Sign in to use this feature.

Years

Between: -

Subjects

remove_circle_outline
remove_circle_outline
remove_circle_outline
remove_circle_outline
remove_circle_outline
remove_circle_outline
remove_circle_outline
remove_circle_outline
remove_circle_outline

Journals

Article Types

Countries / Regions

Search Results (59)

Search Parameters:
Keywords = maritime object identification

Order results
Result details
Results per page
Select all
Export citation of selected articles as:
35 pages, 40296 KB  
Article
A Matheuristic Framework for Behavioral Segmentation and Mobility Analysis of AIS Trajectories Using Multiple Movement Features
by Fumi Wu, Yangming Liu, Ronghui Li and Stefan Voß
J. Mar. Sci. Eng. 2025, 13(12), 2393; https://doi.org/10.3390/jmse13122393 - 17 Dec 2025
Viewed by 223
Abstract
Accurate behavioral segmentation of vessel trajectories from Automatic Identification System (AIS) is essential for maritime safety and traffic management. Existing methods often rely on predefined thresholds or emphasize geometric criteria and offer limited behavioral interpretability for mobility analysis. This paper introduces an unsupervised [...] Read more.
Accurate behavioral segmentation of vessel trajectories from Automatic Identification System (AIS) is essential for maritime safety and traffic management. Existing methods often rely on predefined thresholds or emphasize geometric criteria and offer limited behavioral interpretability for mobility analysis. This paper introduces an unsupervised behavioral segmentation framework that integrates clustering with matheuristic optimization. Trajectories are cleaned with a forward sliding window, and three smoothed movement features, namely speed, acceleration, and turning rate, are computed for each point. Each feature is discretized by the Jenks Natural Breaks algorithm to extract key feature points and pointwise feature labels. Segment boundaries are near-optimally chosen from these key feature points using a Matheuristic Fixed Set Search (MFSS) that minimizes a Minimum Description Length (MDL) objective. This ensures behavioral consistency within each segment and clear separation between adjacent segments. Experiments on an AIS dataset from the Qiongzhou Strait, China, demonstrate that our proposed method yields more compact, distinctly differentiated segments than baseline methods, while preserving intra-segment behavioral continuity. These segments exhibit strong semantic coherence, making them well-suited for downstream tasks such as traffic risk assessment and route planning. Full article
(This article belongs to the Section Ocean Engineering)
Show Figures

Figure 1

26 pages, 2267 KB  
Article
Structured Prompt-Based Vision–Language Reasoning for Risk Assessment and Navigation Decisions in Maritime Navigation
by Dong-Hyun Kim and Ju-Yeon Yoo
J. Mar. Sci. Eng. 2025, 13(12), 2339; https://doi.org/10.3390/jmse13122339 - 9 Dec 2025
Viewed by 232
Abstract
Ensuring navigational safety is one of the most critical challenges in autonomous maritime navigation research, requiring accurate real-time assessment of collision risks and prompt navigational decisions based on such assessments. Traditional rule-based systems utilizing radar and Automatic Identification Systems (AIS) exhibit fundamental limitations [...] Read more.
Ensuring navigational safety is one of the most critical challenges in autonomous maritime navigation research, requiring accurate real-time assessment of collision risks and prompt navigational decisions based on such assessments. Traditional rule-based systems utilizing radar and Automatic Identification Systems (AIS) exhibit fundamental limitations in simultaneously analyzing discrete objects such as vessels and buoys alongside continuous environmental boundaries like coastlines and bridges. To address these limitations, recent research has incorporated artificial intelligence approaches, though most recent studies have primarily focused on object detection methods. This study proposes a structured tag-based multimodal navigation safety framework that performs inference on maritime scenes by integrating YOLO-based object detection with the LLaVA vision–language model, generating outputs that include risk level assessment, navigation action recommendations, reasoning explanations, and object information. The proposed method achieved 86.1% accuracy in risk level assessment and 76.3% accuracy in navigation action recommendations. Through a hierarchical early stopping system using delimiter-based tags, the system reduced output token generation by 95.36% for essential inference results and 43.98% for detailed inference results compared to natural language outputs. Full article
(This article belongs to the Section Ocean Engineering)
Show Figures

