Sign in to use this feature.

Years

Between: -

Subjects

remove_circle_outline
remove_circle_outline
remove_circle_outline
remove_circle_outline
remove_circle_outline
remove_circle_outline
remove_circle_outline

Journals

Article Types

Countries / Regions

Search Results (16)

Search Parameters:
Keywords = magnetic gradient tensor system

Order results
Result details
Results per page
Select all
Export citation of selected articles as:
22 pages, 1768 KB  
Article
Rotation-Free Scalar Calibration of Cubic Magnetic Gradient Tensor Array Using Constant-Magnitude Magnetic Fields with Randomized Orientations
by Chen Wang, Ziqiang Yuan, Gaigai Liu, Yingzi Zhang and Wenyi Liu
Sensors 2026, 26(8), 2521; https://doi.org/10.3390/s26082521 - 19 Apr 2026
Viewed by 194
Abstract
Accurate calibration is essential for ensuring the performance of magnetic gradient tensor (MGT) arrays. Existing calibration methods generally rely on mechanical rotation to obtain magnetic responses under multiple orientations. However, for large-scale cubic MGT arrays, rotating the entire array using a high-precision non-magnetic [...] Read more.
Accurate calibration is essential for ensuring the performance of magnetic gradient tensor (MGT) arrays. Existing calibration methods generally rely on mechanical rotation to obtain magnetic responses under multiple orientations. However, for large-scale cubic MGT arrays, rotating the entire array using a high-precision non-magnetic turntable is often costly and impractical, while manual rotation is difficult to control and may introduce array-center offsets. To address these limitations, this paper proposes a rotation-free scalar calibration framework for cubic MGT arrays, in which a tri-axial Helmholtz coil system generates constant-magnitude magnetic fields with randomized orientations while compensating for ambient magnetic drifts. Based on the acquired data, a hierarchical calibration algorithm is developed to estimate sensor-level intrinsic errors and array-level misalignment errors. Experimental results show that the proposed method reduces the joint tensor invariant CT from 9.07×103 nT/m to 11.51 nT/m, corresponding to a 99.87% reduction. In addition, compared with a conventional rotation-based fast calibration method, the proposed framework further decreases the mean and RMS of the joint CT by 62.7% and 63.1%, respectively. These results demonstrate that the proposed framework improves the spatial consistency of the MGT array and provides a practical calibration solution for large-scale MGT array systems. Full article
(This article belongs to the Section Physical Sensors)
Show Figures

Figure 1

17 pages, 3129 KB  
Article
A Remote Two-Point Magnetic Localization Method Based on SQUID Magnetometers and Magnetic Gradient Tensor Invariants
by Yingzi Zhang, Gaigai Liu, Chen Wang, Longqing Qiu, Hongliang Wang and Wenyi Liu
Sensors 2024, 24(18), 5917; https://doi.org/10.3390/s24185917 - 12 Sep 2024
Cited by 6 | Viewed by 5191
Abstract
In practical application, existing two-point magnetic gradient tensor (MGT) localization methods have a maximum detection distance of only 2.5 m, and the magnetic moment vectors of measured targets are all unknown. In order to realize remote, real-time localization, a new two-point magnetic localization [...] Read more.
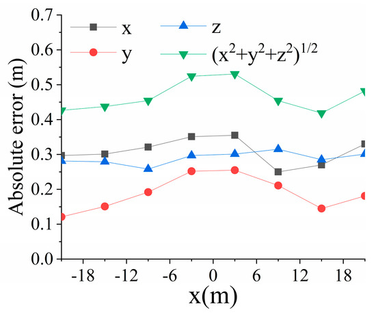
In practical application, existing two-point magnetic gradient tensor (MGT) localization methods have a maximum detection distance of only 2.5 m, and the magnetic moment vectors of measured targets are all unknown. In order to realize remote, real-time localization, a new two-point magnetic localization method based on self-developed, ultra-sensitive superconducting quantum interference device (SQUID) magnetometers and MGT invariants is proposed. Both the magnetic moment vector and the relative position vector can be directly calculated based on the linear positioning model, and a quasi-Newton optimization algorithm is adopted to further improve the interference suppression capability. The simulation results show that the detection distance of the proposed method can reach 500 m when the superconducting MGT measurement system is used. Compared with Nara’s single-point tensor (NSPT) method and Xu’s two-point tensor (XTPT) method, the proposed method produces the smallest relative localization error (i.e., significantly less than 1% in the non-positioning blind area) without sacrificing real-time characteristics. The causes of and solutions to the positioning blind area are also analyzed. The equivalent experiments, which were conducted with a detection distance of 10 m, validate the effectiveness of the localization method, yielding a minimum relative localization error of 4.5229%. Full article
(This article belongs to the Special Issue Challenges and Future Trends of Magnetic Sensors)
Show Figures

