter and the possibility of a deconfined quark matter phase inside neutron stars, many studies have been recently devoted to the study of the twin compact stars [21,75,168,169,170,171,172,173,174,175,176,177,178,179,180,181].
The low onset mass of hybrid compact stars in this work stems from rather low hadron–quark transition densities. These phase transition densities reach values as low as = 0.19 fm−3. Such low density values, which are just above saturation density for symmetric nuclear reactions, may appear to contradict nuclear reactions and the dense nuclear matter produced in relativistic heavy ion collisions; therefore, it is worth stressing the role of the isospin symmetry: matter in supernova explosions becomes highly isospin symmetric as the proto-neutron star is formed [182]. In [183], it was found that in supernova explosions, quark matter could be easily produced due to beta equilibrium, small proton fractions, and non-vanishing temperatures. A more recent work shows very good agreement with a low-density quark–hadron phase transition: quark deconfinement as a supernova explosion engine for massive blue supergiant stars [184]. A low critical density for the phase transition to quark matter is also compatible with present pulsar mass measurements. Typical values of the proton fraction x in neutron stars in beta equilibrium are in agreement with the above estimations [185], which have a strong dependence on the functional form of the the nuclear symmetry energy and, moreover, can trigger the activation of the compact star DUrca cooling, which is also being studied by X-ray observations. Recent papers like [186] and [187] are devoted to the study of the QCD phase diagram in the finite isospin symmetry region, which features deconfined quark matter. For this reason, one cannot rule out the possibility of low density values of the hadron–quark phase transition in compact stars. Therefore, within this work, each model/set of parameters becomes relevant. Each indeed leads to a different value of the critical density for the phase transition down to 0.19 fm−3, a fact that shows the systematics in the variation in stiffness of both the quark and hadron EoSs. All in all, matter in relativistic heavy ion collisions has been estimated to be iso-spin asymmetric in the range x = [0.38, 0.5], which is quite symmetric with respect with neutron star matter [188].
In addition, the predictions from the EoS featuring the strong first-order phase transition scenario might be modified when considering the appearance of geometrical structures at the interface, commonly called pasta phases. It has been found that sometimes the existence of these structures may hinder the compact star twins scenario, resulting in a single branch of compact stars. Several studies [61,189,190,191,192,193] have quantified this effect, whereas the work of [123] has assessed the possibility of probing if there is pasta at the quark–hadron interface with the future Einstein telescope or Cosmic Explorer interferometers for detection of gravitational waves, produced by the f-mode stellar excitation. More exotic, out of the canon, twin stars have been considered in [194], where the authors consider modeling such twin stars in the framework of extended theories of gravity, in order to contrast the results with those of general relativity.
Interestingly, there exist a class of compact stars not covered here that are referred to as slow compact stars, in which a different mechanism of phase transition from the one of this work is considered. The main idea is that if the hadron–quark conversion is slow, the condition for stability holds even if , as shown in [195]. Several works have explored this alternative scenario [196,197], in which, for the models presented here, additional regions of the third branch in the mass-radius diagram would be populated.
Although the analysis concerning the methods of the observational modeling of HESS J1731-347 [27] has been questioned and not brought to a consensus, the concept of a very light and compact object is of valuable exploration; thus, this work has been devoted to frame it as a twin star. Moreover, there are other interesting objects that have been estimated to be very light, namely, PSR J1231-1411 with a mass of about 1.04 M⊙ and a radius of about 13.5 km [24], or the object XTE J1814-338 [198,199] with an striking low mass of 1.21 M⊙ and a radius of 7 km, which motivate the study of low-mass compact stars. Is it clearly seen in Figure 5 that the mass-radius curves barely graze the HESS J1731-347 detection region; therefore, the space of parameters within the models presented in this work are considerably narrowed, a fact that underlies the relevance of the detection of light and compact objects on the study of phase transitions in QCD matter. As one might expect, the predictions of this work are to be contrasted with future compact star observations.
Of great relevant importance are the results for the properties of the crust of hybrid compact stars and in the particular case of twins, the differences and similarities between the hadronic twin and hybrid twin. These kinds of studies may potentially pave the way to measure the properties of compact star crusts to probe the existence and the nature of the quark–hadron phase transition in stellar interiors. Further interesting aspects of the twins phenomenon are the behavior of the speed of sound in their interiors, the breaking of universal relations [200,201,202], or their identification through r-mode instabilities [177]. Works like [26,178] have assessed the possibility of probing twins by compact star observations of radii through the NICER X-ray detector or with next-generation gravitational-wave detectors [203]. Another possible way to reveal first-order phase transitions is through interface modes in the gravitational wave from inspiralling neutron stars, as recently shown in [204].
The compact star twins scenario allows a free-fall timescale transition, which turns out to be fast even when considering compact star rotation, see [107] for a discussion of binary systems leading to either millisecond pulsars in eccentric orbits or isolated, explaining already available observations. This fast scenario is contrary to the one of [205], in which such evolutionary transition would take a period of time of the order of years; therefore, gaining support from the observational evidence of binary systems.
All in all, consideration of stellar events like resonant shattering flares [128], matter accretion leading to fundamental mode oscillations [123,206], detailed cooling rate studies, or moment of inertia measurements may all together reveal the nature of matter in compact star cores.
5. Conclusions
Within this work has been presented a set of models of twin stars with a low stellar mass onset for the appearance of hybrid stars due to quark deconfinement in their interiors such that one the twins is a hybrid star. Astrophysical properties and scenarios have been also discussed based on quantitative results, in particular addressing the object HESS J1731-347. If such twins were found, it would be clear that this compact object is a hybrid star with an exotic core rather than a light hadronic neutron star, see [207] for a compatible analysis.
It has also been shown here that the EoS of twin compact stars does not obey any conformality boundary at densities present in compact star interiors. Predictions for the crust of compact star twins, which are of great importance when considering gravitational wave emission from possible mountains in the stellar surface [208,209], or by excitation of the stellar f-modes, have also been provided in this work. All in all, all present compact star constraints can be fulfilled by the hybrid compact stars and the low-mass constraints by the hybrid twin. In particular, measurement improvements leading to a narrowing the regions of HESS J1731-347 and the black widow PSR J0952-0607 have the potential to rule out some of the models here or rule them all out in an extreme scenario. Conversely, if the mass difference between the aforementioned stellar objects is reduced, the twin compact stars presented in this work will gain observational support.
Future gravitational wave detectors like the Einstein Telescope or the Cosmic Explorer together with multi-messenger counterparts are expected provide strong support for testing the concept of twin compact stars, especially during violent and transient processes. Future work includes, for instance, modeling the cooling of compact stars, consideration of pasta phases at the hadron–quark interface, and modeling thermal twins, together with the addition of upcoming multi-messenger observations.
Funding
The author is supported by the program Excellence Initiative–Research University of the University of Wroclaw of the Ministry of Education and Science.
Data Availability Statement
Data are available upon request.
Acknowledgments
The author acknowledges discussion and collaboration with B. Pradhan, W. Newton, S. Kubis, M. Marczenko, O. Ivanytskyi, A. Ayriyan, and D. Blaschke.
Conflicts of Interest
The author declares no conflicts of interest.
Abbreviations
The following abbreviations are used in this manuscript:
| QM | Quark Matter |
| RHIC | Relativistic Heavy Ion Collisions |
| EoS | Equation of State |
| GW | Gravitational Waves |
| NICER | Neutron Star Composition Explorer |
| QCD | Quantum Chromodynamics |
| RMF | Relativistic Mean Field |
| OGE | One Gluon Exchange |
| MFA | Mean Field Approximation |
| TOV | Tolman–Oppenheimer–Volkoff |
| MoI | Moment of Inertia |
| TD | Tidal deformability |
| MSP | Millisecond Pulsar |
| LMXB | Low-Mass X-ray Binary |
Appendix A
Properties of compact stars rotating at the Keplerian frequency computed using the RNS code [110,111,112,113] are presented in the tables below. They correspond to the EoS models for hybrid stars introduced in this work. They are the following:
- central energy density;
- M gravitational mass;
- rest mass;
- radius at the equator (circumferential, i.e., is the proper circumference);
- angular velocity;
- angular velocity of a particle in circular orbit at the equator;
- rotational/gravitational energy;
- angular momentum;
- I moment of inertia;
- height from surface of last stable co-rotating circular orbit in equatorial plane (circumferential);
- height from surface of last stable counter-rotating circular orbit in equatorial plane (circumferential);
- polar redshift;
- backward equatorial redshift;
- forward equatorial redshift;
- ratio of central value of potential ω to Ω;
- coordinate equatorial radius;
- axes ratio (polar to equatorial).
Table A1.
DD2FMEVp80-nlNJL ( 860 MeV).
Table A1.
DD2FMEVp80-nlNJL ( 860 MeV).
| M | I | |||||||||||||||
|---|---|---|---|---|---|---|---|---|---|---|---|---|---|---|---|---|
| [ g cm−3] | [] | [] | [km] | [ s−1] | [ s−1] | [ g cm2] | [km] | [km] | [km] | |||||||
| 2.6 | 0.2466 | 0.2486 | 23.33 | 0.1608 | 0.1608 | 0.0179 | 0.02959 | 0.1617 | 8.927 | 0 | 0 | 0.02428 | 0.1545 | −0.1059 | 0.09017 | 0.6256 |