Figure 1

21 pages, 34323 KB  
Article
Ship-RT-DETR: An Improved Model for Ship Plate Detection and Identification
by Chang Qin, Xiaoyu Ji, Zhiyi Mo and Jinming Mo
J. Mar. Sci. Eng. 2025, 13(11), 2205; https://doi.org/10.3390/jmse13112205 - 19 Nov 2025
Viewed by 324
Abstract
Ship License Plate Recognition (SLPR) technology serves as a fundamental technological foundation for maritime transportation management. Automated ship identification enhances both regulatory oversight and operational efficiency. However, current recognition models demonstrate significant limitations, including their inability to detect objects in complex environments and [...] Read more.
Ship License Plate Recognition (SLPR) technology serves as a fundamental technological foundation for maritime transportation management. Automated ship identification enhances both regulatory oversight and operational efficiency. However, current recognition models demonstrate significant limitations, including their inability to detect objects in complex environments and challenges in maintaining real-time performance while ensuring accuracy, thereby limiting their practical applicability. This study proposes a novel cascaded framework that integrates RT-DETR-based detection with OCR capabilities. The framework incorporates several key methodological innovations: optimizing the RT-DETR backbone through efficient partial convolutions during training to improve computational efficiency; implementing Conv3XC to modify the ResNet18-backbone BasicBlock using a triple convolutional layer configuration with an enhanced RepC3 kernel design for better feature extraction; and integrating learned position encoding (LPE) to improve the AIFI position encoding mechanism, thereby enhancing detection capabilities. After region detection, PP-OCRv3 is used for character recognition. Experimental results demonstrate the superior performance of our approach: Ship-RT-DETR achieves 96.2% detection accuracy with a 28.5% reduction in parameters and 67.3 FPS, while PP-OCRv3 achieves 91.6% recognition accuracy. Extensive environmental validation across diverse weather conditions (sunny, cloudy, rainy, and foggy) confirms the framework’s robustness, maintaining a detection accuracy above 90% even in challenging foggy conditions, with minimal performance degradation (a 7.7% decrease from optimal conditions). The system’s consistent performance across various environmental conditions (detection standard deviation: 2.84%, OCR confidence standard deviation: 0.0295) establishes a novel and robust methodology for practical SLPR applications. Full article
(This article belongs to the Section Ocean Engineering)
Show Figures