Figure 1

14 pages, 4886 KB  
Article
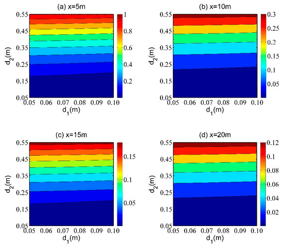
Structural Design and Parameter Optimization of Magnetic Gradient Tensor Measurement System
by Gaigai Liu, Yingzi Zhang and Wenyi Liu
Sensors 2024, 24(13), 4083; https://doi.org/10.3390/s24134083 - 24 Jun 2024
Cited by 8 | Viewed by 2340
Abstract
Magnetic anomaly detection (MAD) technology based on the magnetic gradient tensor (MGT) has broad application prospects in fields such as unexploded ordnance detection and mineral exploration. The difference approximation method currently employed in the MGT measurement system introduces measurement errors. Designing reasonable geometric [...] Read more.
Magnetic anomaly detection (MAD) technology based on the magnetic gradient tensor (MGT) has broad application prospects in fields such as unexploded ordnance detection and mineral exploration. The difference approximation method currently employed in the MGT measurement system introduces measurement errors. Designing reasonable geometric structures and configuring optimal structural parameters can effectively reduce measurement errors. Based on research into differential MGT measurement, this paper proposes three simplified planar MGT measurement structures and provides the differential measurement matrix. The factors that affect the design of the baseline distance of the MGT measurement system are also theoretically analyzed. Then, using the magnetic dipole model, the error analysis of the MGT measurement structures is carried out. The results demonstrate that the planar cross-shaped structure is optimal, with the smallest measurement error, only 3.15 × 10−10 T/m. Furthermore, employing the control variable method, the impact of sensor resolution constraints, noise level, target magnetic moment, and detection distance on the design of the optimal baseline distance of the MGT measurement system is simulated and verified. The results indicate that the smaller the target magnetic moment, the farther the detection distance, the lower the magnetometer resolution, the greater the noise, and the greater the baseline distance required. These conclusions provide reference and guidance for the construction of the MGT measurement system based on triaxial magnetometers. Full article
(This article belongs to the Special Issue Advances in Magnetic Anomaly Sensing Systems)
Show Figures

Figure 1

18 pages, 8675 KB  
Article
Two-Point Localization Algorithm of a Magnetic Target Based on Tensor Geometric Invariant
by Cheng Chi, Dan Wang, Ronghua Tao, Jianwei Li, Ye Wang, Zhentao Yu and Lu Yu
Sensors 2024, 24(7), 2224; https://doi.org/10.3390/s24072224 - 30 Mar 2024
Cited by 4 | Viewed by 2651
Abstract
Currently, magnetic gradient tensor-based localization methods face challenges such as significant errors in geomagnetic field estimation, susceptibility to local optima in optimization algorithms, and inefficient performance. In addressing these issues, this article propose a two-point localization method under the constraint of overlaying geometric [...] Read more.
Currently, magnetic gradient tensor-based localization methods face challenges such as significant errors in geomagnetic field estimation, susceptibility to local optima in optimization algorithms, and inefficient performance. In addressing these issues, this article propose a two-point localization method under the constraint of overlaying geometric invariants. This method initially establishes the relationship between the target position and the magnetic gradient tensor by substituting an intermediate variable for the magnetic moment. Exploiting the property of the eigenvector corresponding to the minimum absolute eigenvalue being perpendicular to the target position vector, this constraint is superimposed to formulate a nonlinear system of equations of the target’s position. In the process of determining the target position, the Nara method is employed for obtaining the initial values, followed by the utilization of the Levenberg–Marquardt algorithm to derive a precise solution. Experimental validation through both simulations and experiments confirms the effectiveness of the proposed method. The results demonstrate its capability to overcome the challenges faced by a single-point localization method in the presence of some errors in geomagnetic field estimation. In comparison to traditional two-point localization methods, the proposed method exhibits the highest precision. The localization outcomes under different noise conditions underscore the robust noise resistance and resilience of the proposed method. Full article
(This article belongs to the Section Navigation and Positioning)
Show Figures