| 2.716 | 0.2998 | 0.3034 | 21.57 | 0.1996 | 0.1996 | 0.02524 | 0.04851 | 0.2136 | 15.83 | 0 | 0 | 0.03232 | 0.1838 | −0.119 | 0.1063 | 0.5757 |
| 2.838 | 0.371 | 0.3772 | 20.44 | 0.2411 | 0.2411 | 0.03431 | 0.08086 | 0.2947 | 27.73 | 0 | 0 | 0.04289 | 0.2193 | −0.1332 | 0.1263 | 0.542 |
| 2.965 | 0.5681 | 0.5837 | 20.05 | 0.3088 | 0.3088 | 0.05714 | 0.2192 | 0.624 | 83.72 | 0 | 0 | 0.06974 | 0.3012 | −0.1606 | 0.1654 | 0.523 |
| 3.098 | 0.5975 | 0.6147 | 20.09 | 0.3161 | 0.3161 | 0.06022 | 0.2456 | 0.683 | 94.45 | 0 | 0 | 0.07363 | 0.3125 | −0.1639 | 0.1743 | 0.5228 |
| 3.237 | 0.5596 | 0.5747 | 19.95 | 0.3086 | 0.3087 | 0.05594 | 0.2103 | 0.5987 | 78.91 | 0 | 0 | 0.06893 | 0.2989 | −0.1599 | 0.1711 | 0.5207 |
| 3.382 | 0.54 | 0.554 | 19.86 | 0.3052 | 0.3052 | 0.05359 | 0.1927 | 0.5551 | 71.03 | 0 | 0 | 0.0666 | 0.292 | −0.1578 | 0.1701 | 0.519 |
| 3.533 | 0.532 | 0.5455 | 19.8 | 0.3041 | 0.3041 | 0.05256 | 0.1855 | 0.5361 | 67.64 | 0 | 0 | 0.0657 | 0.2894 | −0.157 | 0.1701 | 0.5177 |
| 3.692 | 0.5277 | 0.541 | 19.77 | 0.3035 | 0.3035 | 0.052 | 0.1818 | 0.5263 | 65.91 | 0 | 0 | 0.06521 | 0.2879 | −0.1565 | 0.17 | 0.5171 |
| 3.857 | 0.5285 | 0.5419 | 19.78 | 0.3036 | 0.3036 | 0.05211 | 0.1825 | 0.5283 | 66.25 | 0 | 0 | 0.06531 | 0.2882 | −0.1566 | 0.17 | 0.5173 |
| 4.03 | 0.5337 | 0.5473 | 19.81 | 0.3043 | 0.3044 | 0.05277 | 0.187 | 0.54 | 68.32 | 0 | 0 | 0.06589 | 0.2899 | −0.1572 | 0.1701 | 0.518 |
| 4.21 | 0.5395 | 0.5534 | 19.86 | 0.3051 | 0.3051 | 0.05352 | 0.1922 | 0.5538 | 70.8 | 0 | 0 | 0.06653 | 0.2918 | −0.1578 | 0.1701 | 0.5189 |
| 4.399 | 0.5503 | 0.5648 | 19.91 | 0.3069 | 0.3069 | 0.05483 | 0.2018 | 0.5779 | 75.13 | 0 | 0 | 0.06781 | 0.2956 | −0.1589 | 0.1706 | 0.52 |
| 4.596 | 0.5629 | 0.5782 | 19.97 | 0.3093 | 0.3093 | 0.05633 | 0.2133 | 0.606 | 80.24 | 0 | 0 | 0.06934 | 0.3001 | −0.1602 | 0.1714 | 0.5209 |
| 4.802 | 0.578 | 0.5941 | 20.02 | 0.3122 | 0.3122 | 0.05805 | 0.2271 | 0.6394 | 86.37 | 0 | 0 | 0.07119 | 0.3054 | −0.1618 | 0.1726 | 0.5218 |
| 5.017 | 0.5927 | 0.6096 | 20.07 | 0.3151 | 0.3151 | 0.05969 | 0.241 | 0.6722 | 92.44 | 0 | 0 | 0.07302 | 0.3108 | −0.1634 | 0.1739 | 0.5226 |
| 5.242 | 0.6021 | 0.6196 | 20.1 | 0.317 | 0.317 | 0.06073 | 0.2501 | 0.6934 | 96.39 | 0 | 0 | 0.07421 | 0.3142 | −0.1644 | 0.1746 | 0.523 |
| 5.477 | 0.6081 | 0.626 | 20.12 | 0.3182 | 0.3182 | 0.06138 | 0.256 | 0.7071 | 98.97 | 0 | 0 | 0.07496 | 0.3163 | −0.165 | 0.1749 | 0.5232 |
| 5.722 | 0.6093 | 0.6272 | 20.13 | 0.3184 | 0.3184 | 0.0615 | 0.2571 | 0.7097 | 99.47 | 0 | 0 | 0.0751 | 0.3167 | −0.1651 | 0.175 | 0.5233 |
| 5.978 | 0.5725 | 0.5882 | 20.0 | 0.3111 | 0.3111 | 0.05743 | 0.222 | 0.6272 | 84.11 | 0 | 0 | 0.07051 | 0.3035 | −0.1613 | 0.1721 | 0.5215 |
| 6.246 | 0.507 | 0.5191 | 18.89 | 0.318 | 0.318 | 0.04736 | 0.1572 | 0.4344 | 50.18 | 0 | 0 | 0.06551 | 0.2886 | −0.1567 | 0.1817 | 0.4941 |
| 6.526 | 0.5734 | 0.5896 | 17.67 | 0.3739 | 0.3739 | 0.05098 | 0.1943 | 0.4568 | 52.78 | 0 | 0 | 0.08079 | 0.3321 | −0.169 | 0.2132 | 0.4578 |
| 6.818 | 0.6852 | 0.71 | 16.8 | 0.4411 | 0.4411 | 0.05863 | 0.2782 | 0.5543 | 68.0 | 0 | 0 | 0.1047 | 0.3974 | −0.1853 | 0.2534 | 0.4294 |
| 7.124 | 0.82 | 0.8575 | 16.35 | 0.5028 | 0.5028 | 0.06766 | 0.4044 | 0.7069 | 89.71 | 0 | 0 | 0.1332 | 0.4727 | −0.2012 | 0.2953 | 0.4113 |
| 7.443 | 0.9643 | 1.018 | 16.11 | 0.5568 | 0.5569 | 0.07659 | 0.5688 | 0.8978 | 115.8 | 0 | 0 | 0.1648 | 0.5538 | −0.2159 | 0.337 | 0.3987 |
| 7.776 | 1.112 | 1.186 | 15.99 | 0.6045 | 0.6045 | 0.0851 | 0.7707 | 1.121 | 147.0 | 0 | 0 | 0.1986 | 0.6398 | −0.2293 | 0.3782 | 0.3888 |
| 8.124 | 1.257 | 1.354 | 15.91 | 0.6469 | 0.6469 | 0.0926 | 1.001 | 1.36 | 179.5 | 0 | 1.107 | 0.2339 | 0.7292 | −0.2414 | 0.4174 | 0.3801 |
| 8.488 | 1.396 | 1.518 | 15.86 | 0.6845 | 0.6845 | 0.09938 | 1.256 | 1.612 | 213.9 | 0 | 2.716 | 0.2702 | 0.8213 | −0.2523 | 0.4544 | 0.3722 |
| 8.869 | 1.519 | 1.665 | 15.81 | 0.7155 | 0.7156 | 0.1047 | 1.498 | 1.839 | 239.3 | 0 | 4.067 | 0.3042 | 0.9078 | −0.2614 | 0.4863 | 0.3653 |
| 9.266 | 1.646 | 1.821 | 15.76 | 0.7478 | 0.7478 | 0.11 | 1.786 | 2.099 | 273.6 | 0 | 5.581 | 0.3423 | 1.007 | −0.2709 | 0.5193 | 0.3578 |
| 9.681 | 1.753 | 1.954 | 15.7 | 0.7746 | 0.7747 | 0.1139 | 2.036 | 2.31 | 294.9 | 0 | 6.788 | 0.3769 | 1.097 | −0.2784 | 0.5471 | 0.351 |
| 10.11 | 1.862 | 2.092 | 15.63 | 0.8019 | 0.802 | 0.1182 | 2.326 | 2.549 | 325.8 | 0 | 8.121 | 0.4149 | 1.198 | −0.2864 | 0.5755 | 0.3439 |
| 10.57 | 1.954 | 2.21 | 15.55 | 0.8261 | 0.8261 | 0.1212 | 2.576 | 2.74 | 345.0 | 0 | 9.21 | 0.4499 | 1.292 | −0.293 | 0.6 | 0.3372 |
| 11.04 | 2.038 | 2.319 | 15.46 | 0.8494 | 0.8495 | 0.1237 | 2.814 | 2.912 | 360.9 | 0 | 10.22 | 0.4847 | 1.388 | −0.2992 | 0.6226 | 0.3304 |
| 11.54 | 2.11 | 2.411 | 15.36 | 0.8705 | 0.8705 | 0.1257 | 3.017 | 3.046 | 370.4 | 0 | 11.07 | 0.517 | 1.477 | −0.3045 | 0.6428 | 0.3241 |
| 12.05 | 2.174 | 2.497 | 15.26 | 0.891 | 0.891 | 0.1273 | 3.21 | 3.167 | 378.9 | 0 | 11.87 | 0.549 | 1.567 | −0.3095 | 0.6616 | 0.3179 |
| 12.59 | 2.246 | 2.595 | 15.15 | 0.9137 | 0.9138 | 0.1297 | 3.461 | 3.329 | 400.0 | 0 | 12.84 | 0.5865 | 1.678 | −0.3155 | 0.6819 | 0.3112 |
| 13.16 | 2.299 | 2.668 | 15.03 | 0.9337 | 0.9338 | 0.1309 | 3.635 | 3.421 | 406.0 | 0 | 13.54 | 0.6186 | 1.772 | −0.32 | 0.6987 | 0.305 |
| 13.75 | 2.347 | 2.733 | 14.91 | 0.9533 | 0.9533 | 0.132 | 3.793 | 3.497 | 410.5 | 0.1641 | 14.18 | 0.6501 | 1.866 | −0.3244 | 0.7145 | 0.2991 |
| 14.36 | 2.39 | 2.793 | 14.79 | 0.9726 | 0.9726 | 0.133 | 3.945 | 3.565 | 415.6 | 0.3427 | 14.78 | 0.6814 | 1.963 | −0.3285 | 0.7295 | 0.2932 |
| 15.0 | 2.429 | 2.85 | 14.65 | 0.9922 | 0.9922 | 0.1338 | 4.089 | 3.622 | 419.7 | 0.5065 | 15.36 | 0.7132 | 2.062 | −0.3326 | 0.7439 | 0.2874 |
| 15.68 | 2.46 | 2.893 | 14.52 | 1.011 | 1.011 | 0.1342 | 4.194 | 3.646 | 418.1 | 0.6379 | 15.8 | 0.7422 | 2.154 | −0.3361 | 0.7568 | 0.2818 |
| 16.38 | 2.486 | 2.93 | 14.38 | 1.029 | 1.029 | 0.1345 | 4.283 | 3.658 | 415.4 | 0.7613 | 16.21 | 0.7706 | 2.245 | −0.3395 | 0.7689 | 0.2765 |
| 17.11 | 2.507 | 2.961 | 14.24 | 1.047 | 1.047 | 0.1346 | 4.359 | 3.658 | 411.6 | 0.8775 | 16.56 | 0.7982 | 2.335 | −0.3427 | 0.7805 | 0.2712 |
| 17.88 | 2.526 | 2.989 | 14.09 | 1.066 | 1.066 | 0.1348 | 4.429 | 3.652 | 408.3 | 0.9884 | 16.9 | 0.8259 | 2.427 | −0.3458 | 0.7916 | 0.2661 |
| 18.68 | 2.544 | 3.014 | 13.95 | 1.085 | 1.085 | 0.1349 | 4.498 | 3.645 | 405.9 | 1.099 | 17.23 | 0.8542 | 2.523 | −0.349 | 0.8026 | 0.261 |
| 19.52 | 2.564 | 3.045 | 13.81 | 1.105 | 1.105 | 0.1355 | 4.596 | 3.656 | 409.4 | 1.227 | 17.64 | 0.8862 | 2.638 | −0.3526 | 0.8139 | 0.2557 |
| 20.39 | 2.575 | 3.062 | 13.66 | 1.124 | 1.124 | 0.1355 | 4.641 | 3.63 | 405.2 | 1.32 | 17.89 | 0.9133 | 2.735 | −0.3555 | 0.8236 | 0.2508 |
| 21.31 | 2.582 | 3.073 | 13.52 | 1.141 | 1.141 | 0.1353 | 4.671 | 3.596 | 399.8 | 1.398 | 18.1 | 0.9384 | 2.825 | −0.3581 | 0.8324 | 0.2463 |
| 22.26 | 2.586 | 3.077 | 13.39 | 1.158 | 1.158 | 0.1351 | 4.684 | 3.555 | 394.0 | 1.464 | 18.25 | 0.9605 | 2.905 | −0.3604 | 0.8404 | 0.2423 |
| 23.26 | 2.588 | 3.082 | 13.25 | 1.175 | 1.175 | 0.1347 | 4.696 | 3.512 | 387.4 | 1.523 | 18.4 | 0.9832 | 2.989 | −0.3626 | 0.8478 | 0.2382 |
| 24.3 | 2.587 | 3.08 | 13.13 | 1.19 | 1.19 | 0.1343 | 4.691 | 3.464 | 381.1 | 1.573 | 18.48 | 1.002 | 3.058 | −0.3644 | 0.8545 | 0.2348 |
| 25.39 | 2.584 | 3.075 | 13.02 | 1.205 | 1.205 | 0.1339 | 4.679 | 3.414 | 374.2 | 1.616 | 18.54 | 1.019 | 3.123 | −0.3661 | 0.8606 | 0.2315 |
| 26.52 | 2.58 | 3.07 | 12.9 | 1.219 | 1.219 | 0.1334 | 4.667 | 3.365 | 367.9 | 1.656 | 18.6 | 1.036 | 3.187 | −0.3678 | 0.8665 | 0.2284 |
| 27.71 | 2.575 | 3.06 | 12.8 | 1.232 | 1.232 | 0.1329 | 4.644 | 3.313 | 361.4 | 1.69 | 18.62 | 1.05 | 3.24 | −0.3691 | 0.8718 | 0.2256 |
| 28.95 | 2.567 | 3.048 | 12.69 | 1.245 | 1.245 | 0.1323 | 4.614 | 3.258 | 354.1 | 1.719 | 18.62 | 1.063 | 3.288 | −0.3703 | 0.8767 | 0.2229 |
| 30.25 | 2.56 | 3.037 | 12.59 | 1.257 | 1.258 | 0.1317 | 4.585 | 3.205 | 347.3 | 1.745 | 18.62 | 1.075 | 3.336 | −0.3715 | 0.8814 | 0.2204 |
Table A2.
DD2FMEVp80-nlNJL ( 955 MeV).
Table A2.
DD2FMEVp80-nlNJL ( 955 MeV).
| M | I | |||||||||||||||
|---|---|---|---|---|---|---|---|---|---|---|---|---|---|---|---|---|
| [ g cm−3] | [] | [] | [km] | [ s−1] | [ s−1] | [ g cm2] | [km] | [km] | [km] | |||||||
| 2.6 | 0.2466 | 0.2486 | 23.33 | 0.1608 | 0.1608 | 0.0179 | 0.02959 | 0.1617 | 8.927 | 0 | 0 | 0.02428 | 0.1545 | −0.1059 | 0.09017 | 0.6256 |
| 2.673 | 0.2778 | 0.2807 | 22.16 | 0.1844 | 0.1845 | 0.02224 | 0.0401 | 0.1911 | 12.67 | 0 | 0 | 0.029 | 0.172 | −0.1139 | 0.09978 | 0.5925 |
| 2.748 | 0.3159 | 0.32 | 21.24 | 0.2098 | 0.2098 | 0.02735 | 0.05507 | 0.2306 | 18.15 | 0 | 0 | 0.03471 | 0.1921 | −0.1225 | 0.111 | 0.5659 |
| 2.825 | 0.3609 | 0.3666 | 20.56 | 0.2358 | 0.2358 | 0.03304 | 0.07568 | 0.2821 | 25.71 | 0 | 0 | 0.04139 | 0.2144 | −0.1314 | 0.1236 | 0.5455 |
| 2.904 | 0.4141 | 0.4221 | 20.07 | 0.2622 | 0.2622 | 0.03935 | 0.1043 | 0.3496 | 36.2 | 0 | 0 | 0.04924 | 0.2395 | −0.1406 | 0.138 | 0.53 |
| 2.985 | 0.4767 | 0.4877 | 19.74 | 0.2887 | 0.2887 | 0.04621 | 0.1438 | 0.4376 | 50.75 | 0 | 0 | 0.05841 | 0.2677 | −0.1501 | 0.1543 | 0.5185 |
| 3.068 | 0.5495 | 0.5646 | 19.56 | 0.315 | 0.315 | 0.05349 | 0.1975 | 0.551 | 70.15 | 0 | 0 | 0.06902 | 0.299 | −0.1599 | 0.1725 | 0.5103 |
| 3.154 | 0.634 | 0.6545 | 19.48 | 0.3409 | 0.3409 | 0.06116 | 0.2705 | 0.6974 | 96.06 | 0 | 0 | 0.08135 | 0.3343 | −0.1699 | 0.1928 | 0.5047 |
| 3.243 | 0.7292 | 0.7566 | 19.49 | 0.3658 | 0.3658 | 0.06889 | 0.3661 | 0.8796 | 128.6 | 0 | 0 | 0.09527 | 0.373 | −0.1799 | 0.2148 | 0.501 |
| 3.333 | 0.8694 | 0.9086 | 19.66 | 0.3951 | 0.3951 | 0.07933 | 0.5351 | 1.19 | 185.6 | 0 | 0 | 0.1156 | 0.4281 | −0.1927 | 0.2432 | 0.4995 |
| 3.427 | 1.137 | 1.202 | 20.34 | 0.4308 | 0.4308 | 0.09799 | 0.9616 | 1.962 | 332.0 | 0 | 0 | 0.1531 | 0.5271 | −0.2123 | 0.2866 | 0.5064 |
| 3.523 | 1.452 | 1.553 | 21.31 | 0.4555 | 0.4555 | 0.1178 | 1.643 | 3.171 | 567.6 | 0 | 1.277 | 0.1962 | 0.6395 | −0.2308 | 0.3313 | 0.5187 |
| 3.621 | 1.66 | 1.787 | 21.95 | 0.4667 | 0.4667 | 0.1296 | 2.195 | 4.133 | 754.4 | 0 | 3.341 | 0.2245 | 0.7133 | −0.2412 | 0.3597 | 0.5265 |
| 3.723 | 1.717 | 1.851 | 22.1 | 0.47 | 0.47 | 0.1326 | 2.356 | 4.405 | 805.6 | 0 | 3.901 | 0.2326 | 0.7343 | −0.2439 | 0.3702 | 0.5279 |
| 3.827 | 1.709 | 1.842 | 22.06 | 0.4701 | 0.4701 | 0.1321 | 2.329 | 4.354 | 794.6 | 0 | 3.817 | 0.2317 | 0.7318 | −0.2436 | 0.3712 | 0.5272 |
| 3.934 | 1.703 | 1.835 | 22.03 | 0.47 | 0.47 | 0.1317 | 2.31 | 4.319 | 787.4 | 0 | 3.753 | 0.2309 | 0.7298 | −0.2433 | 0.3712 | 0.5268 |
| 4.044 | 1.702 | 1.835 | 22.03 | 0.47 | 0.47 | 0.1318 | 2.309 | 4.319 | 787.3 | 0 | 3.753 | 0.2309 | 0.7297 | −0.2433 | 0.3712 | 0.5268 |
| 4.157 | 1.706 | 1.839 | 22.05 | 0.47 | 0.47 | 0.132 | 2.321 | 4.34 | 791.6 | 0 | 3.79 | 0.2313 | 0.731 | −0.2435 | 0.3712 | 0.527 |
| 4.274 | 1.711 | 1.845 | 22.07 | 0.4701 | 0.4701 | 0.1323 | 2.337 | 4.368 | 797.5 | 0 | 3.841 | 0.232 | 0.7327 | −0.2437 | 0.3712 | 0.5274 |
| 4.393 | 1.71 | 1.844 | 22.06 | 0.4701 | 0.4701 | 0.1322 | 2.334 | 4.363 | 796.3 | 0 | 3.832 | 0.2318 | 0.7323 | −0.2436 | 0.3712 | 0.5273 |