Figure 1

24 pages, 2582 KB  
Article
A Novel Approach for Vessel Graphics Identification and Augmentation Based on Unsupervised Illumination Estimation Network
by Jianan Luo, Zhichen Liu, Chenchen Jiao and Mingyuan Jiang
J. Mar. Sci. Eng. 2025, 13(11), 2167; https://doi.org/10.3390/jmse13112167 - 17 Nov 2025
Viewed by 328
Abstract
Vessel identification in low-light environments is a challenging task since low-light images contain less information for detecting objects. To improve the feasibility of vessel identification in low-light environments, we present a new unsupervised low-light image augmentation approach to augment the visibility of vessel [...] Read more.
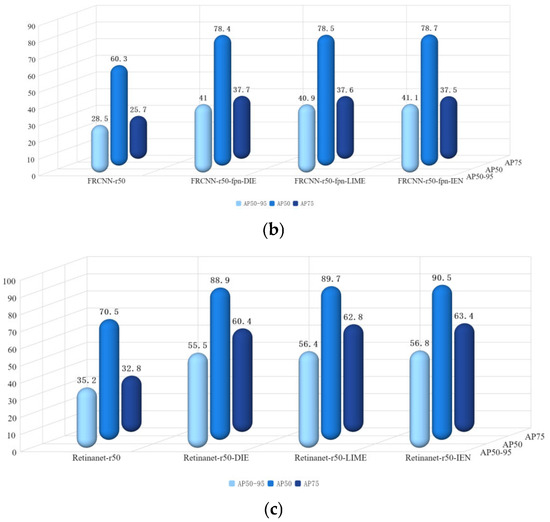
Vessel identification in low-light environments is a challenging task since low-light images contain less information for detecting objects. To improve the feasibility of vessel identification in low-light environments, we present a new unsupervised low-light image augmentation approach to augment the visibility of vessel features in low-light images, laying a foundation for subsequent identification. This guarantees the feasibility of vessel identification with the augmented image. To this end, we design an illumination estimation network (IEN) to estimate the illumination of a low-light image based on the Retinex theory. Then, we augment the low-light image by estimating its reflectance with the estimated illumination. Compared with the existing deep learning-based supervised low-light image augmentation approach that depends on the low- and normal-light image pairs for model training, IEN is an unsupervised approach without using normal-light image as references during model training. Compared with the traditional unsupervised low-light image augmentation approach, IEN shows faster image augmentation speed by parallel computation acceleration with image Processing Units (GPUs). The proposed approach builds an end-to-end pipeline integrating a vessel-aware weight matrix and SmoothNet, which optimizes illumination estimation under the Retinex framework. To evaluate the effectiveness of the proposed approach, we build a low-light vessel image set based on the Sea Vessels 7000 dataset—a public maritime image set containing 7000 vessel images across multiple categories Then, we carry out an experiment to evaluate the feasibility of vessel identification using the augmented image. Experimental results show that the proposed approach boosts the AP75 metric of the RetinaNet detector by 6.6 percentage points (from 56.8 to 63.4) on the low-light Sea Vessels 7000 dataset, confirming that the augmented image significantly improves vessel identification accuracy in low-light scenarios. Full article
(This article belongs to the Special Issue New Technologies in Autonomous Ship Navigation)
Show Figures

Figure 1

25 pages, 1786 KB  
Article
Maritime Transport Network Optimisation with Respect to Environmental Footprint and Enhanced Resilience: A Case Study for the Aegean Sea
by Nikolaos P. Ventikos, Panagiotis Sotiralis and Maria Theochari
J. Mar. Sci. Eng. 2025, 13(10), 1962; https://doi.org/10.3390/jmse13101962 - 14 Oct 2025
Viewed by 576
Abstract
Given the projection of the impact of climate change and the uncertainty caused by geopolitical volatility, minimising emissions has become an urgent priority for the shipping industry. In this context, the aim of the present study is the calculation and estimation of emissions [...] Read more.
Given the projection of the impact of climate change and the uncertainty caused by geopolitical volatility, minimising emissions has become an urgent priority for the shipping industry. In this context, the aim of the present study is the calculation and estimation of emissions generated by ship operations within a maritime transportation network, as well as the identification of the optimal route that minimises both emissions and travel time. Emission estimation is carried out using methodologies and assumptions from the Fourth IMO GHG Study. The decision-making, along with the optimisation process, is performed through backward dynamic programming, following a multi-objective optimisation framework. Specifically, the analysis is carried out on both a theoretical and a realistic network. In both cases, various scenarios are examined, including different approaches to vessel speed, some of which incorporate probabilistic speed distributions, as well as scenarios involving uncertainty regarding port availability. Additionally, the resilience of the network is examined, focusing on the additional burden in terms of emissions and travel time when a port is unexpectedly unavailable and a route adjustment is required. The calculations and optimisation are carried out using Excel and the @Risk software by Palisade, with the latter enabling the incorporation of probability distributions and the execution of Monte Carlo simulations. Full article
(This article belongs to the Section Ocean Engineering)
Show Figures