Figure 1

38 pages, 12696 KB  
Article
Exploring Partial Structural Disorder in Anhydrous Paraxanthine through Combined Experiment, Solid-State Computational Modelling, and Molecular Docking
by Jolanta Natalia Latosińska, Magdalena Latosińska, Janez Seliger and Veselko Žagar
Processes 2023, 11(9), 2740; https://doi.org/10.3390/pr11092740 - 14 Sep 2023
Cited by 3 | Viewed by 1947
Abstract
Paraxanthine (PX), a major metabolite of caffeine, a protective agent against Alzheimer’s and Parkinson’s disease, and a promising drug for the treatment of post-COVID 2019 anosmia and ageusia, has been studied in the solid state and protein–ligand complex. Partial disorder in PX, caused [...] Read more.
Paraxanthine (PX), a major metabolite of caffeine, a protective agent against Alzheimer’s and Parkinson’s disease, and a promising drug for the treatment of post-COVID 2019 anosmia and ageusia, has been studied in the solid state and protein–ligand complex. Partial disorder in PX, caused by the methyl group at the N(7) position, has been modelled and discussed. The relationship between the unusual structural disorder and the propensity to form a specific system of non-covalent bonds was analyzed. Three 1H-14N NMR-NQR (nuclear magnetic resonance–nuclear quadrupole resonance) experimental techniques were used, namely multiple frequency sweeps, Larmor frequency scanning, and the two-frequency irradiation, followed by solid-state computational modelling (density functional theory, supplemented by quantum theory of atoms in molecules, 3D Hirshfeld surfaces, and reduced density gradient), and molecular docking approaches. New quantitative methods for estimating changes in the global pattern of interactions under the influence of rotation of the methyl group in N(7) based on the Pompeiu–Hausdorff and Bhattacharayya metrics and the Wasserstein distance have been proposed and applied. A spectrum consisting of 12 lines, indicating the presence of 4 chemically inequivalent nitrogen sites in the PX molecule, was recorded, and the lines’ assignment to particular sites was made. The influence of the methyl rotation on the eigenvalues and eigenvectors of the electric field gradient tensor, NQR parameters, and resonance line positions was modelled in the solid (GGA/RPBE, m-GGA/RSCAN) and cluster (Minnesota M062X hybrid). Three factors have been found to determine structural disorder in PX: larger crystal voids near the methyl at N(7) than at N(1) (opening the path for the disorder), hyperconjugation strongly affecting the density distribution in the five-membered ring, and the involvement of the methyl group at N(7) in many non-covalent bonds that intercept (capture) subsequent jumping protons. The Pompeiu–Hausdorff and Bhattacharayya metrics and the Wasserstein distance confirmed the changes in the distribution and strength of non-covalent interactions throughout the molecule as a result of methyl rotation. This effect is clearly visible regardless of the type of metric, and its order of magnitude is consistent with the modulation effect of the NQR spectra (experimental and calculated). Through molecular docking, it was discovered that the PX moiety in protein–ligand complexes adopt the same methyl group conformation at N(7) as in the solid state. It was found that the cooperation–competition between the C-H⋯O hydrogen bonds and C-H⋯H-C dispersion interactions is the crucial factor that impedes methyl rotation and induces structural disorder, as well as being an important factor in the formation of the protein–ligand complexes. Full article
(This article belongs to the Special Issue Pharmaceutical Development and Bioavailability Analysis, 2nd Edition)
Show Figures

