Sign in to use this feature.

Years

Between: -

Subjects

remove_circle_outline
remove_circle_outline
remove_circle_outline
remove_circle_outline
remove_circle_outline
remove_circle_outline
remove_circle_outline
remove_circle_outline
remove_circle_outline

Journals

remove_circle_outline
remove_circle_outline
remove_circle_outline
remove_circle_outline
remove_circle_outline
remove_circle_outline
remove_circle_outline
remove_circle_outline
remove_circle_outline
remove_circle_outline
remove_circle_outline
remove_circle_outline
remove_circle_outline
remove_circle_outline
remove_circle_outline
remove_circle_outline
remove_circle_outline
remove_circle_outline
remove_circle_outline
remove_circle_outline
remove_circle_outline
remove_circle_outline
remove_circle_outline
remove_circle_outline
remove_circle_outline
remove_circle_outline
remove_circle_outline
remove_circle_outline

Article Types

Countries / Regions

remove_circle_outline
remove_circle_outline
remove_circle_outline
remove_circle_outline
remove_circle_outline
remove_circle_outline
remove_circle_outline

Search Results (2,763)

Search Parameters:
Keywords = magnetic diagnostics

Order results
Result details
Results per page
Select all
Export citation of selected articles as:
38 pages, 3428 KB  
Review
Superparamagnetic Nanoparticles Targeting Brain Cancer: Innovations in Carbohydrate-Based Coatings and Magnetic Field Guidance
by Ahmed Mahdi Abed Alobaidi and Vadim V. Kumeiko
Cancers 2026, 18(3), 419; https://doi.org/10.3390/cancers18030419 (registering DOI) - 28 Jan 2026
Abstract
The effective treatment of aggressive brain tumors, such as glioblastoma, is critically hindered by the blood-brain barrier (BBB) and the non-specific clearance of therapeutic agents by the immune system. Superparamagnetic iron oxide nanoparticles (SPMNPs) offer a powerful theranostic platform, combining magnetic resonance imaging [...] Read more.
The effective treatment of aggressive brain tumors, such as glioblastoma, is critically hindered by the blood-brain barrier (BBB) and the non-specific clearance of therapeutic agents by the immune system. Superparamagnetic iron oxide nanoparticles (SPMNPs) offer a powerful theranostic platform, combining magnetic resonance imaging (MRI)-based diagnostics with therapeutic delivery and hyperthermia. However, their clinical translation requires sophisticated strategies to ensure precise delivery to the tumor site. This review examines innovative functionalization strategies to enhance the targeting and efficacy of SPMNPs. Specifically, it addresses the various strategies for coating magnetic nanoparticles with carbohydrates, including both covalent and non-covalent methods, and the subsequent functionalization of these glycoconjugates to exploit the unique biological environment of brain tumors. The use of glycoconjugates on the nanoparticle surface is a key strategy, leveraging the altered glycosylation patterns and overexpression of specific lectins on glioma cell surfaces to achieve highly selective cellular targeting. The review details the synergistic effect achieved by combining these functionalized nanoparticles with external magnetic field guidance. This combination provides a dual-action mechanism: the magnetic field actively guides the nanoparticles across the BBB and concentrates them within the tumor mass, while the carbohydrate coating ensures specific cellular uptake, thereby significantly improving local therapeutic concentration and minimizing systemic toxicity. The scope of this review includes the development and evaluation of carbohydrate-coated SPMNPs, outlining their optimized physicochemical properties for both in vitro and in vivo imaging and treatment of cancerous brain tissues. This comprehensive evaluation represents a critical advancement in biomedicine, aiming to improve the prognosis for patients with brain cancer through more precise and effective therapeutic interventions. Full article
(This article belongs to the Special Issue Nanocarriers as an Emerging Platform for Cancer Therapy)
47 pages, 2081 KB  
Article
A Robust ConvNeXt-Based Framework for Efficient, Generalizable, and Explainable Brain Tumor Classification on MRI
by Kirti Pant, Pijush Kanti Dutta Pramanik and Zhongming Zhao
Bioengineering 2026, 13(2), 157; https://doi.org/10.3390/bioengineering13020157 (registering DOI) - 28 Jan 2026
Abstract
Background: Accurate and dependable brain tumor classification from magnetic resonance imaging (MRI) is essential for clinical decision support, yet remains challenging due to inter-dataset variability, heterogeneous tumor appearances, and limited generalization of many deep learning models. Existing studies often rely on single-dataset evaluation, [...] Read more.
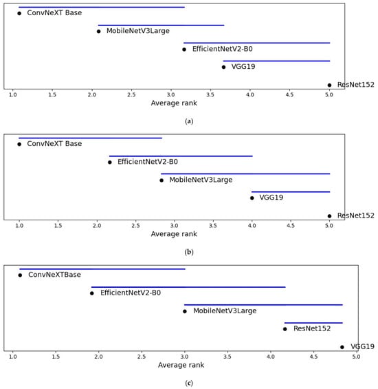
Background: Accurate and dependable brain tumor classification from magnetic resonance imaging (MRI) is essential for clinical decision support, yet remains challenging due to inter-dataset variability, heterogeneous tumor appearances, and limited generalization of many deep learning models. Existing studies often rely on single-dataset evaluation, insufficient statistical validation, or lack interpretability, which restricts their clinical reliability and real-world deployment. Methods: This study proposes a robust brain tumor classification framework based on the ConvNeXt Base architecture. The model is evaluated across three independent MRI datasets comprising four classes—glioma, meningioma, pituitary tumor, and no tumor. Performance is assessed using class-wise and aggregate metrics, including accuracy, precision, recall, F1-score, AUC, and Cohen’s Kappa. The experimental analysis is complemented by ablation studies, computational efficiency evaluation, and rigorous statistical validation using Friedman’s aligned ranks test, Holm and Wilcoxon post hoc tests, Kendall’s W, critical difference diagrams, and TOPSIS-based multi-criteria ranking. Model interpretability is examined using Grad-CAM++ and Gradient SHAP. Results: ConvNeXt Base consistently achieves near-perfect classification performance across all datasets, with accuracies exceeding 99.6% and AUC values approaching 1.0, while maintaining balanced class-wise behavior. Statistical analyses confirm that the observed performance gains over competing architectures are significant and reproducible. Efficiency results demonstrate favorable inference speed and resource usage, and explainability analyses show that predictions are driven by tumor-relevant regions. Conclusions: The results demonstrate that ConvNeXt Base provides a reliable, generalizable, and explainable solution for MRI-based brain tumor classification. Its strong diagnostic accuracy, statistical robustness, and computational efficiency support its suitability for integration into real-world clinical and diagnostic workflows. Full article
(This article belongs to the Section Biosignal Processing)
Show Figures