Figure 1

15 pages, 9446 KB  
Article
Exploring the Mediterranean: AUV High-Resolution Mapping of the Roman Wreck Offshore of Santo Stefano al Mare (Italy)
by Christoforos Benetatos, Stefano Costa, Giorgio Giglio, Claudio Mastrantuono, Roberto Mo, Costanzo Peter, Candido Fabrizio Pirri, Adriano Rovere and Francesca Verga
J. Mar. Sci. Eng. 2025, 13(10), 1921; https://doi.org/10.3390/jmse13101921 - 7 Oct 2025
Viewed by 1011
Abstract
Historically, the Mediterranean Sea has been an area of cultural exchange and maritime commerce. One out of many submerged archaeological sites is the Roman shipwreck that was discovered in 2006 off the coast of Santo Stefano al Mare, in the Ligurian Sea, Italy. [...] Read more.
Historically, the Mediterranean Sea has been an area of cultural exchange and maritime commerce. One out of many submerged archaeological sites is the Roman shipwreck that was discovered in 2006 off the coast of Santo Stefano al Mare, in the Ligurian Sea, Italy. The wreck was dated to the 1st century B.C. and consists of a well-preserved cargo ship of Roman amphorae that were likely used for transporting wine. In this study, we present the results of the first underwater survey of the wreck using an Autonomous Underwater Vehicle (AUV) industrialized by Graal Tech. The AUV was equipped with a NORBIT WBMS multibeam sonar, a 450 kHz side-scan sonar, and inertial navigation systems. The AUV conducted multiple high-resolution surveys on the wreck site and the collected data were processed using geospatial analysis methods to highlight local anomalies directly related to the presence of the Roman shipwreck. The main feature was an accumulation of amphorae, covering an area of approximately 10 × 7 m with a maximum height of 1 m above the seabed. The results of this interdisciplinary work demonstrated the effectiveness of integrating AUV technologies with spatial analysis techniques for underwater archaeological applications. Furthermore, the success of this mission highlighted the potential for broader applications of AUVs in the study of the seafloor, such as monitoring seabed movements related to offshore underground energy storage or the identification of objects lying on the seabed, such as cables or pipelines. Full article
Show Figures

Figure 1

20 pages, 10153 KB  
Article
Sensor-Oriented Framework for Underwater Acoustic Signal Classification Using EMD–Wavelet Filtering and Bayesian-Optimized Random Forest
by Sergii Babichev, Oleg Yarema, Yevheniy Khomenko, Denys Senchyshen and Bohdan Durnyak
Sensors 2025, 25(17), 5336; https://doi.org/10.3390/s25175336 - 28 Aug 2025
Viewed by 931
Abstract
Ship acoustic signal classification is essential for vessel identification, underwater navigation, and maritime security. Traditional methods struggle with the non-stationary nature and noise of ship acoustic signals, reducing classification accuracy. To address these challenges, we propose an automated pipeline that integrates Empirical Mode [...] Read more.
Ship acoustic signal classification is essential for vessel identification, underwater navigation, and maritime security. Traditional methods struggle with the non-stationary nature and noise of ship acoustic signals, reducing classification accuracy. To address these challenges, we propose an automated pipeline that integrates Empirical Mode Decomposition (EMD), adaptive wavelet filtering, feature selection, and a Bayesian-optimized Random Forest classifier. The framework begins with EMD-based decomposition, where the most informative Intrinsic Mode Functions (IMFs) are selected using Signal-to-Noise Ratio (SNR) analysis. Wavelet filtering is applied to reduce noise, with optimal wavelet parameters determined via SNR and Stein’s Unbiased Risk Estimate (SURE) criteria. Features extracted from statistical, frequency domain (FFT), and time–frequency (wavelet) metrics are ranked, and the top 11 most important features are selected for classification. A Bayesian-optimized Random Forest classifier is trained using the extracted features, ensuring optimal hyperparameter selection and reducing computational complexity. The classification results are further enhanced using a majority voting strategy, improving the accuracy of the final object identification. The proposed approach demonstrates high accuracy, improved noise suppression, and robust classification performance. The methodology is scalable, computationally efficient, and suitable for real-time maritime applications. Full article
(This article belongs to the Special Issue Advanced Acoustic Sensing Technology)
Show Figures