Graphical abstract

32 pages, 5966 KB  
Article
Electromagnetic Monitoring of Modern Geodynamic Processes: An Approach for Micro-Inhomogeneous Rock through Effective Parameters
by Kseniia Nepeina, Elena Bataleva and Pavel Alexandrov
Appl. Sci. 2023, 13(14), 8063; https://doi.org/10.3390/app13148063 - 10 Jul 2023
Cited by 6 | Viewed by 2567
Abstract
This study focuses on microscale anisotropy in rock structure and texture, exploring its influence on the macro anisotropic electromagnetic parameters of the geological media, specifically electric conductivity (σ), relative permittivity (ε), and magnetic permeability (μ). The novelty of this research lies in the [...] Read more.
This study focuses on microscale anisotropy in rock structure and texture, exploring its influence on the macro anisotropic electromagnetic parameters of the geological media, specifically electric conductivity (σ), relative permittivity (ε), and magnetic permeability (μ). The novelty of this research lies in the advancement of geophysical monitoring methods for calculating cross properties through the estimation of effective parameters—a kind of integral macroscopic characteristic of media mostly used for composite materials with inclusions. To achieve this, we approximate real geological media with layered bianisotropic media, employing the effective media approximation (EMA) averaging technique to simplify the retrieval of the effective electromagnetic parameters (e.g., apparent resistivity–inversely proportional to electrical conductivity). Additionally, we investigate the correlation between effective electromagnetic parameters and geodynamic processes, which is supported by the experimental data obtained during monitoring studies in the Tien Shan region. The observed decrease and increase in apparent electrical resistivity values of ρk over time in orthogonal azimuths leads to further ρk deviations of up to 80%. We demonstrate that transitioning to another coordinate system is equivalent to considering gradient anisotropic media. Building upon the developed method, we derive the effective electric conductivity tensor for gradient anisotropic media by modeling the process of fracturing in a rock mass. Research findings validate the concept that continuous electromagnetic monitoring can aid in identifying natural geodynamic disasters based on variations in integral macroscopic parameters such as electrical conductivity. The geodynamic processes are closely related to seismicity and stress regimes with provided constraints. Therefore, disasters such as earthquakes are damaging and seismically hazardous. Full article
(This article belongs to the Special Issue Natural Hazards and Geomorphology)
Show Figures

Figure 1

13 pages, 6581 KB  
Article
Diffusion Tensor Imaging of a Median Nerve by Magnetic Resonance: A Pilot Study
by Kanza Awais, Žiga Snoj, Erika Cvetko and Igor Serša
Life 2022, 12(5), 748; https://doi.org/10.3390/life12050748 - 18 May 2022
Cited by 7 | Viewed by 3298
Abstract
The magnetic resonance Diffusion Tensor Imaging (DTI) is a powerful extension of Diffusion Weighted Imaging (DWI) utilizing multiple bipolar gradients, allowing for the evaluation of the microstructural environment of the highly anisotropic tissues. DTI was predominantly used for the assessment of the central [...] Read more.
The magnetic resonance Diffusion Tensor Imaging (DTI) is a powerful extension of Diffusion Weighted Imaging (DWI) utilizing multiple bipolar gradients, allowing for the evaluation of the microstructural environment of the highly anisotropic tissues. DTI was predominantly used for the assessment of the central nervous system (CNS), but with the advancement in magnetic resonance (MR) hardware and software, it has now become possible to image the peripheral nerves which were difficult to evaluate previously because of their small caliber. This study focuses on the assessment of the human median peripheral nerve ex vivo by DTI microscopy at 9.4 T magnetic field which allowed the evaluation of diffusion eigenvalues, the mean diffusivity and the fractional anisotropy at 35 μm in-plane resolution. The resolution was sufficient for clear depiction of all nerve anatomical structures and therefore further image analysis allowed the obtaining of average values for DT parameters in nerve fascicles (intrafascicular region and perineurium) as well as in the surrounding epineurium. The results confirmed the highest fractional anisotropy of 0.33 and principal diffusion eigenvalue of 1.0 × 10−9 m2/s in the intrafascicular region, somewhat lower values of 0.27 and 0.95 × 10−9 m2/s in the perineurium region and close to isotropic with very slow diffusion (0.15 and 0.05 × 10−9 m2/s) in the epineurium region. Full article
(This article belongs to the Special Issue Imaging in Neurosurgery: State of the Art)
Show Figures