Figure 1

14 pages, 17221 KB  
Article
A Scalable Magnetic Field Mapping Approach for Pouch-Type Lithium-Ion Batteries
by Luiz G. C. Melo and Chun H. Law
Appl. Sci. 2026, 16(3), 1294; https://doi.org/10.3390/app16031294 - 27 Jan 2026
Abstract
Ensuring safety in energy storage systems increasingly relies on advanced diagnostic tools, among which magnetic field mapping plays a critical role. This work aims to develop and validate a high-sensitivity magnetic field sensor array for accurate field mapping and preliminary battery diagnostics. We [...] Read more.
Ensuring safety in energy storage systems increasingly relies on advanced diagnostic tools, among which magnetic field mapping plays a critical role. This work aims to develop and validate a high-sensitivity magnetic field sensor array for accurate field mapping and preliminary battery diagnostics. We present a 4 × 4 array of magnetic sensors integrated with a calibration procedure to ensure accurate output. The system was experimentally tested by characterizing the magnetic field generated by two planar copper conductors. Finite element simulations were performed for comparison and validation. Experimental measurements exhibited strong agreement with the simulation results, confirming the reliability of the sensor array. Next, the system was employed to map the magnetic field distribution of a pouch-type lithium-ion battery, demonstrating its capability for noninvasive diagnostics. Although this study focuses on magnetic field measurement rather than direct battery diagnosis, the results suggest that the proposed system—capable of measuring magnetic fields in batteries operating under normal conditions—could also perform these measurements under abusive conditions, thereby enabling diagnostic assessments. The proposed sensor array provides a scalable and precise solution for low-intensity magnetic field mapping, with potential applications in battery health monitoring and safety assessment. Full article
(This article belongs to the Section Energy Science and Technology)
Show Figures

Figure 1

19 pages, 2848 KB  
Article
Development of a Cost-Effective Magnetic Microparticle Protocol for DNA Purification in Molecular Diagnosis of Gynecological Infections
by Carolina Otonelo, Carla Layana, Elisa de Sousa, Luciana Juncal, Melina D. Ibarra, Constanza Toledo, Alejo Melamed, Karen L. Salcedo Rodríguez, Patricia L. Schilardi, Lucia Poleri, Carlos Golijow, Sheila Ons, Pedro Mendoza Zélis and Claudia Rodríguez Torres
Magnetochemistry 2026, 12(2), 16; https://doi.org/10.3390/magnetochemistry12020016 - 27 Jan 2026
Abstract
In this work, we evaluate the efficiency of a DNA purification protocol from gynecological samples using locally synthesized Fe3O4@SiO2 magnetic microparticles and a low-cost, guanidinium thiocyanate (GITC)-free lysis buffer. The microparticles were characterized by SEM, EDS, FTIR, and [...] Read more.
In this work, we evaluate the efficiency of a DNA purification protocol from gynecological samples using locally synthesized Fe3O4@SiO2 magnetic microparticles and a low-cost, guanidinium thiocyanate (GITC)-free lysis buffer. The microparticles were characterized by SEM, EDS, FTIR, and magnetic measurements, confirming the formation of compact silica-coated aggregates with suitable magnetic responsiveness for rapid and complete capture. Using this material in combination with a simple, GITC-free lysis buffer, we achieved DNA extraction yields comparable to those obtained with standard methods based on chaotropic salts. The purified DNA showed high compatibility with molecular assays for the detection of Chlamydia trachomatis, Ureaplasma urealyticum, Mycoplasma hominis, and human papilloma virus. Clinical validation demonstrated excellent diagnostic performance, with only a few discrepancies observed in samples near the detection threshold of qPCR, a limitation shared with commercial kits. Overall, the method represents a low-cost, safe, and sustainable alternative for routine clinical and epidemiological applications, compared to methods based on chaotropic salt buffers. Furthermore, it reduces reliance on imported commercial consumables and minimizes the handling of hazardous reagents. Full article
(This article belongs to the Special Issue Magnetic Nano- and Microparticles in Biotechnology)
Show Figures