Figure 1

26 pages, 2560 KB  
Article
Benchmarking YOLO Models for Marine Search and Rescue in Variable Weather Conditions
by Aysha Alshibli and Qurban Memon
Automation 2025, 6(3), 35; https://doi.org/10.3390/automation6030035 - 2 Aug 2025
Cited by 2 | Viewed by 1933
Abstract
Deep learning with unmanned aerial vehicles (UAVs) is transforming maritime search and rescue (SAR) by enabling rapid object identification in challenging marine environments. This study benchmarks the performance of YOLO models for maritime SAR under diverse weather conditions using the SeaDronesSee and AFO [...] Read more.
Deep learning with unmanned aerial vehicles (UAVs) is transforming maritime search and rescue (SAR) by enabling rapid object identification in challenging marine environments. This study benchmarks the performance of YOLO models for maritime SAR under diverse weather conditions using the SeaDronesSee and AFO datasets. The results show that while YOLOv7 achieved the highest mAP@50, it struggled with detecting small objects. In contrast, YOLOv10 and YOLOv11 deliver faster inference speeds but compromise slightly on precision. The key challenges discussed include environmental variability, sensor limitations, and scarce annotated data, which can be addressed by such techniques as attention modules and multimodal data fusion. Overall, the research results provide practical guidance for deploying efficient deep learning models in SAR, emphasizing specialized datasets and lightweight architectures for edge devices. Full article
(This article belongs to the Section Intelligent Control and Machine Learning)
Show Figures

Figure 1

29 pages, 482 KB  
Review
AI in Maritime Security: Applications, Challenges, Future Directions, and Key Data Sources
by Kashif Talpur, Raza Hasan, Ismet Gocer, Shakeel Ahmad and Zakirul Bhuiyan
Information 2025, 16(8), 658; https://doi.org/10.3390/info16080658 - 31 Jul 2025
Viewed by 7459
Abstract
The growth and sustainability of today’s global economy heavily relies on smooth maritime operations. The increasing security concerns to marine environments pose complex security challenges, such as smuggling, illegal fishing, human trafficking, and environmental threats, for traditional surveillance methods due to their limitations. [...] Read more.
The growth and sustainability of today’s global economy heavily relies on smooth maritime operations. The increasing security concerns to marine environments pose complex security challenges, such as smuggling, illegal fishing, human trafficking, and environmental threats, for traditional surveillance methods due to their limitations. Artificial intelligence (AI), particularly deep learning, has offered strong capabilities for automating object detection, anomaly identification, and situational awareness in maritime environments. In this paper, we have reviewed the state-of-the-art deep learning models mainly proposed in recent literature (2020–2025), including convolutional neural networks, recurrent neural networks, Transformers, and multimodal fusion architectures. We have highlighted their success in processing diverse data sources such as satellite imagery, AIS, SAR, radar, and sensor inputs from UxVs. Additionally, multimodal data fusion techniques enhance robustness by integrating complementary data, yielding more detection accuracy. There still exist challenges in detecting small or occluded objects, handling cluttered scenes, and interpreting unusual vessel behaviours, especially under adverse sea conditions. Additionally, explainability and real-time deployment of AI models in operational settings are open research areas. Overall, the review of existing maritime literature suggests that deep learning is rapidly transforming maritime domain awareness and response, with significant potential to improve global maritime security and operational efficiency. We have also provided key datasets for deep learning models in the maritime security domain. Full article
(This article belongs to the Special Issue Advances in Machine Learning and Intelligent Information Systems)
Show Figures