Figure 1

13 pages, 687 KB  
Article
Thermal Conductivity and Thermophoretic Impacts of Micropolar Fluid Flow by a Horizontal Absorbent Isothermal Porous Wall with Heat Source/Sink
by Hossam A. Nabwey, Ahmed M. Rashad, Abd El Nasser Mahdy and Shaaban M. Shaaban
Mathematics 2022, 10(9), 1514; https://doi.org/10.3390/math10091514 - 2 May 2022
Cited by 7 | Viewed by 2221
Abstract
Boundary layer analysis is invoked to clarify the aspects of variable thermal conductivity and thermophoretic forces on a steady state of MHD micropolar fluid flow in the existence of a uniform transverse magnetic field along an isothermal horizontal plate. The micropolar pattern permits [...] Read more.
Boundary layer analysis is invoked to clarify the aspects of variable thermal conductivity and thermophoretic forces on a steady state of MHD micropolar fluid flow in the existence of a uniform transverse magnetic field along an isothermal horizontal plate. The micropolar pattern permits the rotational freedom degrees that lead to couple stresses and a non symmetric stress tensor. The initiated PDEs governing the case pattern are mutated into a non-dimensional system due to proper transformations. The transformed mathematical governing equations are solved by implementing a very potent computer algebra software MATLAB code. The plotted graphs analyzed the attitude of multiple physical aspects involving factors on the flow attitude of micropolar velocity and angular velocity and temperature. Through the involved factors, the couple stress, skin friction and Nusselt number are manifested and interpreted amply. A new outcome for drag force and heat gradient experienced by the key factors is portrayed. Augmentation in Ω results in the thermophoretic forces that encapsulate the mass transmission. The local Nusselt number strengthened as the thermal conductivity, heat absorption factors or wall suction velocity were improved, and weakened due to the existence of viscous dissipation or heat generation impacts. As a particular case, the governing field equations of a classical Newtonian liquid are given by dropping the micropolar parameter impacts. Full article
(This article belongs to the Special Issue Computational Fluid Dynamics II)
Show Figures

Figure 1

19 pages, 8564 KB  
Article
Fast Localization and Characterization of Underground Targets with a Towed Transient Electromagnetic Array System
by Lijie Wang, Shuang Zhang, Shudong Chen and Chaopeng Luo
Sensors 2022, 22(4), 1648; https://doi.org/10.3390/s22041648 - 20 Feb 2022
Cited by 10 | Viewed by 3226
Abstract
A fast inversion algorithm combined with the transient electromagnetic (TEM) detection system has important significance for improving the detection efficiency of unexploded ordnance. The traditional algorithms, such as differential evolution or Gauss–Newton algorithms, usually require tens to thousands of iterations to locate the [...] Read more.
A fast inversion algorithm combined with the transient electromagnetic (TEM) detection system has important significance for improving the detection efficiency of unexploded ordnance. The traditional algorithms, such as differential evolution or Gauss–Newton algorithms, usually require tens to thousands of iterations to locate the underground target. A new algorithm with a magnetic gradient tensor and singular value decomposition (SVD) to estimate the target position and characterization quickly and accurately is proposed in this paper. Two modes of magnetic gradient tensor are constructed to accurately locate shallow and deep targets, respectively. The SVD algorithm is applied to the responses to estimate the electromagnetic characteristics of the target quickly and accurately. To verify the performance of the proposed algorithm, a towed TEM sensor is designed, which is constructed with three transmitting coils and nine three-component receiving coils arranged in a 3 × 3 array. Field experiments in survey and cued modes were taken to verify the performance of the proposed algorithm and the towed system. Results show that the magnetic gradient tensor algorithm proposed in this paper can accurately locate a single target within 2.0 m depth, and the error of depth is no more than 8 cm. Even for overlapping response of multi targets, the error of depth is no more than 12 cm. The underground target can be accurately characterized by the SVD algorithm. For targets with depths over 2.0 m, the signal-to-noise ratio of characteristic response estimated by SVD is higher than that of the traditional method. The proposed method needs approximately 40 ms, only 1% of the traditional one, considerably improving detection efficiency and laying a theoretical and experimental foundation for real-time data processing. Full article
(This article belongs to the Section Electronic Sensors)
Show Figures