Figure 1

16 pages, 774 KB  
Review
Optimizing Prostate Biopsy Pathways: Integrating MRI–Targeted, Systematic Sampling, and Clinical Judgment in the PSA-Era
by Catalin Andrei Bulai, Razvan Andrei Stoica, Adrian Militaru, Ana Maria Andreea Punga, Razvan Ionut Vaduva, Razvan Dragos Multescu, Cristian Mares, Cosmin Victor Ene and Bogdan Florin Geavlete
Diagnostics 2026, 16(3), 389; https://doi.org/10.3390/diagnostics16030389 - 26 Jan 2026
Viewed by 41
Abstract
Prostate cancer diagnostics have evolved substantially with the integration of multiparametric magnetic resonance imaging (mpMRI), refined prostate-specific antigen (PSA) metrics, and targeted biopsy techniques. While mpMRI has become a central gatekeeper in biopsy decision-making, it is not infallible. Clinically significant prostate cancer may [...] Read more.
Prostate cancer diagnostics have evolved substantially with the integration of multiparametric magnetic resonance imaging (mpMRI), refined prostate-specific antigen (PSA) metrics, and targeted biopsy techniques. While mpMRI has become a central gatekeeper in biopsy decision-making, it is not infallible. Clinically significant prostate cancer may therefore remain undetected, particularly in patients with elevated PSA density, adverse PSA kinetics, or MRI-occult disease. This narrative review synthesizes contemporary evidence on PSA interpretation, mpMRI performance, and biopsy strategy selection, highlighting the limitations of single-parameter approaches. We discuss the diagnostic yield and clinical implications of targeted, systematic, and combined biopsy techniques, emphasizing scenarios in which systematic sampling remains necessary despite negative or equivocal imaging findings. Emerging data support combined targeted and systematic biopsy as the most robust strategy for maximizing the detection of clinically significant disease while limiting overdiagnosis in most biopsy-naive and high-risk patients. By integrating PSA dynamics, prostate volume, imaging findings, and individual risk profiles, a structured, risk-adapted diagnostic pathway can be achieved. The proposed framework is intended as a conceptual, expert-derived clinical aid to support risk-adapted decision-making. It should be interpreted alongside established guidelines, and prospective validation in future studies is warranted. Full article
(This article belongs to the Section Clinical Diagnosis and Prognosis)
Show Figures

Figure 1

22 pages, 2341 KB  
Article
Quantitative Detection of High-Strength Bolt Loosening Based on Self-Magnetic Flux Leakage
by Shangkai Liu, Kai Tong, Fengmin Chen, Senhua Zhang and Runchan Xia
Buildings 2026, 16(3), 497; https://doi.org/10.3390/buildings16030497 - 26 Jan 2026
Viewed by 36
Abstract
The reliability of high-strength bolted connections is critical to the safety of large-scale engineering structures. This study proposes a non-contact quantitative method for detecting bolt loosening based on the self-magnetic flux leakage (SMFL) effect. Systematic experiments were carried out on M14-12.9 bolts, using [...] Read more.
The reliability of high-strength bolted connections is critical to the safety of large-scale engineering structures. This study proposes a non-contact quantitative method for detecting bolt loosening based on the self-magnetic flux leakage (SMFL) effect. Systematic experiments were carried out on M14-12.9 bolts, using nine independent specimens tested under six torque levels, to reveal the intrinsic relationship between bolt preload and the “magnetic valley” feature of the surface leakage field. For quantitative evaluation, the absolute value of the differential peak magnetic field, |ΔPMF|, is defined as the core feature parameter. The results show that, in the reference specimen group, |ΔPMF| exhibits a pronounced linear relationship with the applied torque (R2 > 0.96), and the corresponding linear regression parameters display good consistency across the nine specimens (RSD ≈ 4%). Comparative tests on two additional bolt specifications clarify how bolt strength grade and geometric size influence the detection sensitivity and linearity. To address lift-off effects, measurements on a representative specimen at four lift-off heights were used to construct a simplified bivariate linear compensation model, which significantly reduces lift-off-induced bias within the working range h = 10–16 mm. Finally, a hierarchical diagnostic scheme for bolt loosening that incorporates lift-off compensation is established on the basis of |ΔPMF|, providing a feasible approach for rapid assessment of bolt loosening under complex service conditions. Full article
Show Figures