Figure 1

17 pages, 4557 KB  
Article
Potential of LiDAR and Hyperspectral Sensing for Overcoming Challenges in Current Maritime Ballast Tank Corrosion Inspection
by Sergio Pallas Enguita, Jiajun Jiang, Chung-Hao Chen, Samuel Kovacic and Richard Lebel
Electronics 2025, 14(15), 3065; https://doi.org/10.3390/electronics14153065 - 31 Jul 2025
Viewed by 1079
Abstract
Corrosion in maritime ballast tanks is a major driver of maintenance costs and operational risks for maritime assets. Inspections are hampered by complex geometries, hazardous conditions, and the limitations of conventional methods, particularly visual assessment, which struggles with subjectivity, accessibility, and early detection, [...] Read more.
Corrosion in maritime ballast tanks is a major driver of maintenance costs and operational risks for maritime assets. Inspections are hampered by complex geometries, hazardous conditions, and the limitations of conventional methods, particularly visual assessment, which struggles with subjectivity, accessibility, and early detection, especially under coatings. This paper critically examines these challenges and explores the potential of Light Detection and Ranging (LiDAR) and Hyperspectral Imaging (HSI) to form the basis of improved inspection approaches. We discuss LiDAR’s utility for accurate 3D mapping and providing a spatial framework and HSI’s potential for objective material identification and surface characterization based on spectral signatures along a wavelength range of 400-1000nm (visible and near infrared). Preliminary findings from laboratory tests are presented, demonstrating the basic feasibility of HSI for differentiating surface conditions (corrosion, coatings, bare metal) and relative coating thickness, alongside LiDAR’s capability for detailed geometric capture. Although these results do not represent a deployable system, they highlight how LiDAR and HSI could address key limitations of current practices and suggest promising directions for future research into integrated sensor-based corrosion assessment strategies. Full article
Show Figures

Figure 1

22 pages, 6397 KB  
Article
Identification of Risk Patterns by Type of Ship Through Correspondence Analysis of Port State Control: A Differentiated Approach to Inspection to Enhance Maritime Safety and Pollution Prevention
by Jose Manuel Prieto, David Almorza, Víctor Amor-Esteban, Juan J. Muñoz-Perez and Bismarck Jigena-Antelo
Oceans 2025, 6(1), 15; https://doi.org/10.3390/oceans6010015 - 6 Mar 2025
Cited by 2 | Viewed by 2146
Abstract
This study analyzes the results of Port State Control (PSC) inspections carried out under the Paris Memorandum of Understanding between 2018 and 2022. Through a correspondence analysis, the most frequent deficiencies were identified according to the type of ship being inspected. The study [...] Read more.
This study analyzes the results of Port State Control (PSC) inspections carried out under the Paris Memorandum of Understanding between 2018 and 2022. Through a correspondence analysis, the most frequent deficiencies were identified according to the type of ship being inspected. The study sample included 186,255 inspections obtained from the THETIS platform. The results revealed significant heterogeneity in deficiency profiles across ship types, highlighting specific patterns associated with each category. Container ships, oil tankers and bulk carriers, for instance, exhibited distinctive deficiency profiles. The study emphasizes the necessity for a tailored approach to PSC inspections, with the objective of optimizing resources through the utilization of risk zone indicators for the inspector. The identification of specific risk indicators would not only facilitate the work of inspectors but also enable the earlier detection of potential problems and more effective intervention. The study provides a solid foundation for future research and decision-making on PSC inspections, with the aim of enhancing maritime safety and pollution prevention. Full article
(This article belongs to the Special Issue Feature Papers of Oceans 2024)
Show Figures