Figure 1

28 pages, 612 KB  
Article
QCD Theory of the Hadrons and Filling the Yang–Mills Mass Gap
by Jay R. Yablon
Symmetry 2020, 12(11), 1887; https://doi.org/10.3390/sym12111887 - 16 Nov 2020
Viewed by 7779
Abstract
The rank-3 antisymmetric tensors which are the magnetic monopoles of SU(N) Yang–Mills gauge theory dynamics, unlike their counterparts in Maxwell’s U(1) electrodynamics, are non-vanishing, and do permit a net flux of Yang–Mills analogs to the magnetic field through closed spatial surfaces. When electric [...] Read more.
The rank-3 antisymmetric tensors which are the magnetic monopoles of SU(N) Yang–Mills gauge theory dynamics, unlike their counterparts in Maxwell’s U(1) electrodynamics, are non-vanishing, and do permit a net flux of Yang–Mills analogs to the magnetic field through closed spatial surfaces. When electric source currents of the same Yang–Mills dynamics are inverted and their fermions inserted into these Yang–Mills monopoles to create a system, this system in its unperturbed state contains exactly three fermions due to the monopole rank-3 and its three additive field strength gradient terms in covariant form. So to ensure that every fermion in this system occupies an exclusive quantum state, the Exclusion Principle is used to place each of the three fermions into the fundamental representation of the simple gauge group with an SU(3) symmetry. After the symmetry of the monopole is broken to make this system indivisible, the gauge bosons inside the monopole become massless, the SU(3) color symmetry of the fermions becomes exact, and a propagator is established for each fermion. The monopoles then have the same antisymmetric color singlet wavefunction as a baryon, and the field quanta of the magnetic fields fluxing through the monopole surface have the same symmetric color singlet wavefunction as a meson. Consequently, we are able to identify these fermions with colored quarks, the gauge bosons with gluons, the magnetic monopoles with baryons, and the fluxing entities with mesons, while establishing that the quarks and gluons remain confined and identifying the symmetry breaking with hadronization. Analytic tools developed along the way are then used to fill the Yang–Mills mass gap. Full article
(This article belongs to the Special Issue Particle Physics and Symmetry)
10 pages, 4009 KB  
Article
Drilling Localization and Error Analysis of Radial Horizontal Jet Drilling Based on Magnetic Gradient Tensor
by Zhongxiang Liu, Minghui Wei, Peng Zhang, Yutao Zhang, Tingtao Lu, Rui Xiong and Changchun Qin
Energies 2020, 13(19), 4989; https://doi.org/10.3390/en13194989 - 23 Sep 2020
Cited by 4 | Viewed by 2438
Abstract
To obtain the real-time drilling trajectory of radial horizontal jet drilling (RHJD), a magnetized nozzle localization method based on magnetic gradient tensor (MGT) is proposed. The MGT system consisting of five tri-axial magnetometers, a tri-axial accelerometer, and a tri-axial gyroscope are installed in [...] Read more.
To obtain the real-time drilling trajectory of radial horizontal jet drilling (RHJD), a magnetized nozzle localization method based on magnetic gradient tensor (MGT) is proposed. The MGT system consisting of five tri-axial magnetometers, a tri-axial accelerometer, and a tri-axial gyroscope are installed in the casing. The magnetized nozzle is made of a strong magnetic permanent magnet whose position can be obtained by measuring the MGT generated by itself at the measurement point. The simulation and experiment of the localization method are carried out, which show that the method has high accuracy. When the detection distance is 40 m, the error is only 0.07 m, which meets the requirements of engineering practice. The accuracy of the magnetometer, the baseline distance and the magnetization strength of the nozzle are the main factors affecting the localization error. This localization method can meet the requirements of positioning accuracy in practical engineering, which greatly avoids the drilling failure of RHJD and has a wide application prospect. Full article
Show Figures