Figure 1

19 pages, 778 KB  
Review
Hepatic Sinusoidal Obstruction Syndrome Induced by Pyrrolizidine Alkaloids from Gynura segetum: Mechanisms and Therapeutic Advances
by Zheng Zhou, Dongfan Yang, Tong Chu, Dayuan Zheng, Kuanyun Zhang, Shaokui Liang, Lu Yang, Yanchao Yang and Wenzhe Ma
Molecules 2026, 31(3), 410; https://doi.org/10.3390/molecules31030410 - 25 Jan 2026
Viewed by 104
Abstract
The traditional Chinese medicinal herb Gynura segetum is increasingly recognized for its hepatotoxic potential, primarily attributed to its pyrrolizidine alkaloid (PA) content. PAs are a leading cause of herb-induced liver injury (HILI) in China and are strongly linked to hepatic sinusoidal obstruction syndrome [...] Read more.
The traditional Chinese medicinal herb Gynura segetum is increasingly recognized for its hepatotoxic potential, primarily attributed to its pyrrolizidine alkaloid (PA) content. PAs are a leading cause of herb-induced liver injury (HILI) in China and are strongly linked to hepatic sinusoidal obstruction syndrome (HSOS). This review systematically summarizes the pathogenesis, diagnostic advancements, and therapeutic strategies for PA-induced HSOS. Molecular mechanisms of PA metabolism are detailed, encompassing cytochrome P450-mediated bioactivation and the subsequent formation of pyrrole–protein adducts, which trigger sinusoidal endothelial cell injury and hepatocyte apoptosis. Advances in diagnostic criteria, including the Nanjing Criteria and the Roussel Uclaf Causality Assessment Method (RUCAM)-integrated Drum Tower Severity Scoring System, are discussed. Furthermore, emerging biomarkers, such as circulating microRNAs and pyrrole–protein adducts, are examined. Imaging modalities, such as contrast-enhanced computed tomography (CT) and gadolinium ethoxybenzyl diethylenetriamine pentaacetic acid (Gd-EOB-DTPA) magnetic resonance imaging (MRI), have evolved from descriptive tools into quantitative and prognostic instruments. Therapeutic approaches have evolved from supportive care to precision interventions, including anticoagulation, transjugular intrahepatic portosystemic shunt (TIPS), and autophagy-modulating agents. A comprehensive literature review, utilizing databases such as PubMed and Web of Science, was conducted to summarize progress since the introduction of the “Nanjing Guidelines”. Ultimately, this review underscores the critical need for integrated diagnostic and therapeutic frameworks, alongside enhanced public awareness and regulatory oversight, to effectively mitigate PA-related liver injury. Full article
20 pages, 1064 KB  
Article
Short-Term Effects of Manual Therapy Combined with Functional Magnetic Stimulation in Individuals with Lumbar Disk Herniation with Radiculopathy: A Randomized Clinical Trial
by Dimitrios Lytras, Paris Iakovidis, Konstantinos Kasimis, Vasileios Georgoulas, Ioannis Algiounidis, Georgia Maria Kamparoudi, Georgios Tsigaras, Georgia Tarfali, Georgia Vergidou, Nikolaos Sidiropoulos, Eleftheria Zerva and Ilias Kallistratos
Medicina 2026, 62(2), 249; https://doi.org/10.3390/medicina62020249 - 24 Jan 2026
Viewed by 190
Abstract
Background and Objectives: Lumbar disk herniation with radiculopathy (LDHR) is a prevalent neuromusculoskeletal condition characterized by nociceptive and neuropathic pain components. Manual therapy (MT) is commonly used in its management, whereas Functional Magnetic Stimulation (FMS) represents an emerging modality with limited evidence [...] Read more.
Background and Objectives: Lumbar disk herniation with radiculopathy (LDHR) is a prevalent neuromusculoskeletal condition characterized by nociceptive and neuropathic pain components. Manual therapy (MT) is commonly used in its management, whereas Functional Magnetic Stimulation (FMS) represents an emerging modality with limited evidence in radiculopathy. The aim of this study was to examine the short-term effects of combining MT with FMS compared with MT alone on pain intensity, neuropathic pain features, neural mechanosensitivity, and functional disability in individuals with chronic LDHR. Materials and Methods: Forty adults with MRI-confirmed unilateral LDHR were randomly allocated to an MT + FMS group or an MT-only group. Both groups received ten treatment sessions over three weeks. Outcomes included lumbar and leg pain intensity (NPRS), functional disability (RMDQ), neuropathic pain symptoms (S-LANSS), and straight leg raise (SLR) range of motion. Measurements were obtained at baseline and at week 3. Group and time effects were examined using a two-way mixed ANOVA with significance set at p < 0.05. Results: Significant group × time interactions were observed for all outcomes (p < 0.01), indicating greater improvements in the MT + FMS group. Reductions in lumbar and leg pain, disability, and S-LANSS scores exceeded established MCID thresholds, while SLR gains surpassed published MDC values, reflecting both statistical and clinical relevance. Only the MT + FMS group improved below the neuropathic pain diagnostic cutoff (S-LANSS < 12). Conclusions: The findings of this trial suggest that incorporating FMS into a manual therapy program may provide additional short-term clinical benefits for individuals with chronic LDHR. Further research with larger samples, longer follow-up periods, and mechanistic assessments is needed to confirm these preliminary results and to better understand the underlying mechanisms. Full article
(This article belongs to the Section Neurology)
Show Figures