Figure 1

32 pages, 6751 KB  
Article
SVIADF: Small Vessel Identification and Anomaly Detection Based on Wide-Area Remote Sensing Imagery and AIS Data Fusion
by Lihang Chen, Zhuhua Hu, Junfei Chen and Yifeng Sun
Remote Sens. 2025, 17(5), 868; https://doi.org/10.3390/rs17050868 - 28 Feb 2025
Cited by 2 | Viewed by 2315
Abstract
Small target ship detection and anomaly analysis play a pivotal role in ocean remote sensing technologies, offering critical capabilities for maritime surveillance, enhancing maritime safety, and improving traffic management. However, existing methodologies in the field of detection are predominantly based on deep learning [...] Read more.
Small target ship detection and anomaly analysis play a pivotal role in ocean remote sensing technologies, offering critical capabilities for maritime surveillance, enhancing maritime safety, and improving traffic management. However, existing methodologies in the field of detection are predominantly based on deep learning models with complex network architectures, which may fail to accurately detect smaller targets. In the classification domain, most studies focus on synthetic aperture radar (SAR) images combined with Automatic Identification System (AIS) data, but these approaches have significant limitations: first, they often overlook further analysis of anomalies arising from mismatched data; second, there is a lack of research on small target ship classification using wide-area optical remote sensing imagery. In this paper, we develop SVIADF, a multi-source information fusion framework for small vessel identification and anomaly detection. The framework consists of two main steps: detection and classification. To address challenges in the detection domain, we introduce the YOLOv8x-CA-CFAR framework. In this approach, YOLOv8x is first utilized to detect suspicious objects and generate image patches, which are then subjected to secondary analysis using CA-CFAR. Experimental results demonstrate that this method achieves improvements in Recall and F1-score by 2.9% and 1.13%, respectively, compared to using YOLOv8x alone. By integrating structural and pixel-based approaches, this method effectively mitigates the limitations of traditional deep learning techniques in small target detection, providing more practical and reliable support for real-time maritime monitoring and situational assessment. In the classification domain, this study addresses two critical challenges. First, it investigates and resolves anomalies arising from mismatched data. Second, it introduces an unsupervised domain adaptation model, Multi-CDT, for heterogeneous multi-source data. This model effectively transfers knowledge from SAR–AIS data to optical remote sensing imagery, thereby enabling the development of a small target ship classification model tailored for optical imagery. Experimental results reveal that, compared to the CDTrans method, Multi-CDT not only retains a broader range of classification categories but also improves target domain accuracy by 0.32%. The model extracts more discriminative and robust features, making it well suited for complex and dynamic real-world scenarios. This study offers a novel perspective for future research on domain adaptation and its application in maritime scenarios. Full article
(This article belongs to the Section AI Remote Sensing)
Show Figures

Graphical abstract

22 pages, 3970 KB  
Article
A Monocular Vision-Based Safety Monitoring Framework for Offshore Infrastructures Utilizing Grounded SAM
by Sijie Xia, Rufu Qin, Yang Lu, Lianjiang Ma and Zhenghu Liu
J. Mar. Sci. Eng. 2025, 13(2), 340; https://doi.org/10.3390/jmse13020340 - 13 Feb 2025
Cited by 1 | Viewed by 1668
Abstract
As maritime transportation and human activities at sea continue to grow, ensuring the safety of offshore infrastructure has become an increasingly pressing research focus. However, traditional high-precision sensor systems often involve prohibitive costs, and the Automatic Identification System (AIS) faces signal loss or [...] Read more.
As maritime transportation and human activities at sea continue to grow, ensuring the safety of offshore infrastructure has become an increasingly pressing research focus. However, traditional high-precision sensor systems often involve prohibitive costs, and the Automatic Identification System (AIS) faces signal loss or data manipulation problems, highlighting the need for a complementary, affordable, and reliable supplemental solution. This study introduces a monocular vision-based safety monitoring framework for offshore infrastructures. By combining advanced computer vision techniques such as Grounded SAM and horizon-based self-calibration, the proposed framework achieves accurate vessel detection, instance segmentation, and distance estimation. The model integrates open-vocabulary object detection and zero-shot segmentation, achieving high performance without additional training. To demonstrate the feasibility of the framework in practical applications, we conduct several experiments on public datasets and couple the proposed algorithms with the Leaflet.js and WebRTC libraries to develop a web-based prototype for real-time safety monitoring, providing visualized information and alerts for offshore infrastructure operators in our case study. The experimental results and case study suggest that the framework has notable advantages, including low cost, convenient deployment with minimal maintenance, high detection accuracy, and strong adaptability to diverse application conditions, which brings a supplemental solution to research on offshore infrastructure safety. Full article
Show Figures