| 4.516 | 1.709 | 1.842 | 22.06 | 0.4701 | 0.4701 | 0.1321 | 2.329 | 4.354 | 794.5 | 0 | 3.816 | 0.2316 | 0.7318 | −0.2436 | 0.3712 | 0.5272 |
| 4.643 | 1.707 | 1.84 | 22.05 | 0.47 | 0.47 | 0.132 | 2.323 | 4.343 | 792.2 | 0 | 3.796 | 0.2314 | 0.7312 | −0.2435 | 0.3712 | 0.5271 |
| 4.773 | 1.705 | 1.837 | 22.04 | 0.47 | 0.47 | 0.1319 | 2.317 | 4.332 | 790.0 | 0 | 3.776 | 0.2311 | 0.7305 | −0.2434 | 0.3712 | 0.5269 |
| 4.906 | 1.703 | 1.835 | 22.03 | 0.47 | 0.47 | 0.1318 | 2.309 | 4.319 | 787.4 | 0 | 3.754 | 0.2309 | 0.7297 | −0.2433 | 0.3712 | 0.5268 |
| 5.044 | 1.7 | 1.832 | 22.02 | 0.4699 | 0.4699 | 0.1316 | 2.302 | 4.305 | 784.4 | 0 | 3.727 | 0.2305 | 0.7289 | −0.2432 | 0.3712 | 0.5266 |
| 5.185 | 1.697 | 1.829 | 22.01 | 0.4698 | 0.4699 | 0.1314 | 2.293 | 4.29 | 781.4 | 0 | 3.699 | 0.2302 | 0.728 | −0.2431 | 0.3711 | 0.5265 |
| 5.33 | 1.694 | 1.825 | 22.0 | 0.4698 | 0.4698 | 0.1313 | 2.284 | 4.274 | 778.2 | 0 | 3.671 | 0.2298 | 0.727 | −0.2429 | 0.371 | 0.5263 |
| 5.479 | 1.691 | 1.822 | 21.99 | 0.4697 | 0.4697 | 0.1311 | 2.275 | 4.256 | 774.6 | 0 | 3.638 | 0.2294 | 0.7259 | −0.2428 | 0.3709 | 0.5261 |
| 5.633 | 1.688 | 1.818 | 21.98 | 0.4696 | 0.4696 | 0.1309 | 2.264 | 4.238 | 770.8 | 0 | 3.603 | 0.229 | 0.7247 | −0.2426 | 0.3708 | 0.526 |
| 5.79 | 1.684 | 1.814 | 21.96 | 0.4695 | 0.4695 | 0.1307 | 2.253 | 4.218 | 766.9 | 0 | 3.567 | 0.2285 | 0.7235 | −0.2425 | 0.3707 | 0.5258 |
| 5.952 | 1.68 | 1.809 | 21.95 | 0.4694 | 0.4694 | 0.1305 | 2.242 | 4.197 | 762.8 | 0 | 3.528 | 0.228 | 0.7222 | −0.2423 | 0.3705 | 0.5256 |
| 6.119 | 1.676 | 1.805 | 21.94 | 0.4693 | 0.4693 | 0.1302 | 2.23 | 4.175 | 758.3 | 0 | 3.487 | 0.2275 | 0.7208 | −0.2421 | 0.3704 | 0.5254 |
| 6.29 | 1.672 | 1.8 | 21.92 | 0.4691 | 0.4692 | 0.13 | 2.216 | 4.152 | 753.5 | 0 | 3.442 | 0.2269 | 0.7193 | −0.2419 | 0.3701 | 0.5251 |
| 6.466 | 1.667 | 1.795 | 21.9 | 0.469 | 0.469 | 0.1297 | 2.202 | 4.127 | 748.5 | 0 | 3.396 | 0.2263 | 0.7177 | −0.2417 | 0.3699 | 0.5249 |
| 6.648 | 1.662 | 1.789 | 21.88 | 0.4689 | 0.4689 | 0.1294 | 2.188 | 4.1 | 743.2 | 0 | 3.345 | 0.2256 | 0.716 | −0.2415 | 0.3697 | 0.5246 |
| 6.834 | 1.657 | 1.783 | 21.87 | 0.4687 | 0.4687 | 0.1291 | 2.173 | 4.073 | 737.8 | 0 | 3.294 | 0.225 | 0.7143 | −0.2412 | 0.3694 | 0.5244 |
| 7.025 | 1.652 | 1.777 | 21.85 | 0.4686 | 0.4686 | 0.1288 | 2.158 | 4.048 | 732.6 | 0 | 3.245 | 0.2243 | 0.7126 | −0.241 | 0.3692 | 0.5241 |
| 7.222 | 1.648 | 1.773 | 21.83 | 0.4684 | 0.4685 | 0.1286 | 2.145 | 4.025 | 728.0 | 0 | 3.201 | 0.2238 | 0.7111 | −0.2408 | 0.369 | 0.5239 |
| 7.424 | 1.639 | 1.762 | 21.8 | 0.4682 | 0.4682 | 0.128 | 2.119 | 3.978 | 718.7 | 0 | 3.11 | 0.2226 | 0.708 | −0.2404 | 0.3685 | 0.5234 |
| 7.632 | 1.625 | 1.747 | 21.75 | 0.4677 | 0.4678 | 0.1272 | 2.081 | 3.91 | 704.8 | 0 | 2.975 | 0.2209 | 0.7035 | −0.2398 | 0.3677 | 0.5227 |
| 7.845 | 1.612 | 1.732 | 21.7 | 0.4673 | 0.4673 | 0.1264 | 2.041 | 3.839 | 690.7 | 0 | 2.836 | 0.2191 | 0.6988 | −0.2391 | 0.3669 | 0.522 |
| 8.065 | 1.597 | 1.715 | 21.65 | 0.4668 | 0.4669 | 0.1255 | 2.0 | 3.765 | 676.0 | 0 | 2.69 | 0.2172 | 0.6938 | −0.2384 | 0.366 | 0.5212 |
| 8.291 | 1.584 | 1.7 | 21.6 | 0.4664 | 0.4664 | 0.1248 | 1.963 | 3.699 | 662.7 | 0 | 2.557 | 0.2155 | 0.6894 | −0.2378 | 0.3652 | 0.5204 |
| 8.523 | 1.59 | 1.707 | 21.62 | 0.4666 | 0.4666 | 0.1251 | 1.979 | 3.728 | 668.5 | 0 | 2.616 | 0.2162 | 0.6913 | −0.2381 | 0.3656 | 0.5208 |
| 8.761 | 1.31 | 1.392 | 20.35 | 0.4618 | 0.4618 | 0.1054 | 1.255 | 2.388 | 396.4 | 0 | 0 | 0.1819 | 0.6012 | −0.2245 | 0.3505 | 0.4988 |
| 9.007 | 1.202 | 1.271 | 19.27 | 0.478 | 0.478 | 0.09317 | 0.9847 | 1.811 | 275.5 | 0 | 0 | 0.1742 | 0.5799 | −0.2207 | 0.3573 | 0.4744 |
| 9.259 | 1.195 | 1.264 | 18.4 | 0.5092 | 0.5092 | 0.08745 | 0.922 | 1.591 | 225.8 | 0 | 0 | 0.1827 | 0.6006 | −0.2237 | 0.377 | 0.4511 |
| 9.518 | 1.239 | 1.314 | 17.71 | 0.5479 | 0.5479 | 0.08575 | 0.9566 | 1.535 | 206.7 | 0 | 0 | 0.2004 | 0.6445 | −0.2301 | 0.4032 | 0.4303 |
| 9.784 | 1.309 | 1.395 | 17.19 | 0.5878 | 0.5878 | 0.08644 | 1.045 | 1.563 | 202.0 | 0 | 0.5569 | 0.2231 | 0.7013 | −0.2378 | 0.4314 | 0.4129 |
| 10.06 | 1.39 | 1.489 | 16.79 | 0.6262 | 0.6263 | 0.0884 | 1.167 | 1.637 | 204.9 | 0 | 1.588 | 0.2486 | 0.765 | −0.2457 | 0.4596 | 0.3983 |
| 10.34 | 1.475 | 1.59 | 16.46 | 0.6629 | 0.6629 | 0.09098 | 1.311 | 1.738 | 212.0 | 0 | 2.665 | 0.2762 | 0.834 | −0.2536 | 0.4874 | 0.3856 |
| 10.63 | 1.56 | 1.693 | 16.21 | 0.6967 | 0.6967 | 0.09394 | 1.471 | 1.856 | 221.8 | 0 | 3.741 | 0.3047 | 0.906 | −0.2611 | 0.5139 | 0.3747 |
| 10.93 | 1.643 | 1.794 | 16.0 | 0.7275 | 0.7275 | 0.09688 | 1.637 | 1.978 | 231.3 | 0 | 4.766 | 0.3335 | 0.9789 | −0.2681 | 0.5384 | 0.3651 |
| 11.23 | 1.723 | 1.894 | 15.81 | 0.7573 | 0.7574 | 0.09981 | 1.815 | 2.106 | 243.2 | 0 | 5.797 | 0.3634 | 1.056 | −0.2749 | 0.5624 | 0.356 |
| 11.55 | 1.796 | 1.985 | 15.65 | 0.7832 | 0.7832 | 0.1025 | 1.982 | 2.224 | 252.5 | 0 | 6.708 | 0.3917 | 1.129 | −0.2809 | 0.5836 | 0.3483 |
| 11.87 | 1.867 | 2.075 | 15.51 | 0.8086 | 0.8086 | 0.1052 | 2.159 | 2.347 | 264.4 | 0 | 7.631 | 0.4209 | 1.206 | −0.2868 | 0.6042 | 0.3408 |
| 12.2 | 1.931 | 2.156 | 15.37 | 0.8316 | 0.8316 | 0.1075 | 2.324 | 2.457 | 273.7 | 0 | 8.455 | 0.4489 | 1.28 | −0.2922 | 0.6227 | 0.3339 |
| 12.54 | 1.987 | 2.229 | 15.25 | 0.852 | 0.852 | 0.1095 | 2.474 | 2.552 | 280.6 | 0 | 9.176 | 0.4751 | 1.35 | −0.2968 | 0.639 | 0.3279 |
| 12.9 | 2.04 | 2.298 | 15.14 | 0.8716 | 0.8716 | 0.1115 | 2.625 | 2.647 | 289.2 | 0 | 9.887 | 0.5013 | 1.422 | −0.3014 | 0.6548 | 0.3221 |
| 13.26 | 2.092 | 2.367 | 15.03 | 0.8911 | 0.8912 | 0.1134 | 2.781 | 2.742 | 298.7 | 0 | 10.59 | 0.5283 | 1.497 | −0.3059 | 0.6701 | 0.3164 |
| 13.63 | 2.138 | 2.428 | 14.92 | 0.9091 | 0.9091 | 0.1151 | 2.921 | 2.823 | 306.0 | 0 | 11.22 | 0.5537 | 1.568 | −0.31 | 0.684 | 0.3111 |
| 14.01 | 2.178 | 2.482 | 14.82 | 0.9256 | 0.9257 | 0.1166 | 3.046 | 2.893 | 311.5 | 0 | 11.77 | 0.5777 | 1.636 | −0.3136 | 0.6965 | 0.3062 |
| 14.4 | 2.214 | 2.531 | 14.73 | 0.9412 | 0.9413 | 0.1178 | 3.16 | 2.951 | 315.6 | 0 | 12.27 | 0.6006 | 1.702 | −0.3169 | 0.708 | 0.3016 |
| 14.8 | 2.248 | 2.576 | 14.63 | 0.9562 | 0.9562 | 0.1189 | 3.267 | 3.003 | 319.2 | 0 | 12.73 | 0.6229 | 1.767 | −0.3202 | 0.7188 | 0.2973 |
| 15.22 | 2.279 | 2.619 | 14.54 | 0.9709 | 0.971 | 0.12 | 3.374 | 3.054 | 323.8 | 0.08803 | 13.19 | 0.6451 | 1.833 | −0.3233 | 0.7293 | 0.293 |
| 15.64 | 2.308 | 2.661 | 14.45 | 0.9853 | 0.9854 | 0.1211 | 3.48 | 3.104 | 329.1 | 0.2284 | 13.63 | 0.6674 | 1.9 | −0.3264 | 0.7394 | 0.2889 |
| 16.08 | 2.334 | 2.696 | 14.36 | 0.9989 | 0.9989 | 0.122 | 3.572 | 3.143 | 332.8 | 0.3501 | 14.02 | 0.6882 | 1.964 | −0.3291 | 0.7486 | 0.285 |
| 16.53 | 2.356 | 2.728 | 14.28 | 1.012 | 1.012 | 0.1228 | 3.653 | 3.173 | 335.4 | 0.456 | 14.37 | 0.7078 | 2.024 | −0.3317 | 0.7571 | 0.2814 |
| 17.0 | 2.376 | 2.755 | 14.19 | 1.024 | 1.024 | 0.1234 | 3.724 | 3.197 | 337.0 | 0.5515 | 14.68 | 0.7264 | 2.082 | −0.3341 | 0.765 | 0.278 |
| 17.47 | 2.394 | 2.78 | 14.11 | 1.036 | 1.036 | 0.124 | 3.789 | 3.215 | 338.1 | 0.641 | 14.96 | 0.7443 | 2.138 | −0.3363 | 0.7725 | 0.2747 |
| 17.96 | 2.409 | 2.802 | 14.03 | 1.047 | 1.047 | 0.1245 | 3.848 | 3.23 | 338.9 | 0.7252 | 15.22 | 0.7615 | 2.193 | −0.3383 | 0.7795 | 0.2715 |
| 18.46 | 2.423 | 2.822 | 13.95 | 1.058 | 1.058 | 0.1249 | 3.9 | 3.239 | 339.4 | 0.8033 | 15.46 | 0.7782 | 2.246 | −0.3403 | 0.7862 | 0.2685 |
| 18.98 | 2.435 | 2.839 | 13.87 | 1.069 | 1.069 | 0.1253 | 3.947 | 3.246 | 339.3 | 0.8741 | 15.67 | 0.794 | 2.297 | −0.3422 | 0.7925 | 0.2656 |
| 19.51 | 2.446 | 2.854 | 13.8 | 1.079 | 1.079 | 0.1256 | 3.987 | 3.247 | 338.9 | 0.9389 | 15.87 | 0.809 | 2.346 | −0.344 | 0.7985 | 0.2628 |
| 20.06 | 2.454 | 2.866 | 13.72 | 1.089 | 1.089 | 0.1258 | 4.021 | 3.244 | 337.9 | 0.9984 | 16.04 | 0.8233 | 2.394 | −0.3456 | 0.8041 | 0.2602 |
| 20.62 | 2.462 | 2.877 | 13.65 | 1.099 | 1.099 | 0.126 | 4.05 | 3.239 | 336.7 | 1.052 | 16.19 | 0.837 | 2.439 | −0.3472 | 0.8094 | 0.2576 |
| 21.2 | 2.468 | 2.886 | 13.58 | 1.109 | 1.109 | 0.1261 | 4.077 | 3.232 | 335.6 | 1.104 | 16.33 | 0.8502 | 2.483 | −0.3487 | 0.8145 | 0.2552 |
| 21.79 | 2.474 | 2.895 | 13.5 | 1.118 | 1.118 | 0.1262 | 4.101 | 3.223 | 334.3 | 1.153 | 16.47 | 0.863 | 2.526 | −0.3501 | 0.8194 | 0.2528 |
| 22.4 | 2.478 | 2.902 | 13.43 | 1.127 | 1.127 | 0.1262 | 4.121 | 3.213 | 332.9 | 1.199 | 16.59 | 0.8753 | 2.568 | −0.3515 | 0.8241 | 0.2505 |
| 23.03 | 2.482 | 2.907 | 13.36 | 1.136 | 1.136 | 0.1262 | 4.138 | 3.2 | 331.4 | 1.242 | 16.7 | 0.8871 | 2.609 | −0.3527 | 0.8286 | 0.2483 |
| 23.67 | 2.484 | 2.91 | 13.3 | 1.145 | 1.145 | 0.1262 | 4.15 | 3.185 | 329.7 | 1.282 | 16.79 | 0.8983 | 2.648 | −0.354 | 0.8329 | 0.2462 |
| 24.33 | 2.486 | 2.913 | 13.23 | 1.154 | 1.154 | 0.1262 | 4.16 | 3.169 | 327.8 | 1.319 | 16.88 | 0.909 | 2.685 | −0.3551 | 0.8371 | 0.2441 |
| 25.02 | 2.487 | 2.914 | 13.16 | 1.162 | 1.162 | 0.126 | 4.165 | 3.149 | 325.4 | 1.352 | 16.95 | 0.919 | 2.72 | −0.3562 | 0.8409 | 0.2421 |
| 25.72 | 2.486 | 2.914 | 13.1 | 1.17 | 1.17 | 0.1259 | 4.167 | 3.129 | 322.9 | 1.382 | 17.0 | 0.9283 | 2.753 | −0.3572 | 0.8447 | 0.2403 |
| 26.44 | 2.486 | 2.913 | 13.03 | 1.178 | 1.179 | 0.1257 | 4.165 | 3.106 | 320.2 | 1.41 | 17.05 | 0.9372 | 2.784 | −0.3581 | 0.8482 | 0.2384 |
| 27.18 | 2.484 | 2.911 | 12.97 | 1.186 | 1.186 | 0.1255 | 4.161 | 3.083 | 317.4 | 1.435 | 17.09 | 0.9455 | 2.813 | −0.359 | 0.8516 | 0.2367 |
| 27.94 | 2.482 | 2.907 | 12.91 | 1.194 | 1.194 | 0.1252 | 4.154 | 3.059 | 314.4 | 1.457 | 17.12 | 0.9532 | 2.84 | −0.3598 | 0.8549 | 0.2351 |
| 28.72 | 2.479 | 2.902 | 12.85 | 1.201 | 1.201 | 0.125 | 4.144 | 3.032 | 311.2 | 1.478 | 17.13 | 0.9603 | 2.865 | −0.3606 | 0.858 | 0.2335 |
| 29.52 | 2.476 | 2.897 | 12.79 | 1.208 | 1.208 | 0.1247 | 4.132 | 3.006 | 307.9 | 1.496 | 17.15 | 0.967 | 2.889 | −0.3612 | 0.861 | 0.2319 |
| 30.35 | 2.471 | 2.891 | 12.73 | 1.215 | 1.215 | 0.1244 | 4.117 | 2.978 | 304.6 | 1.513 | 17.15 | 0.9732 | 2.91 | −0.3619 | 0.8639 | 0.2305 |
| 31.2 | 2.467 | 2.885 | 12.67 | 1.222 | 1.222 | 0.124 | 4.102 | 2.951 | 301.2 | 1.528 | 17.14 | 0.9789 | 2.93 | −0.3625 | 0.8667 | 0.2291 |
| 32.07 | 2.462 | 2.877 | 12.62 | 1.228 | 1.229 | 0.1237 | 4.084 | 2.921 | 297.7 | 1.542 | 17.13 | 0.9842 | 2.949 | −0.363 | 0.8694 | 0.2277 |
| 32.97 | 2.457 | 2.869 | 12.56 | 1.235 | 1.235 | 0.1233 | 4.065 | 2.893 | 294.2 | 1.554 | 17.12 | 0.9891 | 2.966 | −0.3636 | 0.8719 | 0.2264 |
| 33.89 | 2.452 | 2.861 | 12.51 | 1.241 | 1.241 | 0.1229 | 4.044 | 2.864 | 290.6 | 1.565 | 17.1 | 0.9935 | 2.981 | −0.364 | 0.8744 | 0.2252 |
| 34.84 | 2.445 | 2.851 | 12.45 | 1.247 | 1.248 | 0.1225 | 4.021 | 2.833 | 287.0 | 1.575 | 17.07 | 0.9976 | 2.995 | −0.3644 | 0.8768 | 0.2239 |
| 35.82 | 2.438 | 2.84 | 12.4 | 1.254 | 1.254 | 0.1221 | 3.996 | 2.801 | 283.3 | 1.584 | 17.03 | 1.001 | 3.008 | −0.3648 | 0.879 | 0.2227 |
| 36.82 | 2.433 | 2.832 | 12.35 | 1.26 | 1.26 | 0.1215 | 3.973 | 2.772 | 279.5 | 1.592 | 17.0 | 1.005 | 3.02 | −0.3652 | 0.8815 | 0.2216 |
| 37.85 | 2.425 | 2.82 | 12.29 | 1.266 | 1.266 | 0.1211 | 3.945 | 2.739 | 275.6 | 1.599 | 16.95 | 1.008 | 3.03 | −0.3655 | 0.8837 | 0.2204 |
| 38.91 | 2.419 | 2.811 | 12.24 | 1.272 | 1.272 | 0.1204 | 3.92 | 2.708 | 271.6 | 1.608 | 16.91 | 1.011 | 3.041 | −0.3658 | 0.8862 | 0.2193 |
Table A3.