Figure 1

16 pages, 5308 KB  
Article
Patient-Level Classification of Rotator Cuff Tears on Shoulder MRI Using an Explainable Vision Transformer Framework
by Murat Aşçı, Sergen Aşık, Ahmet Yazıcı and İrfan Okumuşer
J. Clin. Med. 2026, 15(3), 928; https://doi.org/10.3390/jcm15030928 - 23 Jan 2026
Viewed by 103
Abstract
Background/Objectives: Diagnosing Rotator Cuff Tears (RCTs) via Magnetic Resonance Imaging (MRI) is clinically challenging due to complex 3D anatomy and significant interobserver variability. Traditional slice-centric Convolutional Neural Networks (CNNs) often fail to capture the necessary volumetric context for accurate grading. This study [...] Read more.
Background/Objectives: Diagnosing Rotator Cuff Tears (RCTs) via Magnetic Resonance Imaging (MRI) is clinically challenging due to complex 3D anatomy and significant interobserver variability. Traditional slice-centric Convolutional Neural Networks (CNNs) often fail to capture the necessary volumetric context for accurate grading. This study aims to develop and validate the Patient-Aware Vision Transformer (Pa-ViT), an explainable deep-learning framework designed for the automated, patient-level classification of RCTs (Normal, Partial-Thickness, and Full-Thickness). Methods: A large-scale retrospective dataset comprising 2447 T2-weighted coronal shoulder MRI examinations was utilized. The proposed Pa-ViT framework employs a Vision Transformer (ViT-Base) backbone within a Weakly-Supervised Multiple Instance Learning (MIL) paradigm to aggregate slice-level semantic features into a unified patient diagnosis. The model was trained using a weighted cross-entropy loss to address class imbalance and was benchmarked against widely used CNN architectures and traditional machine-learning classifiers. Results: The Pa-ViT model achieved a high overall accuracy of 91% and a macro-averaged F1-score of 0.91, significantly outperforming the standard VGG-16 baseline (87%). Notably, the model demonstrated superior discriminative power for the challenging Partial-Thickness Tear class (ROC AUC: 0.903). Furthermore, Attention Rollout visualizations confirmed the model’s reliance on genuine anatomical features, such as the supraspinatus footprint, rather than artifacts. Conclusions: By effectively modeling long-range dependencies, the Pa-ViT framework provides a robust alternative to traditional CNNs. It offers a clinically viable, explainable decision support tool that enhances diagnostic sensitivity, particularly for subtle partial-thickness tears. Full article
(This article belongs to the Section Orthopedics)
Show Figures