Graphical abstract

13 pages, 1310 KB  
Article
Dynamics of Solid Proteins by Means of Nuclear Magnetic Resonance Relaxometry
by Danuta Kruk, Elzbieta Masiewicz, Anna M. Borkowska, Pawel Rochowski, Pascal H. Fries, Lionel M. Broche and David J. Lurie
Biomolecules 2019, 9(11), 652; https://doi.org/10.3390/biom9110652 - 25 Oct 2019
Cited by 38 | Viewed by 4344
Abstract
1H Nuclear magnetic resonance (NMR) relaxometry was exploited to investigate the dynamics of solid proteins. The relaxation experiments were performed at 37 °C over a broad frequency range, from approximately 10 kHz to 40 MHz. Two relaxation contributions to the overall 1 [...] Read more.
1H Nuclear magnetic resonance (NMR) relaxometry was exploited to investigate the dynamics of solid proteins. The relaxation experiments were performed at 37 °C over a broad frequency range, from approximately 10 kHz to 40 MHz. Two relaxation contributions to the overall 1H spin–lattice relaxation were revealed; they were associated with 1H–1H and 1H–14N magnetic dipole–dipole interactions, respectively. The 1H–1H relaxation contribution was interpreted in terms of three dynamical processes occurring on timescales of 10−6 s, 10−7 s, and 10−8 s, respectively. The 1H–14N relaxation contribution shows quadrupole relaxation enhancement effects. A thorough analysis of the data was performed revealing similarities in the protein dynamics, despite their different structures. Among several parameters characterizing the protein dynamics and structure (e.g., electric field gradient tensor at the position of 14N nuclei), the orientation of the 1H–14N dipole–dipole axis, with respect to the principal axis system of the electric field gradient, was determined, showing that, for lysozyme, it was considerably different than for the other proteins. Moreover, the validity range of a closed form expression describing the 1H–14N relaxation contribution was determined by a comparison with a general approach based on the stochastic Liouville equation. Full article
Show Figures

Figure 1

17 pages, 4268 KB  
Article
Artificial Vector Calibration Method for Differencing Magnetic Gradient Tensor Systems
by Qingzhu Li, Zhining Li, Yingtang Zhang and Gang Yin
Sensors 2018, 18(2), 361; https://doi.org/10.3390/s18020361 - 26 Jan 2018
Cited by 29 | Viewed by 5147
Abstract
The measurement error of the differencing (i.e., using two homogenous field sensors at a known baseline distance) magnetic gradient tensor system includes the biases, scale factors, nonorthogonality of the single magnetic sensor, and the misalignment error between the sensor arrays, all of which [...] Read more.
The measurement error of the differencing (i.e., using two homogenous field sensors at a known baseline distance) magnetic gradient tensor system includes the biases, scale factors, nonorthogonality of the single magnetic sensor, and the misalignment error between the sensor arrays, all of which can severely affect the measurement accuracy. In this paper, we propose a low-cost artificial vector calibration method for the tensor system. Firstly, the error parameter linear equations are constructed based on the single-sensor’s system error model to obtain the artificial ideal vector output of the platform, with the total magnetic intensity (TMI) scalar as a reference by two nonlinear conversions, without any mathematical simplification. Secondly, the Levenberg–Marquardt algorithm is used to compute the integrated model of the 12 error parameters by nonlinear least-squares fitting method with the artificial vector output as a reference, and a total of 48 parameters of the system is estimated simultaneously. The calibrated system outputs along the reference platform-orthogonal coordinate system. The analysis results show that the artificial vector calibrated output can track the orientation fluctuations of TMI accurately, effectively avoiding the “overcalibration” problem. The accuracy of the error parameters’ estimation in the simulation is close to 100%. The experimental root-mean-square error (RMSE) of the TMI and tensor components is less than 3 nT and 20 nT/m, respectively, and the estimation of the parameters is highly robust. Full article
(This article belongs to the Special Issue Magnetic Sensors and Their Applications)
Show Figures