DD2MEVp80-CSS ( = 0.9).
Table A3.
DD2MEVp80-CSS ( = 0.9).
| M | I | |||||||||||||||
|---|---|---|---|---|---|---|---|---|---|---|---|---|---|---|---|---|
| [ g cm−3] | [] | [] | [km] | [ s−1] | [ s−1] | [ g cm2] | [km] | [km] | [km] | |||||||
| 2.636 | 0.263 | 0.2646 | 22.55 | 0.1748 | 0.1748 | 0.02052 | 0.03515 | 0.1768 | 11.05 | 0 | 0 | 0.02689 | 0.1643 | −0.1105 | 0.09535 | 0.6039 |
| 2.709 | 0.3007 | 0.3033 | 21.48 | 0.2012 | 0.2013 | 0.02569 | 0.0491 | 0.2144 | 16.05 | 0 | 0 | 0.03257 | 0.1847 | −0.1194 | 0.1066 | 0.5731 |
| 2.785 | 0.3455 | 0.3494 | 20.7 | 0.2283 | 0.2283 | 0.0315 | 0.06857 | 0.264 | 23.18 | 0 | 0 | 0.03923 | 0.2073 | −0.1286 | 0.1193 | 0.5499 |
| 2.862 | 0.3988 | 0.4047 | 20.14 | 0.2558 | 0.2558 | 0.03799 | 0.09601 | 0.3299 | 33.33 | 0 | 0 | 0.04709 | 0.2328 | −0.1382 | 0.1338 | 0.5326 |
| 2.942 | 0.4625 | 0.4712 | 19.78 | 0.2836 | 0.2836 | 0.04515 | 0.1348 | 0.4177 | 47.68 | 0 | 0 | 0.05641 | 0.2616 | −0.1482 | 0.1505 | 0.52 |
| 3.024 | 0.5798 | 0.5947 | 19.57 | 0.3235 | 0.3235 | 0.05702 | 0.2242 | 0.609 | 80.76 | 0 | 0 | 0.07323 | 0.3112 | −0.1635 | 0.1773 | 0.5094 |
| 3.108 | 0.7982 | 0.8279 | 19.97 | 0.3699 | 0.3699 | 0.07636 | 0.4584 | 1.089 | 170.9 | 0 | 0 | 0.103 | 0.3943 | −0.1851 | 0.2184 | 0.511 |
| 3.195 | 1.032 | 1.082 | 20.72 | 0.3998 | 0.3998 | 0.09382 | 0.8093 | 1.779 | 307.1 | 0 | 0 | 0.1336 | 0.4765 | −0.203 | 0.2574 | 0.5212 |
| 3.284 | 1.166 | 1.229 | 21.15 | 0.4125 | 0.4126 | 0.1024 | 1.055 | 2.247 | 400.6 | 0 | 0 | 0.151 | 0.5224 | −0.2117 | 0.2799 | 0.5272 |
| 3.375 | 1.193 | 1.259 | 21.22 | 0.4155 | 0.4155 | 0.1039 | 1.107 | 2.341 | 418.7 | 0 | 0 | 0.1548 | 0.5323 | −0.2135 | 0.2865 | 0.5277 |
| 3.469 | 1.193 | 1.258 | 21.21 | 0.4158 | 0.4158 | 0.1037 | 1.104 | 2.335 | 416.9 | 0 | 0 | 0.1548 | 0.5322 | −0.2135 | 0.2875 | 0.5274 |
| 3.566 | 1.192 | 1.257 | 21.2 | 0.4158 | 0.4158 | 0.1036 | 1.102 | 2.33 | 415.8 | 0 | 0 | 0.1547 | 0.532 | −0.2134 | 0.2877 | 0.5273 |
| 3.665 | 1.192 | 1.258 | 21.2 | 0.4158 | 0.4158 | 0.1037 | 1.103 | 2.332 | 416.4 | 0 | 0 | 0.1547 | 0.5321 | −0.2135 | 0.2876 | 0.5273 |
| 3.767 | 1.193 | 1.259 | 21.21 | 0.4157 | 0.4157 | 0.1038 | 1.106 | 2.338 | 417.7 | 0 | 0 | 0.1548 | 0.5324 | −0.2135 | 0.2873 | 0.5275 |
| 3.872 | 1.194 | 1.259 | 21.22 | 0.4156 | 0.4157 | 0.1038 | 1.107 | 2.34 | 418.3 | 0 | 0 | 0.1548 | 0.5324 | −0.2135 | 0.287 | 0.5276 |
| 3.98 | 1.193 | 1.259 | 21.21 | 0.4157 | 0.4157 | 0.1038 | 1.106 | 2.339 | 417.9 | 0 | 0 | 0.1548 | 0.5324 | −0.2135 | 0.2872 | 0.5275 |
| 4.091 | 1.193 | 1.259 | 21.21 | 0.4158 | 0.4158 | 0.1037 | 1.105 | 2.337 | 417.4 | 0 | 0 | 0.1548 | 0.5323 | −0.2135 | 0.2874 | 0.5274 |
| 4.205 | 1.192 | 1.258 | 21.2 | 0.4158 | 0.4158 | 0.1037 | 1.104 | 2.333 | 416.7 | 0 | 0 | 0.1547 | 0.5322 | −0.2135 | 0.2876 | 0.5273 |
| 4.322 | 1.192 | 1.257 | 21.2 | 0.4158 | 0.4158 | 0.1036 | 1.102 | 2.329 | 415.7 | 0 | 0 | 0.1546 | 0.5319 | −0.2134 | 0.2877 | 0.5273 |
| 4.442 | 1.191 | 1.256 | 21.19 | 0.4158 | 0.4158 | 0.1035 | 1.1 | 2.325 | 414.7 | 0 | 0 | 0.1546 | 0.5317 | −0.2134 | 0.2879 | 0.5271 |
| 4.566 | 1.19 | 1.255 | 21.19 | 0.4158 | 0.4158 | 0.1034 | 1.097 | 2.319 | 413.5 | 0 | 0 | 0.1544 | 0.5313 | −0.2133 | 0.288 | 0.527 |
| 4.693 | 1.188 | 1.253 | 21.18 | 0.4158 | 0.4158 | 0.1033 | 1.094 | 2.313 | 412.2 | 0 | 0 | 0.1543 | 0.531 | −0.2133 | 0.2881 | 0.5268 |
| 4.824 | 1.187 | 1.252 | 21.17 | 0.4157 | 0.4157 | 0.1032 | 1.091 | 2.306 | 410.6 | 0 | 0 | 0.1541 | 0.5305 | −0.2132 | 0.2882 | 0.5267 |
| 4.958 | 1.185 | 1.25 | 21.16 | 0.4157 | 0.4157 | 0.103 | 1.088 | 2.3 | 409.2 | 0 | 0 | 0.1539 | 0.53 | −0.2131 | 0.2882 | 0.5265 |
| 5.096 | 1.184 | 1.248 | 21.15 | 0.4156 | 0.4156 | 0.1029 | 1.084 | 2.292 | 407.7 | 0 | 0 | 0.1537 | 0.5295 | −0.213 | 0.2883 | 0.5264 |
| 5.238 | 1.181 | 1.246 | 21.14 | 0.4155 | 0.4156 | 0.1027 | 1.08 | 2.283 | 405.7 | 0 | 0 | 0.1535 | 0.5289 | −0.2129 | 0.2883 | 0.5262 |
| 5.384 | 1.179 | 1.243 | 21.13 | 0.4155 | 0.4155 | 0.1025 | 1.074 | 2.273 | 403.5 | 0 | 0 | 0.1532 | 0.5282 | −0.2127 | 0.2883 | 0.5259 |
| 5.534 | 1.176 | 1.241 | 21.12 | 0.4154 | 0.4154 | 0.1023 | 1.069 | 2.261 | 401.1 | 0 | 0 | 0.1529 | 0.5274 | −0.2126 | 0.2883 | 0.5257 |
| 5.688 | 1.174 | 1.237 | 21.1 | 0.4152 | 0.4153 | 0.1021 | 1.063 | 2.249 | 398.5 | 0 | 0 | 0.1526 | 0.5265 | −0.2124 | 0.2883 | 0.5254 |
| 5.847 | 1.171 | 1.234 | 21.09 | 0.4151 | 0.4151 | 0.1019 | 1.056 | 2.236 | 395.8 | 0 | 0 | 0.1522 | 0.5255 | −0.2123 | 0.2883 | 0.5252 |
| 6.01 | 1.167 | 1.23 | 21.07 | 0.415 | 0.415 | 0.1016 | 1.05 | 2.223 | 392.9 | 0 | 0 | 0.1518 | 0.5245 | −0.2121 | 0.2882 | 0.5249 |
| 6.177 | 1.164 | 1.227 | 21.06 | 0.4148 | 0.4149 | 0.1014 | 1.042 | 2.208 | 389.8 | 0 | 0 | 0.1514 | 0.5234 | −0.2119 | 0.2881 | 0.5246 |
| 6.349 | 1.16 | 1.223 | 21.04 | 0.4147 | 0.4147 | 0.1011 | 1.035 | 2.193 | 386.6 | 0 | 0 | 0.151 | 0.5223 | −0.2117 | 0.288 | 0.5243 |
| 6.526 | 1.156 | 1.218 | 21.02 | 0.4145 | 0.4145 | 0.1008 | 1.027 | 2.177 | 383.2 | 0 | 0 | 0.1505 | 0.521 | −0.2114 | 0.2879 | 0.5239 |
| 6.708 | 1.152 | 1.214 | 21.0 | 0.4143 | 0.4143 | 0.1004 | 1.018 | 2.16 | 379.7 | 0 | 0 | 0.15 | 0.5197 | −0.2112 | 0.2878 | 0.5236 |
| 6.895 | 1.148 | 1.209 | 20.98 | 0.4141 | 0.4141 | 0.1001 | 1.009 | 2.142 | 375.9 | 0 | 0 | 0.1495 | 0.5184 | −0.2109 | 0.2876 | 0.5232 |
| 7.087 | 1.143 | 1.204 | 20.96 | 0.4139 | 0.4139 | 0.09976 | 0.9999 | 2.123 | 372.1 | 0 | 0 | 0.149 | 0.5169 | −0.2107 | 0.2875 | 0.5228 |
| 7.284 | 1.138 | 1.199 | 20.93 | 0.4136 | 0.4137 | 0.09938 | 0.9903 | 2.104 | 368.0 | 0 | 0 | 0.1484 | 0.5154 | −0.2104 | 0.2873 | 0.5224 |
| 7.487 | 1.133 | 1.193 | 20.91 | 0.4134 | 0.4134 | 0.09898 | 0.9802 | 2.084 | 363.8 | 0 | 0 | 0.1478 | 0.5138 | −0.2101 | 0.2871 | 0.522 |
| 7.695 | 1.152 | 1.214 | 21.0 | 0.4143 | 0.4143 | 0.1005 | 1.018 | 2.16 | 379.8 | 0 | 0 | 0.1501 | 0.5198 | −0.2112 | 0.2878 | 0.5236 |
| 7.91 | 1.154 | 1.216 | 21.01 | 0.4144 | 0.4144 | 0.1006 | 1.023 | 2.169 | 381.7 | 0 | 0 | 0.1503 | 0.5205 | −0.2113 | 0.2879 | 0.5238 |
| 8.13 | 1.063 | 1.116 | 20.57 | 0.4099 | 0.4099 | 0.09335 | 0.8447 | 1.811 | 307.4 | 0 | 0 | 0.1395 | 0.4917 | −0.2058 | 0.2837 | 0.5157 |
| 8.356 | 0.8885 | 0.9258 | 19.21 | 0.4127 | 0.4128 | 0.07483 | 0.5352 | 1.14 | 169.3 | 0 | 0 | 0.1216 | 0.4436 | −0.1958 | 0.28 | 0.4865 |
| 8.589 | 0.8933 | 0.9322 | 17.78 | 0.4633 | 0.4633 | 0.06748 | 0.4941 | 0.9373 | 125.2 | 0 | 0 | 0.1337 | 0.4742 | −0.2017 | 0.3095 | 0.4473 |
| 8.828 | 0.9929 | 1.044 | 16.88 | 0.5271 | 0.5272 | 0.06968 | 0.5896 | 0.983 | 125.6 | 0 | 0 | 0.1614 | 0.545 | −0.2144 | 0.3506 | 0.4183 |
| 9.074 | 1.124 | 1.193 | 16.33 | 0.5883 | 0.5883 | 0.07514 | 0.7518 | 1.123 | 140.3 | 0 | 0 | 0.196 | 0.6323 | −0.2281 | 0.3937 | 0.3976 |
| 9.327 | 1.263 | 1.354 | 15.99 | 0.6425 | 0.6425 | 0.08153 | 0.9571 | 1.309 | 161.1 | 0 | 0.7999 | 0.2337 | 0.7273 | −0.241 | 0.4353 | 0.382 |
| 9.587 | 1.399 | 1.516 | 15.76 | 0.6895 | 0.6895 | 0.08786 | 1.19 | 1.517 | 184.3 | 0 | 2.432 | 0.2728 | 0.8257 | −0.2526 | 0.4738 | 0.3696 |
| 9.854 | 1.529 | 1.672 | 15.61 | 0.7302 | 0.7302 | 0.09385 | 1.442 | 1.736 | 208.9 | 0 | 3.984 | 0.3123 | 0.926 | −0.2631 | 0.509 | 0.3593 |
| 10.13 | 1.649 | 1.819 | 15.48 | 0.766 | 0.766 | 0.09922 | 1.702 | 1.952 | 232.5 | 0 | 5.425 | 0.3515 | 1.027 | −0.2725 | 0.5408 | 0.3502 |
| 10.41 | 1.758 | 1.955 | 15.38 | 0.7971 | 0.7971 | 0.1039 | 1.958 | 2.159 | 253.9 | 0 | 6.732 | 0.3896 | 1.126 | −0.2807 | 0.5691 | 0.3421 |
| 10.7 | 1.859 | 2.083 | 15.29 | 0.8255 | 0.8255 | 0.1083 | 2.218 | 2.361 | 276.2 | 0 | 7.975 | 0.4276 | 1.227 | −0.2883 | 0.5952 | 0.3347 |
| 11.0 | 1.948 | 2.197 | 15.2 | 0.8501 | 0.8502 | 0.1119 | 2.457 | 2.54 | 293.9 | 0 | 9.056 | 0.4632 | 1.323 | −0.2949 | 0.6179 | 0.328 |
| 11.3 | 2.03 | 2.302 | 15.12 | 0.8729 | 0.8729 | 0.1152 | 2.691 | 2.709 | 311.2 | 0 | 10.07 | 0.4981 | 1.418 | −0.301 | 0.6386 | 0.3217 |