Figure 1

22 pages, 13013 KB  
Article
LCSC-UAVNet: A High-Precision and Lightweight Model for Small-Object Identification and Detection in Maritime UAV Perspective
by Yanjuan Wang, Jiayue Liu, Jun Zhao, Zhibin Li, Yuxian Yan, Xiaohong Yan, Fengqiang Xu and Fengqi Li
Drones 2025, 9(2), 100; https://doi.org/10.3390/drones9020100 - 29 Jan 2025
Cited by 2 | Viewed by 2074
Abstract
Unmanned Aerial Vehicle (UAV) object detection is crucial in various fields, such as maritime rescue and disaster investigation. However, due to small objects and the limitations of UAVs’ hardware and computing power, detection accuracy and computational overhead are the bottleneck issues of UAV [...] Read more.
Unmanned Aerial Vehicle (UAV) object detection is crucial in various fields, such as maritime rescue and disaster investigation. However, due to small objects and the limitations of UAVs’ hardware and computing power, detection accuracy and computational overhead are the bottleneck issues of UAV object detection. To address these issues, a novel convolutional neural network (CNN) model, LCSC-UAVNet, is proposed, which substantially enhances the detection accuracy and saves computing resources. To address the issues of low parameter utilization and insufficient detail capture, we designed the Lightweight Shared Difference Convolution Detection Head (LSDCH). It combines shared convolution layers with various differential convolution to enhance the detail capture ability for small objects. Secondly, a lightweight CScConv module was designed and integrated to enhance detection speed while reducing the number of parameters and computational cost. Additionally, a lightweight Contextual Global Module (CGM) was designed to extract global contextual information from the sea surface and features of small objects in maritime environments, thus reducing the false negative rate for small objects. Lastly, we employed the WIoUv2 loss function to address the sample imbalance issue of the datasets, enhancing the detection capability. To evaluate the performance of the proposed algorithm, experiments were performed across three commonly used datasets: SeaDroneSee, AFO, and MOBdrone. Compared with the state-of-the-art algorithms, the proposed model showcases improvements in mAP, recall, efficiency, where the mAP increased by over 10%. Furthermore, it utilizes only 5.6 M parameters and 16.3 G floating-point operations, outperforming state-of-the-art models such as YOLOv10 and RT-DETR. Full article
Show Figures

Figure 1

24 pages, 8669 KB  
Article
Multi-Type Ship Target Detection in Complex Marine Background Based on YOLOv11
by Yao Wang, Weigui Zeng, Huiqi Xu, Yi Jiang, Minggang Liu, Chuanliang Xiao and Ke Zhao
Processes 2025, 13(1), 249; https://doi.org/10.3390/pr13010249 - 16 Jan 2025
Cited by 6 | Viewed by 2133
Abstract
Realizing accurate control of ship target information in complex marine environments is of great significance for maintaining marine environment security and safeguarding maritime sovereignty. With the rapid development of material technology and manufacturing industry, the types and styles of ships are increasing, and [...] Read more.
Realizing accurate control of ship target information in complex marine environments is of great significance for maintaining marine environment security and safeguarding maritime sovereignty. With the rapid development of material technology and manufacturing industry, the types and styles of ships are increasing, and the distribution of multi-type ships on the sea is widespread. How to realize the accurate detection and identification of dynamic multi-type ship targets in the complex marine environment is an important and difficult problem that needs to be solved urgently in current marine environment detection. In this paper, an improved YOLOv11 ship target detection algorithm is proposed, which firstly utilizes the improved EfficientNetv2 network to replace the original backbone network of YOLOv11 to improve the learning ability of ship features under complex sea conditions; in order to solve the problem of interference by moving objects at sea when detecting dense ship targets and reduce the problems of missing detection and false alarms, the algorithm borrows from ConvNext block idea in the process of a neck feature pyramid network fusion; the algorithm introduces the WIoU loss function, which compensates for the effect of the small number of pixels of the small target in the process of regression loss computation, so as to improve the network’s performance in detecting small targets. In order to test the network performance in actual application scenarios, the article builds a visible ship target dataset, including complex background, occlusion and overlap, small targets, and other factors. Through experimental verification, the detection accuracy of the improved algorithm is improved by 5.6% compared with the original algorithm, and compared with typical algorithms in terms of detection accuracy, speed, and number of parameters, ablation experiments are designed to comprehensively validate and analyze the algorithm’s performance. Full article
(This article belongs to the Section Automation Control Systems)
Show Figures

Figure 1

Back to TopTop