Figure 1

24 pages, 6227 KB  
Article
Gadolinium-Doped Hydroxyapatite Nanoparticles Functionalized with Curcumin and Folic Acid: Structural Insights and Magnetic Behavior for Theranostic Applications
by Jéssica P. N. Marinho, Luísa A. F. Vieira, André F. Oliveira, Aloísio M. Garcia, Monica E. B. Guarin, João Batista S. Barbosa, Yan F. X. Ladeira, Adolfo H. M. Silva and Edésia M. B. de Sousa
Materials 2026, 19(3), 449; https://doi.org/10.3390/ma19030449 - 23 Jan 2026
Viewed by 108
Abstract
Gadolinium-doped hydroxyapatite nanoparticles (HapGd NPs) have emerged as promising multifunctional platforms for biomedical applications due to their unique combination of biocompatibility, structural tunability, and magnetic responsiveness. In this work, HapGd nanoparticles were synthesized using a microwave-assisted method and subsequently functionalized with curcumin and [...] Read more.
Gadolinium-doped hydroxyapatite nanoparticles (HapGd NPs) have emerged as promising multifunctional platforms for biomedical applications due to their unique combination of biocompatibility, structural tunability, and magnetic responsiveness. In this work, HapGd nanoparticles were synthesized using a microwave-assisted method and subsequently functionalized with curcumin and folic acid to enhance therapeutic efficiency and selective targeting. The synthesized nanostructures were characterized using various techniques, including X-ray diffraction (XRD), transmission electron microscopy (TEM), Fourier-transform infrared spectroscopy (FTIR), thermogravimetric analysis (TGA), vibrating sample magnetometry (VSM), and relaxometry. Structural analyses revealed successful incorporation of Gd3+ ions into the Hap lattice, resulting in reduced unit cell volume and slight lattice distortion, while preserving the apatite crystalline framework. Surface functionalization with curcumin and folic acid was confirmed through spectroscopic characterization, demonstrating effective molecular attachment. Nuclear Magnetic Resonance (NMR) relaxation measurements indicated that Gd doping endowed paramagnetic behavior suitable for contrast enhancement in magnetic resonance imaging (MRI). Relaxometry studies revealed a strong linear correlation between 1/T1 and the Gd3+ concentration, especially in the functionalized samples, with performance comparable to the commercial contrast agent Omniscan™. The developed HapGd-based nanoplatform exhibits integrated diagnostic and therapeutic potential, providing a foundation for future research in biomedical applications. Full article
(This article belongs to the Special Issue Materials for Drug Delivery and Medical Engineering)
Show Figures

Graphical abstract

24 pages, 1003 KB  
Review
Diagnostic Potential of Metabolomic and Proteomic Biomarkers in Cardiology—A Narrative Review
by Lazzat Zhussupbekova, Dinara Nurkina, Gyulnar Zhussupova, Aliya Smagulova, Venera Rakhmetova, Elmira Akhmedyarova, Aisha Darybayeva, Klara Kurmangaliyeva and Ilya Kukes
Biomedicines 2026, 14(2), 257; https://doi.org/10.3390/biomedicines14020257 - 23 Jan 2026
Viewed by 330
Abstract
Cardiovascular disease is a major cause of death worldwide and a global socio-economic problem. To date, there are numerous studies focused on finding new biomarkers of cardiovascular diseases. High-technological methods such as mass spectrometry (MS), high-performance liquid chromatography (HPLC), and nuclear magnetic resonance [...] Read more.
Cardiovascular disease is a major cause of death worldwide and a global socio-economic problem. To date, there are numerous studies focused on finding new biomarkers of cardiovascular diseases. High-technological methods such as mass spectrometry (MS), high-performance liquid chromatography (HPLC), and nuclear magnetic resonance (NMR) spectroscopy enable us to record thousands of metabolites of organs and tissues. Studying organisms at a molecular level contributes to an in-depth understanding of preclinical conditions of various diseases. Metabolomics reflects the dynamics of metabolism distribution, including environmental influences, allowing us to create a metabolic profile of the patient. The aim of this review was to analyze current data on metabolomic and proteomic biomarkers in the diagnosis of cardiovascular diseases. The search databases were used to select studies on the potential clinical and diagnostic application of proteomic and metabolomic markers in cardiology. The selected sources were subjected to qualitative and thematic analysis. All biomarkers were grouped according to the pathophysiological process (inflammation, blood coagulation and lipid metabolism disorders, myocardial necrosis, etc.). The association of changes in metabolomic and proteomic profiles with the activation of pathogenic processes in the cardiovascular system was demonstrated. The use of these multivariate markers, individually or in combination, will increase the accuracy of early diagnosis and the effectiveness of treatment. This article also highlights the limitations of the method and possible ways to solve them. Full article
(This article belongs to the Section Endocrinology and Metabolism Research)
Show Figures