| 11.62 | 2.105 | 2.402 | 15.04 | 0.8945 | 0.8946 | 0.1182 | 2.923 | 2.871 | 328.7 | 0 | 11.03 | 0.5328 | 1.516 | −0.3068 | 0.6579 | 0.3156 |
| 11.94 | 2.173 | 2.492 | 14.96 | 0.9144 | 0.9144 | 0.1208 | 3.141 | 3.019 | 344.6 | 0 | 11.9 | 0.5662 | 1.612 | −0.3121 | 0.6754 | 0.31 |
| 12.28 | 2.231 | 2.57 | 14.89 | 0.932 | 0.9321 | 0.123 | 3.329 | 3.139 | 356.0 | 0 | 12.64 | 0.5969 | 1.701 | −0.3166 | 0.6907 | 0.3048 |
| 12.62 | 2.283 | 2.64 | 14.81 | 0.9483 | 0.9483 | 0.1249 | 3.502 | 3.246 | 365.8 | 0 | 13.31 | 0.626 | 1.787 | −0.3207 | 0.7046 | 0.3 |
| 12.97 | 2.331 | 2.705 | 14.74 | 0.9641 | 0.9641 | 0.1267 | 3.672 | 3.347 | 376.4 | 0.1583 | 13.95 | 0.6549 | 1.874 | −0.3247 | 0.7177 | 0.2954 |
| 13.33 | 2.375 | 2.767 | 14.67 | 0.9792 | 0.9792 | 0.1284 | 3.835 | 3.442 | 386.9 | 0.3244 | 14.55 | 0.6831 | 1.961 | −0.3286 | 0.7299 | 0.291 |
| 13.7 | 2.415 | 2.823 | 14.6 | 0.9937 | 0.9938 | 0.1299 | 3.986 | 3.525 | 396.3 | 0.4739 | 15.1 | 0.7104 | 2.047 | −0.3321 | 0.7413 | 0.2867 |
| 14.08 | 2.451 | 2.873 | 14.52 | 1.007 | 1.007 | 0.1311 | 4.123 | 3.597 | 404.1 | 0.6053 | 15.6 | 0.7364 | 2.13 | −0.3353 | 0.7517 | 0.2827 |
| 14.48 | 2.481 | 2.916 | 14.45 | 1.02 | 1.02 | 0.1322 | 4.244 | 3.656 | 410.5 | 0.7246 | 16.04 | 0.761 | 2.211 | −0.3383 | 0.7612 | 0.2788 |
| 14.88 | 2.51 | 2.956 | 14.38 | 1.033 | 1.033 | 0.1331 | 4.354 | 3.706 | 415.3 | 0.8299 | 16.44 | 0.7844 | 2.288 | −0.3411 | 0.77 | 0.2753 |
| 15.29 | 2.533 | 2.99 | 14.31 | 1.044 | 1.044 | 0.1339 | 4.448 | 3.743 | 418.8 | 0.9236 | 16.79 | 0.8062 | 2.361 | −0.3436 | 0.7781 | 0.2719 |
| 15.72 | 2.554 | 3.02 | 14.24 | 1.055 | 1.055 | 0.1346 | 4.531 | 3.774 | 421.3 | 1.007 | 17.1 | 0.827 | 2.431 | −0.3459 | 0.7856 | 0.2687 |
| 16.16 | 2.572 | 3.045 | 14.17 | 1.066 | 1.066 | 0.1351 | 4.605 | 3.796 | 423.1 | 1.083 | 17.38 | 0.8467 | 2.499 | −0.3482 | 0.7926 | 0.2656 |
| 16.61 | 2.588 | 3.069 | 14.1 | 1.076 | 1.077 | 0.1356 | 4.67 | 3.813 | 424.2 | 1.153 | 17.64 | 0.8655 | 2.564 | −0.3502 | 0.7991 | 0.2627 |
| 17.07 | 2.602 | 3.089 | 14.03 | 1.086 | 1.087 | 0.136 | 4.727 | 3.824 | 424.9 | 1.218 | 17.87 | 0.8834 | 2.627 | −0.3521 | 0.8053 | 0.2599 |
| 17.54 | 2.615 | 3.108 | 13.96 | 1.096 | 1.096 | 0.1363 | 4.783 | 3.835 | 425.6 | 1.279 | 18.08 | 0.9008 | 2.689 | −0.3539 | 0.8112 | 0.2573 |
| 18.03 | 2.626 | 3.124 | 13.89 | 1.106 | 1.106 | 0.1366 | 4.831 | 3.84 | 426.1 | 1.336 | 18.28 | 0.9175 | 2.749 | −0.3557 | 0.8168 | 0.2547 |
| 18.54 | 2.635 | 3.137 | 13.83 | 1.115 | 1.115 | 0.1369 | 4.873 | 3.841 | 426.2 | 1.389 | 18.46 | 0.9334 | 2.808 | −0.3573 | 0.8221 | 0.2522 |
| 19.05 | 2.644 | 3.15 | 13.76 | 1.124 | 1.124 | 0.1371 | 4.911 | 3.84 | 426.1 | 1.438 | 18.62 | 0.9486 | 2.864 | −0.3589 | 0.8271 | 0.2499 |
| 19.58 | 2.65 | 3.159 | 13.7 | 1.133 | 1.133 | 0.1372 | 4.941 | 3.834 | 425.5 | 1.482 | 18.76 | 0.9629 | 2.917 | −0.3603 | 0.8318 | 0.2476 |
| 20.13 | 2.656 | 3.168 | 13.64 | 1.141 | 1.141 | 0.1373 | 4.967 | 3.826 | 424.4 | 1.521 | 18.88 | 0.9765 | 2.969 | −0.3617 | 0.8363 | 0.2455 |
| 20.69 | 2.66 | 3.174 | 13.58 | 1.149 | 1.149 | 0.1374 | 4.987 | 3.814 | 423.1 | 1.558 | 18.99 | 0.9893 | 3.017 | −0.3629 | 0.8406 | 0.2434 |
| 21.26 | 2.663 | 3.178 | 13.52 | 1.157 | 1.157 | 0.1374 | 5.003 | 3.8 | 421.5 | 1.591 | 19.09 | 1.001 | 3.064 | −0.3642 | 0.8447 | 0.2414 |
| 21.86 | 2.666 | 3.181 | 13.46 | 1.165 | 1.165 | 0.1373 | 5.015 | 3.784 | 419.5 | 1.622 | 19.17 | 1.013 | 3.109 | −0.3653 | 0.8485 | 0.2395 |
| 22.47 | 2.666 | 3.183 | 13.39 | 1.173 | 1.173 | 0.1373 | 5.022 | 3.764 | 417.2 | 1.651 | 19.24 | 1.024 | 3.151 | −0.3664 | 0.8522 | 0.2377 |
| 23.09 | 2.667 | 3.183 | 13.34 | 1.18 | 1.18 | 0.1371 | 5.025 | 3.743 | 414.6 | 1.677 | 19.3 | 1.034 | 3.191 | −0.3673 | 0.8557 | 0.2359 |
| 23.73 | 2.666 | 3.182 | 13.28 | 1.187 | 1.187 | 0.137 | 5.025 | 3.72 | 411.8 | 1.701 | 19.35 | 1.044 | 3.228 | −0.3683 | 0.8591 | 0.2342 |
| 24.4 | 2.665 | 3.18 | 13.22 | 1.194 | 1.194 | 0.1368 | 5.021 | 3.695 | 408.7 | 1.723 | 19.38 | 1.053 | 3.264 | −0.3691 | 0.8623 | 0.2326 |
| 25.08 | 2.663 | 3.177 | 13.16 | 1.201 | 1.201 | 0.1365 | 5.014 | 3.668 | 405.4 | 1.743 | 19.41 | 1.061 | 3.297 | −0.37 | 0.8653 | 0.231 |
| 25.77 | 2.66 | 3.173 | 13.11 | 1.208 | 1.208 | 0.1363 | 5.004 | 3.64 | 401.9 | 1.761 | 19.42 | 1.069 | 3.327 | −0.3707 | 0.8682 | 0.2295 |
| 26.49 | 2.657 | 3.168 | 13.05 | 1.215 | 1.215 | 0.1359 | 4.991 | 3.611 | 398.1 | 1.777 | 19.43 | 1.076 | 3.356 | −0.3714 | 0.8711 | 0.2281 |
| 27.23 | 2.653 | 3.162 | 13.0 | 1.221 | 1.221 | 0.1356 | 4.975 | 3.581 | 394.2 | 1.791 | 19.43 | 1.083 | 3.382 | −0.372 | 0.8737 | 0.2267 |
| 27.99 | 2.648 | 3.154 | 12.94 | 1.227 | 1.227 | 0.1353 | 4.956 | 3.549 | 390.3 | 1.805 | 19.43 | 1.089 | 3.407 | −0.3726 | 0.8763 | 0.2254 |
References
- Lattimer, J.M. Constraints on Nuclear Symmetry Energy Parameters. Particles 2023, 6, 30–56. [Google Scholar] [CrossRef]
- Carlson, B.V.; Dutra, M.; Lourenço, O.; Margueron, J. Low-energy nuclear physics and global neutron star properties. Phys. Rev. C 2023, 107, 035805. [Google Scholar] [CrossRef]
- Reed, B.T.; Fattoyev, F.J.; Horowitz, C.J.; Piekarewicz, J. Implications of PREX-2 on the Equation of State of Neutron-Rich Matter. Phys. Rev. Lett. 2021, 126, 172503. [Google Scholar] [CrossRef]
- Abbott, B.P.; Abbott, R.; Abbott, T.D.; Acernese, F.; Ackley, K.; Adams, C.; Adams, T.; Addesso, P.; Adhikari, R.X.; Adya, V.B.; et al. Multi-messenger Observations of a Binary Neutron Star Merger. Astrophys. J. Lett. 2017, 848, L12. [Google Scholar] [CrossRef]
- Abbott, R.; Abbott, T.D.; Abraham, S.; Acernese, F.; Ackley, K.; Adams, C.; Adhikari, R.X.; Adya, V.B.; Affeldt, C.; Agathos, M.; et al. GW190814: Gravitational Waves from the Coalescence of a 23 Solar Mass Black Hole with a 2.6 Solar Mass Compact Object. Astrophys. J. Lett. 2020, 896, L44. [Google Scholar] [CrossRef]
- Cromartie, H.T.; Fonseca, E.; Ransom, S.M.; Demorest, P.B.; Arzoumanian, Z.; Blumer, H.; Brook, P.R.; DeCesar, M.E.; Dolch, T.; Ellis, J.A.; et al. Relativistic Shapiro delay measurements of an extremely massive millisecond pulsar. Nat. Astron. 2019, 4, 72–76. [Google Scholar] [CrossRef]
- Fan, Y.Z.; Han, M.Z.; Jiang, J.L.; Shao, D.S.; Tang, S.P. Maximum gravitational mass MTOV=2.25-0.07+0.08M⊙ inferred at about 3% precision with multimessenger data of neutron stars. Phys. Rev. D 2024, 109, 043052. [Google Scholar] [CrossRef]
- Ascenzi, S.; Graber, V.; Rea, N. Neutron-star measurements in the multi-messenger Era. Astropart. Phys. 2024, 158, 102935. [Google Scholar] [CrossRef]
- Abac, A.; Abramo, R.; Albanesi, S.; Albertini, A.; Agapito, A.; Agathos, M.; Albertus, C.; Andersson, N.; Andrade, T.; Andreoni, I.; et al. The Science of the Einstein Telescope. arXiv 2025, arXiv:2503.12263. [Google Scholar]
- Gerlach, U.H. Equation of State at Supranuclear Densities and the Existence of a Third Family of Superdense Stars. Phys. Rev. 1968, 172, 1325–1330. [Google Scholar] [CrossRef]
- Kampfer, B. On the Possibility of Stable Quark and Pion Condensed Stars. J. Phys. A 1981, 14, L471–L475. [Google Scholar] [CrossRef]
- Glendenning, N.K.; Kettner, C. Nonidentical neutron star twins. Astron. Astrophys. 2000, 353, L9. [Google Scholar]
- Schertler, K.; Greiner, C.; Thoma, M.H. Medium effects and the structure of neutron stars in the effective mass bag model. In Proceedings of the 26th International Workshop on Gross Properties of Nuclei and Nuclear Excitation: Nuclear Astrophysics (Hirschegg 98), Hirschegg, Austria, 11–17 January 1998; pp. 148–152. [Google Scholar]
- Alvarez-Castillo, D.E.; Blaschke, D. Proving the CEP with compact stars? In Proceedings of the 17th Conference of Young Scientists and Specialists, Dubna, Russia, 8–12 April 2013.