Figure 1

24 pages, 2833 KB  
Article
Hasegawa–Wakatani and Modified Hasegawa–Wakatani Turbulence Induced by Ion-Temperature-Gradient Instabilities
by Daniele Del Sarto and Alain Ghizzo
Fluids 2017, 2(4), 65; https://doi.org/10.3390/fluids2040065 - 23 Nov 2017
Cited by 6 | Viewed by 6242
Abstract
We review some recent results that have been obtained in the investigation of zonal flow emergence, by means of a gyrokinetic trapped ion model, in the regime of ion temperature gradient instabilities for tokamak plasmas. We show that an analogous formulation of the [...] Read more.
We review some recent results that have been obtained in the investigation of zonal flow emergence, by means of a gyrokinetic trapped ion model, in the regime of ion temperature gradient instabilities for tokamak plasmas. We show that an analogous formulation of the zonal flow dynamics in terms of the Reynolds tensor applies in the fluid and kinetic regimes, where polarization effects play a major role. The kinetic regime leads to the emergence of a resonant mode at a frequency close to the drift frequency. With the objective of modeling both separate fluid and kinetic regimes of zonal flows, we used in this paper a methodology for deriving both Charney–Hasegawa–Mima (CHM) and Hasegawa–Wakatani models. This methodology is based on the trapped ion model and is analogous to the hierarchy leading from the Vlasov equation to the macroscopic fluid equations. The nature of zonal flows in the hierarchy of the Mima, Hasegawa and Wakatani models is investigated and discussed through comparisons with global kinetic simulations. Applications to the CHM equation are discussed, which applies to a broad variety of hydrodynamical systems, ranging from large-scale processes met in magnetically confined plasma to the so-called zonostrophy turbulence emerging in the case of small-scale forced, two-dimensional barotropic turbulence (Sukoriansky et al. Phys. Rev. Letters, 101, 178501, 2008). Full article
Show Figures

Figure 1

14 pages, 3945 KB  
Article
Full Tensor Eigenvector Analysis on Air-Borne Magnetic Gradiometer Data for the Detection of Dipole-Like Magnetic Sources
by Boxin Zuo, Lizhe Wang and Weitao Chen
Sensors 2017, 17(9), 1976; https://doi.org/10.3390/s17091976 - 29 Aug 2017
Cited by 13 | Viewed by 5647
Abstract
The detection of dipole-like sources, such as unexploded ordnances (UXO) and other metallic objects, based on a magnetic gradiometer system, has been increasingly applied in recent years. In this paper, a novel dipole-like source detection algorithm, based on eigenvector analysis with magnetic gradient [...] Read more.
The detection of dipole-like sources, such as unexploded ordnances (UXO) and other metallic objects, based on a magnetic gradiometer system, has been increasingly applied in recent years. In this paper, a novel dipole-like source detection algorithm, based on eigenvector analysis with magnetic gradient tensor data interpretation is presented. Firstly, the theoretical basis of the eigenvector decomposition of magnetic gradient tensor is analyzed. Then, a detection algorithm is proposed by using the properties of the tensor eigenvector decomposition to locate dipole-like magnetic sources. The algorithm can automatically detect magnetic dipole-like sources without estimating the magnetic moment direction. It performs well for locating weak, anomalous dipole-like sources in air-borne magnetic data through quantitative interpretation. The effectiveness of the proposed algorithm has been demonstrated in the designed synthetic experiment. Finally, an air-borne magnetic field data taken at high altitude with exact source position information is used to validate the practicality of the proposed algorithm. All of the experiments prove that the proposed algorithm is suitable for magnetic dipole-like source detecting and air-borne magnetic gradiometer data interpretation. Full article
(This article belongs to the Section Remote Sensors)
Show Figures

Figure 1

Back to TopTop