Figure 1

10 pages, 650 KB  
Article
Sex-Specific Differences in Patients with Hypertrophic Cardiomyopathy: A Cohort Study from Vienna
by Christopher Mann, Rodi Tosun, Shehroz Masood, Theresa M. Dachs, Franz Duca, Christina Binder-Rodriguez, Christian Hengstenberg, Marianne Gwechenberger, Thomas A. Zelniker and Daniel Dalos
J. Pers. Med. 2026, 16(1), 56; https://doi.org/10.3390/jpm16010056 - 21 Jan 2026
Viewed by 146
Abstract
Background: Hypertrophic cardiomyopathy (HCM) is the most common inherited cardiovascular disease and affects male patients more often than women. Prior studies, however, suggested that women are diagnosed later and at advanced stages of the disease, present with more pronounced symptoms, and experience [...] Read more.
Background: Hypertrophic cardiomyopathy (HCM) is the most common inherited cardiovascular disease and affects male patients more often than women. Prior studies, however, suggested that women are diagnosed later and at advanced stages of the disease, present with more pronounced symptoms, and experience worse outcomes. Objectives: To investigate sex-specific differences in clinical, laboratory, and comprehensive imaging characteristics in a contemporary cohort of HCM patients from a tertiary referral center in Austria. Methods: We retrospectively analyzed 321 HCM patients enrolled in a prospective registry (2018–2024). All patients underwent a comprehensive baseline evaluation, including medical history, laboratory assessment, transthoracic echocardiography, and cardiac magnetic resonance imaging. Results: At diagnosis, women were significantly older (62 vs. 53 years, p < 0.001) and presented with more advanced functional class (NYHA ≥ II: 80% vs. 49%, p < 0.001). Six-minute walking distance was lower and obstructive HCM was more prevalent in women (425 vs. 505 m, p < 0.001, and 55% vs. 32%, p < 0.001, respectively). Echocardiographic assessment revealed higher diastolic filling pressures (E/E′ 18 vs. 10, p < 0.001), larger indexed atrial volumes (29.5 vs. 26.6 mL/m2, p < 0.001), a higher left ventricular ejection fraction (70% vs. 62%, p < 0.001), and a larger indexed interventricular septal thickness in women (10.2 vs. 9.3 mm/m2, p = 0.004). Moreover, serum levels of NT-proBNP were significantly higher in women (760 vs. 338 pg/L, p < 0.001). Conclusions: Female patients with HCM were diagnosed at an older age, presented with more advanced symptoms, had higher rates of obstructive physiology, and a phenotype characterized by diastolic dysfunction and elevated biomarkers, closely resembling heart failure with preserved ejection fraction. Recognizing these sex-specific disparities is crucial in improving diagnostic awareness and individualized therapeutic management. Full article
(This article belongs to the Section Personalized Medical Care)
Show Figures

Figure 1

10 pages, 3020 KB  
Article
Robotic Capsule Endoscopy: Simultaneous Gastric and Enteric Evaluation in Real-World Practice
by Hélder Cardoso, Miguel Mascarenhas, Joana Mota, Miguel Martins, Maria João Almeida, Joana Frias, Catarina Cardoso Araújo, Francisco Mendes, Margarida Marques, Patrícia Andrade and Guilherme Macedo
Diagnostics 2026, 16(2), 334; https://doi.org/10.3390/diagnostics16020334 - 20 Jan 2026
Viewed by 157
Abstract
Background/Objectives: Robotic capsule endoscopy (RCE) is an emerging technology that combines magnetically controlled gastric navigation with conventional capsule enteroscopy (CE), enabling a minimally invasive, comprehensive evaluation of the upper- and mid-gastrointestinal tract. This study aimed to characterize the real-world implementation and diagnostic [...] Read more.
Background/Objectives: Robotic capsule endoscopy (RCE) is an emerging technology that combines magnetically controlled gastric navigation with conventional capsule enteroscopy (CE), enabling a minimally invasive, comprehensive evaluation of the upper- and mid-gastrointestinal tract. This study aimed to characterize the real-world implementation and diagnostic performance of RCE in a European tertiary referral center. Methods: A retrospective, single-center analysis was conducted on adult patients (≥18 years) who underwent RCE (Omom RC) between June 2023 and July 2025. Eligible patients had a clinical indication for small bowel CE and a concurrent requirement for diagnostic gastroscopy or reassessment of known gastric lesions. The RCE protocol comprised an initial robotic-guided gastric examination followed by passive transit through the small bowel. Results: A total of 85 patients were included (52% female), with a median age of 49 years (IQR 40–64). The most common indications were suspected or established inflammatory bowel disease (57%) and iron deficiency anemia (31%). Gastric preparation was rated at least fair in 98% of cases, with good preparation in 38%. Median gastric transit time was 74 min (IQR 35–106). Relevant gastric findings were identified in 39 cases (46%), namely polyps (18%) and angiectasias (8%, including one with active bleeding), in addition to signs of chronic gastritis. Thirteen patients underwent subsequent endoscopy, resulting in seven therapeutic procedures. Small bowel findings were present in 60 patients (71%), including P3 (active bleeding) in 3% and P2 lesions (angiectasias, ulcers, tumors, varices) in 39%. One moderate adverse event occurred: small bowel capsule retention in a patient with multifocal neuroendocrine tumor and ileostomy, requiring endoscopic intervention. Conclusions: Robotic capsule endoscopy is a feasible tool for dual-region gastrointestinal evaluation. It enables high-quality gastric visualization, facilitates early detection of clinically actionable lesions, and maintains the diagnostic yield expected from standard small bowel CE. These findings support the integration of RCE into diagnostic pathways for patients requiring simultaneous gastric and small bowel assessment. Full article
(This article belongs to the Special Issue Artificial Intelligence and Big Data in Digestive Healthcare)
Show Figures