- Benic, S.; Blaschke, D.; Alvarez-Castillo, D.E.; Fischer, T.; Typel, S. A new quark-hadron hybrid equation of state for astrophysics - I. High-mass twin compact stars. Astron. Astrophys. 2015, 577, A40. [Google Scholar] [CrossRef]
- Alvarez-Castillo, D.E.; Blaschke, D.B. High-mass twin stars with a multipolytrope equation of state. Phys. Rev. C 2017, 96, 045809. [Google Scholar] [CrossRef]
- Montana, G.; Tolos, L.; Hanauske, M.; Rezzolla, L. Constraining twin stars with GW170817. Phys. Rev. D 2019, 99, 103009. [Google Scholar] [CrossRef]
- Blaschke, D.; Alvarez-Castillo, D.E.; Ayriyan, A.; Grigorian, H.; Largani, N.K.; Weber, F. Astrophysical aspects of general relativistic mass twin stars. In Topics on Strong Gravity: A Modern View on Theories and Experiments; World Scientific Europe: London, UK, 2020; pp. 207–256. [Google Scholar] [CrossRef]
- Zacchi, A.; Tolos, L.; Schaffner-Bielich, J. Twin Stars within the SU(3) Chiral Quark-Meson Model. Phys. Rev. D 2017, 95, 103008. [Google Scholar] [CrossRef]
- Espino, P.L.; Paschalidis, V. Fate of twin stars on the unstable branch: Implications for the formation of twin stars. Phys. Rev. D 2022, 105, 043014. [Google Scholar] [CrossRef]
- Carlomagno, J.P.; Contrera, G.A.; Grunfeld, A.G.; Blaschke, D. Hybrid Isentropic Twin Stars. Universe 2024, 10, 336. [Google Scholar] [CrossRef]
- Vinciguerra, S.; Salmi, T.; Watts, A.L.; Choudhury, D.; Riley, T.E.; Ray, P.S.; Bogdanov, S.; Kini, Y.; Guillot, S.; Chakrabarty, D.; et al. An Updated Mass–Radius Analysis of the 2017–2018 NICER Data Set of PSR J0030+0451. Astrophys. J. 2024, 961, 62. [Google Scholar] [CrossRef]
- Salmi, T.; Choudhury, D.; Kini, Y.; Riley, T.E.; Vinciguerra, S.; Watts, A.L.; Wolff, M.T.; Arzoumanian, Z.; Bogdanov, S.; Chakrabarty, D.; et al. The Radius of the High-mass Pulsar PSR J0740+6620 with 3.6 yr of NICER Data. Astrophys. J. 2024, 974, 294. [Google Scholar] [CrossRef]
- Salmi, T.; Deneva, J.S.; Ray, P.S.; Watts, A.L.; Choudhury, D.; Kini, Y.; Vinciguerra, S.; Cromartie, H.T.; Wolff, M.T.; Arzoumanian, Z.; et al. A NICER View of PSR J1231-1411: A Complex Case. Astrophys. J. 2024, 976, 58. [Google Scholar] [CrossRef]
- Choudhury, D.; Salmi, T.; Vinciguerra, S.; Riley, T.E.; Kini, Y.; Watts, A.L.; Dorsman, B.; Bogdanov, S.; Guillot, S.; Ray, P.S.; et al. A NICER View of the Nearest and Brightest Millisecond Pulsar: PSR J0437–4715. Astrophys. J. Lett. 2024, 971, L20. [Google Scholar] [CrossRef]
- Li, J.J.; Sedrakian, A.; Alford, M. Confronting new NICER mass-radius measurements with phase transition in dense matter and twin compact stars. J. Cosmol. Astropart. Phys. 2025, 2, 002. [Google Scholar] [CrossRef]
- Doroshenko, V.; Suleimanov, V.; Pühlhofer, G.; Santangelo, A. A strangely light neutron star within a supernova remnant. Nat. Astron. 2022, 6, 1444–1451. [Google Scholar] [CrossRef]
- Kubis, S.; Wójcik, W.; Castillo, D.A.; Zabari, N. Relativistic mean-field model for the ultracompact low-mass neutron star HESS J1731-347. Phys. Rev. C 2023, 108, 045803. [Google Scholar] [CrossRef]
- Li, J.J.; Sedrakian, A. Baryonic models of ultra-low-mass compact stars for the central compact object in HESS J1731-347. Phys. Lett. B 2023, 844, 138062. [Google Scholar] [CrossRef]
- Brodie, L.; Haber, A. Nuclear and hybrid equations of state in light of the low-mass compact star in HESS J1731-347. Phys. Rev. C 2023, 108, 025806. [Google Scholar] [CrossRef]
- Veselsky, M.; Koliogiannis, P.S.; Petousis, V.; Leja, J.; Moustakidis, C.C. How the HESS J1731-347 object could be explained using K-condensation. Phys. Lett. B 2025, 860, 139185. [Google Scholar] [CrossRef]
- Horvath, J.E.; Rocha, L.S.; de Sá, L.M.; Moraes, P.H.R.S.; Barão, L.G.; de Avellar, M.G.B.; Bernardo, A.; Bachega, R.R.A. A light strange star in the remnant HESS J1731-347: Minimal consistency checks. Astron. Astrophys. 2023, 672, L11. [Google Scholar] [CrossRef]
- Di Clemente, F.; Drago, A.; Pagliara, G. Is the Compact Object Associated with HESS J1731-347 a Strange Quark Star? A Possible Astrophysical Scenario for Its Formation. Astrophys. J. 2024, 967, 159. [Google Scholar] [CrossRef]
- Ju, M.; Chu, P.; Wu, X.; Liu, H. Hess J1731-347 is likely a quark star based on the density-dependent vMIT bag model. Eur. Phys. J. C 2025, 85, 40. [Google Scholar] [CrossRef]
- Rather, I.A.; Panotopoulos, G.; Lopes, I. Quark models and radial oscillations: Decoding the HESS J1731-347 compact object’s equation of state. Eur. Phys. J. C 2023, 83, 1065. [Google Scholar] [CrossRef]
- Oikonomou, P.T.; Moustakidis, C.C. Color-flavor locked quark stars in light of the compact object in the HESS J1731-347 and the GW190814 event. Phys. Rev. D 2023, 108, 063010. [Google Scholar] [CrossRef]
- Yuan, Y.J.; Zhou, X. Thermal Evolution of the Central Compact Object in HESS J1731-347 as Evidence for a Color-flavor-locked Strange Star. Res. Astron. Astrophys. 2025, 25, 055016. [Google Scholar] [CrossRef]
- Li, J.J.; Sedrakian, A.; Alford, M. Hybrid Star Models in the Light of New Multimessenger Data. Astrophys. J. 2024, 967, 116. [Google Scholar] [CrossRef]
- Gao, B.; Yan, Y.; Harada, M. Reconciling constraints from the supernova remnant HESS J1731-347 with the parity doublet model. Phys. Rev. C 2024, 109, 065807. [Google Scholar] [CrossRef]
- Laskos-Patkos, P.; Koliogiannis, P.; Moustakidis, C. Hybrid stars and the stiffness of the nuclear equation of state in light of the HESS J1731-347 remnant. EPJ Web Conf. 2024, 304, 02007. [Google Scholar] [CrossRef]
- Laskos-Patkos, P.; Koliogiannis, P.S.; Moustakidis, C.C. Hybrid stars in light of the HESS J1731-347 remnant and the PREX-II experiment. Phys. Rev. D 2024, 109, 063017. [Google Scholar] [CrossRef]
- Mariani, M.; Ranea-Sandoval, I.F.; Lugones, G.; Orsaria, M.G. Could a slow stable hybrid star explain the central compact object in HESS J1731-347? Phys. Rev. D 2024, 110, 043026. [Google Scholar] [CrossRef]
- Sagun, V.; Giangrandi, E.; Dietrich, T.; Ivanytskyi, O.; Negreiros, R.; Providência, C. What Is the Nature of the HESS J1731-347 Compact Object? Astrophys. J. 2023, 958, 49. [Google Scholar] [CrossRef]
- Hong, B.; Ren, Z. Mixed dark matter models for the peculiar compact object in remnant HESS J1731-347 and their implications for gravitational wave properties. Phys. Rev. D 2024, 109, 023002. [Google Scholar] [CrossRef]
- El Hanafy, W. Quadratic Rastall gravity: From low-mass HESS J1731-347 to high-mass PSR J0952-0607 pulsars. Eur. Phys. J. C 2024, 84, 355. [Google Scholar] [CrossRef]
- Tewari, S.; Chatterjee, S.; Kumar, D.; Mallick, R. Analyzing the dense matter equation of states in the light of the compact object HESS J1731-347. Phys. Rev. D 2025, 111, 103009. [Google Scholar] [CrossRef]
- Danielewicz, P.; Lacey, R.; Lynch, W.G. Determination of the equation of state of dense matter. Science 2002, 298, 1592–1596. [Google Scholar] [CrossRef] [PubMed]
- Typel, S. Variations on the excluded-volume mechanism. Eur. Phys. J. A 2016, 52, 16. [Google Scholar] [CrossRef]
- Alvarez-Castillo, D.; Ayriyan, A.; Benic, S.; Blaschke, D.; Grigorian, H.; Typel, S. New class of hybrid EoS and Bayesian M-R data analysis. Eur. Phys. J. A 2016, 52, 69. [Google Scholar] [CrossRef]
- Kaltenborn, M.A.R.; Bastian, N.U.F.; Blaschke, D.B. Quark-nuclear hybrid star equation of state with excluded volume effects. Phys. Rev. D 2017, 96, 056024. [Google Scholar] [CrossRef]
- Zdunik, J.L.; Bejger, M.; Haensel, P.; Gourgoulhon, E. Phase transitions in rotating neutron stars cores: Back bending, stability, corequakes and pulsar timing. Astron. Astrophys. 2006, 450, 747–758. [Google Scholar] [CrossRef]
- Alford, M.G.; Han, S.; Prakash, M. Generic conditions for stable hybrid stars. Phys. Rev. D 2013, 88, 083013. [Google Scholar] [CrossRef]
- Pal, S.; Podder, S.; Chaudhuri, G. Is the central compact object in HESS J1731-347 a hybrid star with a quark core? An analysis with the constant speed of sound parametrization. Astrophys. J. 2025, 983, 24. [Google Scholar] [CrossRef]
- Blaschke, D.B.; Gomez Dumm, D.; Grunfeld, A.G.; Klahn, T.; Scoccola, N.N. Hybrid stars within a covariant, nonlocal chiral quark model. Phys. Rev. C 2007, 75, 065804. [Google Scholar] [CrossRef]
- Ivanytskyi, O. Asymptotically conformal color-flavor-locked quark matter within a nonlocal chiral quark model. Phys. Rev. D 2025, 111, 034004. [Google Scholar] [CrossRef]
- Zdunik, J.L.; Haensel, P. Maximum mass of neutron stars and strange neutron-star cores. Astron. Astrophys. 2013, 551, A61. [Google Scholar] [CrossRef]
- Shahrbaf, M.; Antić, S.; Ayriyan, A.; Blaschke, D.; Grunfeld, A.G. Constraining free parameters of a color superconducting nonlocal Nambu–Jona-Lasinio model using Bayesian analysis of neutron stars mass and radius measurements. Phys. Rev. D 2023, 107, 054011. [Google Scholar] [CrossRef]
- Gomez Dumm, D.; Blaschke, D.B.; Grunfeld, A.G.; Scoccola, N.N. Phase diagram of neutral quark matter in nonlocal chiral quark models. Phys. Rev. D 2006, 73, 114019. [Google Scholar] [CrossRef]
- Blaschke, D.; Alvarez Castillo, D.E.; Benic, S.; Contrera, G.; Lastowiecki, R. Nonlocal PNJL models and heavy hybrid stars. PoS 2012, Confinement X, 249. [Google Scholar] [CrossRef]
- Alvarez-Castillo, D.E.; Blaschke, D.B.; Grunfeld, A.G.; Pagura, V.P. Third family of compact stars within a nonlocal chiral quark model equation of state. Phys. Rev. D 2019, 99, 063010. [Google Scholar] [CrossRef]
- Blaschke, D.; Ayriyan, A.; Alvarez-Castillo, D.E.; Grigorian, H. Was GW170817 a Canonical Neutron Star Merger? Bayesian Analysis with a Third Family of Compact Stars. Universe 2020, 6, 81. [Google Scholar] [CrossRef]
- Seidov, Z.F. The stability of a star with a phase change in general relativity theory. Sov. Astron. 1971, 15, 347. [Google Scholar]
- Krüger, T.; Tews, I.; Hebeler, K.; Schwenk, A. Neutron matter from chiral effective field theory interactions. Phys. Rev. C 2013, 88, 025802. [Google Scholar] [CrossRef]
- Drischler, C.; Holt, J.W.; Wellenhofer, C. Chiral Effective Field Theory and the High-Density Nuclear Equation of State. Ann. Rev. Nucl. Part. Sci. 2021, 71, 403–432. [Google Scholar] [CrossRef]
- Hebeler, K.; Lattimer, J.M.; Pethick, C.J.; Schwenk, A. Equation of state and neutron star properties constrained by nuclear physics and observation. Astrophys. J. 2013, 773, 11. [Google Scholar] [CrossRef]
- Miller, M.C.; Lamb, F.K.; Dittmann, A.J.; Bogdanov, S.; Arzoumanian, Z.; Gendreau, K.C.; Guillot, S.; Ho, W.C.G.; Lattimer, J.M.; Loewenstein, M.; et al. The Radius of PSR J0740+6620 from NICER and XMM-Newton Data. Astrophys. J. Lett. 2021, 918, L28. [Google Scholar] [CrossRef]
- Fraga, E.S.; Kurkela, A.; Vuorinen, A. Interacting quark matter equation of state for compact stars. Astrophys. J. Lett. 2014, 781, L25. [Google Scholar] [CrossRef]
- Fujimoto, Y.; Fukushima, K.; McLerran, L.D.; Praszalowicz, M. Trace Anomaly as Signature of Conformality in Neutron Stars. Phys. Rev. Lett. 2022, 129, 252702. [Google Scholar] [CrossRef]
- Marczenko, M. Average speed of sound in neutron stars. Phys. Rev. C 2024, 110, 045811. [Google Scholar] [CrossRef]
- Marczenko, M.; McLerran, L.; Redlich, K.; Sasaki, C. Reaching percolation and conformal limits in neutron stars. Phys. Rev. C 2023, 107, 025802. [Google Scholar] [CrossRef]
- Annala, E.; Gorda, T.; Hirvonen, J.; Komoltsev, O.; Kurkela, A.; Nättilä, J.; Vuorinen, A. Strongly interacting matter exhibits deconfined behavior in massive neutron stars. Nat. Commun. 2023, 14, 8451. [Google Scholar] [CrossRef]
- Marczenko, M.; Redlich, K.; Sasaki, C. Curvature of the energy per particle in neutron stars. Phys. Rev. D 2024, 109, L041302. [Google Scholar] [CrossRef]
- Marczenko, M. Conformality thresholds in neutron stars. J. Subatomic Part. Cosmol. 2025, 3, 100043. [Google Scholar] [CrossRef]
- Ivanytskyi, O.; Blaschke, D.B. Recovering the Conformal Limit of Color Superconducting Quark Matter within a Confining Density Functional Approach. Particles 2022, 5, 514–534. [Google Scholar] [CrossRef]
- Jiménez, J.C.; Lazzari, L.; Gonçalves, V.P. How the QCD trace anomaly behaves at the core of twin stars? Phys. Rev. D 2024, 110, 114014. [Google Scholar] [CrossRef]
- Christian, J.E.; Zacchi, A.; Schaffner-Bielich, J. Classifications of Twin Star Solutions for a Constant Speed of Sound Parameterized Equation of State. Eur. Phys. J. A 2018, 54, 28. [Google Scholar] [CrossRef]
- Laskos-Patkos, P.; Lalazissis, G.A.; Wang, S.; Meng, J.; Ring, P.; Moustakidis, C.C. Speed of sound bounds and first-order phase transitions in compact stars. Phys. Rev. C 2025, 111, 025801. [Google Scholar] [CrossRef]
- Tolman, R.C. Static solutions of Einstein’s field equations for spheres of fluid. Phys. Rev. 1939, 55, 364–373. [Google Scholar] [CrossRef]
- Oppenheimer, J.R.; Volkoff, G.M. On massive neutron cores. Phys. Rev. 1939, 55, 374–381. [Google Scholar] [CrossRef]
- Harrison, B.K.; Thorne, K.S.; Wakano, M.; Wheeler, J.A. Gravitation Theory and Gravitational Collapse; University of Chicago Press: Chicago, IL, USA, 1965. [Google Scholar]
- Bassa, C.G.; Pleunis, Z.; Hessels, J.W.T.; Ferrara, E.C.; Breton, R.P.; Gusinskaia, N.V.; Kondratiev, V.I.; Sanidas, S.; Nieder, L.; Clark, C.J.; et al. LOFAR discovery of the fastest-spinning millisecond pulsar in the Galactic field. Astrophys. J. Lett. 2017, 846, L20. [Google Scholar] [CrossRef]
- Most, E.R.; Papenfort, L.J.; Weih, L.R.; Rezzolla, L. A lower bound on the maximum mass if the secondary in GW190814 was once a rapidly spinning neutron star. Mon. Not. Roy. Astron. Soc. 2020, 499, L82–L86. [Google Scholar] [CrossRef]
- Miller, M.C.; Lamb, F.K.; Dittmann, A.J.; Bogdanov, S.; Arzoumanian, Z.; Gendreau, K.C.; Guillot, S.; Harding, A.K.; Ho, W.C.G.; Lattimer, J.M.; et al. PSR J0030+0451 Mass and Radius from NICER Data and Implications for the Properties of Neutron Star Matter. Astrophys. J. Lett. 2019, 887, L24. [Google Scholar] [CrossRef]
- Riley, T.E.; Watts, A.L.; Bogdanov, S.; Ray, P.S.; Ludlam, R.M.; Guillot, S.; Arzoumanian, Z.; Baker, C.L.; Bilous, A.V.; Chakrabarty, D.; et al. A NICER View of PSR J0030+0451: Millisecond Pulsar Parameter Estimation. Astrophys. J. Lett. 2019, 887, L21. [Google Scholar] [CrossRef]
- Riley, T.E.; Watts, A.L.; Ray, P.S.; Bogdanov, S.; Guillot, S.; Morsink, S.M.; Bilous, A.V.; Arzoumanian, Z.; Choudhury, D.; Deneva, J.S.; et al. A NICER View of the Massive Pulsar PSR J0740+6620 Informed by Radio Timing and XMM-Newton Spectroscopy. Astrophys. J. Lett. 2021, 918, L27. [Google Scholar] [CrossRef]
- Mauviard, L.; Guillot, S.; Salmi, T.; Choudhury, D.; Dorsman, B.; González-Caniulef, D.; Hoogkamer, M.; Huppenkothen, D.; Kazantsev, C.; Kini, Y.; et al. A NICER view of the 1.4 solar-mass edge-on pulsar PSR J0614–3329. arXiv 2025, arXiv:2506.14883. [Google Scholar]
- Abbott, B.P.; Abbott, R.; Abbott, T.D.; Acernese, F.; Ackley, K.; Adams, C.; Adams, T.; Addesso, P.; Adhikari, R.; Adya, V.; et al. GW170817: Measurements of neutron star radii and equation of state. Phys. Rev. Lett. 2018, 121, 161101. [Google Scholar] [CrossRef] [PubMed]
- Bauswein, A.; Just, O.; Janka, H.T.; Stergioulas, N. Neutron-star radius constraints from GW170817 and future detections. Astrophys. J. Lett. 2017, 850, L34. [Google Scholar] [CrossRef]
- Annala, E.; Gorda, T.; Kurkela, A.; Vuorinen, A. Gravitational-wave constraints on the neutron-star-matter Equation of State. Phys. Rev. Lett. 2018, 120, 172703. [Google Scholar] [CrossRef]
- Sneppen, A.; Just, O.; Bauswein, A.; Damgaard, R.; Watson, D.; Shingles, L.J.; Collins, C.E.; Sim, S.A.; Xiong, Z.; Martinez-Pinedo, G.; et al. Helium as an Indicator of the Neutron-Star Merger Remnant Lifetime and its Potential for Equation of State Constraints. arXiv 2024, arXiv:2411.03427. [Google Scholar]
- Kramer, M.; Stairs, I.H.; Manchester, R.N.; Wex, N.; Deller, A.T.; Coles, W.A.; Ali1, M.; Burgay, M.; Camilo, F.; Cognard, I.; et al. Strong-Field Gravity Tests with the Double Pulsar. Phys. Rev. X 2021, 11, 041050. [Google Scholar] [CrossRef]
- Landry, P.; Kumar, B. Constraints on the moment of inertia of PSR J0737-3039A from GW170817. Astrophys. J. Lett. 2018, 868, L22. [Google Scholar] [CrossRef]
- Miao, Z.; Li, A.; Dai, Z.G. On the moment of inertia of PSR J0737-3039 A from LIGO/Virgo and NICER. Mon. Not. Roy. Astron. Soc. 2022, 515, 5071–5080. [Google Scholar] [CrossRef]
- Silva, H.O.; Holgado, A.M.; Cárdenas-Avendaño, A.; Yunes, N. Astrophysical and theoretical physics implications from multimessenger neutron star observations. Phys. Rev. Lett. 2021, 126, 181101. [Google Scholar] [CrossRef]
- Ravenhall, D.G.; Pethick, C.J. Neutron Star Moments of Inertia. Astrophys. J. 1994, 424, 846. [Google Scholar] [CrossRef]
- Chubarian, E.; Grigorian, H.; Poghosyan, G.S.; Blaschke, D. Deconfinement phase transition in rotating nonspherical compact stars. Astron. Astrophys. 2000, 357, 968–976. [Google Scholar]
- Bejger, M.; Blaschke, D.; Haensel, P.; Zdunik, J.L.; Fortin, M. Consequences of a strong phase transition in the dense matter equation of state for the rotational evolution of neutron stars. Astron. Astrophys. 2017, 600, A39. [Google Scholar] [CrossRef]
- Lattimer, J.M.; Prakash, M. Neutron Star Observations: Prognosis for Equation of State Constraints. Phys. Rept. 2007, 442, 109–165. [Google Scholar] [CrossRef]
- Kramer, M.; Wex, N. The double pulsar system: A unique laboratory for gravity. Class. Quant. Grav. 2009, 26, 073001. [Google Scholar] [CrossRef]
- Hinderer, T. Tidal Love numbers of neutron stars. Astrophys. J. 2008, 677, 1216–1220, Erratum in Astrophys. J. 2009, 697, 964. https://doi.org/10.1088/0004-637X/697/1/964. [Google Scholar] [CrossRef]
- Damour, T.; Nagar, A. Relativistic tidal properties of neutron stars. Phys. Rev. D 2009, 80, 084035. [Google Scholar] [CrossRef]
- Binnington, T.; Poisson, E. Relativistic theory of tidal Love numbers. Phys. Rev. D 2009, 80, 084018. [Google Scholar] [CrossRef]
- Yagi, K.; Yunes, N. I-Love-Q Relations in Neutron Stars and their Applications to Astrophysics, Gravitational Waves and Fundamental Physics. Phys. Rev. D 2013, 88, 023009. [Google Scholar] [CrossRef]
- Hinderer, T.; Lackey, B.D.; Lang, R.N.; Read, J.S. Tidal deformability of neutron stars with realistic equations of state and their gravitational wave signatures in binary inspiral. Phys. Rev. D 2010, 81, 123016. [Google Scholar] [CrossRef]
- Alvarez-Castillo, D.E. The energy budget of the transition of a neutron star into the third family branch. Astron. Nachr. 2021, 342, 234–239. [Google Scholar] [CrossRef]
- Alvarez-Castillo, D.E.; Antoniadis, J.; Ayriyan, A.; Blaschke, D.; Danchev, V.; Grigorian, H.; Largani, N.K.; Weber, F. Accretion-induced collapse to third family compact stars as trigger for eccentric orbits of millisecond pulsars in binaries. Astron. Nachr. 2019, 340, 878–884. [Google Scholar] [CrossRef]
- Chanlaridis, S.; Ohse, D.; Alvarez-Castillo, D.E.; Antoniadis, J.; Blaschke, D.; Danchev, V.; Langer, N.; Misra, D. Formation of twin compact stars in low-mass X-ray binaries: Implications on eccentric and isolated millisecond pulsar populations. Astron. Astrophys. 2025, 695, A16. [Google Scholar] [CrossRef]
- Romani, R.W.; Kandel, D.; Filippenko, A.V.; Brink, T.G.; Zheng, W. PSR J0952-0607: The Fastest and Heaviest Known Galactic Neutron Star. Astrophys. J. Lett. 2022, 934, L17. [Google Scholar] [CrossRef]
- Hessels, J.W.T.; Ransom, S.M.; Stairs, I.H.; Freire, P.C.C.; Kaspi, V.M.; Camilo, F. A radio pulsar spinning at 716-hz. Science 2006, 311, 1901–1904. [Google Scholar] [CrossRef] [PubMed]
- Nozawa, T.; Stergioulas, N.; Gourgoulhon, E.; Eriguchi, Y. Construction of highly accurate models of rotating neutron stars: Comparison of three different numerical schemes. Astron. Astrophys. Suppl. Ser. 1998, 132, 431. [Google Scholar] [CrossRef]
- Komatsu, H.; Eriguchi, Y.; Hachisu, I. Rapidly rotating general relativistic stars. I - Numerical method and its application to uniformly rotating polytropes. Mon. Not. Roy. Astron. Soc. 1989, 237, 355–379. [Google Scholar] [CrossRef]
- Cook, G.B.; Shapiro, S.L.; Teukolsky, S.A. Rapidly rotating polytropes in general relativity. Astrophys. J. 1994, 422, 227–242. [Google Scholar] [CrossRef]
- Stergioulas, N.; Friedman, J.L. Comparing models of rapidly rotating relativistic stars constructed by two numerical methods. Astrophys. J. 1995, 444, 306. [Google Scholar] [CrossRef]
- Breu, C.; Rezzolla, L. Maximum mass, moment of inertia and compactness of relativistic stars. Mon. Not. Roy. Astron. Soc. 2016, 459, 646–656. [Google Scholar] [CrossRef]
- Gärtlein, C.; Sagun, V.; Ivanytskyi, O.; Blaschke, D.; Lopes, I. Fastest spinning millisecond pulsars: Indicators for quark matter in neutron stars? arXiv 2024, arXiv:2412.07758. [Google Scholar]
- Jyothilakshmi, O.P.; Krishnan, P.E.S.; Sreekanth, V.; Chandrakar, H.; Jha, T.K. Fundamental Oscillation Modes in Neutron Stars with Hyperons and Delta Baryons. Symmetry 2025, 17, 230. [Google Scholar] [CrossRef]
- Kokkotas, K.D.; Apostolatos, T.A.; Andersson, N. The Inverse problem for pulsating neutron stars: A ’Fingerprint analysis’ for the supranuclear equation of state. Mon. Not. Roy. Astron. Soc. 2001, 320, 307–315. [Google Scholar] [CrossRef]
- Ho, W.C.G.; Jones, D.I.; Andersson, N.; Espinoza, C.M. Gravitational waves from transient neutron star f-mode oscillations. Phys. Rev. D 2020, 101, 103009. [Google Scholar] [CrossRef]
- Detweiler, S.L.; Lindblom, L. On the nonradial pulsations of general relativistic stellar models. Astrophys. J. 1985, 292, 12–15. [Google Scholar] [CrossRef]
- Sotani, H.; Tominaga, K.; Maeda, K.i. Density discontinuity of a neutron star and gravitational waves. Phys. Rev. D 2002, 65, 024010. [Google Scholar] [CrossRef]
- Pradhan, B.K.; Chatterjee, D.; Lanoye, M.; Jaikumar, P. General relativistic treatment of f-mode oscillations of hyperonic stars. Phys. Rev. C 2022, 106, 015805. [Google Scholar] [CrossRef]
- Zerilli, F.J. Effective potential for even parity Regge-Wheeler gravitational perturbation equations. Phys. Rev. Lett. 1970, 24, 737–738. [Google Scholar] [CrossRef]
- Pradhan, B.K.; Chatterjee, D.; Alvarez-Castillo, D.E. Probing hadron–quark phase transition in twin stars using f-modes. Mon. Not. Roy. Astron. Soc. 2024, 531, 4640–4655. [Google Scholar] [CrossRef]
- Kubis, S. The nuclear symmetry energy and stability of matter in neutron star. Phys. Rev. C 2007, 76, 025801. [Google Scholar] [CrossRef]
- Baym, G.; Bethe, H.A.; Pethick, C. Neutron star matter. Nucl. Phys. A 1971, 175, 225–271. [Google Scholar] [CrossRef]
- Fortin, M.; Providencia, C.; Raduta, A.R.; Gulminelli, F.; Zdunik, J.L.; Haensel, P.; Bejger, M. Neutron star radii and crusts: Uncertainties and unified equations of state. Phys. Rev. C 2016, 94, 035804. [Google Scholar] [CrossRef]
- Canullan-Pascual, M.O.; Mariani, M.; Ranea-Sandoval, I.F.; Orsaria, M.G.; Weber, F. Consistent crust-core interpolation and its effect on non-radial neutron star oscillations. In Proceedings of the 11th International Workshop on Astronomy and Relativistic Astrophysics: From Quarks to Cosmos, Aguas Calientes, Peru, 2–6 September 2024. Astron.Nachr. 2025, 346, 3–4. [Google Scholar] [CrossRef]
- Neill, D.; Newton, W.G.; Tsang, D. Resonant Shattering Flares as Multimessenger Probes of the Nuclear Symmetry Energy. Mon. Not. Roy. Astron. Soc. 2021, 504, 1129–1143, Erratum in Mon. Not. Roy. Astron. Soc. 2022, 513, 310. https://doi.org/10.1093/mnras/stac1033. [Google Scholar] [CrossRef]
- Antonelli, M.; Montoli, A.; Pizzochero, P. Insights into the physics of neutron star interiors from pulsar glitches. In Astrophysics in the XXI Century with Compact Stars; World Scientific: Singapore, 2022; pp. 219–281. [Google Scholar] [CrossRef]
- Link, B.; Epstein, R.I.; Lattimer, J.M. Pulsar constraints on neutron star structure and equation of state. Phys. Rev. Lett. 1999, 83, 3362–3365. [Google Scholar] [CrossRef]
- Andersson, N.; Glampedakis, K.; Ho, W.C.G.; Espinoza, C.M. Pulsar glitches: The crust is not enough. Phys. Rev. Lett. 2012, 109, 241103. [Google Scholar] [CrossRef] [PubMed]
- Chamel, N. Neutron conduction in the inner crust of a neutron star in the framework of the band theory of solids. Phys. Rev. C 2012, 85, 035801. [Google Scholar] [CrossRef]
- Zhang, N.B.; Li, B.A. Imprints of high-density nuclear symmetry energy on the crustal fraction of neutron star moment of inertia. Particles 2025, 8, 12. [Google Scholar] [CrossRef]
- Dong, Z.Z.; Lau, S.Y.; Yagi, K. New modeling for hybrid stars with an elastic quark core. arXiv 2024, arXiv:2412.16636. [Google Scholar]
- Drischler, C.; Melendez, J.A.; Furnstahl, R.J.; Garcia, A.J.; Zhang, X. BUQEYE guide to projection-based emulators in nuclear physics. Front. Phys. 2022, 10, 1092931. [Google Scholar] [CrossRef]
- Dietrich, T.; Coughlin, M.W.; Pang, P.T.H.; Bulla, M.; Heinzel, J.; Issa, L.; Tews, I.; Antier, S. Multimessenger constraints on the neutron-star equation of state and the Hubble constant. Science 2020, 370, 1450–1453. [Google Scholar] [CrossRef]
- Lattimer, J.M.; Steiner, A.W. Neutron Star Masses and Radii from Quiescent Low-Mass X-ray Binaries. Astrophys. J. 2014, 784, 123. [Google Scholar] [CrossRef]
- Chatziioannou, K.; Yagi, K.; Klein, A.; Cornish, N.; Yunes, N. Probing the Internal Composition of Neutron Stars with Gravitational Waves. Phys. Rev. D 2015, 92, 104008. [Google Scholar] [CrossRef]
- Lackey, B.D.; Wade, L. Reconstructing the neutron-star equation of state with gravitational-wave detectors from a realistic population of inspiralling binary neutron stars. Phys. Rev. D 2015, 91, 043002. [Google Scholar] [CrossRef]
- Raithel, C.A.; Özel, F.; Psaltis, D. From Neutron Star Observables to the Equation of State. II. Bayesian Inference of Equation of State Pressures. Astrophys. J. 2017, 844, 156. [Google Scholar] [CrossRef]
- Ayriyan, A.; Blaschke, D.; Grunfeld, A.G.; Alvarez-Castillo, D.; Grigorian, H.; Abgaryan, V. Bayesian analysis of multimessenger M-R data with interpolated hybrid EoS. Eur. Phys. J. A 2021, 57, 318. [Google Scholar] [CrossRef]
- Ayriyan, A.; Alvarez-Castillo, D.; Blaschke, D.; Grigorian, H. Bayesian Analysis for Extracting Properties of the Nuclear Equation of State from Observational Data including Tidal Deformability from GW170817. Universe 2019, 5, 61. [Google Scholar] [CrossRef]
- Ayriyan, A.; Alvarez-Castillo, D.E.; Benic, S.; Blaschke, D.; Grigorian, H.; Typel, S. Bayesian analysis for a new class of hybrid EoS models using mass and radius data of compact stars. Acta Phys. Polon. Supp. B 2017, 10, 799–804. [Google Scholar] [CrossRef]
- Ayriyan, A.; Alvarez-Castillo, D.E.; Blaschke, D.; Grigorian, H.; Sokolowski, M. New Bayesian analysis of hybrid EoS constraints with mass-radius data for compact stars. Phys. Part. Nucl. 2015, 46, 854–857. [Google Scholar] [CrossRef]
- Alvarez-Castillo, D.; Ayriyan, A.; Barnaföldi, G.G.; Pósfay, P. Studying the Landau Mass Parameter of the Extended σ-ω Model for Neutron Star Matter. Phys. Part. Nucl. 2020, 51, 725–729. [Google Scholar] [CrossRef]