Figure 1

18 pages, 830 KB  
Review
The Diagnostic Challenge of Hypophysitis vs. Non-Functioning Pituitary Macroadenomas: An Updated Review and Comparative Analysis of Distinguishing Criteria
by Taieb Ach, Ines Bouzaouech, Ayoub Gasmi, Nassim ben Haj Slama, Aicha Ghachem, Lamys Abbes, Imen Halloul, Wiem Saafi, Hamza El Fekih, Ghada Saad, Yosra Hasni and Houda El Mhabrech
Diagnostics 2026, 16(2), 328; https://doi.org/10.3390/diagnostics16020328 - 20 Jan 2026
Viewed by 234
Abstract
Background: Differentiating hypophysitis from non-functioning pituitary macroadenomas (NFPMA) remains a clinical and radiological challenge. Both entities present as sellar masses with overlapping features but require distinct therapeutic approaches. Accurate preoperative identification is necessary to avoid unnecessary surgery in inflammatory forms. This review aims [...] Read more.
Background: Differentiating hypophysitis from non-functioning pituitary macroadenomas (NFPMA) remains a clinical and radiological challenge. Both entities present as sellar masses with overlapping features but require distinct therapeutic approaches. Accurate preoperative identification is necessary to avoid unnecessary surgery in inflammatory forms. This review aims to compare the clinical, endocrine, and imaging characteristics of hypophysitis and NFPMA, incorporating recent findings and evaluating the performance of three diagnostic scoring systems currently in use. Methods: A comprehensive narrative literature review was conducted using original articles, clinical series, radiological studies, and systematic reviews retrieved from international databases. The analysis focused on demographic characteristics, clinical presentation, hormonal profiles, magnetic resonance imaging (MRI) features, and the comparative evaluation of the three published diagnostic scoring systems designed to differentiate hypophysitis from NFPMA. Results: Hypophysitis predominantly affects women, particularly during late pregnancy or the postpartum period, and is frequently associated with autoimmune diseases. Corticotropic deficiency and central diabetes insipidus (CDI) are disproportionately frequent in hypophysitis, whereas somatotropic deficiency is more characteristic of NFPMA. Radiologically, hypophysitis typically appears as a smaller, symmetric, and homogeneous mass with intense, uniform contrast enhancement, associated with pituitary stalk thickening and loss of the posterior pituitary bright spot. In contrast, NFPMA generally present as larger, asymmetric, and heterogeneous lesions, frequently invading the cavernous sinus and compressing the optic chiasm. Analysis of the three diagnostic scores indicates that combining clinical, hormonal, and imaging data improves accuracy compared to relying on single features. The most recent score includes hormonal markers, which significantly enhance sensitivity and specificity, emphasizing the importance of integrated assessment. Conclusions: No single clinical, hormonal, or imaging feature is pathognomonic. However, integrating clinical context, endocrine profile, imaging characteristics, and validated diagnostic scores significantly enhances preoperative diagnostic accuracy. The systematic use of composite scores may help optimize therapeutic decision-making and reduce unnecessary surgical interventions in patients with hypophysitis. Full article
(This article belongs to the Special Issue State of the Art in the Diagnosis and Management of Endocrine Tumors)
Show Figures

Figure 1

15 pages, 1330 KB  
Article
Enhancing Early Alzheimer’s Disease Detection via Transfer Learning: From Big Structural MRI Datasets to Ethnically Distinct Small Cohorts
by Minjae Lee, Suwon Lee and Hyeon Seo
Appl. Sci. 2026, 16(2), 1004; https://doi.org/10.3390/app16021004 - 19 Jan 2026
Viewed by 116
Abstract
Deep learning-based analysis of brain magnetic resonance imaging (MRI) plays a crucial role in the early diagnosis of Alzheimer’s disease (AD). However, data scarcity and racial bias present significant challenges to the generalization of diagnostic models. Large-scale public datasets, which are predominantly composed [...] Read more.
Deep learning-based analysis of brain magnetic resonance imaging (MRI) plays a crucial role in the early diagnosis of Alzheimer’s disease (AD). However, data scarcity and racial bias present significant challenges to the generalization of diagnostic models. Large-scale public datasets, which are predominantly composed of Caucasian individuals, often lead to performance degradation when applied to other ethnic groups owing to domain shifts. To address these issues, this study proposes a two-stage transfer learning framework. Initially, a 3D ResNet model was pretrained on a large-scale Alzheimer’s disease neuroimaging initiative (ADNI) dataset to learn structural brain features. Subsequently, the pretrained weights were transferred and fine-tuned on a small-scale Korean dataset utilizing only 30% of the data for training. The proposed model achieved superior performance in classifying mild cognitive impairment (MCI), which is crucial for early diagnosis, compared with a model trained from scratch using 70% of the Korean data. Furthermore, it effectively mitigated the significant performance degradation observed when directly applying the pretrained model, demonstrating its ability to resolve the domain-shift issue. This study explored the feasibility of transfer learning to address data scarcity and domain shift issues in AD classification, underscoring its potential for developing AI-based diagnostic systems tailored to specific ethnic populations. Full article
Show Figures

Figure 1

Back to TopTop