- Alvarez-Castillo, D.; Ayriyan, A.; Barnaföldi, G.G.; Grigorian, H.; Pósfay, P. Studying the parameters of the extended σ-ω model for neutron star matter. Eur. Phys. J. ST 2020, 229, 3615–3628. [Google Scholar] [CrossRef]
- Ayriyan, A.; Blaschke, D.; Carlomagno, J.P.; Contrera, G.A.; Grunfeld, A.G. Bayesian analysis of hybrid neutron star EOS constraints within an instantaneous nonlocal chiral quark matter model. Universe 2025, 11, 141. [Google Scholar] [CrossRef]
- Li, J.J.; Tian, Y.; Sedrakian, A. Bayesian inferences on covariant density functionals from multimessenger astrophysical data: Nucleonic models. Phys. Rev. C 2025, 111, 055804. [Google Scholar] [CrossRef]
- Li, J.J.; Tian, Y.; Sedrakian, A. Bayesian Constraints on Covariant Density Functional Equations of State of Compact Stars with New NICER Mass-Radius Measurements. arXiv 2024, arXiv:2412.16513. [Google Scholar]
- Güven, H.; Bozkurt, K.; Khan, E.; Margueron, J. Multimessenger and multiphysics Bayesian inference for the GW170817 binary neutron star merger. Phys. Rev. C 2020, 102, 015805. [Google Scholar] [CrossRef]
- Prakash, A.; Gupta, I.; Breschi, M.; Kashyap, R.; Radice, D.; Bernuzzi, S.; Logoteta, D.; Sathyaprakash, B.S. Detectability of QCD phase transitions in binary neutron star mergers: Bayesian inference with the next generation gravitational wave detectors. Phys. Rev. D 2024, 109, 103008. [Google Scholar] [CrossRef]
- Jiang, J.L.; Ecker, C.; Rezzolla, L. Bayesian Analysis of Neutron-star Properties with Parameterized Equations of State: The Role of the Likelihood Functions. Astrophys. J. 2023, 949, 11. [Google Scholar] [CrossRef]
- Grundler, X.; Li, B.A. Bayesian Quantification of Observability and Equation of State of Twin Stars. arXiv 2025, arXiv:2506.13677. [Google Scholar]
- Morawski, F.; Bejger, M. Neural network reconstruction of the dense matter equation of state derived from the parameters of neutron stars. Astron. Astrophys. 2020, 642, A78. [Google Scholar] [CrossRef]
- Fujimoto, Y.; Fukushima, K.; Murase, K. Methodology study of machine learning for the neutron star equation of state. Phys. Rev. D 2018, 98, 023019. [Google Scholar] [CrossRef]
- Farrell, D.; Baldi, P.; Ott, J.; Ghosh, A.; Steiner, A.W.; Kavitkar, A.; Lindblom, L.; Whiteson, D.; Weber, F. Deducing neutron star equation of state from telescope spectra with machine-learning-derived likelihoods. J. Cosmol. Astropart. Phys. 2023, 12, 022. [Google Scholar] [CrossRef]
- Li, B.A.; Grundler, X.; Xie, W.J.; Zhang, N.B. Bayesian Inference of Core Properties of Hybrid Stars from Future High-Precision Measurements of Their Radii. arXiv 2025, arXiv:2505.00194. [Google Scholar]
- Li, J.J.; Sedrakian, A. Bayesian inferences on covariant density functionals from multimessenger astrophysical data: The impacts of likelihood functions of low density matter constraints. arXiv 2025, arXiv:2505.00911. [Google Scholar]
- Magnall, S.J.; Ecker, C.; Rezzolla, L.; Lasky, P.D.; Goode, S.R. Physics-Informed Priors Improve Gravitational-Wave Constraints on Neutron-Star Matter. arXiv 2025, arXiv:2504.21526. [Google Scholar]
- Finch, E.; Legred, I.; Chatziioannou, K.; Essick, R.; Han, S.; Landry, P. Unified nonparametric equation-of-state inference from the neutron-star crust to perturbative-QCD densities. arXiv 2025, arXiv:2505.13691. [Google Scholar]
- Fujimoto, Y.; Fukushima, K.; Murase, K. Extensive Studies of the Neutron Star Equation of State from the Deep Learning Inference with the Observational Data Augmentation. JHEP 2021, 03, 273. [Google Scholar] [CrossRef]
- Ventagli, G.; Saltas, I.D. Deep learning inference of the neutron star equation of state. J. Cosmol. Astropart. Phys. 2025, 01, 073. [Google Scholar] [CrossRef]
- Sun, B.; Lattimer, J.M. Correlations Between the Neutron Star Mass-Radius Relation and the Equation of State of Dense Matter. arXiv 2024, arXiv:2412.14645. [Google Scholar]
- Lindblom, L.; Zhou, T. Uncertainty quantification for the relativistic inverse stellar structure problem. Phys. Rev. D 2025, 111, 063024. [Google Scholar] [CrossRef]
- Reed, B.T.; Somasundaram, R.; De, S.; Armstrong, C.L.; Giuliani, P.; Capano, C.; Brown, D.A.; Tews, I. Toward Accelerated Nuclear-physics Parameter Estimation from Binary Neutron Star Mergers: Emulators for the Tolman–Oppenheimer–Volkoff Equations. Astrophys. J. 2024, 974, 285. [Google Scholar] [CrossRef]
- Pelicer, M.R.; Cruz-Camacho, N.; Conde, C.; Friedenberg, D.; Roy, S.; Zhang, Z.; Manning, T.A.; Alford, M.G.; Clevinger, A.; Grefa, J.; et al. Building Neutron Stars with the MUSES Calculation Engine. arXiv 2025, arXiv:2502.07902. [Google Scholar]
- Pelicer, M.; Dexheimer, V.; Grefa, J. An Overview of the MUSES Calculation Engine and How It Can Be Used to Describe Neutron Stars. arXiv 2025, arXiv:2505.14921. [Google Scholar]
- Sharifi, Z.; Bigdeli, M.; Alvarez-Castillo, D. Studying VLOCV twin compact stars with binary mergers. Phys. Rev. D 2021, 103, 103011. [Google Scholar] [CrossRef]
- Shahrbaf, M.; Blaschke, D.; Typel, S.; Farrar, G.R.; Alvarez-Castillo, D.E. Sexaquark dilemma in neutron stars and its solution by quark deconfinement. Phys. Rev. D 2022, 105, 103005. [Google Scholar] [CrossRef]
- Alvarez-Castillo, D.; Marczenko, M. Compact Star Twins with a Dark Matter Core. Acta Phys. Polon. Supp. 2022, 15, 28. [Google Scholar] [CrossRef]
- Lyra, F.; Moreira, L.; Negreiros, R.; Gomes, R.O.; Dexheimer, V. Compactness in the thermal evolution of twin stars. Phys. Rev. C 2023, 107, 025806. [Google Scholar] [CrossRef]
- Lindblom, L. Parametric representations of neutron-star equations of state with phase transitions. Phys. Rev. D 2024, 110, 043018. [Google Scholar] [CrossRef]
- Carlomagno, J.P.; Contrera, G.A.; Grunfeld, A.G.; Blaschke, D. Thermal twin stars within a hybrid equation of state based on a nonlocal chiral quark model compatible with modern astrophysical observations. Phys. Rev. D 2024, 109, 043050. [Google Scholar] [CrossRef]
- Christian, J.E.; Schaffner-Bielich, J.; Rosswog, S. Which first order phase transitions to quark matter are possible in neutron stars? Phys. Rev. D 2024, 109, 063035. [Google Scholar] [CrossRef]
- Zhang, N.B.; Li, B.A. Impact of the nuclear equation of state on the formation of twin stars. Eur. Phys. J. A 2025, 61, 31. [Google Scholar] [CrossRef]
- Naseri, M.; Bozzola, G.; Paschalidis, V. Exploring pathways to forming twin stars. Phys. Rev. D 2024, 110, 044037. [Google Scholar] [CrossRef]
- Laskos-Patkos, P.; Moustakidis, C. Signatures of hadron-quark phase transition through the r-mode instability in twin stars. HNPS Adv. Nucl. Phys. 2024, 30, 104–109. [Google Scholar] [CrossRef]
- Christian, J.E.; Schaffner-Bielich, J. Confirming the Existence of Twin Stars in a NICER Way. Astrophys. J. 2022, 935, 122. [Google Scholar] [CrossRef]
- Mendes, M.; Christian, J.E.; Fattoyev, F.J.; Schaffner-Bielich, J. Constraining twin stars with cold neutron star cooling data. Phys. Rev. D 2025, 111, 063007. [Google Scholar] [CrossRef]
- Chen, J.; Ji, Z. Observational and Theoretical Constraints on First-Order Phase Transitions in Neutron Stars. arXiv 2025, arXiv:2502.05519. [Google Scholar]
- Christian, J.E.; Rather, I.A.; Gholami, H.; Hofmann, M. Comprehensive Analysis of Constructing Hybrid Stars with an RG-consistent NJL Model. arXiv 2025, arXiv:2503.13626. [Google Scholar]
- Sagert, I.; Fischer, T.; Hempel, M.; Pagliara, G.; Schaffner-Bielich, J.; Mezzacappa, A.; Thielemann, F.K.; Liebendorfer, M. Signals of the QCD phase transition in core-collapse supernovae. Phys. Rev. Lett. 2009, 102, 081101. [Google Scholar] [CrossRef] [PubMed]
- Sagert, I.; Pagliara, G.; Hempel, M.; Schaffner-Bielich, J. Is there Quark Matter in (Low-Mass) Pulsars? J. Phys. G 2008, 35, 104079. [Google Scholar] [CrossRef]
- Fischer, T.; Bastian, N.U.F.; Wu, M.R.; Baklanov, P.; Sorokina, E.; Blinnikov, S.; Typel, S.; Klähn, T.; Blaschke, D.B. Quark deconfinement as a supernova explosion engine for massive blue supergiant stars. Nat. Astron. 2018, 2, 980–986. [Google Scholar] [CrossRef]
- Kubis, S.; Wójcik, W.; Zabari, N. Multilayer neutron stars with scalar mesons crossing term. Phys. Rev. C 2020, 102, 065803. [Google Scholar] [CrossRef]
- Ivanytskyi, O. Quarkyonic picture of isospin QCD. arXiv 2025, arXiv:2505.07076. [Google Scholar]
- Kojo, T.; Suenaga, D.; Chiba, R. Isospin QCD as a Laboratory for Dense QCD. Universe 2024, 10, 293. [Google Scholar] [CrossRef]
- Yao, N.; Sorensen, A.; Dexheimer, V.; Noronha-Hostler, J. Structure in the speed of sound: From neutron stars to heavy-ion collisions. Phys. Rev. C 2024, 109, 065803. [Google Scholar] [CrossRef]
- Ayriyan, A.; Grigorian, H. Model of the Phase Transition Mimicking the Pasta Phase in Cold and Dense Quark-Hadron Matter. EPJ Web Conf. 2018, 173, 03003. [Google Scholar] [CrossRef]
- Ayriyan, A.; Bastian, N.U.; Blaschke, D.; Grigorian, H.; Maslov, K.; Voskresensky, D.N. Robustness of third family solutions for hybrid stars against mixed phase effects. Phys. Rev. C 2018, 97, 045802. [Google Scholar] [CrossRef]
- Alvarez-Castillo, D.; Blaschke, D.; Typel, S. Mixed phase within the multi-polytrope approach to high-mass twins. Astron. Nachr. 2017, 338, 1048–1051. [Google Scholar] [CrossRef]
- Blaschke, D.; Alvarez-Castillo, D. A mixing interpolation method to mimic pasta phases in compact star matter. Eur. Phys. J. A 2020, 56, 124. [Google Scholar] [CrossRef]
- Maslov, K.; Yasutake, N.; Ayriyan, A.; Blaschke, D.; Grigorian, H.; Maruyama, T.; Tatsumi, T.; Voskresensky, D.N. Hybrid equation of state with pasta phases and third family of compact stars. Phys. Rev. C 2019, 100, 025802. [Google Scholar] [CrossRef]
- Lope-Oter, E.; Wojnar, A. Twin stars in General Relativity and Extended Theories of Gravity. J. Cosmol. Astropart. Phys. 2025, 1, 054. [Google Scholar] [CrossRef]
- Pereira, J.P.; Flores, C.V.; Lugones, G. Phase transition effects on the dynamical stability of hybrid neutron stars. Astrophys. J. 2018, 860, 12. [Google Scholar] [CrossRef]
- Rau, P.B.; Sedrakian, A. Unstable modes of hypermassive compact stars driven by viscosity and gravitational radiation. Mon. Not. Roy. Astron. Soc. 2021, 509, 1854–1870. [Google Scholar] [CrossRef]
- Lugones, G.; Mariani, M.; Ranea-Sandoval, I.F. A model-agnostic analysis of hybrid stars with reactive interfaces. J. Cosmol. Astropart. Phys. 2023, 3, 028. [Google Scholar] [CrossRef]
- Kini, Y.; Salmi, T.; Vinciguerra, S.; Watts, A.L.; Bilous, A.; Galloway, D.K.; Wateren, E.v.d.; Khalsa, G.P.; Bogdanov, S.; Buchner, J.; et al. Constraining the properties of the thermonuclear burst oscillation source XTE J1814-338 through pulse profile modelling. Mon. Not. Roy. Astron. Soc. 2024, 535, 1507–1525. [Google Scholar] [CrossRef]
- Laskos-Patkos, P.; Moustakidis, C.C. XTE J1814-338: A potential hybrid star candidate. Phys. Rev. D 2025, 111, 063058. [Google Scholar] [CrossRef]
- Yagi, K.; Yunes, N. Approximate Universal Relations for Neutron Stars and Quark Stars. Phys. Rept. 2017, 681, 1–72. [Google Scholar] [CrossRef]
- Largani, N.K.; Fischer, T.; Sedrakian, A.; Cierniak, M.; Alvarez-Castillo, D.E.; Blaschke, D.B. Universal relations for rapidly rotating cold and hot hybrid stars. Mon. Not. Roy. Astron. Soc. 2022, 515, 3539–3554. [Google Scholar] [CrossRef]
- Wu, Z.; Wen, D. Precisely constraining the properties of neutron stars using new universal relations and astronomical observations*. Chin. Phys. C 2025, 49, 045109. [Google Scholar] [CrossRef]
- Landry, P.; Chakravarti, K. Prospects for constraining twin stars with next-generation gravitational-wave detectors. arXiv 2022, arXiv:2212.09733. [Google Scholar]
- Counsell, A.R.; Gittins, F.; Andersson, N.; Tews, I. Interface modes in inspiralling neutron stars: A gravitational-wave probe of first-order phase transitions. arXiv 2025, arXiv:2504.06181. [Google Scholar]
- Glendenning, N.K.; Pei, S.; Weber, F. Signal of quark deconfinement in the timing structure of pulsar spindown. Phys. Rev. Lett. 1997, 79, 1603–1606. [Google Scholar] [CrossRef]
- Largani, N.K.; Fischer, T.; Shibagaki, S.; Cerdá-Durán, P.; Torres-Forné, A. Neutron stars in accreting systems—Signatures of the QCD phase transition. Astron. Astrophys. 2024, 687, A245. [Google Scholar] [CrossRef]
- Tsaloukidis, L.; Koliogiannis, P.S.; Kanakis-Pegios, A.; Moustakidis, C.C. Twin stars as probes of the nuclear equation of state: Effects of rotation through the PSR J0952-0607 pulsar and constraints via the tidal deformability from the GW170817 event. Phys. Rev. D 2023, 107, 023012. [Google Scholar] [CrossRef]
- Gittins, F.; Andersson, N.; Jones, D.I. Modelling neutron star mountains. Mon. Not. Roy. Astron. Soc. 2020, 500, 5570–5582. [Google Scholar] [CrossRef]
- Morales, J.A.; Horowitz, C.J. Anisotropic neutron star crust, solar system mountains, and gravitational waves. Phys. Rev. D 2024, 110, 044016. [Google Scholar] [CrossRef]
Disclaimer/Publisher’s Note: The statements, opinions and data contained in all publications are solely those of the individual author(s) and contributor(s) and not of MDPI and/or the editor(s). MDPI and/or the editor(s) disclaim responsibility for any injury to people or property resulting from any ideas, methods, instructions or products referred to in the content. |
© 2025 by the author. Licensee MDPI, Basel, Switzerland. This article is an open access article distributed under the terms and conditions of the Creative Commons Attribution (CC BY) license (https://creativecommons.org/licenses/by/4.0/).













